PANI-Based Hydrogen Sulfide Gas Sensors
Abstract
1. Introduction
2. Materials and Methods
2.1. Methodology
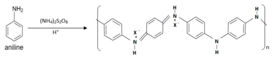
2.1.1. Synthesis of Polyaniline (PANI)
- Leucoemeraldine (pale brown amorphous powder readily prepared by reducing emeraldine with a strong reducing agent having the formula (C6H4NH)n);
- Emeraldine (the emeraldine base having the formula [C6H4NH]2[C6H4N]2)n forms an indigo blue powder which is insoluble in alcohol and benzene but readily soluble in pyridine;
- Pernigraniline (when a solution of emeraldine in acetic or formic acid is treated with an excess of strong oxidizing agent, the oxidation leads to the formation of a violet precipitate, which upon treatment with ammonia, yields a purple-brown compound called pernigraniline having the formula (C6H4N)n.
Reagents Used
Procedure
2.1.2. Synthesis of Tungsten Oxide Nanoplates
Reagents Used
Procedure
2.1.3. Development of Composites
- PANI/CuCl2 composite;
- PANI/WO3/CuCl2 composite.
Material Preparation
PANI (Emeraldine Base) Preparation
CuCl2 Solution Preparation
2.1.4. Polyaniline/Copper Chloride Composite Preparation
2.1.5. Polyaniline/Tungsten Oxide/Copper Chloride Nanocomposite Preparation
2.1.6. Printing Methods
Screen Printing
Drop Casting
2.1.7. Hydrogen Sulfide Gas Production
2.2. Hydrogen Sulfide Gas-Sensing Set-Up and Method
2.3. Characterization Methods
2.3.1. Electrical Characterization
2.3.2. Surface Characterization
2.3.3. Phase Characterization
2.3.4. Chemical Characterization
2.4. Parameters Used for Determining Performance of Chemiresistive H2S Gas Sensors
- Response time was calculated as the time required by the sensor’s resistance to reach up to 90% of its total resistance when exposed to the target gas.
- Recovery time was noted as the time required by the sensor’s resistance to reach up to 90% of its original state when the target gas is removed.
- Response %: where Rair: resistance of the sensor in air; and Rgas: resistance of the sensor in H2S gas environment.
3. Results
3.1. Conductivity Analysis of Synthesized Polyaniline
- Size of the pallet: diameter—10 mm; thickness—3 mm
3.2. Morphological Analysis of Synthesized Tungsten Oxide
- The average size distribution of nano-plates: average width: 80 nm; average length: 320 nm; and average height: 60 nm.
3.3. Stability Analysis of Deposited Films
3.4. Electrical Response of PANI/CuCl2 and PANI/WO3/CuCl2 Film-Based Chemiresistors towards H2S Gas
3.5. Electrical Response of PANI/WO3/CuCl2 Film towards Variable Ambient Humidity
3.6. Chemical Characterization of Active Components of PANI/WO3/CuCl2 Nano-Composite by Ultraviolet–Visible Spectrum (UV–vis)
3.7. Phase Characterization of the Film by X-ray Diffraction (XRD)
4. Discussion/Mechanism
4.1. Formation of Depletion Layer Due to Inosorbed Oxygen
4.2. Formation of Depletion Layer Due to p–n Junction
4.3. Involvement of Silver Electrodes
5. Conclusions
Author Contributions
Funding
Institutional Review Board Statement
Informed Consent Statement
Data Availability Statement
Acknowledgments
Conflicts of Interest
References
- Hulanicki, A.; Glab, S.; Ingman, F. Chemical sensors: Definitions and classification. Pure Appl. Chem. 1991, 63, 1247–1250. [Google Scholar] [CrossRef]
- Stetter, J.R.; Penrose, W.R.; Yao, S. Sensors, chemical sensors, electrochemical sensors, and ecs. J. Electrochem. Soc. 2003, 150, S11. [Google Scholar] [CrossRef]
- Wong, Y.C.; Ang, B.C.; Haseeb, A.; Baharuddin, A.A.; Wong, Y.H. Conducting polymers as chemiresistive gas sensing materials: A review. J. Electrochem. Soc. 2019, 167, 037503. [Google Scholar] [CrossRef]
- Sarfraz, J.; Fogde, A.; Ihalainen, P.; Peltonen, J. The performance of inkjet-printed copper acetate based hydrogen sulfide gas sensor on a flexible plastic substrate-varying ink composition and print density. Appl. Surf. Sci. 2018, 445, 89–96. [Google Scholar] [CrossRef]
- Yoo, K.S.; Han, S.D.; Moon, H.G.; Yoon, S.-J.; Kang, C.-Y. Highly sensitive h2s sensor based on the metal-catalyzed sno2 nanocolumns fabricated by glancing angle deposition. Sensors 2015, 15, 15468–15477. [Google Scholar] [CrossRef]
- Su, P.-G.; Peng, Y.-T. Fabrication of a room-temperature h2s gas sensor based on ppy/wo3 nanocomposite films by in-situ photopolymerization. Sens. Actuators B Chem. 2014, 193, 637–643. [Google Scholar] [CrossRef]
- Suhail, M.H.; Abdullah, O.G.; Kadhim, G.A. Hydrogen sulfide sensors based on pani/f-swcnt polymer nanocomposite thin films prepared by electrochemical polymerization. J. Sci. Adv. Mater. Devices 2019, 4, 143–149. [Google Scholar] [CrossRef]
- Persaud, K.C. Polymers for chemical sensing. Mater. Today 2005, 8, 38–44. [Google Scholar] [CrossRef]
- Kang, S.D.; Snyder, G.J. Charge-transport model for conducting polymers. Nat. Mater. 2017, 16, 252–257. [Google Scholar] [CrossRef]
- Mekki, A.; Joshi, N.; Singh, A.; Salmi, Z.; Jha, P.; Decorse, P.; Lau-Truong, S.; Mahmoud, R.; Chehimi, M.M.; Aswal, D.K. H2S sensing using in situ photo-polymerized polyaniline–silver nanocomposite films on flexible substrates. Org. Electron. 2014, 15, 71–81. [Google Scholar] [CrossRef]
- Sarfraz, J.; Ihalainen, P.; Määttänen, A.; Peltonen, J.; Linden, M. Printed hydrogen sulfide gas sensor on paper substrate based on polyaniline composite. Thin Solid Film. 2013, 534, 621–628. [Google Scholar] [CrossRef]
- Peera, S.G.; Liu, C.; Shim, J.; Sahu, A.K.; Lee, T.G.; Selvaraj, M.; Koutavarapu, R. Mxene (ti3c2tx) supported electrocatalysts for methanol and ethanol electrooxidation: A review. Ceram. Int. 2021, 47, 28106–28121. [Google Scholar] [CrossRef]
- Poongodi, S.; Kumar, P.S.; Mangalaraj, D.; Ponpandian, N.; Meena, P.; Masuda, Y.; Lee, C. Electrodeposition of wo3 nanostructured thin films for electrochromic and h2s gas sensor applications. J. Alloy. Compd. 2017, 719, 71–81. [Google Scholar] [CrossRef]
- Jain, G.; Patil, L.; Wagh, M.; Patil, D.; Patil, S.; Amalnerkar, D. Surface modified batio3 thick film resistors as h2s gas sensors. Sens. Actuators B Chem. 2006, 117, 159–165. [Google Scholar] [CrossRef]
- Geng, L. Gas sensitivity study of polypyrrol e/wo3 hybrid materials to h2s. Synth. Met. 2010, 160, 1708–1711. [Google Scholar] [CrossRef]
- Bai, S.; Zhang, K.; Sun, J.; Zhang, D.; Luo, R.; Li, D.; Liu, C. Polythiophene-WO3 hybrid architectures for low-temperature H2S detection. Sens. Actuators B Chem. 2014, 197, 142–148. [Google Scholar] [CrossRef]
- Joshi, N.; Saxena, V.; Singh, A.; Koiry, S.; Debnath, A.; Chehimi, M.M.; Aswal, D.; Gupta, S. Flexible h2s sensor based on gold modified polycarbazole films. Sens. Actuators B Chem. 2014, 200, 227–234. [Google Scholar] [CrossRef]
- Agbor, N.; Petty, M.; Monkman, A. Polyaniline thin films for gas sensing. Sens. Actuators B 1995, 28, 173. [Google Scholar] [CrossRef]
- Liu, C.; Hayashi, K.; Toko, K. Au nanoparticles decorated polyaniline nanofiber sensor for detecting volatile sulfur compounds in expired breath. Sens. Actuators B Chem. 2012, 161, 504–509. [Google Scholar] [CrossRef]
- Virji, S.; Fowler, J.D.; Baker, C.O.; Huang, J.; Kaner, R.B.; Weiller, B.H. Polyaniline nanofiber composites with metal salts: Chemical sensors for hydrogen sulfide. Small 2005, 1, 624–627. [Google Scholar] [CrossRef]
- Crowley, K.; Morrin, A.; Shepherd, R.L.; in het Panhuis, M.; Wallace, G.G.; Smyth, M.R.; Killard, A.J. Fabrication of polyaniline-based gas sensors using piezoelectric inkjet and screen printing for the detection of hydrogen sulfide. IEEE Sens. J. 2010, 10, 1419–1426. [Google Scholar] [CrossRef]
- Green, A.G.; Woodhead, A.E. Ccxliii.—aniline-black and allied compounds. Part I. J. Chem. Soc. Trans. 1910, 97, 2388–2403. [Google Scholar] [CrossRef]
- Sarfraz, J. Development and characterization of thin printed films for gas sensing applications. Ph.D. Thesis, Åbo Akademi University, Turku, Sweden, August 2015. [Google Scholar]
- Khalid, M.; Honorato, A.; Varela, H. Polyaniline: Synthesis methods, doping and conduction mechanism. In Polyaniline—From Synthesis to Practical Applications; IntechOpen: London, UK, 2018. [Google Scholar]
- Colak, N.; Sökmen, B. Doping of chemically synthesized polyaniline. Des. Monomers Polym. 2000, 3, 181–189. [Google Scholar] [CrossRef]
- Huang, G.; Lu, C.-H.; Yang, H.-H. Magnetic nanomaterials for magnetic bioanalysis. In Novel Nanomaterials for Biomedical, Environmental and Energy Applications; Elsevier: Amsterdam, The Netherlands, 2019; pp. 89–109. [Google Scholar]
- Rahayu, I.; Eddy, D.R.; Novianty, A.R.; Anggreni, A.; Bahti, H.; Hidayat, S. The Effect of Hydrochloric Acid-Doped Polyaniline to Enhance the Conductivity; IOP Conference Series: Materials Science and Engineering; IOP Publishing: Bristol, UK, 2019; p. 012051. [Google Scholar]
- Nguyen, H.D.; Nguyen, T.H.; Hoang, N.V.; Le, N.N.; Nguyen, T.N.N.; Doan, D.C.T.; Dang, M.C. Ph sensitivity of emeraldine salt polyaniline and poly (vinyl butyral) blend. Adv. Nat. Sci. : Nanosci. Nanotechnol. 2014, 5, 045001. [Google Scholar] [CrossRef][Green Version]
- Belardja, M.; Djelad, H.; Lafjah, M.; Chouli, F.; Benyoucef, A. The influence of the addition of tungsten trioxide nanoparticle size on structure, thermal, and electroactivity properties of hybrid material–reinforced pani. Colloid Polym. Sci. 2020, 298, 1455–1463. [Google Scholar] [CrossRef]
- Izumi, C.M.; Rodrigues, D.C.; Pelaes, L.A.G.; Ferreira, A.M.D.C.; Temperini, M.L. Influence of different copper (ii) salts on the oxidation and doping reactions of emeraldine base polyaniline. Vib. Spectrosc. 2016, 87, 129–136. [Google Scholar] [CrossRef]
- Ali, F.I.; Awwad, F.; Greish, Y.E.; Abu-Hani, A.F.; Mahmoud, S.T. Fabrication of low temperature and fast response H2S gas sensor based on organic-metal oxide hybrid nanocomposite membrane. Org. Electron. 2020, 76, 105486. [Google Scholar] [CrossRef]
- Bai, S.; Ma, Y.; Luo, R.; Chen, A.; Li, D. Room temperature triethylamine sensing properties of polyaniline–WO3 nanocomposites with p–n heterojunctions. RSC Adv. 2016, 6, 2687–2694. [Google Scholar] [CrossRef]





























| S. No. | Composite Used | H2S Gas Concentration (ppm) | Initial Resistance in Air (Rair) (ohm) | Final Resistance After Gas Exposure (Rgas) (ohm) | Response Time (s) | Recovery Time (s) | Response (%) |
|---|---|---|---|---|---|---|---|
| 1 | PANI/ CuCl2 | 0.3 | 1.32 × 106 | 1.16 × 106 | 95.8 | 130.6 | 12.12 |
| 2 | PANI/ CuCl2 | 0.76 | 1.31 × 106 | 9.2 × 105 | 128.4 | 208.0 | 29.77 |
| 3 | PANI/ CuCl2 | 1.156 | 1.28 × 106 | 5.8 × 105 | 193.0 | 245.5 | 54.68 |
| S. No. | Composite Used | H2S Gas Concentration (ppm) | Initial Resistance in Air (Rair) (ohm) | Final Resistance After Gas Exposure (Rgas) (ohm) | Response Time (s) | Recovery Time (s) | Response (%) |
|---|---|---|---|---|---|---|---|
| 1 | PANI/WO3/ CuCl2 | 0.3 | 1.56 × 106 | 6.4 × 105 | 31.5 | 145.6 | 58.97 |
| 2 | PANI/WO3/ CuCl2 | 0.76 | 1.48 × 106 | 1.6 × 105 | 46.0 | 180.5 | 89.19 |
| 3 | PANI/WO3/ CuCl2 | 1.156 | 1.38 × 106 | 8.8 × 104 | 67.9 | 250.0 | 93.62 |
Publisher’s Note: MDPI stays neutral with regard to jurisdictional claims in published maps and institutional affiliations. |
© 2022 by the authors. Licensee MDPI, Basel, Switzerland. This article is an open access article distributed under the terms and conditions of the Creative Commons Attribution (CC BY) license (https://creativecommons.org/licenses/by/4.0/).
Share and Cite
Kumawat, M.; Thapliyal, D.; Verros, G.D.; Arya, R.K.; Barman, S.; Halder, G.; Shandilya, P. PANI-Based Hydrogen Sulfide Gas Sensors. Coatings 2022, 12, 186. https://doi.org/10.3390/coatings12020186
Kumawat M, Thapliyal D, Verros GD, Arya RK, Barman S, Halder G, Shandilya P. PANI-Based Hydrogen Sulfide Gas Sensors. Coatings. 2022; 12(2):186. https://doi.org/10.3390/coatings12020186
Chicago/Turabian StyleKumawat, Meenakshi, Devyani Thapliyal, George D. Verros, Raj Kumar Arya, Sanghamitra Barman, Gopinath Halder, and Pooja Shandilya. 2022. "PANI-Based Hydrogen Sulfide Gas Sensors" Coatings 12, no. 2: 186. https://doi.org/10.3390/coatings12020186
APA StyleKumawat, M., Thapliyal, D., Verros, G. D., Arya, R. K., Barman, S., Halder, G., & Shandilya, P. (2022). PANI-Based Hydrogen Sulfide Gas Sensors. Coatings, 12(2), 186. https://doi.org/10.3390/coatings12020186

