A Fractal, Flower Petal-like CuS-CuO/G-C3N4 Nanocomposite for High Efficiency Supercapacitors
Abstract
1. Introduction
2. Experimental Section
2.1. Materials
2.2. Preparation of CuS-CuO/G-C3N4 Nanocomposite
2.3. Two Symmetric Electrodes Supercapacitor Fabrication
2.4. Characterization
3. Results and Discussion
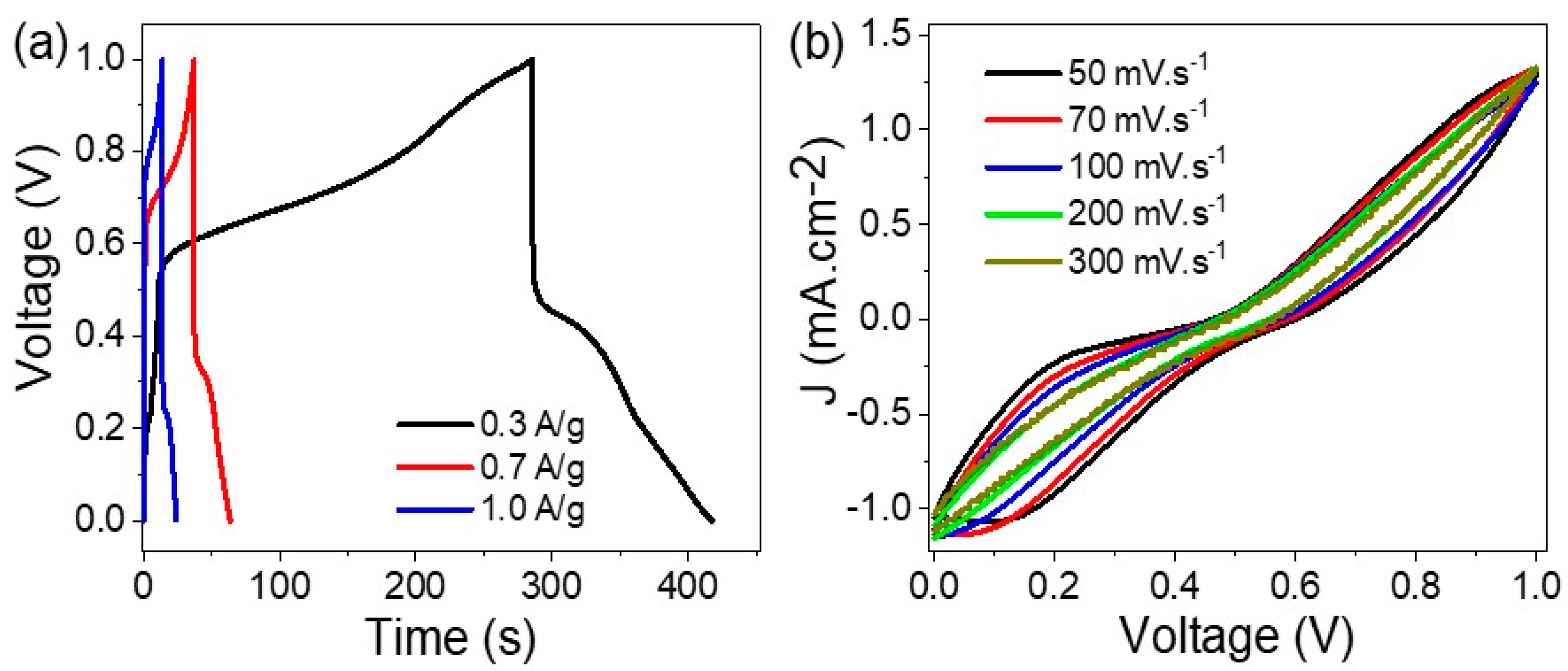
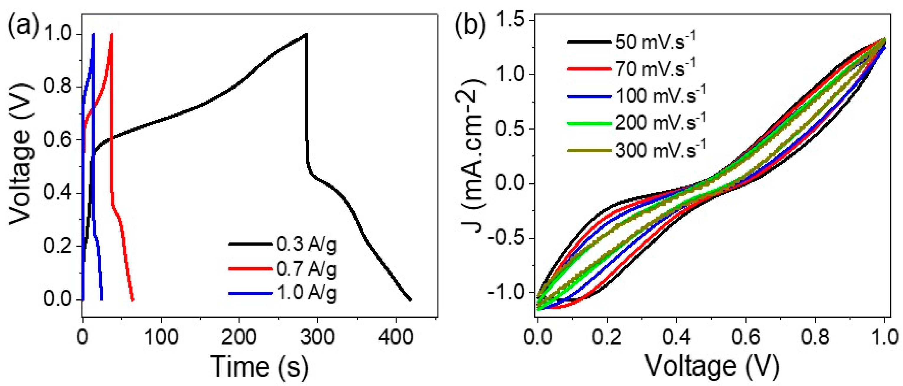
Testing of the Prepared Supercapacitor
4. Conclusions
Author Contributions
Funding
Institutional Review Board Statement
Informed Consent Statement
Data Availability Statement
Acknowledgments
Conflicts of Interest
References
- Mohamed, F.; Rabia, M.; Shaban, M. Synthesis and Characterization of Biogenic Iron Oxides of Different Nanomorphologies from Pomegranate Peels for Efficient Solar Hydrogen Production. J. Mater. Res. Technol. 2020, 9, 4255–4271. [Google Scholar] [CrossRef]
- Shaban, M.; Ali, S.; Rabia, M. Design and Application of Nanoporous Graphene Oxide Film for CO2, H2, and C2H2 Gases Sensing. J. Mater. Res. Technol. 2019, 8, 4510–4520. [Google Scholar] [CrossRef]
- Elsayed, A.M.; Rabia, M.; Shaban, M.; Aly, A.H.; Ahmed, A.M. Preparation of Hexagonal Nanoporous Al2O3/TiO2/TiN as a Novel Photodetector with High Efficiency. Sci. Rep. 2021, 11, 17572. [Google Scholar] [CrossRef] [PubMed]
- Mai, L.Q.; Minhas-Khan, A.; Tian, X.; Hercule, K.M.; Zhao, Y.L.; Lin, X.; Xu, X. Synergistic Interaction between Redox-Active Electrolyte and Binder-Free Functionalized Carbon for Ultrahigh Supercapacitor Performance. Nat. Commun. 2013, 4, 2923. [Google Scholar] [CrossRef] [PubMed]
- Krishnamoorthy, K.; Pazhamalai, P.; Mariappan, V.K.; Nardekar, S.S.; Sahoo, S.; Kim, S.J. Probing the Energy Conversion Process in Piezoelectric-Driven Electrochemical Self-Charging Supercapacitor Power Cell Using Piezoelectrochemical Spectroscopy. Nat. Commun. 2020, 11, 2351. [Google Scholar] [CrossRef]
- Mai, L.Q.; Yang, F.; Zhao, Y.L.; Xu, X.; Xu, L.; Luo, Y.Z. Hierarchical MnMoO4/CoMoO4 Heterostructured Nanowires with Enhanced Supercapacitor Performance. Nat. Commun. 2011, 2, 381. [Google Scholar] [CrossRef]
- Chahal, P.; Madaswamy, S.L.; Lee, S.C.; Wabaidur, S.M.; Dhayalan, V.; Ponnusamy, V.K.; Dhanusuraman, R. Novel Manganese Oxide Decorated Polyaniline/Graphitic Carbon Nitride Nanohybrid Material for Efficient Supercapacitor Application. Fuel 2022, 330, 125531. [Google Scholar] [CrossRef]
- Seredych, M.; Łoś, S.; Giannakoudakis, D.A.; Rodríguez-Castellón, E.; Bandosz, T.J. Photoactivity of G-C3N4/S-Doped Porous Carbon Composite: Synergistic Effect of Composite Formation. ChemSusChem 2016, 9, 795–799. [Google Scholar] [CrossRef]
- Dong, B.X.; Li, Q.; Wang, Z.F.; Liu, T.S.; Yang, H.Y.; Shu, S.L.; Chen, L.Y.; Qiu, F.; Jiang, Q.C.; Zhang, L.C. Enhancing Strength-Ductility Synergy and Mechanisms of Al-Based Composites by Size-Tunable in-Situ TiB2 Particles with Specific Spatial Distribution. Compos. Part B Eng. 2021, 217, 108912. [Google Scholar] [CrossRef]
- Yang, H.Y.; Yan, Y.F.; Liu, T.S.; Dong, B.X.; Chen, L.Y.; Shu, S.L.; Qiu, F.; Jiang, Q.C.; Zhang, L.C. Unprecedented Enhancement in Strength-Plasticity Synergy of (TiC+Al6MoTi+Mo)/Al Cermet by Multiple Length-Scale Microstructure Stimulated Synergistic Deformation. Compos. Part B Eng. 2021, 225, 109265. [Google Scholar] [CrossRef]
- Yang, H.Y.; Wang, Z.; Chen, L.Y.; Shu, S.L.; Qiu, F.; Zhang, L.C. Interface Formation and Bonding Control in High-Volume-Fraction (TiC+TiB2)/Al Composites and Their Roles in Enhancing Properties. Compos. Part B Eng. 2021, 209, 108605. [Google Scholar] [CrossRef]
- Zheng, Z.X.; Wang, M.; Shi, X.Z.; Wang, C. Palladium Nanoparticles/Graphitic Carbon Nitride Nanosheets-Carbon Nanotubes as a Catalytic Amplification Platform for the Selective Determination of 17α-Ethinylestradiol in Feedstuffs. Sci. Rep. 2019, 9, 14162. [Google Scholar] [CrossRef] [PubMed]
- Santos, R.S.; Suresh Babu, R.; Devendiran, M.; Haddad, D.B.; de Barros, A.L.F. Facile Synthesis of Transition Metal (M = Cu, Co) Oxide Grafted Graphitic Carbon Nitride Nanosheets for High Performance Asymmetric Supercapacitors. Mater. Lett. 2022, 308, 131156. [Google Scholar] [CrossRef]
- Kumar Kuila, S.; Ghorai, A.; Midya, A.; Sekhar Tiwary, C.; Kumar Kundu, T. Chemisorption of Gadolinium Ions on 2D-Graphitic Carbon Nitride Nanosheet for Enhanced Solid-State Supercapacitor Performance. Chem. Phys. Lett. 2022, 796, 139572. [Google Scholar] [CrossRef]
- Rani, B.; Nayak, A.K.; Sahu, N.K. Electrochemical Supercapacitor Application of CoFe2O4 Nanoparticles Decorated over Graphitic Carbon Nitride. Diam. Relat. Mater. 2021, 120, 108671. [Google Scholar] [CrossRef]
- Lin, R.; Li, Z.; Abou El Amaiem, D.I.; Zhang, B.; Brett, D.J.L.; He, G.; Parkin, I.P. A General Method for Boosting the Supercapacitor Performance of Graphitic Carbon Nitride/Graphene Hybrids. J. Mater. Chem. A 2017, 5, 25545–25554. [Google Scholar] [CrossRef]
- Lu, C.; Chen, X. Carbon Nanotubes/Graphitic Carbon Nitride Nanocomposites for All-Solid-State Supercapacitors. Sci. China Technol. Sci. 2020, 63, 1714–1720. [Google Scholar] [CrossRef]
- Pilathottathil, S.; Kavil, J.; Shahin Thayyil, M. Boosting Ion Dynamics by Developing Graphitic Carbon Nitride/Carbon Hybrid Electrode Materials for Ionogel Supercapacitor. Mater. Sci. Eng. B 2022, 276, 115573. [Google Scholar] [CrossRef]
- Hsiang, H.I.; Chiou, Y.Y.; Chung, S.H. Synthesis and Electrochemical Mechanisms of Yolk-Shell ZnCo2S4 for High-Performance Supercapacitors. J. Energy Storage 2022, 55, 105402. [Google Scholar] [CrossRef]
- Tang, N.; You, H.; Li, M.; Chen, G.Z.; Zhang, L. Cross-Linked Ni(OH)2/CuCo2S4/Ni Networks as Binder-Free Electrodes for High Performance Supercapatteries. Nanoscale 2018, 10, 20526–20532. [Google Scholar] [CrossRef]
- Hsiang, H.I.; She, C.H.; Chung, S.H. Materials and Electrode Designs of High-Performance NiCo2S4/Reduced Graphene Oxide for Supercapacitors. Ceram. Int. 2021, 47, 25942–25950. [Google Scholar] [CrossRef]
- Azizi-Toupkanloo, H.; Karimi-Nazarabad, M.; Shakeri, M.; Eftekhari, M. Photocatalytic Mineralization of Hard-Degradable Morphine by Visible Light-Driven Ag@g-C3N4 Nanostructures. Environ. Sci. Pollut. Res. 2019, 26, 30941–30953. [Google Scholar] [CrossRef] [PubMed]
- Kumar, A.; Kumar, P.; Joshi, C.; Manchanda, M.; Boukherroub, R.; Jain, S.L. Nickel Decorated on Phosphorous-Doped Carbon Nitride as an Efficient Photocatalyst for Reduction of Nitrobenzenes. Nanomaterials 2016, 6, 59. [Google Scholar] [CrossRef]
- Zhu, D.; Wang, L.; Yu, W.; Xie, H. Intriguingly High Thermal Conductivity Increment for CuO Nanowires Contained Nanofluids with Low Viscosity. Sci. Rep. 2018, 8, 5282. [Google Scholar] [CrossRef]
- Buledi, J.A.; Ameen, S.; Memon, S.A.; Fatima, A.; Solangi, A.R.; Mallah, A.; Karimi, F.; Malakmohammadi, S.; Agarwal, S.; Gupta, V.K. An Improved Non-Enzymatic Electrochemical Sensor Amplified with CuO Nanostructures for Sensitive Determination of Uric Acid. Open Chem. 2021, 19, 481–491. [Google Scholar] [CrossRef]
- Zhao, J.; Yang, G.; Zhang, Y.; Zhang, S.; Zhang, P. A Simple Preparation of HDA-CuS Nanoparticles and Their Tribological Properties as a Water-Based Lubrication Additive. Tribol. Lett. 2019, 67, 88. [Google Scholar] [CrossRef]
- Atta, A.; Abdelhamied, M.M.; Essam, D.; Shaban, M.; Alshammari, A.H.; Rabia, M. Structural and Physical Properties of Polyaniline/Silver Oxide/Silver Nanocomposite Electrode for Supercapacitor Applications. Int. J. Energy Res. 2021, 46, 6702–6710. [Google Scholar] [CrossRef]
- Gamal, A.; Shaban, M.; BinSabt, M.; Moussa, M.; Ahmed, A.M.; Rabia, M.; Hamdy, H. Facile Fabrication of Polyaniline/Pbs Nanocomposite for High-Performance Supercapacitor Application. Nanomaterials 2022, 12, 817. [Google Scholar] [CrossRef] [PubMed]
- Muralee Gopi, C.V.V.; Ravi, S.; Rao, S.S.; Eswar Reddy, A.; Kim, H.J. Carbon Nanotube/Metal-Sulfide Composite Flexible Electrodes for High-Performance Quantum Dot-Sensitized Solar Cells and Supercapacitors. Sci. Rep. 2017, 7, 46519. [Google Scholar] [CrossRef]
- A Sensor of M-cresol Nanopolymer/Pt-electrode Film for Detection of Lead Ions by Potentiometric Methods-Sayyah-2018-Advances in Polymer Technology—Wiley Online Library. Available online: https://onlinelibrary.wiley.com/doi/full/10.1002/adv.21788 (accessed on 1 November 2020).
- Electropolymerization of M-Toluidin on Platinum Electrode from Aqueous Acidic Solution and Character of the Obtained Polymer-Sayyah-018-Advances in Polymer Technology—Wiley Online Library. Available online: https://onlinelibrary.wiley.com/doi/full/10.1002/adv.21649 (accessed on 1 November 2020).
- Jones, P.K.; Stimming, U.; Lee, A.A. Impedance-Based Forecasting of Lithium-Ion Battery Performance amid Uneven Usage. Nat. Commun. 2022, 13, 4806. [Google Scholar] [CrossRef]
- Qu, D.; Ji, W.; Qu, H. Probing Process Kinetics in Batteries with Electrochemical Impedance Spectroscopy. Commun. Mater. 2022, 3, 61. [Google Scholar] [CrossRef]
- Yu, J.; Fu, N.; Zhao, J.; Liu, R.; Li, F.; Du, Y.; Yang, Z. High Specific Capacitance Electrode Material for Supercapacitors Based on Resin-Derived Nitrogen-Doped Porous Carbons. ACS Omega 2019, 4, 15904–15911. [Google Scholar] [CrossRef] [PubMed]
- Naveed ur Rehman, M.; Munawar, T.; Nadeem, M.S.; Mukhtar, F.; Maqbool, A.; Riaz, M.; Manzoor, S.; Ashiq, M.N.; Iqbal, F. Facile Synthesis and Characterization of Conducting Polymer-Metal Oxide Based Core-Shell PANI-Pr2O–NiO–Co3O4 Nanocomposite: As Electrode Material for Supercapacitor. Ceram. Int. 2021, 47, 18497–18509. [Google Scholar] [CrossRef]




Publisher’s Note: MDPI stays neutral with regard to jurisdictional claims in published maps and institutional affiliations. |
© 2022 by the authors. Licensee MDPI, Basel, Switzerland. This article is an open access article distributed under the terms and conditions of the Creative Commons Attribution (CC BY) license (https://creativecommons.org/licenses/by/4.0/).
Share and Cite
Ben Gouider Trabelsi, A.; M. Elsayed, A.; H. Alkallas, F.; Al-Noaimi, M.; Kusmartsev, F.V.; Rabia, M. A Fractal, Flower Petal-like CuS-CuO/G-C3N4 Nanocomposite for High Efficiency Supercapacitors. Coatings 2022, 12, 1834. https://doi.org/10.3390/coatings12121834
Ben Gouider Trabelsi A, M. Elsayed A, H. Alkallas F, Al-Noaimi M, Kusmartsev FV, Rabia M. A Fractal, Flower Petal-like CuS-CuO/G-C3N4 Nanocomposite for High Efficiency Supercapacitors. Coatings. 2022; 12(12):1834. https://doi.org/10.3390/coatings12121834
Chicago/Turabian StyleBen Gouider Trabelsi, Amira, Asmaa M. Elsayed, Fatemah. H. Alkallas, Mousa Al-Noaimi, F. V. Kusmartsev, and Mohamed Rabia. 2022. "A Fractal, Flower Petal-like CuS-CuO/G-C3N4 Nanocomposite for High Efficiency Supercapacitors" Coatings 12, no. 12: 1834. https://doi.org/10.3390/coatings12121834
APA StyleBen Gouider Trabelsi, A., M. Elsayed, A., H. Alkallas, F., Al-Noaimi, M., Kusmartsev, F. V., & Rabia, M. (2022). A Fractal, Flower Petal-like CuS-CuO/G-C3N4 Nanocomposite for High Efficiency Supercapacitors. Coatings, 12(12), 1834. https://doi.org/10.3390/coatings12121834

