Load Transfer Mechanism and Bond–Slip Behavior of Recycled Concrete-Encased Steel (RCES) Subjected to Cyclic Loading
Abstract
1. Introduction
2. Test program
2.1. General
12 ribbed steel bars were selected as the longitudinal reinforcement (
means hot rolled ribbed steel bars with strength grade 335 MPa); and (9) steel plate: Q235 steel plate with thickness of 6 mm. The mechanical properties of shape steel and steel bars were tested according to the Chinese standard GB/T228, and the results are shown in Table 1.2.2. Specimen Design
- Replacement ratio of recycled concrete (r): The chemical bonding force is an important part of the bond capacity at the interface. The magnitude of chemical bonding force depends on the amount and quality of cement colloid formed in the process of concrete mixing, curing, and finally coagulation. However, r has a great impact on the formation of cement colloid. Thus, specimens RCES-2, RCES-3, RCES-4, and RCES-5 with different r of 0%, 30%, 70%, and 100% were investigated. The other parameters remain constant.
- Thickness of recycled concrete cover (Css): The cover thickness provides much constraint to the interface and makes the slip difficult to happen. Specimens RCES-2, RCES-6, RCES-7, and RCES-8 with different concrete cover 50, 60, 70, and 80 mm were tested to investigate the relationship between bond capacity and restrain effect.
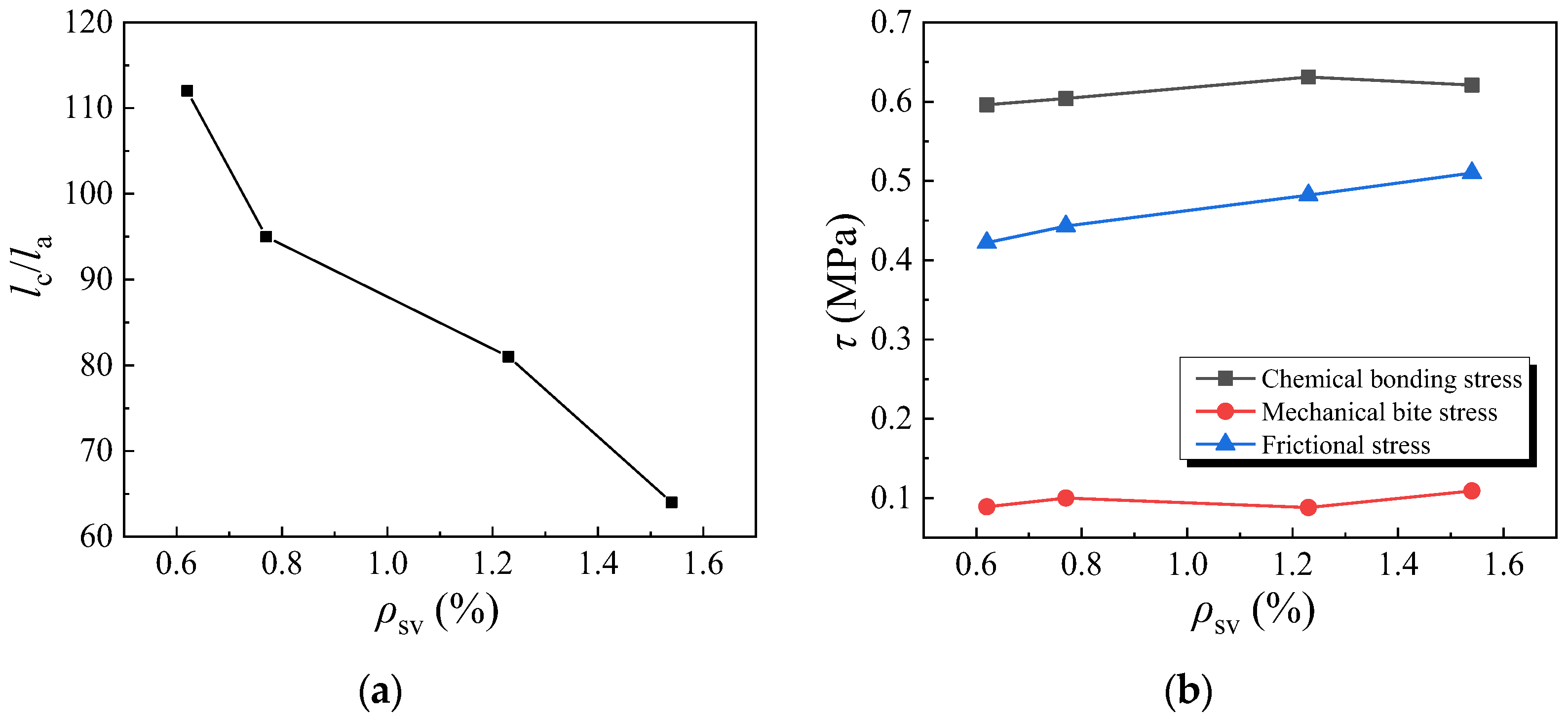
- Transvers reinforcement ratio (ρsv): The transvers reinforcement ratio also can provide constraint to the interface and improve the bond capacity to some extent. Specimens RCES-2, RCES-9, RCES-10, and RCES-11 were designed with different reinforcement ratios to study how the reinforcement improved the bond stress transferred at the interface.
- Compressive recycled concrete strength (fc): The same as r, different concrete strengths require different mix proportions; different mix proportions influence the formation of cement colloid; which as a result affects the chemical bond stress. Therefore, some other factors, such as aggregate size, the type of cement, the additives and admixtures were omitted as the compressive strength was considered. In this test, specimens RCES-2, RCES-12, RCES-13, and RCES-14 with different compressive strengths of 31.90 MPa, 40.32 MPa, 45.44 MPa, and 50.05 MPa, respectively, were studied.
2.3. Loading Procedure and Instrumentation
3. Results and Analysis
3.1. The Whole Loading Process
3.2. Analysis of Loading Procedure
- (1)
- Micro slip phase (O–A): The cyclic load increases linearly with the slip from 0. As shown in Figure 8a, the bonding stress at the interface increases gradually with the cyclic load. However, the cyclic load applied in this phase is relatively small; the transferred shear force at the interface is mainly carried by the chemical bonding stress. As the cyclic load continues increasing, the bonding stress at a certain point of the interface increases to the limit value of chemical bonding stress. At this time, the specimen is in a critical slip state, as shown in Figure 8b. With the increase in cyclic load, the cement colloid was damaged and obvious slip happened at the interface.
- (2)
- Slip development phase (A–B): In this phase, the bond–slip curve changes from a straight line to nonlinear line. Moreover, part of cement colloid was sheared and more damaged happened as shown in Figure 8c. The bonding slip zone diffused from fixed and loading end to the middle. The cement colloid damaged increased gradually so as to the slip zone as shown in Figure 8d. The chemical adhesive stress decreases gradually, while the mechanical bite stress and frictional resistance stress increase.
- (3)
- Slip increases rapidly phase (B–C): As shown in Figure 8e, the cement colloid on the interface will be completely damaged after the cyclic load reached to Pu. With the increase in cyclic loading, the chemical adhesive stress was lost, and the axial load dropped steeply.
- (4)
- Residual phase (C–D): In this phase, a concrete failure layer was formed as shown in Figure 8f. As the slip increased, the failure layer gradually grinds smooth. The mechanical bite stress gradually decreases and disappears, while the transferred shear force at the interface is carried by friction resistance stress.
3.3. Interface Damage Analysis
4. Composition and Solution of Bonding Stress
4.1. Distribution of Bonding Stress
4.2. Calculation of Bonding Stress
4.3. Parameter Analysis
4.3.1. Replacement Ratio of Recycled Concrete
4.3.2. Cover Thickness of Shape Steel
4.3.3. Reinforcement Ratio
4.3.4. Recycled Concrete Strength
5. Summary and Conclusions
- Based on the effect of shear transfer on the bond capacity, the whole loading procedure can be divided into four phases with four limit points as follows: Micro slip phase (OA)→micro slip point (A)→slip development phase (AB)→ultimate point (B)→slip increasing rapidly phase (BC)→residual point (C)→residual phase (CD).
- The bond–slip damage process can be divided into three phases: (1) linear rapid damage phase (0~0.6); (2) damage accumulation transition phase (0.6~0.9); and (3) damage stabilization phase (0.9~1.0). The bonding damage develops rapidly, which reaches over 50% when the slip at interface is about 0.2 mm.
- The bonding stress between H-shaped steel and recycled concrete is composed of chemical bonding stress τca, friction resistance stress τf, and mechanical biting stress τm. The mean values of the chemical bonding stress τca: friction resistance stress τf: mechanical biting stress τm is 1: 0.187: 0.696. In the composition of bonding stress, the chemical bonding stress is the largest, friction resistance stress is the second-largest, and the mechanical biting stress is the least.
- The average ratio of the length of bonding diffusion zone vs. the embedded length of steel lc/la is 89%. lc/la increases with the increase in the replacement rate of recycled aggregate, and decreases with the increase in the thickness of the section steel protective layer, the reinforcement ratio and the strength of recycled concrete. The chemical bonding stress τca and friction resistance stress τf decrease with the increase in the replacement ratio of recycled concrete, and increase with the increase in cover thickness of shape steel, reinforcement ratio, and recycled concrete strength. The effect of each design parameter on the mechanical biting stress is not obvious.
Author Contributions
Funding
Institutional Review Board Statement
Informed Consent Statement
Data Availability Statement
Conflicts of Interest
References
- Ma, H.; Xue, J.Y.; Liu, Y.; Zhang, X. Cyclic loading tests and shear strength of steel reinforced recycled concrete short columns. Eng. Struct. 2015, 92, 55–68. [Google Scholar] [CrossRef]
- Javier, E.L.; Sindy, S.P.; Belen, G.F.; Abella, F.M. Bond Behavior of Recycled Concrete: Analysis and Prediction of Bond Stress-Slip Curve. J. Mater. Civ. Eng. 2017, 29, 04017156. [Google Scholar] [CrossRef]
- Casuccio, M.; Torrijos, M.C.; Giaccio, G.; Zerbino, R. Failure mechanism of recycled aggregate concrete. Constr. Build. Mater. 2008, 22, 1500–1506. [Google Scholar] [CrossRef]
- Deepa, R.S.; Jithin, B. Strength and behaviour of recycled aggregate geopolymer concrete beams. Adv. Concr. Constr. 2017, 5, 145–154. [Google Scholar] [CrossRef]
- Kim, S.W.; Yun, H.D. Influence of recycled coarse aggregates on the bond behavior of deformed bars in concrete. Eng. Struct. 2013, 48, 133–143. [Google Scholar] [CrossRef]
- Prusty, R.; Mukharjee, B.B.; Barai, S.V. Nano-engineered concrete using recycled aggregates and nano-silica: Taguchi approach. Advances in concrete construction. Adv. Concr. Constr. 2015, 3, 253–268. [Google Scholar] [CrossRef]
- Suman, S.; Rajasekaran, C. Mechanical properties of recycled aggregate concrete produced with Portland Pozzolana Cement. Adv. Concr. Constr. 2016, 4, 27–35. [Google Scholar] [CrossRef]
- Tabsh, S.W.; Abdelfatah, A.S. Influence of recycled concrete aggregates on strength properties of concrete. Constr. Build. Mater. 2009, 23, 1163–1167. [Google Scholar] [CrossRef]
- Thomas, C.; Setién, J.; Polanco, J.A.; Alaejos, P.; de Juan, A.S. Durability of recycled aggregate concrete. Constr. Build. Mater. 2013, 40, 1054–1065. [Google Scholar] [CrossRef]
- Xu, J.; Wang, Y.; Ren, R.; Wu, Z.; Ozbakkaloglu, T. Performance evaluation of recycled aggregate concrete-filled steel tubes under different loading conditions: Database analysis and modelling. J. Build. Eng. 2020, 30, 101308. [Google Scholar] [CrossRef]
- Corinaldesi, V. Mechanical and elastic behaviour of concretes made of recycled-concrete coarse aggregates. Constr. Build. Mater. 2010, 24, 1616–1620. [Google Scholar] [CrossRef]
- Xue, J.; Zhai, L.; Bao, Y.; Ren, R.; Zhang, X. Seismic behavior of steel-reinforced recycled concrete inner-beam-column connection under low cyclic loads. Adv. Struct. Eng. 2017, 21, 631–642. [Google Scholar] [CrossRef]
- Han, B.C.; Yun, H.D.; Chung, S.Y. Shear capacity of reinforced concrete beams made with recycled aggregate. ACI Spec. Publ. 2001, 200, 503–516. [Google Scholar]
- Maruyama, I.; Sogo, M.; Sogabe, T. Flexural properties of reinforced recycled concrete beams. Mater. Struct. 2004, 8, 525–535. [Google Scholar]
- Sato, R.; Maruyama, I.; Sogabe, T.; Sogo, M. Flexural behavior of reinforced recycled concrete beams. J. Adv. Concr. Technol. 2007, 5, 43–61. [Google Scholar] [CrossRef]
- Ignjatović, I.S.; Marinković, S.B.; Mišković, Z.M.; Savić, A.R. Flexural behavior of reinforced recycled aggregate concrete beams under short-term loading. Mater. Struct. 2013, 46, 1045–1059. [Google Scholar] [CrossRef]
- Breccolotti, M.; Materazzi, A.L. Structural reliability of eccentrically-loaded sections in RC columns made of recycled aggregate concrete. Eng. Struct. 2010, 32, 704–712. [Google Scholar] [CrossRef]
- Choi, W.C.; Yun, H.D. Compressive behavior of reinforced concrete columns with recycled aggregate under uniaxial loading. Eng. Struct. 2012, 41, 285–293. [Google Scholar] [CrossRef]
- Corinaldesi, V.; Letelier, V.; Moriconi, G. Behaviour of beam-column joints made of recycled-aggregate concrete under cyclic loading. Constr. Build. Mater. 2011, 25, 1877–1882. [Google Scholar] [CrossRef]
- Xiao, J.Z.; Sun, Y.D.; Falkner, H. Seismic performance of frame structures with recycled aggregate concrete. Eng. Struct. 2006, 28, 1–8. [Google Scholar] [CrossRef]
- Xue, J.; Zhang, X.; Ren, R. Pseudo-dynamic test investigation of recycled concrete-encased steel frame. J. Build. Eng. 2020, 32, 101834. [Google Scholar] [CrossRef]
- Yang, Y.; Xue, Y.; Yu, Y.; Gao, F. Experimental study on seismic performance of partially precast steel reinforced concrete columns. Eng. Struct. 2018, 175, 63–75. [Google Scholar] [CrossRef]
- Chen, C.; Wang, C.; Sun, H. Experimental study on seismic behavior of full encased steel-concrete composite columns. J. Struct. Eng. 2014, 140, 04014024. [Google Scholar] [CrossRef]
- Zhang, X.; Xue, J.; Ren, R. Bond capacity between H-shaped steel and recycled concrete under cyclic loading. Struct. Des. Tall Spec. Build. 2021, 30, e1890. [Google Scholar] [CrossRef]
- Jurkiewiez, B.; Meaud, C.; Michel, L. Nonlinear behaviour of steel concrete epoxy bonded composite beams. J. Constr. Steel Res. 2011, 67, 389–397. [Google Scholar] [CrossRef]
- Tao, Z.; Song, T.Y.; Uy, B.; Han, L.H. Bond behavior in concrete-filled steel tubes. J. Constr. Steel Res. 2016, 120, 81–93. [Google Scholar] [CrossRef]
- Zhang, Q.H.; Jia, D.; Bao, Y.; Dong, S. Flexural behavior of steel-concrete composite beams considering interlayer slip. J. Struct. Eng. 2019, 145, 04019084. [Google Scholar] [CrossRef]
- Hotta, H.; Kihara, H.; Takiguchi, K. An empirical study on shear strength of steel encased reinforced concrete members concerning bond stress between steel and concrete. J. Struct. Constr. Eng. 1997, 62, 131–137. [Google Scholar] [CrossRef][Green Version]
- Zheng, H.H.; Chen, Z.P.; Su, Y.S. Research on mechanical behavior and bearing capacity calculation method of steel reinforced recycle aggregate concrete combined component with stud connecters. Ind. Constr. 2016, 46, 97–104. (In Chinese) [Google Scholar]
- Bai, G.; Yin, Y.; Liu, C.; Han, Y. Experimental study on bond-slip behavior between section steel and recycled aggregate concrete in steel reinforced recycled concrete structures. J. Build. Struct. 2016, 37, 135–142. [Google Scholar] [CrossRef]
- Chen, Z.; Zheng, H.; Xue, J.; Su, Y. Push-out test on interface bond slip behavior and analysis on bond strength between steel and recycled coarse aggregate concrete. J. Build. Struct. 2013, 34, 130–138. [Google Scholar]
- Chen, Z.; Chen, Y.; Zheng, H.; Xue, J. Analysis of Influence Factors and Bond Strength of Steel-Recycled Aggregate Concrete Interface. Ind. Build. 2013, 43, 1–6. (In Chinese) [Google Scholar]
- Zhou, Y.; Zheng, S.; Chen, L.; Long, L.; Wang, B. Experimental investigation into the seismic behavior of squat reinforced concrete walls subjected to acid rain erosion. J. Build. Eng. 2021, 44, 102899. [Google Scholar] [CrossRef]

















| Shape Steel and Steel Bars | Yield Strength fy/MPa | Yield Strain εy/10−6 | Ultimate Strength fu/MPa | Elastic Modulus Es/MPa | |
|---|---|---|---|---|---|
| Φ6 smooth bars | 445 | 1878 | 490 | 2.12 × 105 | |
12 longitudinal bars | 505 | 1927 | 715 | 2.09 × 105 | |
| Shape steel | Steel flange | 359 | 1588 | 469 | 2.05 × 105 |
| Steel web | 332 | 1450 | 429 | 2.13 × 105 | |
| Steel plate | 340 | 1201 | 445 | 2.15 × 105 | |
| Specimen | W/C | Sp (%) | Material Weight (kg·m−3) | r (%) | Css (mm) | ρsv (%) | fc (MPa) | fcu (MPa) | ||||||
|---|---|---|---|---|---|---|---|---|---|---|---|---|---|---|
| Cement | W | RCA | NCA | S | Added Water | Water Reducer | ||||||||
| RCES-01 | 0.45 | 36 | 406 | 183 | 1158 | 0 | 651 | 55.6 | 4.07 | 100 | 60 | 0.77 | C40 | 40.32 |
| RCES-02 | 0.45 | 36 | 406 | 183 | 1158 | 0 | 651 | 55.6 | 4.07 | 100 | 60 | 0.77 | C40 | 40.32 |
| RCES-03 | 0.45 | 36 | 406 | 183 | 0 | 1158 | 651 | -- | 4.07 | 0 | 60 | 0.77 | C40 | 42.96 |
| RCES-04 | 0.45 | 36 | 406 | 183 | 347.4 | 810.6 | 651 | 16.68 | 4.07 | 30 | 60 | 0.77 | C40 | 41.44 |
| RCES-05 | 0.45 | 36 | 406 | 183 | 810.6 | 347.4 | 651 | 38.92 | 4.07 | 70 | 60 | 0.77 | C40 | 41.06 |
| RCES-06 | 0.45 | 36 | 406 | 183 | 1158 | 0 | 651 | 55.6 | 4.07 | 100 | 50 | 0.77 | C40 | 40.32 |
| RCES-07 | 0.45 | 36 | 406 | 183 | 1158 | 0 | 651 | 55.6 | 4.07 | 100 | 70 | 0.77 | C40 | 40.32 |
| RCES-08 | 0.45 | 36 | 406 | 183 | 1158 | 0 | 651 | 55.6 | 4.07 | 100 | 80 | 0.77 | C40 | 40.32 |
| RCES-09 | 0.45 | 36 | 406 | 183 | 1158 | 0 | 651 | 55.6 | 4.07 | 100 | 60 | 0.62 | C40 | 40.32 |
| RCES-10 | 0.45 | 36 | 406 | 183 | 1158 | 0 | 651 | 55.6 | 4.07 | 100 | 60 | 1.23 | C40 | 40.32 |
| RCES-11 | 0.45 | 36 | 406 | 183 | 1158 | 0 | 651 | 55.6 | 4.07 | 100 | 60 | 1.54 | C40 | 40.32 |
| RCES-12 | 0.47 | 37 | 389 | 183 | 1151 | 0 | 676 | 55.3 | 3.90 | 100 | 60 | 0.77 | C30 | 31.90 |
| RCES-13 | 0.40 | 36 | 450 | 180 | 1132 | 0 | 637 | 54.4 | 4.50 | 100 | 60 | 0.77 | C45 | 45.44 |
| RCES-14 | 0.35 | 35 | 505 | 177 | 1116 | 0 | 601 | 53.6 | 5.06 | 100 | 60 | 0.77 | C50 | 50.05 |
| Specimen | Ps (kN) | τs (MPa) | Ss (mm) | Pu (kN) | τu (MPa) | Su (mm) | Pr (kN) | τr (MPa) | Sr (mm) |
|---|---|---|---|---|---|---|---|---|---|
| RCES-01 | 141.90 | 1.29 | 0.074 | 150.70 | 1.37 | 0.521 | 71.50 | 0.65 | 5.131 |
| RCES-02 | 35.20 | 0.32 | 0.018 | 89.10 | 0.81 | 0.483 | 36.62 | 0.33 | 4.144 |
| RCES-03 | 46.20 | 0.42 | 0.024 | 103.40 | 0.94 | 0.369 | 42.90 | 0.39 | 3.760 |
| RCES-04 | 44.00 | 0.40 | 0.023 | 96.80 | 0.88 | 0.406 | 39.69 | 0.36 | 4.036 |
| RCES-05 | 39.60 | 0.36 | 0.021 | 92.40 | 0.84 | 0.435 | 37.45 | 0.34 | 4.763 |
| RCES-06 | 30.80 | 0.28 | 0.016 | 81.40 | 0.74 | 0.509 | 34.13 | 0.31 | 3.825 |
| RCES-07 | 36.30 | 0.33 | 0.019 | 93.50 | 0.85 | 0.464 | 40.47 | 0.37 | 4.964 |
| RCES-08 | 38.50 | 0.35 | 0.019 | 94.60 | 0.86 | 0.413 | 40.82 | 0.37 | 4.841 |
| RCES-09 | 30.80 | 0.28 | 0.016 | 89.10 | 0.81 | 0.448 | 34.48 | 0.31 | 3.985 |
| RCES-10 | 40.70 | 0.37 | 0.021 | 89.10 | 0.81 | 0.399 | 38.51 | 0.35 | 4.375 |
| RCES-11 | 47.30 | 0.43 | 0.025 | 90.20 | 0.82 | 0.382 | 41.80 | 0.38 | 4.406 |
| RCES-12 | 29.70 | 0.27 | 0.016 | 73.70 | 0.67 | 0.393 | 33.02 | 0.30 | 4.830 |
| RCES-13 | 37.40 | 0.34 | 0.020 | 94.60 | 0.86 | 0.446 | 40.71 | 0.37 | 4.295 |
| RCES-14 | 44.00 | 0.40 | 0.023 | 97.90 | 0.89 | 0.481 | 41.80 | 0.38 | 4.356 |
| Specimen | lc (mm) | lc/la | x (mm) | (MPa) | (MPa) | (MPa) | ||
|---|---|---|---|---|---|---|---|---|
| SRRC-02 | 190.72 | 95% | 168.42 | 0.604 | 0.100 | 0.443 | 0.165 | 0.733 |
| SRRC-03 | 179.92 | 90% | 145.42 | 0.773 | 0.075 | 0.560 | 0.097 | 0.724 |
| SRRC-04 | 182.99 | 92% | 141.60 | 0.747 | 0.109 | 0.479 | 0.146 | 0.641 |
| SRRC-05 | 191.76 | 96% | 152.25 | 0.687 | 0.094 | 0.460 | 0.137 | 0.670 |
| SRRC-06 | 181.92 | 91% | 179.83 | 0.503 | 0.142 | 0.363 | 0.282 | 0.723 |
| SRRC-07 | 181.88 | 91% | 174.30 | 0.596 | 0.123 | 0.476 | 0.207 | 0.799 |
| SRRC-08 | 174.36 | 87% | 166.47 | 0.613 | 0.094 | 0.510 | 0.154 | 0.833 |
| SRRC-09 | 223.92 | 112% | 188.64 | 0.596 | 0.089 | 0.422 | 0.149 | 0.708 |
| SRRC-10 | 162.31 | 81% | 144.36 | 0.631 | 0.088 | 0.482 | 0.140 | 0.764 |
| SRRC-11 | 126.47 | 64% | 123.95 | 0.621 | 0.109 | 0.510 | 0.176 | 0.820 |
| SRRC-12 | 179.40 | 90% | 167.05 | 0.485 | 0.118 | 0.371 | 0.244 | 0.765 |
| SRRC-13 | 176.20 | 88% | 172.25 | 0.597 | 0.123 | 0.479 | 0.207 | 0.803 |
| SRRC-14 | 168.22 | 84% | 146.41 | 0.699 | 0.145 | 0.474 | 0.207 | 0.678 |
| Average | 178.01 | 89% | 152.67 | 0.685 | 0.129 | 0.460 | 0.187 | 0.696 |
Publisher’s Note: MDPI stays neutral with regard to jurisdictional claims in published maps and institutional affiliations. |
© 2022 by the authors. Licensee MDPI, Basel, Switzerland. This article is an open access article distributed under the terms and conditions of the Creative Commons Attribution (CC BY) license (https://creativecommons.org/licenses/by/4.0/).
Share and Cite
Gao, J.; Zhao, G.; Zhang, X. Load Transfer Mechanism and Bond–Slip Behavior of Recycled Concrete-Encased Steel (RCES) Subjected to Cyclic Loading. Coatings 2022, 12, 1806. https://doi.org/10.3390/coatings12121806
Gao J, Zhao G, Zhang X. Load Transfer Mechanism and Bond–Slip Behavior of Recycled Concrete-Encased Steel (RCES) Subjected to Cyclic Loading. Coatings. 2022; 12(12):1806. https://doi.org/10.3390/coatings12121806
Chicago/Turabian StyleGao, Jun, Guoliang Zhao, and Xin Zhang. 2022. "Load Transfer Mechanism and Bond–Slip Behavior of Recycled Concrete-Encased Steel (RCES) Subjected to Cyclic Loading" Coatings 12, no. 12: 1806. https://doi.org/10.3390/coatings12121806
APA StyleGao, J., Zhao, G., & Zhang, X. (2022). Load Transfer Mechanism and Bond–Slip Behavior of Recycled Concrete-Encased Steel (RCES) Subjected to Cyclic Loading. Coatings, 12(12), 1806. https://doi.org/10.3390/coatings12121806

