Next Article in Journal
Research on Distribution Model and Detection Spacing of Compaction Degree of Asphalt Pavement Based on the PQI Method
Previous Article in Journal
A Smart Anticorrosive Epoxy Coating Based on Graphene Oxide/Functional Mesoporous Silica Nanoparticles for Controlled Release of Corrosion Inhibitors
 
 
Font Type:
Arial Georgia Verdana
Font Size:
Aa Aa Aa
Line Spacing:
Column Width:
Background:
Article

Influence of Photochromic Microcapsules on Properties of Waterborne Coating on Wood and Metal Substrates

1
Co-Innovation Center of Efficient Processing and Utilization of Forest Resources, Nanjing Forestry University, Nanjing 210037, China
2
College of Furnishings and Industrial Design, Nanjing Forestry University, Nanjing 210037, China
*
Author to whom correspondence should be addressed.
Coatings 2022, 12(11), 1750; https://doi.org/10.3390/coatings12111750
Submission received: 13 July 2022 / Revised: 7 November 2022 / Accepted: 10 November 2022 / Published: 15 November 2022

Abstract

:
With the development of the economy and science and technology, consumers have put forward higher requirements for the functionality of surface coatings on wood products and metal products, which requires us to endow traditional coatings with new functions. Innovative research of coatings has been a research hotspot in recent years, and the combination of microencapsulation technology with coatings is a research direction attracting much attention. In this paper, a kind of spirooxazine color-changing microcapsules containing photochromic purple dye was selected to explore the effect of different loadings of the photochromic microcapsules on the properties of the coatings. The photochromic microcapsules were added to the waterborne coating with loadings of 5.0%, 10.0%, 15.0%, 20.0% and 25.0%. The coatings were coated on Tilia europaea boards and aluminum alloy plates to explore the optical properties, mechanical properties, cold liquid resistance and aging resistance of the coatings. The results showed that the coating had good photochromic property on wood substrate and metal substrate. When the loading was 15.0% and 10.0%, the comprehensive performance of the coating was good. The color difference of the coating before and after photochromism was 51.0 and 62.0, the glossiness was 7.1% and 15.9%, the hardness was 3H, the adhesion grade was 1, the impact resistance was 4 kg·cm, the roughness was 1.2 μm and 0.9 μm and the liquid resistance grade was 1. The research results show that the photochromic microcapsule can endow the paint with a reversible color change function and improve some mechanical properties of the coating, which indicates that the composite prepared in this study can be used in the surface finishing of wood and metal and has certain research value and application potential.

1. Introduction

Wood materials and metal materials are indispensable materials in production and manufacturing. Wood is a kind of natural material with beautiful patterns and color and is easy to process [1,2,3,4,5,6,7,8,9,10]. Metal materials are durable, hard and plastic [11], but their color is monotonous. In daily use, a substrate surface is usually coated to increase the aesthetics of the substrate, effectively protect the substrate and extend the service life of the substrate [12,13,14,15,16,17]. With the development of science and technology, people are no longer satisfied with traditional coatings [18,19,20] but pursue new coatings with different functions. The market demand for functional coatings is increasing day by day, and research on functional coatings has also been widely carried out; in this research, color-changing coating is one of the hotspots. If a coating on the wood and metal surface can change the color, it can make up for the problem of the monotonous color of the substrate itself, which can not only increase the added value of the product, but also meet the personalized and diversified needs of the consumers [21,22,23,24,25,26]. There are many kinds of coatings used in furniture. Compared with traditional coatings, waterborne acrylic resin coatings use water as a solvent, so they can reduce the volatilization of VOCs and save resources. They are common green environmental protection coatings. A coating coated with waterborne coating has good gloss, adhesion and weather resistance [27,28,29,30].
Under the stimulation of light at a specific wavelength, chemical or physical reactions will occur inside a photochromic material, making the original substance A change into substance B, and the substance changes from color A to color B. This color change process is generally reversible [31,32]. A microcapsule is a kind of structure in which a wall material covers the core material. This technology is an important research object of color-changing coatings because it can effectively protect the color-changing core material and prolong the color-changing effect [33,34]. The photochromic microcapsule is a kind of microcapsule made of a photochromic compound as the core material. It can change color under the irradiation of ultraviolet light and has been used in architecture, textiles and other fields. When photochromic microcapsules were put into a coating to study the changes under sunlight, it was found that the microcapsules have a sensitive color change function, and the performance of the prepared coating can be adjusted by controlling the content of the microcapsules [35]. It was also found that a color-changing microcapsule combined with epoxy resin was successfully applied on the surface of wood and glass to achieve a reversible color-changing coating effect [36]. These research results show that it is feasible to apply photochromic microcapsules to coatings, which can endow coatings with the function of reversible color change and can have potential applications. However, the content of microcapsules and their influence on the optical and mechanical properties of the coatings need to be studied.
In this work, a kind of spirooxazine photochromic microcapsules which change from white to rose red under natural light is selected [37,38]. The core material of the microcapsules is the photochromic compound spiroxazine, which is one of the organic compounds. The wall material is melamine-formaldehyde resin. Spiroxazine is a kind of photochromic dye that is widely used in many fields, such as textile and clothing, anti-counterfeiting and information storage [39,40]. This kind of microcapsule has a rapid light response and strong stability. It can completely change color under natural light irradiation for about 20 s. The color changes obviously before and after discoloration, and the discoloration cycle is excellent. There are many kinds of coatings used on metal and wood surfaces. Compared with traditional coatings, waterborne acrylic resin coating uses water as the solvent, which can reduce VOC volatilization and save resources. It is a common green environmental protection coating on the market. The coating has good glossiness, adhesion and weather resistance, but also has insufficient hardness and is prone to scratches. Therefore, the waterborne acrylic resin coating is selected in this paper. The photochromic microcapsules were put into a waterborne coating and coated on the Tilia europaea and aluminum alloy. The effects of different microcapsule loadings on the optical properties, mechanical properties, cold liquid resistance and aging resistance of the coatings were analyzed, supplying a certain reference for the research and development of the discoloration performance of furniture coatings, and the appropriate microcapsule addition amount was obtained through comparison. The color-changing coatings have the potential for application. The characteristics and application fields of traditional waterborne coatings and waterborne coatings with photochromic microcapsules are compared as shown in Table 1.
In order to endow the coating with a color-changing function, this work presents innovative research on the coating and prepares a composite material combining photochromic microcapsules and waterborne coating. The morphology, chemical composition and photochromic properties of the microcapsules and coatings were characterized. The color difference, glossiness, adhesion and impact resistance of the coating before and after photochromism on different substrates and under different microcapsule loading were studied. This study is expected to provide some reference for the research and development of photochromic coatings on different substrates.

2. Experimental Materials and Methods

2.1. Experimental Materials

The test materials are shown in Table 2. The photochromic microcapsule is white before discoloration, as shown in Figure 1A. It turns to rose red after being exposed to sunlight, as shown in Figure 1B. The main components of the photochromic microcapsules are shown in Table 3. Nippon waterborne acrylic coating was mainly composed of waterborne acrylic copolymer (the content is 90.0%), matting agent (the content is 2.0%), additive (the content is 2.0%) and water (the content is 6.0%). Tilia europaea boards were selected as wood substrate, with the specification of 100 mm × 50 mm × 5 mm. The cell stroma of Tilia europaea was uniform and fine, corrosion-resistant, wear-resistant and light in color, which was convenient for observing the color change of microcapsules [41]. The metal material was an aluminum alloy plate, with the specification of 50 mm × 50 mm × 0.5 mm. The surface was smooth.

2.2. Experimental Methods

The research methods and process of this study are shown in Figure 2.
The Tilia europaea boards were polished with 600 mesh sandpaper to make the surface smooth without burrs. According to Table 4, the photochromic microcapsules and waterborne coating were weighed, and the photochromic microcapsules were put into the coating according to the loadings of 5.0%, 10.0%, 15.0%, 20.0% and 25.0%. After the two kinds of materials were stirred evenly, they were coated on the metal substrate and wood substrate with a coating preparer and then polished with 800 mesh sandpaper after natural drying. The photochromic coatings can be prepared by repeating the above steps twice. The thickness of the coatings was about 60 μm.

2.3. Testing and Characterization

Table 5 includes the equipment and instruments used in this test. The micromorphology of the microcapsules was observed by SEM. Origin software was selected to draw the particle size distribution of the photochromic microcapsules.
Based on the standard of GB/T 11186.3-1989 [42], the color difference of coating was tested using a portable colorimeter. The data of L*, a* and b*, which represent chromaticity values, were recorded. The first set of data was L1*, a1* and b1*, and the second set of data was L2*, a2* and b2*. ΔE* indicates the color difference, calculated by the formula (1).
ΔE* = [(ΔL*)2 + (Δa*)2 + (Δb*)2]1/2
On the basis of the standard of GB/T 4893.4-2013 [43], a gloss meter was selected to record the glossiness of the coatings at 20°, 60° and 85° incidence angles. G0 represents the gloss of the coatings without microcapsules, G1 represents the gloss of the coatings with microcapsules and GL represents the light loss rate, calculated by the formula (2).
GL = (G0G1)/G0 × 100%
On the basis of the standard of GB/T 6739-2006 [44], a portable paint film hardness tester was selected to record the hardness of the coatings. The pencils of 6H-6B were inserted into the hardness tester. The order of use of the pencil was from soft to hard. Each pencil was scratched on the paint film four times. When the coating was not broken, the maximum hardness value displayed by the pencil was the hardness of the coating. According to the standard of GB/T 9286-1998 [45], a paint film gridding instrument was selected to record the adhesion of the film. The adhesion grade was split into grades 0, 1, 2, 3, 4 and 5, and grade 0 represents the best adhesion. Based on the standard of GB/T 1732-1993 [46], a paint film impactor tester was selected to record the impact resistance. After the coating was impacted by the impact block, the coating surface was observed. If there was no crack, the highest height of the impact block was the impact strength of the coating. On the basis of the standard of GB/T 6062-1985 [47], the roughness of the coatings was tested using a probe-type surface profiler. A stylus with a radius of curvature of about 2 μm was slid slowly along the tested surface for testing. The value of Ra represents the roughness. Based on the standard of GB/T 4893.1-2005 [48], acetic acid, ethanol, coffee and sodium chloride were selected as the cold liquid resistance reagents. The middle part of the coating was selected as the test area. The filter papers were soaked in the solution for about 5 s and then taken out and placed on the coating surface. After 24 h, the filter papers were uncovered, and the residual liquid was wiped dry. The color difference and gloss of the cold-liquid-resistant area were tested to judge the cold liquid resistance grade. Based on the standard of GB/T 1865-2009 [49], the aging test was conducted in an aging test chamber. The irradiance of the UV lamp was 50 w/m2. The coatings were placed in the chamber, and the chromaticity value of the coating surface was tested every 24 h until the coatings had no discoloration property.

3. Results and Discussion

3.1. Morphology Analysis of the Photochromic Microcapsules

Figure 3A,B show the scanning electron microscope images of the photochromic microcapsules. We can see that the photochromic microcapsules are regular and spherical, and the surface is smooth. Figure 4 is a particle size distribution diagram drawn according to Figure 3B. It can be seen that the number of microcapsules with a particle size of 4–5 μm is the largest.

3.2. Infrared Spectrum Analysis of the Photochromic Microcapsules and Coatings

Figure 5 is the FTIR image of the photochromic microcapsules. Table 6 shows the characteristic peaks. At 3027 cm−1 and 2967 cm−1, there are C-H and -CH2 stretching vibration peaks on the benzene ring. The in-plane and out-of-plane bending vibration peaks of C-H on the benzene ring appear at 697 cm−1 and 1120 cm−1. These characteristic peaks are the characteristic peaks of styrene maleic anhydride copolymer in the microcapsules [50]. The characteristic peaks of polyformaldehyde melamine appear at 3346 cm−1, 816 cm−1 and 1343 cm−1, corresponding to the -NH stretching vibration characteristic peak connected to the thiotriazinone and the stretching vibration absorption peak of the thiotriazinone [51]. The appearance of the characteristic peak at 2924 cm−1 is attributed to -CH2 on the side chain of the indole fragment in the structure, while the appearance of the 1451 cm−1 characteristic peak is due to the deformation vibration of C-H on the benzene ring in the molecular structure, and these characteristic peaks belong to the characteristic peaks of the photochromic dyes [52].
Figure 6 is the FTIR image of the waterborne coating and the coatings with the addition of different contents of microcapsules on wood and metal substrates. The characteristic peaks of waterborne coating appear at 3337 cm−1, 1729 cm−1, 1370 cm−1 and 1451 cm−1, corresponding to the stretching vibration peak of O-H, the stretching vibration peak of C=O, the out-of-plane bending vibration peak of C-H in -CH2 and the stretching vibration peak of (-CH2)-CH2, respectively. In addition to the above characteristic peaks, the waterborne coating with the addition of the photochromic microcapsules also has peaks of 2967 cm−1, 2924 cm−1, 1451 cm−1, 1343 cm−1, 1120 cm−1, 816 cm−1 and 697 cm−1, which are characteristic peaks of the photochromic microcapsules. Comparing the infrared spectra of the coatings on wood and metal substrates, it can be found that the characteristic peaks of the two substrates are consistent, and no new peaks appear or disappear. Therefore, it can be known that there is no chemical reaction between the waterborne coating, the substrates and the microcapsules.

3.3. Effect of Microcapsule Loading on Discoloration of the Coatings

Table 7 shows the chromaticity values and color differences before and after the photochromism of coatings on different substrates at different microcapsule loadings. Figure 7 shows the changing trend in the color difference of the coatings on different substrates. The coatings with the photochromic microcapsules were placed under visible light for 20 s, and the color change was observed every 5 s and was photographed for recording. Figure 8 and Figure 9 show the discoloration process of the coating on the wood substrate with 15.0% microcapsules and the coating on the metal substrate with 10.0% microcapsules, respectively. On the wood surface, the color difference of the coating without microcapsules is almost unchanged. The color difference value gradually increases along with the increase in the loading from 0% to 15.0%. The color difference of the coating reached the maximum at 15.0% microcapsule loading, which is 51.0. The color difference of the coating decreases gradually at 20.0%–25.0% microcapsule loading. On the metal substrate, the color difference of the coating changed little at 0% microcapsule loading. With the increase in the loading, the overall color difference also increases first and then decreases. The color difference changes most obviously when the microcapsule loading is between 0% and 5.0%. When the microcapsule loading increases to 10.0%, the color difference further increases slowly, reaching the maximum value of 62.0. However, as the content of microcapsules increased from 15.0% to 25.0%, the color difference gradually decreased.
The color difference values of the coatings on wood and metal substrates both increase firstly and then decrease slowly. This is because before the color changes, with the increase in microcapsules, the coatings slowly change from transparent to white, and the color difference value increases. The microcapsules will be closely distributed on the surface of the coatings with a further increase in the loading. There is almost no gap between microcapsules, so the color difference value reaches the maximum. On this basis, the color difference of the coatings did not change greatly, as the content of microcapsules continues to increase.
Figure 10 and Figure 11 show the SEM images of coatings with the addition of different contents of microcapsules on wood and metal substrates. They show that the coating surface without microcapsules is smooth. When the microcapsule content increased to 15.0% and 20.0%, the particles on the coating surface gradually increased. Due to the small particle size of microcapsules and the small content of microcapsules, the microcapsules can still be slightly uniformly dispersed in the coating. Therefore, the surface of the prepared coatings is relatively smooth.
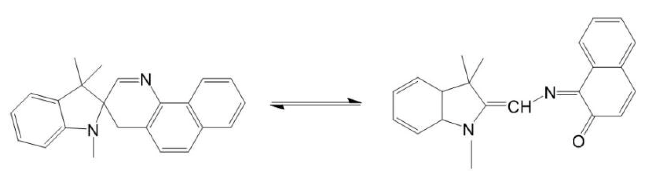
As shown in Figure 12, in general, the indoline spiroxizine in the photochromic purple dye in the microcapsules is a stable colorless closed-loop structure. One SP hybrid spiro carbon atom divides spiroxizine into a nearly vertical indoline ring and a spiraphthalazine ring. The microcapsule color is white. Under the irradiation of ultraviolet light, electron transfer occurs between carbon atoms and oxygen atoms, and the closed loop of indoline spiroxizine breaks and becomes open, forming a conjugated system. Absorption occurs in the visible light region, and the microcapsule color changes to rose red. Without UV irradiation, it returns to the stable closed-loop structure.

3.4. Effect of Microcapsule Loading on Gloss of the Coatings

The influence of different microcapsule loadings on coating gloss on wood and metal substrates is shown in Table 8 and Figure 13. The gloss of the coating gradually decreases with the increase in microcapsule loading on the two substrates. When the microcapsule loading was between 0% and 15.0%, the gloss of the coating decreased rapidly, and when the microcapsule content was between 20.0% and 25.0%, the gloss of the coating changed gently. The gloss loss rate of the coating decreases the fastest and the gloss loss rate is the lowest at 5.0% microcapsule loading. At 10.0%–25.0% microcapsule loading, the gloss loss rate of the coating changes slowly and the gloss loss rate is higher. The gloss of the coating is affected by the roughness of the coating surface. With the increase in the microcapsule loading, the roughness of the coating increases, which reduces the gloss of the coating.
The gloss loss rate of the coating on the wood substrate is lower than that on the metal substrate. When the microcapsule content is between 0% and 10.0%, the gloss of the metal substrate is higher than that of the wood substrate, because the wood itself is matte, and the gloss is low, while the original gloss of metal is high.

3.5. Effect of Microcapsule Loading on Mechanical Properties and Roughness of the Coatings

The effects of microcapsule loading on mechanical properties and roughness of the coatings on wood and metal substrates are shown in Table 9. The hardness of the coating gradually increases with the increase in microcapsule loading. There is little change in adhesion. When the microcapsule loading is between 5.0% and 20.0%, the adhesion of the coating is grade 1. The adhesion decreases to grade 2 at 20.0% microcapsule loading. This is because with the increase in microcapsules, the interfacial adhesion between the coatings and the substrates decreases, so the adhesion of the coatings decreases. The impact resistance first increased and then decreased. The impact resistance of the coating gradually decreased to 3 kg·cm at 20.0% microcapsule loading. Because the microcapsules are small particles with a structure in which the core is wrapped with the shell, the shell material of the microcapsules has a protective effect on the core material. After the microcapsules are put into the coatings and coated on the substrate, they form a protective structure to improve the impact resistance of the coating. When the microcapsule loading is too high, the adhesion between the coating and the microcapsules decreases, the microcapsules agglomerate, the surface hardness of the coatings increases, the flexibility decreases and the impact resistance decreases. The surface roughness of the coatings shows an upward trend. With the increase in microencapsulated particles in the coatings, the roughness of the coatings increases. When the load is 25.0%, the roughness on the wood substrate is less than that of 20.0% content. This is because the addition of 20.0% is excessive, and the coating surface is uneven and rough. When the load is increased to 25.0%, more microcapsules fill the depressions of some coating surfaces. Therefore, compared with 20.0%, the roughness is decreased, but the roughness is also large, which is not suitable for practical applications.

3.6. Effect of Microcapsule Loading on Cold Liquid Resistance of the Coatings

Table 10, Table 11 and Table 12 show the color difference, gloss and cold liquid resistance grade of the coatings before and after the cold liquid resistance test. On the wood substrate, the color difference of the coating at 0% microcapsule loading hardly changed. After the cold liquid resistance test of acetic acid, NaCl and ethanol, the color difference of the coatings with the addition of microcapsules is not obvious, and the color difference is less than 5.0. Due to the dark color of coffee, the coatings containing microcapsules have obvious marks on the surface. Along with the increase in microcapsule loading, the traces gradually deepen and the color difference gradually increases. When the microcapsule content in the coating is 25.0%, the color difference of the coating reaches the maximum. The gloss of the coating changes little after the test. When the microcapsule loading is between 0% and 15.0%, the coatings have good cold liquid resistance to acetic acid, NaCl and ethanol. The cold liquid resistance grade is 1, and the surface of the coatings is basically free of marks. When the microcapsule content is between 20.0% and 25.0%, the cold liquid resistance to acetic acid, NaCl and ethanol decreases; the cold liquid resistance grade increases; and the marks on the surface are obvious. On the metal substrate, the color difference of the coating at 0% microcapsule loading changes little after the test. The changing trends in color difference, gloss and cold liquid resistance of the coatings with the addition of microcapsules are generally consistent with those of the coatings on the wood substrate. This is mainly because the microcapsules before photochromism are white. When the content of microcapsules was high, the marks left on the surface of the coatings were obvious, so the cold liquid resistance was reduced.

3.7. Effect of Microcapsule Loading on Aging Resistance of the Coatings

Table 13 shows the color difference values of coatings on wood and metal substrates before and after aging. On the wood surface, the color of the coatings with microcapsules gradually becomes lighter, and the photochromic property of the coating is gradually lost after UV aging. The color difference before and after aging is large, up to 44.7. The color difference of the coating at 0% microcapsule loading changes slightly after aging, and there is no obvious change on the surface of the coating, with a color difference of 6.9. On the metal surface, the color of the coating with microcapsules gradually becomes lighter, and the photochromic property of the coating is gradually lost after UV aging. The color difference before and after aging is large, up to 57.0. The color difference of the coating at 0% microcapsule loading changes slightly after aging, and the coating surface has no obvious change, with a color difference of 5.3. This is because the coating with the addition of the photochromic microcapsules gradually degrades during UV aging, and it cannot form a conjugated system under UV irradiation, so it cannot change color.
Kim et al. [35] embedded a newly synthesized photochromic capsule into a photoresist and realized a new type of mechanical response polymer. However, the polymer was not added to the coating for research. Hu et al. [32] added photochromic microcapsules to water-based coatings and coated them on the surface of plywood, focusing on the study of the color change performance and adhesion of the coatings. However, these studies did not consider any other mechanical properties or the aging resistance of the coating. Compared with the results reported above, in this work, the photochromic microcapsules were added to the waterborne coatings at different loads to study the optical and mechanical properties, cold liquid resistance and aging resistance, and the performance of photochromic microcapsules was more detailed and comprehensive. The results showed that the coating had a good photochromic property. When the loading was 15.0% and 10.0% on wood and metal substrates, respectively, the comprehensive performance of the coating was good. The color difference of the coating before and after photochromism was 51.0 and 62.0, the glossiness was 7.1% and 15.9%, the hardness was 3H, the adhesion grade was 1, the impact resistance was 4 kg·cm, the roughness was 1.2 μm and 0.9 μm and the liquid resistance grade was 1.

4. Conclusions

In this work, we showed the potential application of photochromic microcapsules in waterborne coatings on wood and metal surfaces. The effects of microcapsules with different loadings on the optical properties, mechanical properties, cold liquid resistance and aging resistance of the coating were investigated. The results show that the coating has good discoloration performance and realizes the function of reversible discoloration. In terms of other properties, the glossiness is slightly reduced, the hardness is greatly improved, the impact resistance is slightly improved, the roughness and adhesion are slightly reduced and the cold liquid resistance is good. In this study, photochromic microcapsules and a waterborne coating were combined and painted on wood and metal substrates, and a comparison of their properties showed that the combination successfully endowed the coating with the function of reversible discoloration. This kind of coating has potential application value in furniture coating, architectural decoration and other fields. The results provide a reference for the application of photochromic microcapsules in wood and metal surface coatings.

Author Contributions

Conceptualization, methodology, validation, resources, data management, supervision, N.H.; formal analysis, investigation, X.Y.; writing—review and editing, W.Z. All authors have read and agreed to the published version of the manuscript.

Funding

This project was sponsored by Qing Lan Project and the Natural Science Foundation of Jiangsu Province (BK20201386).

Institutional Review Board Statement

Not applicable.

Informed Consent Statement

Not applicable.

Data Availability Statement

Not applicable.

Conflicts of Interest

The authors declare that there is no conflict of interest.

References

  1. Mai, C.; Schmitt, U.; Niemz, P. A brief overview on the development of wood research. Holzforschung 2021, 74, 102–119. [Google Scholar]
  2. Yan, X.X.; Zhao, W.T.; Wang, L. Preparation and performance of thermochromic and self-repairing dual function paint film with lac resin microcapsules and fluorane microcapsules. Polymers 2021, 13, 3109. [Google Scholar] [CrossRef] [PubMed]
  3. Zhao, Y.; Ren, J.; Zheng, X.; Pan, B.; Leng, W. Effects of three kinds of fungi on color, chemical composition and route of infection of Picea sitchensis. J. For. Eng. 2021, 6, 88–93. [Google Scholar]
  4. Wu, S.; Tao, X.; Xu, W. Thermal conductivity of Poplar wood veneer impregnated with graphene/polyvinyl alcohol. Forests 2021, 12, 777. [Google Scholar]
  5. Yang, Y.; Xu, W.; Liu, X.; Wang, X. Study on permeability of Cunninghamia Lanceolata based on steam treatment and freeze treatment. Wood Res. 2021, 66, 721–731. [Google Scholar] [CrossRef]
  6. Hu, J.; Liu, Y.; Wu, Z.; Pang, X. Construction of bionic structural color coating on wood surface based on polystyrene microspheres. J. For. Eng. 2021, 6, 35–42. [Google Scholar]
  7. Zhang, N.; Mao, Y.Q.; Wu, S.S.; Xu, W. Effects of the Ball Milling Process on the Particle Size of Graphene Oxide and Its Application in Enhancing the Thermal Conductivity of Wood. Forests 2022, 13, 1325. [Google Scholar] [CrossRef]
  8. Liu, Q.Q.; Gu, Y.T.; Xu, W.; Lu, T.; Li, W.J.; Fan, H.B. Compressive Properties of Polyurethane Fiber Mattress Filling Material. App. Sci. 2022, 12, 6139. [Google Scholar]
  9. Zhou, J.C.; Xu, W. Toward interface optimization of transparent wood with wood color and texture by silane coupling agent. J. Mater. Sci. 2022, 57, 5825–5838. [Google Scholar]
  10. Li, R.R.; He, C.J.; Xu, W.; Wang, X.D. Prediction of surface roughness of CO2 laser modified poplar wood via response surface methodology. Maderas Cienc. Tecnol. 2022, 24, 1–12. [Google Scholar]
  11. Raju, N.; Kim, S.; Rosen, D.W. A characterization method for mechanical properties of metal powder bed fusion parts. Int. J. Adv. Manuf. Tech. 2022, 108, 1189–1201. [Google Scholar]
  12. Lu, Z.; Hu, J.; Zhang, M.; Chang, S.; Liu, Y.; Zheng, L.; Li, X. Research on wettability of wood surface with waterborne-resin priming paint. J. For. Eng. 2021, 6, 178–183. [Google Scholar]
  13. Liu, Q.; Gao, D.; Xu, W. Effect of sanding processes on the surface properties of modified poplar coated by primer compared with mahogany. Coatings 2020, 10, 856. [Google Scholar]
  14. Feng, X.; Chen, J.; Wu, Z.; Wu, Y.; Gan, J. The formation mechanism of “skin-tactile” coating and its application and trends in furniture. J. For. Eng. 2021, 6, 167–175. [Google Scholar]
  15. Wang, J.; Wu, H.G.; Liu, R.; Long, L.; Xu, J.F.; Chen, M.G.; Qiu, H.Y. Preparation of a fast water-based UV cured polyurethane-acrylate wood coating and the effect of coating amount on the surface properties of oak (quercus alba L.). Polymers 2019, 13, 1414. [Google Scholar]
  16. Hu, W.G.; Zhang, J.L. Effect of growth rings on acoustic emission characteristic signals of southern yellow pine wood cracked in mode I. Constr. Build. Mater. 2022, 329, 127092. [Google Scholar] [CrossRef]
  17. Hu, W.G.; Liu, N.; Xu, L.; Guan, H.Y. Study on cold/warm sensation of materials used in desktop of furniture. Wood Res. 2020, 65, 497–506. [Google Scholar]
  18. Liu, Q.Q.; Gao, D.; Xu, W. Effect of Polyurethane Non-Transparent Coating Process on Paint Film Performance Applied on Modified Poplar. Coatings 2022, 12, 39. [Google Scholar]
  19. Xu, W.; Fang, X.; Han, J.; Wu, Z. Effect of coating thickness on sound absorption property of four wood species commonly used for piano soundboards. Wood Fiber Sci. 2020, 52, 28–43. [Google Scholar]
  20. Zhao, Z.N.; Niu, Y.T.; Chen, F.Y. Development and finishing technology of waterborne UV lacquer-coated wooden flooring. Bioresources 2021, 16, 1101–1114. [Google Scholar]
  21. Nazeer, A.A.; Madkour, M. Potential use of smart coatings for corrosion protection of metals and alloys: A review. J. Mol. Liq. 2018, 253, 11–22. [Google Scholar]
  22. Dehghani, A.; Bahlakeh, G.; Ramezanzadeh, B. Designing a novel targeted-release nano-container based on the silanized graphene oxide decorated with cerium acetylacetonate loaded beta-cyclodextrin (beta-CD-CeA-MGO) for epoxy anti-corrosion coating. Chem. Eng. J. 2020, 400, 125860. [Google Scholar]
  23. Peng, G.J.; Dou, G.J.; Hu, Y.H.; Sun, Y.H.; Chen, Z.T. Phase change material (PCM) microcapsules for thermal energy storage. Adv. Polym. Tech. 2020, 2020, 9490873. [Google Scholar] [CrossRef]
  24. Li, R.R.; He, C.J.; Wang, X.D. Effects of processing parameters on mass loss and coating properties of poplar plywood during CO2 laser modification. Eur. J. Wood Wood Prod. 2022, 80, 899–906. [Google Scholar]
  25. Li, R.R.; He, C.J.; Wang, X.D. Evaluation and modeling of processability of laser removal technique for bamboo outer layer. JOM 2021, 73, 2423–2430. [Google Scholar] [CrossRef]
  26. Li, R.; He, C.; Chen, Y.; Wang, X. Effects of laser parameters on the width of color change area of poplar wood surface during a single irradiation. Eur. J. Wood Wood Prod. 2021, 79, 1109–1116. [Google Scholar]
  27. Zigon, J.; Kovac, J.; Petric, M. The influence of mechanical, physical and chemical pre-treatment processes of wood surface on the relationships of wood with a waterborne opaque coating. Prog. Org. Coat. 2022, 162, 106574. [Google Scholar]
  28. Park, J.; Im, D.; Jin, Y.; Jang, S.H.; Lim, K.T.; Lee, W.K. Synthesis and properties of eco-friendly coatings using waterborne polyaspartic and blocked isocyanate. Mol. Cryst. Liq. Cryst. 2019, 688, 1–6. [Google Scholar]
  29. Hu, W.G.; Wan, H. Comparative study on weathering durability property of phenol formaldehyde resin modified sweetgum and southern pine specimens. Maderas-Cienc. Technol. 2022, 24, 17. [Google Scholar]
  30. Hu, W.G.; Liu, Y.; Konukcu, A.C. Study on withdrawal load resistance of screw in wood-based materials: Experimental and numerical. Wood Mater. Sci. Eng. 2022, 17, 2084699. [Google Scholar] [CrossRef]
  31. Liu, Y. Self-assembly of poly(styrene-methyl methacrylate-acrylic acid) (P(St-MMA-AA)) colloidal microspheres on wood surface by thermal-assisted gravity deposition. Wood Sci. Technol. 2021, 55, 403–417. [Google Scholar]
  32. Hu, L.; Lyu, S.Y.; Fu, F.; Huang, J.D. Development of photochromic wood material by microcapsules. Bioresources 2016, 11, 9547–9559. [Google Scholar]
  33. Yan, X.X.; Wang, L.; Qian, X.Y. Effect of microcapsules with different core-wall ratios on properties of waterborne primer coating for European Linden. Coatings 2020, 10, 826. [Google Scholar]
  34. Petrulis, D.; Petrulyte, S. Potential use of microcapsules in manufacture of fibrous products: A review. J. Appl. Polym. Sci. 2019, 136, 47066. [Google Scholar]
  35. Kim, Y.B.; Han, W.C.; Heo, J.; Cho, K.Y.; Chae, S.; Kee, S.; Kim, D.S. Camouflage coating using photochromic microcapsules and epoxy resin. Polymer-Korea 2022, 46, 288–294. [Google Scholar] [CrossRef]
  36. Zhang, X.; Wang, P.; Sun, D.W.; Li, X.; An, J.L.; Yu, T.X.; Yang, E.H.; Yang, J.L. Dynamic plastic deformation and failure mechanisms of individual microcapsule and its polymeric composites. J. Mech. Phys. Solids. 2020, 139, 103933. [Google Scholar]
  37. Morsumbul, S.; Kumbasar, E.P.A.; Cay, A. Photochromic microcapsules for textile materials by spray drying-Part 1: Production and characterization of photochromic microcapsules. AATCC J. Res. 2021, 8, 31–40. [Google Scholar]
  38. Sun, S.F.; Gao, Y.; Han, N.; Zhang, X.X.; Li, W. Reversible photochromic energy storage polyurea microcapsules via in-situ polymerization. Energy 2021, 219, 119630. [Google Scholar]
  39. Mokhtari, J.; Akbarzadeh, A.; Shahrestani, Z.; Ferdowsi, P. Synthesis, characterization, and evaluation of a novel spirooxazine based photochromic reactive dye on cotton. Fiber. Polym. 2015, 16, 2299–2307. [Google Scholar]
  40. Ayazi-Yazdi, S.; Karimi, L.; Mirjalili, M.; Karimnejad, M. Fabrication of photochromic, hydrophobic, antibacterial, and ultraviolet-blocking cotton fabric using silica nanoparticles functionalized with a photochromic dye. J. Text. Inst. 2017, 108, 856–863. [Google Scholar]
  41. Gao, P.Z.; Wu, M.J.; Li, B.J.; Liu, Y.L. Structure characterization and oxidation mechanism study of porous biomorphic carbon template derived from basswood. Mater. Res. Bull. 2009, 44, 644–648. [Google Scholar]
  42. GB/T 11186.3-1989; Methods for Measuring the Colour of Paint Films. Part III: Calculation of Colour Differences. Standardization Administration of the People’s Republic of China: Beijing, China, 1990.
  43. GB/T 4893.4-2013; Test of Surface Coatings of Furniture. Standardization Administration of the People’s Republic of China: Beijing, China, 2013.
  44. GB/T 6739-2006; Paint and Varnishes-Determination of Film Hardness by Pencil Test. Standardization Administration of the People’s Republic of China: Beijing, China, 1998.
  45. GB/T 9286-1998; Paint and Varnishes-Cross Cut Test for Films. Standardization Administration of the People’s Republic of China: Beijing, China, 1998.
  46. GB/T 1732-1993; Determination of Impact Resistance of Film. Standardization Administration of the People’s Republic of China: Beijing, China, 1993.
  47. GB/T 6062-1985; Stylus Instruments for the Measurement of Surface Roughness by the Profile Method Profile Recording Instruments and Profile Meters by the System M. Standardization Administration of the People’s Republic of China: Beijing, China, 1985.
  48. GB/T 4893.1-2005; Furniture—Assessment of Surface Resistance to Cold Liquids. Standardization Administration of the People’s Republic of China: Beijing, China, 2005.
  49. GB/T 1865-2009; Paints and Varnishes—Artificial Weathering and Exposure to Artificial Radiation—Exposure to Filtered Xenon-Arc Radiation. Standardization Administration of the People’s Republic of China: Beijing, China, 2009.
  50. Lessard, B.H.; Maric, M. Thiophene decorated block copolymers templated from poly(styrene-alt-maleic anhydride)-block-poly(styrene) one-shot block copolymer: Effect of thiophene inclusion on morphology. J. Polym. Res. 2016, 23, 40. [Google Scholar] [CrossRef]
  51. Pielichowska, K.; Szuba, P.; Maciocha, J.; Macherzyńska, B.; Nowicka, K.; Szatkowski, P. Preparation, characterization, and bioactivity evaluation of polyoxymethylene Copolymer/Nanohydroxyapatite-g-Poly(epsilon-caprolactone) composites. Nanomaterials 2022, 12, 858. [Google Scholar] [PubMed]
  52. Kakishita, T.; Matsumoto, K.; Kiyotsukuri, T.; Matsumura, K.; Hosoda, M. Synthesis and NMR-study of 9’-substituted spiroindolinonaphthoxazine derivatives. J. Heterocycl. Chem. 1992, 29, 1709–1715. [Google Scholar] [CrossRef]
Figure 1. Macroscopic morphology of the photochromic microcapsules: (A) before photochromism, (B) after photochromism.
Figure 1. Macroscopic morphology of the photochromic microcapsules: (A) before photochromism, (B) after photochromism.
Coatings 12 01750 g001
Figure 2. The research methods and process.
Figure 2. The research methods and process.
Coatings 12 01750 g002
Figure 3. Morphology of the photochromic microcapsules: (A) high-magnification SEM image, (B) low-magnification SEM image.
Figure 3. Morphology of the photochromic microcapsules: (A) high-magnification SEM image, (B) low-magnification SEM image.
Coatings 12 01750 g003
Figure 4. Particle size distribution diagram.
Figure 4. Particle size distribution diagram.
Coatings 12 01750 g004
Figure 5. FTIR image of the photochromic microcapsules.
Figure 5. FTIR image of the photochromic microcapsules.
Coatings 12 01750 g005
Figure 6. FTIR image of the coatings: (A) wave number at 500–4000 cm−1, (B) wave number at 600–1800 cm−1.
Figure 6. FTIR image of the coatings: (A) wave number at 500–4000 cm−1, (B) wave number at 600–1800 cm−1.
Coatings 12 01750 g006
Figure 7. Color difference of the coatings.
Figure 7. Color difference of the coatings.
Coatings 12 01750 g007
Figure 8. Discoloration process of the coating on the wood substrate with 15.0% microcapsules. Visible light exposure time: (A) 0 s, (B) 5 s, (C) 10 s, (D) 15 s, (E) 20 s.
Figure 8. Discoloration process of the coating on the wood substrate with 15.0% microcapsules. Visible light exposure time: (A) 0 s, (B) 5 s, (C) 10 s, (D) 15 s, (E) 20 s.
Coatings 12 01750 g008
Figure 9. Discoloration process of the coating on the metal substrate with 10.0% microcapsules. Visible light exposure time: (A) 0 s, (B) 5 s, (C) 10 s, (D) 15 s, (E) 20 s.
Figure 9. Discoloration process of the coating on the metal substrate with 10.0% microcapsules. Visible light exposure time: (A) 0 s, (B) 5 s, (C) 10 s, (D) 15 s, (E) 20 s.
Coatings 12 01750 g009
Figure 10. Morphology of the coatings with the addition of different microcapsule loadings on wood surface: (A) 0%, (B) 15.0%, (C) 20.0%.
Figure 10. Morphology of the coatings with the addition of different microcapsule loadings on wood surface: (A) 0%, (B) 15.0%, (C) 20.0%.
Coatings 12 01750 g010
Figure 11. Morphology of the coatings with the addition of different microcapsule loadings on metal surface: (A) 0%, (B) 10.0%, (C) 15.0%.
Figure 11. Morphology of the coatings with the addition of different microcapsule loadings on metal surface: (A) 0%, (B) 10.0%, (C) 15.0%.
Coatings 12 01750 g011
Figure 12. The discoloration mechanism of the photochromic microcapsules.
Figure 12. The discoloration mechanism of the photochromic microcapsules.
Coatings 12 01750 g012
Figure 13. Gloss of coatings with different microcapsule contents: (A) on wood substrate, (B) on metal substrate.
Figure 13. Gloss of coatings with different microcapsule contents: (A) on wood substrate, (B) on metal substrate.
Coatings 12 01750 g013
Table 1. Comparison of two coatings.
Table 1. Comparison of two coatings.
Type of CoatingPerformance and CharacteristicsApplication Fields
traditional waterborne coatinggreen and environmental protection, save resources, insufficient hardnessfurniture, ships, containers, steel frames, etc.
waterborne coating with photochromic microcapsulesgreen and environmental protection, save resources, reversible color change, hardness enhancementintelligent color-changing furniture, architecture, textiles, metal products, etc.
Table 2. List of experimental materials.
Table 2. List of experimental materials.
MaterialMolecular FormulaMW (g/mol)CAS No.ConcentrationProducer
photochromic microcapsule----Shenzhen Oriental Colour Changing Technology Co., Ltd., Shenzhen, China
waterborne acrylic coating--9003-01-4-Dulux Paint Co., Ltd., Shanghai, China
aluminum alloy----Shanghai Yixuan Aluminum Co., Ltd., Shanghai, China
Tilia europaea----Guangzhou Yihua Life Technology Co., Ltd., Guangzhou, China
sodium chlorideNaCl58.44287647-14-50.85%Sichuan Kelun Pharmaceutical Co., Ltd., Chengdu, China
acetic acidCH3COOH60.0564-19-799.9%Dingrui Biology Co., Ltd., Zhengzhou, China
ethanolC2H6O46.0764-17-599.9%Dingrui Biology Co., Ltd., Zhengzhou, China
coffee----Luckin Coffee Group Co., Ltd., Beijing, China
Table 3. Components of the photochromic microcapsules.
Table 3. Components of the photochromic microcapsules.
Chemical CompositionCAS No.Mass Fraction (%)
polyformaldehyde melamine9003-08-132.0–36.0
styrene maleic anhydride copolymer31959-78-16.5–8.0
1,2-dimethyl-4-(1-phenyl-ethyl)-benzene6196-95-850.0–60.0
photochromic purple dye (1,3,3-Trimethylindolino-6′-(1-piperidinyl)spironaphthoxazine)114747-45-42.6–4.0
Table 4. Experimental material list.
Table 4. Experimental material list.
SubstrateContent of Microcapsules (%)Weight of Microcapsules (g)Weight of Waterborne Coating (g)
wood004.0
5.00.23.8
10.00.43.6
15.00.63.4
20.00.83.2
25.01.03.0
metal002.0
5.00.11.9
10.00.21.8
15.00.31.7
20.00.41.6
25.00.51.5
Table 5. Experimental instrument list.
Table 5. Experimental instrument list.
InstrumentModelProducer
sandpaper600 mesh, 800 meshFoshan Jingshen abrasive tools Co., Ltd., Foshan, China
scanning electron microscope (SEM)Quanta-200FEI Company Hillsboro, OR, USA
Fourier transform infrared spectrometerVERTEX 80VGermany Bruker Co., Ltd., Karlsruhe, Germany
portable colorimeterSEGT-JGuoti Precision Testing Instrument Co., Ltd., Shenyang, China
gloss meterX-rite ci60Shenzhen 3nh Technology Co., Ltd., Shenzhen, China
portable paint film hardness testerQHQ-AWenzhou Shengce Instrument Co., Ltd., Wenzhou, China
paint film gridding instrumentQFH-HG600Wenzhou Shengce Instrument Co., Ltd., Wenzhou, China
paint film impactor testerBEVS1601Shanghai Meiyu Instrument Co., Ltd., Shanghai, China
paint film roughness testerSJ-210Shenzhen Fengteng Precision Instrument Co., Ltd., Shenzhen, China
ultraviolet aging machineBLD-Z-850Kunshan Bailida Experimental Equipment Co., Ltd., Kunshan, China
Table 6. Characteristic peaks in the FTIR image.
Table 6. Characteristic peaks in the FTIR image.
Wavenumber (cm−1)BondSubstanceCause of Formation
3027C-Hstyrene maleic anhydride copolymerstretching vibration
2967-CH2styrene maleic anhydride copolymerstretching vibration
697C-Hstyrene maleic anhydride copolymerin-plane bending vibration
1120C-Hstyrene maleic anhydride copolymerout-of-plane bending vibration
3346-NHpolyformaldehyde melaminestretching vibration
816thiotriazinonepolyformaldehyde melaminestretching vibration
1343thiotriazinonepolyformaldehyde melaminestretching vibration
2924-CH2indolestretching vibration
Table 7. Color difference data of the coatings before and after photochromism.
Table 7. Color difference data of the coatings before and after photochromism.
SubstrateMicrocapsule Content (%)Before PhotochromismAfter PhotochromismΔE*
L1*a1*b1*L2*a2*b2*
wood072.5 ± 2.914.6 ±0.430.0 ± 1.175.0 ±1.910.7 ± 0.433.8 ± 0.86.0 ± 0.2
5.075.0 ± 1.414.0 ± 0.526.6 ± 0.862.4 ± 1.931.4 ± 1.010.1 ± 0.427.1 ± 1.0
10.077.3 ± 2.912.3 ± 0.418.5 ± 0.459.5 ± 2.037.5 ± 1.3−1.736.9 ± 1.4
15.081.2 ± 3.610.7 ± 0.313.4 ± 0.555.7 ± 1.535.1 ± 1.4−3.6 ± 0.139.2 ± 0.9
20.081.0 ± 3.010.0 ± 0.310.8 ± 0.459.9 ± 1.836.1 ± 1.8−8.2 ± 0.338.6 ± 0.8
25.082.1 ± 3.510.6 ± 0.39.3 ± 0.263.3 ± 1.733.4 ± 1.4−8.2 ± 0.334.4 ± 1.6
metal035.1 ± 1.28.7 ± 0.2−12.5 ± 0.436.8 ± 1.68.2 ± 0.3−18.3 ± 0.65.9 ± 0.1
5.081.8 ± 2.92.2 ± 0.04.7 ± 0.146.5 ± 1.245.9 ± 2.2−13.6 ± 0.559.1 ± 2.1
10.082.3 ± 3.12.9 ± 0.05.7 ±0.144.3 ± 2.147.9 ± 1.8−13.5 ± 0.562.0 ± 2.7
15.084.5 ± 3.63.7 ± 0.15.5 ± 0.145.5 ± 1.447.7 ± 1.9−13.1 ± 0.561.7 ± 1.6
20.085.0 ± 2.74.3 ± 0.15.3 ± 0.147.6 ± 1.047.3 ± 1.4−12.5 ± 0.459.7 ± 1.9
25.087.3 ± 3.24.5 ± 0.111.1 ± 0.464.4 ± 1.945.8 ± 1.6−8.2 ± 0.351.1 ± 1.3
Table 8. Gloss of coatings with different microcapsule contents.
Table 8. Gloss of coatings with different microcapsule contents.
SubstrateMicrocapsule Content (%) Gloss (%) Light Loss Rate (%)
20°60°85°
wood011.230.635.2-
5.05.719.123.737.5
10.03.711.616.262.1
15.02.47.110.676.8
20.02.24.77.484.6
25.01.93.56.988.6
metal026.670.890.0-
5.010.229.645.058.2
10.04.615.928.177.5
15.03.09.516.486.6
20.02.36.310.791.1
25.01.74.07.894.3
Table 9. Mechanical properties and roughness of coatings with different microcapsule contents.
Table 9. Mechanical properties and roughness of coatings with different microcapsule contents.
SubstrateMicrocapsule Content (%)HardnessAdhesion (Grade)Impact Strength (kg·cm)Roughness (μm)
wood0H030.2
5.0H130.4
10.02H130.5
15.03H141.2
20.03H242.2
25.04H231.5
metal02H040.5
5.03H140.7
10.03H140.9
15.04H151.0
20.04H151.9
25.05H243.0
Table 10. Color difference of the coatings before and after cold liquid resistance test.
Table 10. Color difference of the coatings before and after cold liquid resistance test.
SubstrateMicrocapsule Content (%)Color Difference
Acetic AcidCoffeeNaClEthanol
wood01.93.81.22.9
5.01.81.11.50.7
10.02.52.50.73.0
15.01.64.22.61.1
20.02.78.31.51.6
25.01.610.71.91.9
metal01.54.42.02.9
5.01.82.42.32.2
10.02.12.03.72.4
15.04.32.03.32.0
20.02.55.25.12.6
25.04.08.76.15.1
Table 11. Gloss of the coatings before and after cold liquid resistance test.
Table 11. Gloss of the coatings before and after cold liquid resistance test.
SubstrateMicrocapsule Content (%)Gloss before Cold Liquid Resistance Test (%)Gloss after Cold Liquid Resistance Test (%)
Acetic AcidCoffeeNaClEthanol
wood030.628.629.330.928.7
5.019.117.618.719.020.5
10.011.611.112.110.411.8
15.07.17.27.17.97.4
20.04.74.74.14.24.4
25.03.53.23.63.33.6
metal070.868.970.969.570.0
5.029.628.827.528.727.3
10.015.915.416.715.415.9
15.09.58.99.79.19.6
20.06.36.16.66.06.0
25.04.03.84.54.14.0
Table 12. Cold liquid resistance grade of the coatings with different loadings of microcapsules.
Table 12. Cold liquid resistance grade of the coatings with different loadings of microcapsules.
SubstrateMicrocapsule Content (%)Cold Liquid Resistance (Grade)
Acetic AcidCoffeeNaClEthanol
wood01111
5.01111
10.01111
15.01111
20.02222
25.02222
metal01111
5.01111
10.01111
15.01111
20.01211
25.01311
Table 13. Color difference data of the coatings before and after aging.
Table 13. Color difference data of the coatings before and after aging.
SubstrateMicrocapsule Content (%)StateL*a*b*ΔL*Δa*Δb*ΔE*
wood0before aging75.0 ± 2.110.7 ± 0.333.8 ± 1.04.2 ± 0.2−1.45.4 ± 0.16.9 ± 0.3
after aging70.8 ± 1.912.1 ± 0.428.4 ± 1.0
15.0before aging35.7 ± 1.8−5.1 ± 0.1−3.6 ± 0.1−34.3 ± 1.4−17.9 ± 0.3−22.5 ± 0.844.7 ± 1.9
after aging70.0 ± 2.812.8 ± 0.318.9 ± 0.4
metal0before aging36.8 ± 1.48.2 ± 0.3−18.3 ± 0.41.60.2−5.1 ± 0.15.3 ± 0.1
after aging35.2 ± 1.38.0 ± 0.3−13.2 ± 0.3
10.0before aging44.3 ± 1.047.9 ± 1.2−13.5 ± 0.4−35.0 ± 1.744.9 ± 1.9−3.3 ± 0.157.0 ± 1.5
after aging79.3 ± 2.93.0 ± 0.1−10.2 ± 0.3
Publisher’s Note: MDPI stays neutral with regard to jurisdictional claims in published maps and institutional affiliations.

Share and Cite

MDPI and ACS Style

Huang, N.; Yan, X.; Zhao, W. Influence of Photochromic Microcapsules on Properties of Waterborne Coating on Wood and Metal Substrates. Coatings 2022, 12, 1750. https://doi.org/10.3390/coatings12111750

AMA Style

Huang N, Yan X, Zhao W. Influence of Photochromic Microcapsules on Properties of Waterborne Coating on Wood and Metal Substrates. Coatings. 2022; 12(11):1750. https://doi.org/10.3390/coatings12111750

Chicago/Turabian Style

Huang, Nan, Xiaoxing Yan, and Wenting Zhao. 2022. "Influence of Photochromic Microcapsules on Properties of Waterborne Coating on Wood and Metal Substrates" Coatings 12, no. 11: 1750. https://doi.org/10.3390/coatings12111750

APA Style

Huang, N., Yan, X., & Zhao, W. (2022). Influence of Photochromic Microcapsules on Properties of Waterborne Coating on Wood and Metal Substrates. Coatings, 12(11), 1750. https://doi.org/10.3390/coatings12111750

Note that from the first issue of 2016, this journal uses article numbers instead of page numbers. See further details here.

Article Metrics

Back to TopTop