Proteolysis of β-Lactoglobulin Assisted by High Hydrostatic Pressure Treatment for Development of Polysaccharides-Peptides Based Coatings and Films
Abstract
1. Introduction
2. Materials and Methods
2.1. Materials
2.2. Enzymatic Hydrolysis
2.3. HHP and Thermal Treatment of the Papain
2.4. HHP Treatment on b-LG
2.5. Degree of Hydrolysis Determined Using the OPA Reaction
2.6. DPPH Radical Scavenging Assay (%)
2.7. Hydroxyl Radical (•OH) Scavenging Activity Analysis
2.8. Iron Chelating Activity
2.9. In Silico Analysis
2.10. Estimation of Peptide Molecular Weight (Mw) Distribution
2.11. Enzyme-Linked Immunosorbent Assay (ELISA)
3. Results
3.1. Enzymatic Hydrolysis of b-LG
3.2. Effects of Temperature and HHP on Papain
3.3. Effects of HHP on the DH of b-LG
3.4. Structural Changes in the b-LG Molecule
3.5. Peptide Profile Determined by HPSEC
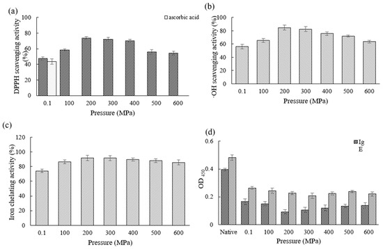
3.6. Antioxidant Capacity of b-LG Hydrolysates
3.6.1. DPPH Scavenging Capacity
3.6.2. Hydroxyl Radical (•OH) Scavenging Assay
3.6.3. Fe2+-Chelating Activity
3.7. Influence of Enzymatic Hydrolysis under HHP on b-LG Immunoreactivity
4. Conclusions
Author Contributions
Funding
Institutional Review Board Statement
Informed Consent Statement
Data Availability Statement
Conflicts of Interest
References
- Chen, C.; Wang, L.; Chen, Z.; Luo, X.; Li, Y.; Wang, R.; Li, J.; Li, Y.; Wang, T.; Wu, J. Effects of milk proteins on the bioaccessibility and antioxidant activity of oat phenolics during in vitro digestion. J. Food Sci. 2019, 84, 895–903. [Google Scholar] [CrossRef] [PubMed]
- Wattanasiritham, L.; Theerakulkait, C.; Wickramasekara, S.; Maier, C.S.; Stevens, J.F. Isolation and identification of antioxidant peptides from enzymatically hydrolyzed rice bran protein. Food Chem. 2016, 192, 156–162. [Google Scholar] [CrossRef] [PubMed]
- Chaudhary, V.; Kajla, P.; Kumari, P.; Bangar, S.P.; Rusu, A.; Trif, M.; Lorenzo, J.M. Milk protein-based active edible packaging for food applications: An eco-friendly approach. Front. Nutr. 2022, 9, 942524. [Google Scholar] [CrossRef] [PubMed]
- Polat, S.; Trif, M.; Rusu, A.; Šimat, V.; Čagalj, M.; Alak, G.; Meral, R.; Özogul, Y.; Polat, A.; Özogul, F. Recent advances in industrial applications of seaweeds. Crit. Rev. Food Sci. Nutr. 2021, 1–30. [Google Scholar] [CrossRef] [PubMed]
- Noskov, B.A.; Rafikova, A.R.; Milyaeva, O.Y. β-lactoglobulin microgel layers at the surface of aqueous solutions. J. Mol. Liq. 2022, 351, 118658. [Google Scholar] [CrossRef]
- Gtari, W.; Aschi, A.; Nicolai, T.; de Freitas, R.A. Core-shell particles formed by β-lactoglobulin microgel coated with xyloglucan. Int. J. Biol. Macromol. 2016, 92, 357–361. [Google Scholar] [CrossRef] [PubMed]
- Punia Bangar, S.; Chaudhary, V.; Thakur, N.; Kajla, P.; Kumar, M.; Trif, M. Natural antimicrobials as additives for edible food packaging applications: A review. Foods 2021, 10, 2282. [Google Scholar] [CrossRef]
- Rusu, A.; Randriambelonoro, M.; Perrin, C.; Valk, C.; Álvarez, B.; Schwarze, A.-K. Aspects influencing food intake and approaches towards personalising nutrition in the elderly. J. Popul. Ageing 2020, 13, 239–256. [Google Scholar] [CrossRef]
- Ewert, J.; Claassen, W.; Stressler, T.; Fischer, L. An innovative two-step enzymatic membrane bioreactor approach for the continuous production of antioxidative casein hydrolysates with reduced bitterness. Biochem. Eng. J. 2019, 150, 107261. [Google Scholar] [CrossRef]
- Knudsen, J.; Otte, J.; Olsen, K.; Skibsted, L. Effect of high hydrostatic pressure on the conformation of β-lactoglobulin A as assessed by proteolytic peptide profiling. Int. Dairy J. 2002, 12, 791–803. [Google Scholar] [CrossRef]
- Hoppe, A.; Jung, S.; Patnaik, A.; Zeece, M.G. Effect of high pressure treatment on egg white protein digestibility and peptide products. Innov. Food Sci. Emerg. Technol. 2013, 17, 54–62. [Google Scholar] [CrossRef]
- Roobab, U.; Shabbir, M.A.; Khan, A.W.; Arshad, R.N.; Bekhit, A.E.-D.; Zeng, X.-A.; Inam-Ur-Raheem, M.; Aadil, R.M. High-pressure treatments for better quality clean-label juices and beverages: Overview and advances. LWT 2021, 149, 111828. [Google Scholar] [CrossRef]
- Nabi, B.G.; Mukhtar, K.; Arshad, R.N.; Radicetti, E.; Tedeschi, P.; Shahbaz, M.U.; Walayat, N.; Nawaz, A.; Inam-Ur-Raheem, M.; Aadil, R.M. High-pressure processing for sustainable food supply. Sustainability 2021, 13, 13908. [Google Scholar] [CrossRef]
- Zhao, R.-J.; Huo, C.-Y.; Qian, Y.; Ren, D.-F.; Lu, J. Ultra-high-pressure processing improves proteolysis and release of bioactive peptides with activation activities on alcohol metabolic enzymes in vitro from mushroom foot protein. Food Chem. 2017, 231, 25–32. [Google Scholar] [CrossRef] [PubMed]
- Hu, G.; Zheng, Y.; Liu, Z.; Xiao, Y.; Deng, Y.; Zhao, Y. Effects of high hydrostatic pressure, ultraviolet light-C, and far-infrared treatments on the digestibility, antioxidant and antihypertensive activity of α-casein. Food Chem. 2017, 221, 1860–1866. [Google Scholar] [CrossRef]
- Yoo, H.; Bamdad, F.; Gujral, N.; Suh, J.-W.; Sunwoo, H. High hydrostatic pressure-assisted enzymatic treatment improves antioxidant and anti-inflammatory properties of phosvitin. Curr. Pharm. Biotechnol. 2017, 18, 158–167. [Google Scholar] [CrossRef] [PubMed]
- Chen, G.-W.; Yang, M.-H. Production and purification of novel hypocholesterolemic peptides from lactic fermented Spirulina platensis through high hydrostatic pressure-assisted protease hydrolysis. Catalysts 2021, 11, 873. [Google Scholar] [CrossRef]
- Bamdad, F.; Bark, S.; Kwon, C.H.; Suh, J.-W.; Sunwoo, H. Anti-inflammatory and antioxidant properties of peptides released from β-lactoglobulin by high hydrostatic pressure-assisted enzymatic hydrolysis. Molecules 2017, 22, 949. [Google Scholar] [CrossRef]
- Chicon, R.; Lopez-Exposito, I.; Belloque, J.; Alonso, E.; Lopez-Fandino, R. Hydrolysis under High Hydrostatic Pressure as a Means to Reduce the Potencial Allergenicity of β-Lactoglobulin. J. Allergy Clin. Immunol. 2008, 121, S249. [Google Scholar] [CrossRef]
- Yang, J.; Dunker, A.K.; Powers, J.R.; Clark, S.; Swanson, B.G. β-Lactoglobulin molten globule induced by high pressure. J. Agric. Food Chem. 2001, 49, 3236–3243. [Google Scholar] [CrossRef]
- Russo, D.; Ortore, M.G.; Spinozzi, F.; Mariani, P.; Loupiac, C.; Annighofer, B.; Paciaroni, A. The impact of high hydrostatic pressure on structure and dynamics of β-lactoglobulin. Biochim. Biophys. Acta 2013, 1830, 4974–4980. [Google Scholar] [CrossRef] [PubMed]
- Belloque, J.; Chicón, R.; López-Fandiño, R. Unfolding and refolding of β-lactoglobulin subjected to high hydrostatic pressure at different pH values and temperatures and its influence on proteolysis. J. Agric. Food Chem. 2007, 55, 5282–5288. [Google Scholar] [CrossRef] [PubMed]
- Nath, A.; Ahmad, A.S.; Amankwaa, A.; Csehi, B.; Mednyánszky, Z.; Szerdahelyi, E.; Tóth, A.; Tormási, J.; Truong, D.H.; Abrankó, L.; et al. Hydrolysis of Soybean Milk Protein by Papain: Antioxidant, Anti-Angiotensin, Antigenic and Digestibility Perspectives. Bioengineering 2022, 9, 418. [Google Scholar] [CrossRef] [PubMed]
- Leeb, E.; Kulozik, U.; Cheison, S. Thermal pre-treatment of β-Lactoglobulin as a tool to steer enzymatic hydrolysis and control the release of peptides. Procedia Food Sci. 2011, 1, 1540–1546. [Google Scholar] [CrossRef]
- Homaei, A.; Samari, F. Investigation of activity and stability of papain by adsorption on multi-wall carbon nanotubes. Int. J. Biol. Macromol. 2017, 105, 1630–1635. [Google Scholar] [CrossRef]
- Nielsen, P.; Petersen, D.; Dambmann, C. Improved method for determining food protein degree of hydrolysis. J. Food Sci. 2001, 66, 642–646. [Google Scholar] [CrossRef]
- Yu, M.; He, S.; Tang, M.; Zhang, Z.; Zhu, Y.; Sun, H. Antioxidant activity and sensory characteristics of Maillard reaction products derived from different peptide fractions of soybean meal hydrolysate. Food Chem. 2018, 243, 249–257. [Google Scholar] [CrossRef]
- Hanasaki, Y.; Ogawa, S.; Fukui, S. The correlation between active oxygens scavenging and antioxidative effects of flavonoids. Free Radic. Biol. Med. 1994, 16, 845–850. [Google Scholar] [CrossRef]
- Jeong, J.B.; Ben, O.; Jeong, H.J. Lunasin peptide purified from Solanum nigrum L. protects DNA from oxidative damage by suppressing the generation of hydroxyl radical via blocking fenton reaction. Cancer Lett. 2010, 293, 58–64. [Google Scholar] [CrossRef]
- Irvine, G.B. High-performance size-exclusion chromatography of peptides. J. Biochem. Biophys. Methods 2003, 56, 233–242. [Google Scholar] [CrossRef]
- Mudgil, P.; Kamal, H.; Yuen, G.C.; Maqsood, S. Characterization and identification of novel antidiabetic and anti-obesity peptides from camel milk protein hydrolysates. Food Chem. 2018, 259, 46–54. [Google Scholar] [CrossRef] [PubMed]
- Smith, J.; Hong-Shum, L. Food Additives Data Book, 2nd ed.; John and Wiley and Sons: Hoboken, NJ, USA, 2011. [Google Scholar]
- Katsaros, G.; Katapodis, P.; Taoukis, P. High hydrostatic pressure inactivation kinetics of the plant proteases ficin and papain. J. Food Eng. 2009, 91, 42–48. [Google Scholar] [CrossRef]
- Roche, J.; Caro, J.A.; Norberto, D.R.; Barthe, P.; Roumestand, C.; Schlessman, J.L.; Garcia, A.E.; García-Moreno E., B.; Royer, C.A. Cavities determine the pressure unfolding of proteins. Proc. Natl. Acad. Sci. USA 2012, 109, 6945–6950. [Google Scholar] [CrossRef] [PubMed]
- Heinrich, M.; Kulozik, U. Study of chymosin hydrolysis of casein micelles under ultra high pressure: Effect on re-association upon pressure release. Int. Dairy J. 2011, 21, 664–669. [Google Scholar] [CrossRef]
- Zhou, H.; Wang, C.; Ye, J.; Tao, R.; Chen, H.; Cao, F. Effects of enzymatic hydrolysis assisted by high hydrostatic pressure processing on the hydrolysis and allergenicity of proteins from ginkgo seeds. Food Bioprocess Technol. 2016, 9, 839–848. [Google Scholar] [CrossRef]
- De Maria, S.; Ferrari, G.; Maresca, P. Effect of high hydrostatic pressure on the enzymatic hydrolysis of bovine serum albumin. J Sci Food Agric. 2017, 97, 3151–3158. [Google Scholar] [CrossRef]
- Lee, C.; In, S.; Han, Y.; Oh, S. Reactivity change of IgE to buckwheat protein treated with high-pressure and enzymatic hydrolysis. J. Sci. Food Agric. 2016, 96, 2073–2079. [Google Scholar] [CrossRef]
- Zhang, Z.; Hu, H.; Xu, X.; Pan, S.; Peng, B. Insights of Pressure-induced Unfolding of β-Lactoglobulin as Revealed by Steered Molecular Dynamics. Adv. Theory Simul. 2019, 2, 1800199. [Google Scholar] [CrossRef]
- Zhang, T.; Jiang, B.; Miao, M.; Mu, W.; Li, Y. Combined effects of high-pressure and enzymatic treatments on the hydrolysis of chickpea protein isolates and antioxidant activity of the hydrolysates. Food Chem. 2012, 135, 904–912. [Google Scholar] [CrossRef]
- Zhu, K.; Zhou, H.; Qian, H. Antioxidant and free radical-scavenging activities of wheat germ protein hydrolysates (WGPH) prepared with alcalase. Process Biochem. 2006, 41, 1296–1302. [Google Scholar] [CrossRef]
- Zhang, J.; Zhang, H.; Wang, L.; Guo, X.; Wang, X.; Yao, H. Antioxidant activities of the rice endosperm protein hydrolysate: Identification of the active peptide. Eur. Food Res. Technol. 2009, 229, 709–719. [Google Scholar] [CrossRef]
- Wiriyaphan, C.; Chitsomboon, B.; Yongsawadigul, J. Antioxidant activity of protein hydrolysates derived from threadfin bream surimi byproducts. Food Chem. 2012, 132, 104–111. [Google Scholar] [CrossRef] [PubMed]
- Chen, H.-M.; Muramoto, K.; Yamauchi, F.; Fujimoto, K.; Nokihara, K. Antioxidative properties of histidine-containing peptides designed from peptide fragments found in the digests of a soybean protein. J. Agric. Food. Chem. 1998, 46, 49–53. [Google Scholar] [CrossRef] [PubMed]
- Chen, H.-M.; Muramoto, K.; Yamauchi, F.; Nokihara, K. Antioxidant activity of designed peptides based on the antioxidative peptide isolated from digests of a soybean protein. J. Agric. Food Chem. 1996, 44, 2619–2623. [Google Scholar] [CrossRef]
- Zhang, M.; Mu, T.-H. Identification and characterization of antioxidant peptides from sweet potato protein hydrolysates by Alcalase under high hydrostatic pressure. Innov. Food Sci. Emerg. Technol. 2017, 43, 92–101. [Google Scholar] [CrossRef]
- Peñas, E.; Restani, P.; Ballabio, C.; Préstamo, G.; Fiocchi, A.; Gomez, R. Evaluation of the residual antigenicity of dairy whey hydrolysates obtained by combination of enzymatic hydrolysis and high-pressure treatment. J. Food Prot. 2006, 69, 1707–1712. [Google Scholar] [CrossRef] [PubMed]





| Pressure (MPa) | Mw. Fraction (%) | |||||
|---|---|---|---|---|---|---|
| 5–7 kDa | 3–5 kDa | 2–3 kDa | 1–2 kDa | 500–1000 Da | <500 Da | |
| 0.1 | 6.88 | 10.64 | 5.56 | 10.53 | 9.78 | 56.62 |
| 100 | 2.67 | 7.11 | 4.68 | 10.29 | 9.76 | 65.49 |
| 200 | 0.64 | 2.92 | 4.8 | 12.37 | 14.95 | 64.31 |
| 300 | 0.83 | 3.87 | 5.58 | 12.8 | 13.60 | 63.38 |
| 400 | 0.86 | 4.19 | 5.80 | 12.78 | 13.82 | 62.55 |
| 500 | 0.94 | 5.29 | 4.99 | 11.41 | 11.62 | 65.75 |
| 600 | 1.84 | 6.96 | 5.23 | 12.02 | 11.75 | 62.20 |
Publisher’s Note: MDPI stays neutral with regard to jurisdictional claims in published maps and institutional affiliations. |
© 2022 by the authors. Licensee MDPI, Basel, Switzerland. This article is an open access article distributed under the terms and conditions of the Creative Commons Attribution (CC BY) license (https://creativecommons.org/licenses/by/4.0/).
Share and Cite
Fei, Y.; Yang, Z.; Niazi, S.; Chen, G.; Nasir, M.A.; Khan, I.M.; Rehman, A.; Aadil, R.M.; Trif, M.; Coşier, V. Proteolysis of β-Lactoglobulin Assisted by High Hydrostatic Pressure Treatment for Development of Polysaccharides-Peptides Based Coatings and Films. Coatings 2022, 12, 1577. https://doi.org/10.3390/coatings12101577
Fei Y, Yang Z, Niazi S, Chen G, Nasir MA, Khan IM, Rehman A, Aadil RM, Trif M, Coşier V. Proteolysis of β-Lactoglobulin Assisted by High Hydrostatic Pressure Treatment for Development of Polysaccharides-Peptides Based Coatings and Films. Coatings. 2022; 12(10):1577. https://doi.org/10.3390/coatings12101577
Chicago/Turabian StyleFei, Yang, Zhennai Yang, Sobia Niazi, Gang Chen, Muhammad Adnan Nasir, Imran Mahmood Khan, Abdur Rehman, Rana Muhammad Aadil, Monica Trif, and Viorica Coşier. 2022. "Proteolysis of β-Lactoglobulin Assisted by High Hydrostatic Pressure Treatment for Development of Polysaccharides-Peptides Based Coatings and Films" Coatings 12, no. 10: 1577. https://doi.org/10.3390/coatings12101577
APA StyleFei, Y., Yang, Z., Niazi, S., Chen, G., Nasir, M. A., Khan, I. M., Rehman, A., Aadil, R. M., Trif, M., & Coşier, V. (2022). Proteolysis of β-Lactoglobulin Assisted by High Hydrostatic Pressure Treatment for Development of Polysaccharides-Peptides Based Coatings and Films. Coatings, 12(10), 1577. https://doi.org/10.3390/coatings12101577

