Preparation, Corrosion Resistance, and Electrochemical Properties of MnO2/TiO2 Coating on Porous Titanium
Abstract
:1. Introduction
2. Experimental
2.1. Metallic Porous Titanium Processing
2.2. Preparation of TiO2/Ti Nanomaterial
2.3. Preparation of MnO2/TiO2/Ti nanocomposite Electrode Materials
2.4. Material Property Characterization and Electrochemical Testing
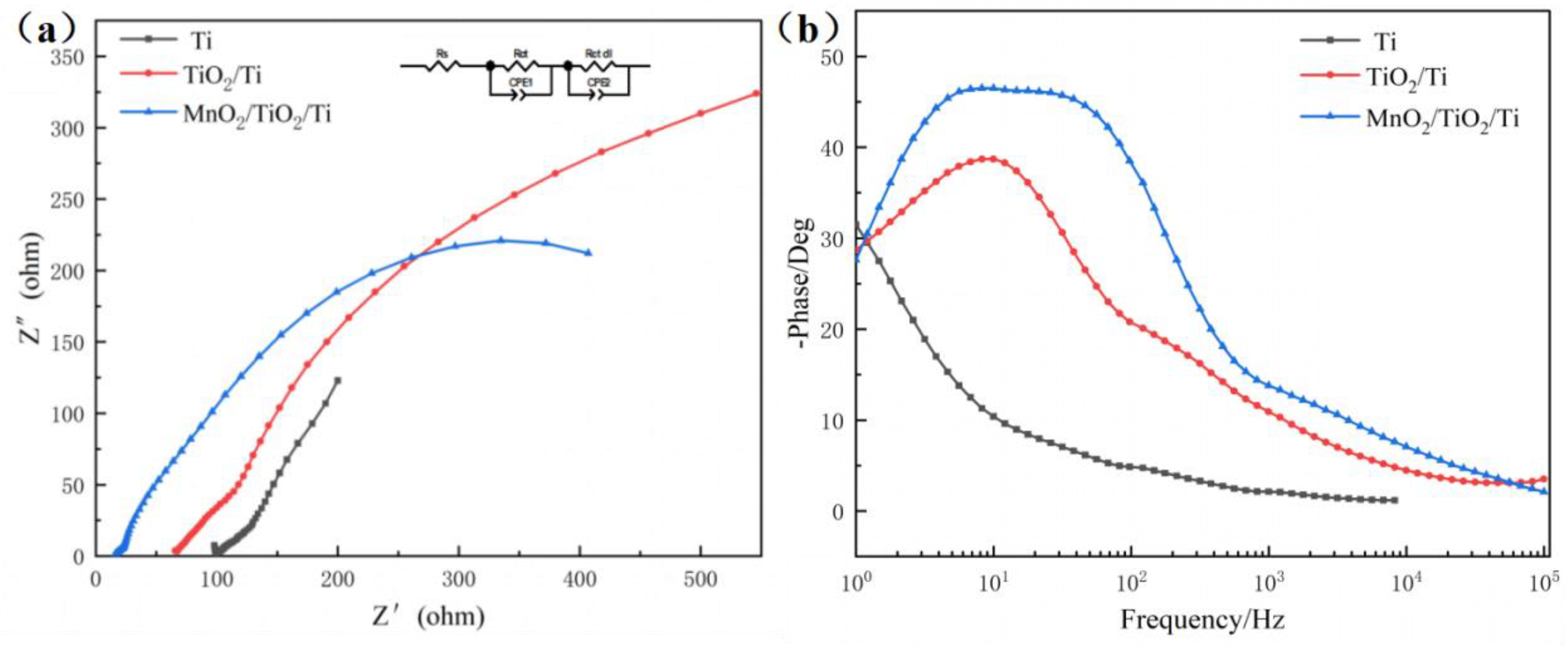
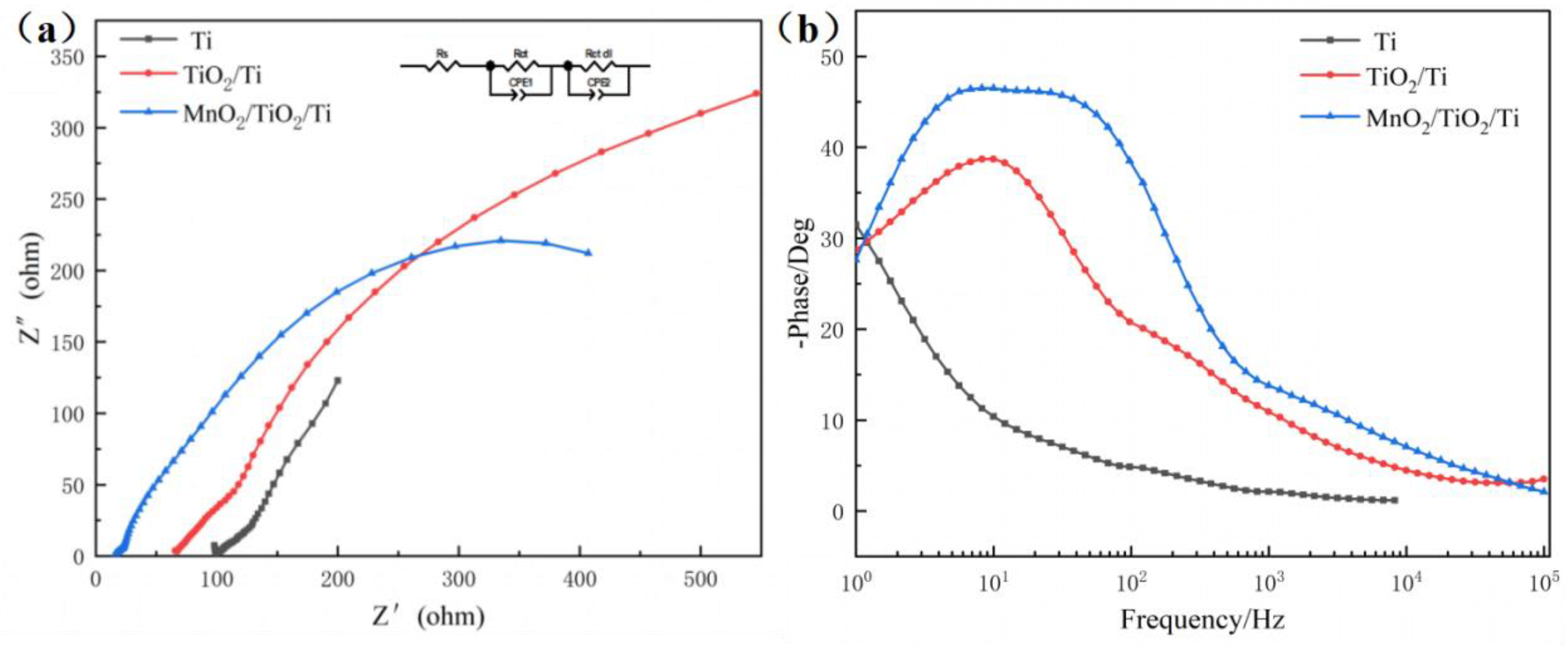
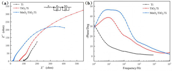
3. Results and Discussion
4. Conclusions
Author Contributions
Funding
Institutional Review Board Statement
Informed Consent Statement
Data Availability Statement
Conflicts of Interest
References
- Wu, G.; Zeng, M.; Peng, L.L.; Liu, X.M.; Bo, L.; Duan, J.H. China’s new energy development: Status, constraints and reforms. Renew. Sustain. Energy Rev. 2016, 53, 885–896. [Google Scholar]
- Simon, P.; Gogotsi, Y.; Dunn, B. Where Do Batteries End and Supercapacitors Begin. Science 2014, 6176, 1210–1211. [Google Scholar] [CrossRef]
- Jayalakshmi, M.; Balasubramanian, K. Simple Capacitors to Supercapacitors-An Overview. Int. J. Electrochem. Sci. 2008, 3, 1196–1217. [Google Scholar]
- Simon, P.; Gogotsi, Y. Materials for electrochemical capacitors. Nat. Mater. 2008, 7, 845–854. [Google Scholar] [CrossRef]
- Kaipannan, S.; Marappan, S. Fabrication of 9.6 V High-performance Asymmetric Supercapacitors Stack Based on Nickel Hexacyanoferrate-derived Ni(OH)2 Nanosheets and Bio-derived Activated Carbon. Sci. Rep. 2019, 9, 1104. [Google Scholar] [CrossRef]
- Zhang, L.L.; Zhao, X. Carbon-based materials as supercapacitor electrodes. Chem. Soc. Rev. 2009, 38, 2520–2531. [Google Scholar] [CrossRef]
- Wang, G.P.; Zhang, L.; Zhang, J. A review of electrode materials for electrochemical supercapacitors. Chem. Soc. Rev. 2012, 41, 797–828. [Google Scholar] [CrossRef]
- Wang, J.G.; Kang, F.Y.; Wei, B.Q. Engineering of MnO2-based nanocomposites for high-performance supercapacitors. Prog. Polym. Sci. 2015, 74, 51–124. [Google Scholar] [CrossRef]
- Zou, C.J.; Li, Z.F.; Wang, C.X.; Hong, J.B.; Chen, J.; Zhong, S.W. Facile electrodeposition route for the fabrication of Ni/Ni(OH)2 nanocomposite films with different supporting electrolytes and their Electrochemical properties. Chem. Phys. Lett. 2022, 793, 139471. [Google Scholar] [CrossRef]
- Bao, L.; Zang, J.; Li, X. Flexible Zn2SnO4/MnO2 core/shell nanocable-carbon microfiber hybrid composites for highperformance supercapacitor electrodes. Nano Lett. 2011, 11, 1215–1220. [Google Scholar] [CrossRef]
- Toupin, M.; Brousse, T.; Belanger, D. Charge storage mechanism of MnO2 electrode used in aqueous electrochemical capacitor. Chem. Mater. 2004, 16, 3184–3190. [Google Scholar] [CrossRef]
- Lu, X.H.; Yu, M.G.; Wang, G.M.; Zhai, T.; Xie, S.L.; Ling, Y.C.; Tong, Y.X.; Li, Y. H-TiO2@MnO2//H-TiO2@C Core–Shell Nanowires for High Performance and Flexible Asymmetric Supercapacitors. Adv. Mater. 2013, 25, 267–272. [Google Scholar] [CrossRef]
- Ramadoss, A.; Kim, S.J. Hierarchically structured TiO2-MnO2 nanowall arrays as potential electrode material for high performance supercapacitors. Int. J. Hydrogen Energy 2014, 39, 12201–12212. [Google Scholar] [CrossRef]
- Sun, X.; Li, Q.; Lv, Y.N.; Mao, Y.B. Three-dimensional ZnO@MnO2 core@shell nanostructures for electrochemical energy storage. Chem. Commun. 2013, 49, 4456–4458. [Google Scholar] [CrossRef]
- Sarkar, D.; Khan, G.G.; Singh, A.K.; Mandal, K. High-performance pseudocapacitor electrodes based on a-Fe2O3/MnO2 coreshell nanowire heterostructure arrays. J. Phys. Chem. C 2013, 117, 15523–15531. [Google Scholar] [CrossRef]
- Yang, P.H.; Xiao, X.; Li, Y.Z.; Ding, Y.; Qiang, P.F.; Tan, X.H.; Mai, W.J.; Lin, Z.Y.; Wu, W.Z.; Li, T.Q.; et al. Hydrogenated ZnO Core—Shell Nanocables for Flexible Supercapacitors and Self-Powered Systems. ACS Nano 2013, 7, 2617–2626. [Google Scholar] [CrossRef]
- Huang, Y.G.; Zhang, X.H.; Chen, X.B.; Wang, H.Q.; Chen, J.R.; Zhong, X.X.; Li, Q.Y. Electrochemical properties of MnO2-deposited TiO2 nanotube arrays 3D composite electrode for supercapacitors. Int. J. Hydrogen Energy 2015, 40, 14331–14337. [Google Scholar] [CrossRef]
- Ning, X.; Wang, X.; Yu, X.; Zhao, J.; Wang, M.; Li, H.; Yang, Y. Outstanding supercapacitive properties of Mn-doped TiO2 micro/nanostructure porous film prepared by anodization method. Sci. Rep. 2016, 6, 22634. [Google Scholar] [CrossRef]
- Zheng, L.X.; Dong, Y.C.; Bian, H.D.; Lee, C.; Jian, L.; Li, Y.Y. Selfordered nanotubular TiO2 multilayers for high-performance photocatalysts and supercapacitors. Electrochim. Acta 2016, 203, 257–264. [Google Scholar] [CrossRef]
- Li, Z.; Wang, X.; Wang, X.; Xiao, T.; Zhang, L.; Lv, P.; Zhao, J. Preparation and properties of MnO2–TiO2 nanotube array composite electrodes using titanium foam as the current collector. Int. J. Hydrogen Energy 2018, 23, 8859–8867. [Google Scholar] [CrossRef]
- Rajagopal, R.; Ryu, K.-S. Synthesis of Few Layered MnO2 Nanosheets Encapsulated TiO2 Nanorods Electrode for Supercapacitor Application. ECS Meet. Abstr. 2018, 1, 208. [Google Scholar] [CrossRef]
- Khan, S.U.M.; Al-Shahry, M.; Ingler, W.B. Efficient Photochemical Water Splitting by a Chemically Modified n-TiO2. Science 2002, 297, 2243–2245. [Google Scholar] [CrossRef] [PubMed]
- Hou, K.; Tian, B.Z.; Li, F.Y.; Bian, Z.Q.; Zhao, D.Y.; Huang, C.H. Highly crystallized mesoporous TiO2 films and their applications in dye sensitized solar cells. J. Mater. Chem. 2005, 15, 2414–2420. [Google Scholar] [CrossRef]
- Liu, S.Q.; Chen, A.C. Coadsorption of Horseradish Peroxidase with Thionine on TiO2 Nanotubes for Biosensing. Langmuir 2005, 21, 8409–8413. [Google Scholar] [CrossRef] [PubMed]
- Toppglidis, E.; Cass, A.E.G.; Gilardi, G.; Sadeghi, S.; Beaumont, N.; Durrant, J.R. Protein Adsorption on Nanocrystalline TiO2 Films: An Immobilization Strategy for Bioanalytical Devices. Anal. Chem. 1998, 70, 5111–5113. [Google Scholar] [CrossRef] [PubMed]
- Kaseem, M.; Choe, H.-C. Electrochemical and bioactive characteristics of the porous surface formed on Ti-xNb alloys via plasma electrolytic oxidation. Surf. Coat. Technol. 2019, 378, 125027. [Google Scholar] [CrossRef]
- Kaseem, M.; Choe, H.-C. The effect of in-situ reactive incorporation of MoOx on the corrosion behavior of Ti-6Al-4 V alloy coated via micro-arc oxidation coating. Corros. Sci. 2021, 192, 109764. [Google Scholar] [CrossRef]
- Kaseem, M.; Choe, H.-C. Simultaneous improvement of corrosion resistance and bioactivity of a titanium alloy via wet and dry plasma treatments. J. Alloys Compd. 2021, 851, 156840. [Google Scholar] [CrossRef]
- Zehra, T.; Kaseem, M.; Hossain, S.; Ko, Y.-G. Fabrication of a protective hybrid coating composed of TiO2, MoO2, and SiO2 by plasma electrolytic oxidation of titanium. Metals 2021, 11, 1182. [Google Scholar] [CrossRef]
- Siwawongkasem, K.; Senanon, W.; Maensiri, S. Hydrothermal Synthesis, Characterization, and Electrochemical Properties of MnO2-Titanate Nanotubes (MnO2-TNTs). J. Electron. Mater. 2022, 51, 3188–3204. [Google Scholar] [CrossRef]
- Wang, Y.M.; Du, G.J.; Liu, H.; Liu, D.; Qin, S.B.; Wang, N.; Hu, C.G.; Tao, X.T.; Jiao, J.; Wang, J.Y.; et al. Nanostructured Sheets of Ti―O Nanobelts for Gas Sensing and Antibacterial Applications. Adv. Funct. Mater. 2008, 18, 1131–1137. [Google Scholar] [CrossRef]
- Chang, S.J.; Wang, Q.B.; Liu, B.S.; Sang, Y.H.; Liu, H. Hierarchical TiO2 nanonetwork—Porous Ti 3D hybrid photocatalysts for continuous-flow photoelectrodegradation of organic pollutants. Catal. Sci. Technol. 2017, 7, 524–532. [Google Scholar] [CrossRef]
- Prasetio, A.; Habieb, A.; Alkian, I.; Arifin, Z.; Widiyandari, H. Dye-sensitized solar cell based on TiO2/MnO2 composite film as working electrode. J. Phys. Conf. Ser. 2017, 877, 012005. [Google Scholar] [CrossRef]
- Wang, Y.M.; Liu, H. Preparation and Characterizations of Na2Ti3O7, H2Ti3O7 and TiO2 Nanobelts. Adv. Mater. Res. 2011, 306–307, 1233–1237. [Google Scholar] [CrossRef]
- Zhang, Y.X.; Kuang, M.; Hao, X.D.; Liu, Y.; Huang, M.; Guo, X.L.; Yan, J.; Han, G.Q.; Li, J. Rational Design of Hierarchically Porous Birnessite-Type Manganese Dioxides Nanosheets on Dif-ferent One-Dimensional Titania-Based Nanowires for High Per-formance Supercapacitors. J. Power Sources 2014, 270, 675. [Google Scholar] [CrossRef]
- Tang, G.G.; Sun, J.R.; Wei, C.; Wu, K.Q.; Ji, X.R.; Liu, S.S.; Tang, H.; Li, C.S. Synthesis and characterization of flowerlike MoS2 nanostructures through CTAB-assisted hydrothermal process. Mater. Lett. 2012, 86, 9–12. [Google Scholar] [CrossRef]
- Li, Y.D.D.; Li, X.L.L.; He, R.R.R.; Zhu, J.; Deng, Z.X.X. Artificial lamellar mesostructures to WS2 nanotubes. J. Am. Chem. Soc. 2002, 124, 1411–1416. [Google Scholar] [CrossRef]
- Qu, Y.H.; Tong, X.; Yan, C.H.; Li, Y.Z.; Wang, Z.; Xu, S.H.; Xiong, D.Y.; Wang, L.W.; Chu, P.K. Hierarchical binder-free MnO2/TiO2 composite nanostructure on flexible seed graphite felt for high-performance supercapacitors. Vacuum 2020, 181, 109648. [Google Scholar] [CrossRef]
- Wang, J.G.; Yang, Y.; Huang, Z.H.; Kang, F. Coaxial Carbon Nanofibers/MnO2 Nanocomposites as Freestanding Electrodes for High-Performance Electrochemical Capacitors. Electrochim. Acta 2011, 56, 9240. [Google Scholar] [CrossRef]
- Xavier, J.R. Corrosion protection performance and interfacial interactions of polythiophene/silanes/MnO2 nanocomposite coatings on magnesium alloy in marine environment. Int. J. Polym. Anal. 2021, 26, 309–329. [Google Scholar] [CrossRef]
- Liu, T.; Zhang, F.F.; Xue, C.R.; Li, L.; Yin, Y.S. Structure stability and corrosion resistance of nano-TiO2 coatings on aluminum in seawater by a vacuum dip-coating method. Surf. Coat. Technol. 2010, 205, 2335–2339. [Google Scholar] [CrossRef]
- Zhang, M.; Yang, D.Y.; Li, J.T. Supercapacitor performances of MnO2 and MnO2/ reduced graphene oxide prepared with various electrodeposition time. Vacuum 2020, 178, 109455. [Google Scholar] [CrossRef]
- Jin, Y.H.; Lin, Q.; Li, X.; Tavakoli, M.M.; Leung, S.; Tang, W.; Zhou, L.; Chan, H.L.W.; Fan, Z. Highly flexible and transferable supercapacitors with ordered three-dimensional MnO2/Au/MnO2 nanospike arrays. J. Mater. Chem. A 2015, 3, 10199–10204. [Google Scholar]
- Stoller, M.D.; Park, S.J.; Zhu, Y.W.; An, J.H.; Ruoff, R.S. Graphene-Based Ultracapacitors. Nano Lett. 2008, 8, 3498–3502. [Google Scholar] [CrossRef] [PubMed]
- Miller, J.R.; Outlaw, R.A.; Holloway, B.C. Graphene double-layer capacitor with ac line-filtering performance. Science 2010, 329, 1637–1639. [Google Scholar] [CrossRef]







| Sample | Tafel Polarization | |||
|---|---|---|---|---|
| Icorr (uA) | Ecorr (mV) | Cathodic Tafel Slope (V/Decade) | Anodic Tafel Slope (V/Decade) | |
| Ti | 36.08 | −320 | −8.221 | 3.019 |
| TiO2/Ti | 23.93 | −260 | −9.633 | 2.873 |
| MnO2/TiO2/Ti | 80.41 | −100 | −8.224 | 3.091 |
| Sample | Rs (Ωcm2) | Rct (Ωcm2) | CPE1-T | CPE-P | Rct dl (Ωcm2) | CPE2-T | CPE2-P |
|---|---|---|---|---|---|---|---|
| Ti | 98.02 | 92.11 | 2.7 × 10−3 | 0.453 | 194.4 | 1.1 × 10−3 | 1.10 |
| TiO2/Ti | 64.99 | 37.94 | 3.0 × 10−4 | 0.580 | 986.1 | 2.2 × 10−4 | 0.74 |
| MnO2/TiO2/Ti | 15.34 | 4.20 | 3.17 × 10−5 | 0.853 | 691.7 | 3.5 × 10−4 | 0.72 |
Publisher’s Note: MDPI stays neutral with regard to jurisdictional claims in published maps and institutional affiliations. |
© 2022 by the authors. Licensee MDPI, Basel, Switzerland. This article is an open access article distributed under the terms and conditions of the Creative Commons Attribution (CC BY) license (https://creativecommons.org/licenses/by/4.0/).
Share and Cite
Wang, X.; Pan, J.; Li, Q.; Dong, X.; Shi, L.; Chang, S. Preparation, Corrosion Resistance, and Electrochemical Properties of MnO2/TiO2 Coating on Porous Titanium. Coatings 2022, 12, 1381. https://doi.org/10.3390/coatings12101381
Wang X, Pan J, Li Q, Dong X, Shi L, Chang S. Preparation, Corrosion Resistance, and Electrochemical Properties of MnO2/TiO2 Coating on Porous Titanium. Coatings. 2022; 12(10):1381. https://doi.org/10.3390/coatings12101381
Chicago/Turabian StyleWang, Xiaomin, Jing Pan, Qing Li, Xiaojun Dong, Lei Shi, and Sujie Chang. 2022. "Preparation, Corrosion Resistance, and Electrochemical Properties of MnO2/TiO2 Coating on Porous Titanium" Coatings 12, no. 10: 1381. https://doi.org/10.3390/coatings12101381
APA StyleWang, X., Pan, J., Li, Q., Dong, X., Shi, L., & Chang, S. (2022). Preparation, Corrosion Resistance, and Electrochemical Properties of MnO2/TiO2 Coating on Porous Titanium. Coatings, 12(10), 1381. https://doi.org/10.3390/coatings12101381

