Optical and Recombination Parameters of CdS1−xTex Thin Films Obtained by the CMBD Method
Abstract
1. Introduction
- The deposition process is carried out in a gas stream at atmospheric pressure, so an expensive vacuum and other equipment are not required. Therefore, this method is economical.
- The deposition process is controlled at the molecular level (1010–1014 cm−2), which allows controlling the composition of the films accurately.
- The deposition rate varies in a wide range (10–104 Å/s).
- On the existing installation, the films are deposited over a large area (50 cm2).
- Doping of the films is carried out during the growth process.
- No toxic gas is used.
2. Materials and Methods
3. Results
4. Conclusions
Author Contributions
Funding
Institutional Review Board Statement
Informed Consent Statement
Data Availability Statement
Conflicts of Interest
References
- Zhao, J.; Chi, Z.; Yang, Z.; Chen, X.; Arnold, M.S.; Zhang, Y.; Xu, J.; Chi, Z.; Aldred, M.P. Recent developments of truly stretchable thin film electronic and optoelectronic devices. Nanoscale 2018, 10, 5764–5792. [Google Scholar] [CrossRef]
- Moon, D.-B.; Lee, J.; Roh, E.; Lee, N.-E. Three-dimensional out-of-plane geometric engineering of thin films for stretchable electronics: A brief review. Thin Solid Films 2019, 688, 137435. [Google Scholar] [CrossRef]
- Oumlzgür, Ü.; Hofstetter, D.; Morkoç, H. ZnO devices and applications: A review of current status and future prospects. Proc. IEEE 2010, 98, 1255–1268. [Google Scholar] [CrossRef]
- Liu, F.; Hu, Z.; Sun, J.; Li, Z.; Huang, H.; Zhao, J.; Zhang, X.; Wang, Y. Ultraviolet photoresistors based on ZnO thin films grown by P-MBE. Solid-State Electron. 2012, 68, 90–92. [Google Scholar] [CrossRef]
- Liu, C.-F.; Tang, X.-G.; Guo, X.-B.; Liu, Q.-X.; Jiang, Y.-P.; Tang, Z.-H.; Li, W.-H. Photodiode characteristics of HfO2 thin films prepared by magnetron sputtering. Mater. Des. 2020, 188, 108465. [Google Scholar] [CrossRef]
- Hwang, C.-S.; Park, S.-H.K.; Oh, H.; Ryu, M.-K.; Cho, K.-I.; Yoon, S.-M. Vertical Channel ZnO Thin-Film Transistors Using an Atomic Layer Deposition Method. IEEE Electron Device Lett. 2014, 35, 360–362. [Google Scholar] [CrossRef]
- Mukhamedzyanov, H.N.; Markov, V.F.; Maskaeva, L.N. Study of the characteristics of photoresistors based on hydrochemically deposited films of Pb0.902Sn0.098Se solid solution. Semiconductors 2013, 47, 574–578. [Google Scholar] [CrossRef][Green Version]
- Munirah; Khan, M.S.; Aziz, A.; Rahman, S.A.; Khan, Z.R. Spectroscopic studies of sol–gel grown CdS nanocrystalline thin films for optoelectronic devices. Mater. Sci. Semicond. Process. 2013, 16, 1894–1898. [Google Scholar] [CrossRef]
- Li, J.; Li, H.; Ding, D.; Li, Z.; Chen, F.; Wang, Y.; Liu, S.; Yao, H.; Liu, L.; Shi, Y. High-Performance Photoresistors Based on Perovskite Thin Film with a High PbI₂ Doping Level. Nanomaterials 2019, 9, 505. [Google Scholar] [CrossRef]
- McDonald, S.A.; Konstantatos, G.; Zhang, S.; Cyr, P.W.; Klem, E.J.D.; Levina, L.; Sargent, E.H. Solution-processed PbS quantum dot infrared photodetectors and photovoltaics. Nat. Mater. 2005, 4, 138–142. [Google Scholar] [CrossRef]
- Lu, N.; Jiang, W.; Wu, Q.; Geng, D.; Li, L.; Liu, M. A Review for Compact Model of Thin-Film Transistors (TFTs). Micromachines 2018, 9, 599. [Google Scholar] [CrossRef]
- Razykov, T.M. A novel chemical molecular beam deposition method for fabrication of II–VI low dimensional structures. Microelectron. J. 2005, 36, 599–600. [Google Scholar] [CrossRef]
- Razykov, T.M. Structural and electrophysical properties of ZnTe and ZnxCd1-xTe films obtained by chemical vapor-phase deposition. Appl. Solar Energy 1988, 24, 1–5. [Google Scholar]
- Razykov, T.; Kuchkarov, K.; Ferekides, C.; Ergashev, B.; Yuldoshov, R.; Mamarasulov, N.; Zufarov, M. Characterization of CdTe thin films with different compositions obtained by CMBD for thin film solar cells. Sol. Energy 2017, 144, 411–416. [Google Scholar] [CrossRef]
- Razykov, T.; Boltaev, G.; Bosio, A.; Ergashev, B.; Kouchkarov, K.; Mamarasulov, N.; Mavlonov, A.; Romeo, A.; Romeo, N.; Tursunkulov, O.; et al. Characterisation of SnSe thin films fabricated by chemical molecular beam deposition for use in thin film solar cells. Sol. Energy 2018, 159, 834–840. [Google Scholar] [CrossRef]
- Razykov, T.; Shukurov, A.; Atabayev, O.; Kuchkarov, K.; Ergashev, B.; Mavlonov, A. Growth and characterization of Sb2Se3 thin films for solar cells. Sol. Energy 2018, 173, 225–228. [Google Scholar] [CrossRef]
- Razykov, T.; Bosio, A.; Ergashev, B.; Kouchkarov, K.; Romeo, A.; Romeo, N.; Yuldoshov, R.; Baiev, M.; Makhmudov, M.; Bekmirzoyev, J.; et al. Growth and characterization of ZnxSn1−xSe films for use in thin film solar cells. Sol. Energy 2019, 193, 519–522. [Google Scholar] [CrossRef]
- Razykov, T. Chemical molecular beam deposition of II–VI binary and ternary compound films in a gas flow. Appl. Surf. Sci. 1991, 48–49, 89–92. [Google Scholar] [CrossRef]
- Razykov, T.M.; Bosio, A.; Romeo, N.; Ergashev, B.A.; Mavlonov, A.A.; Usmonov, A.Y.; Esanov, S.A. Characterization of CdTe and CdS Films for Photoresistors. Appl. Sol. Energy 2019, 55, 1–4. [Google Scholar] [CrossRef]
- Rasool, S.; Saritha, K.; Reddy, K.R.; Bychto, L.; Patryn, A.; Maliński, M.; Tivanov, M.; Gremenok, V. Optical properties of thermally evaporated In 2 S 3 thin films measured using photoacoustic spectroscopy. Mater. Sci. Semicond. Process. 2017, 72, 4–8. [Google Scholar] [CrossRef]
- Rasool, S.; Saritha, K.; Reddy, K.T.R.; Bychto, L.; Patryn, A.; Maliński, M.; Tivanov, M.S.; Gremenok, V.F. Optoelectronic properties of In2S3 thin films measured using surface photovoltage spectroscopy. Mater. Res. Express 2019, 6, 076417. [Google Scholar] [CrossRef]
- Kronik, L.; Shapira, Y. Surface photovoltage phenomena: Theory, experiment, and applications. Surf. Sci. Rep. 1999, 37, 1–206. [Google Scholar] [CrossRef]
- Donchev, V. Surface photovoltage spectroscopy of semiconductor materials for optoelectronic applications. Mater. Res. Express 2019, 6, 103001. [Google Scholar] [CrossRef]
- Schroder, D.K. Surface voltage and surface photovoltage: History, theory and applications. Meas. Sci. Technol. 2001, 12, R16–R31. [Google Scholar] [CrossRef]
- Bychto, L.; Maliński, M. Photoacoustic spectroscopy analysis of thin semiconductor samples. Opto-Electron. Rev. 2018, 26, 217–222. [Google Scholar] [CrossRef]
- Bychto, L.; Maliński, M. Determination of the Optical Absorption Coefficient Spectra of Thin Semiconductor Layers from Their Photoacoustic Spectra. Int. J. Thermophys. 2018, 39, 103. [Google Scholar] [CrossRef]
- Tauc, J.; Grigorovici, R.; Vancu, A. Optical properties and electronic structure of amorphous germanium. Phys. Status Solidi 1966, 15, 627–637. [Google Scholar] [CrossRef]







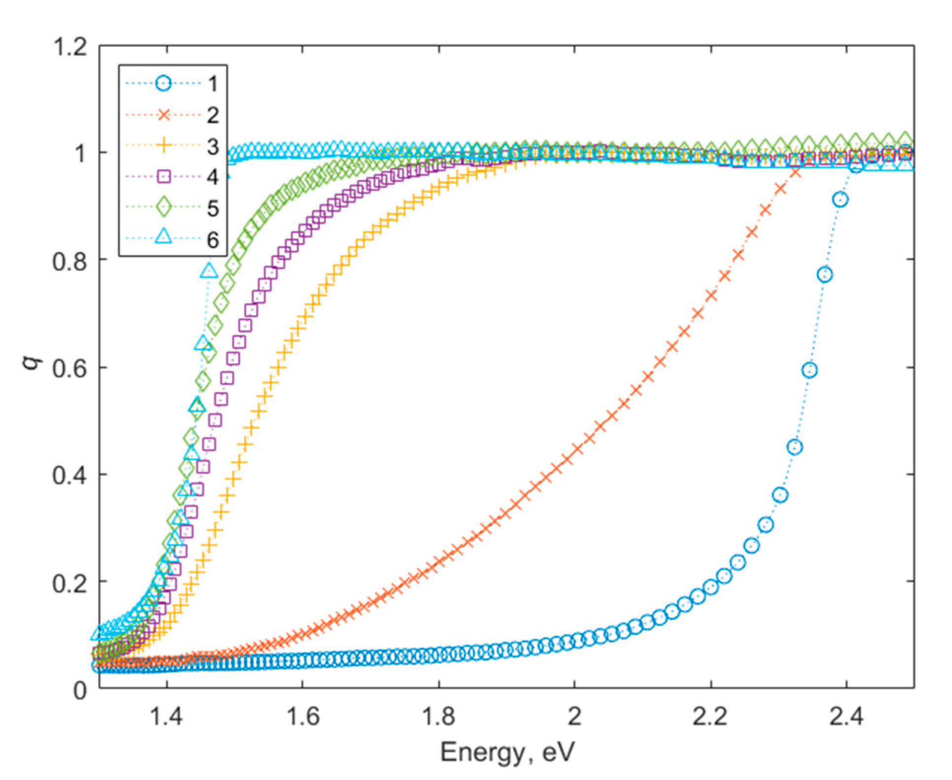
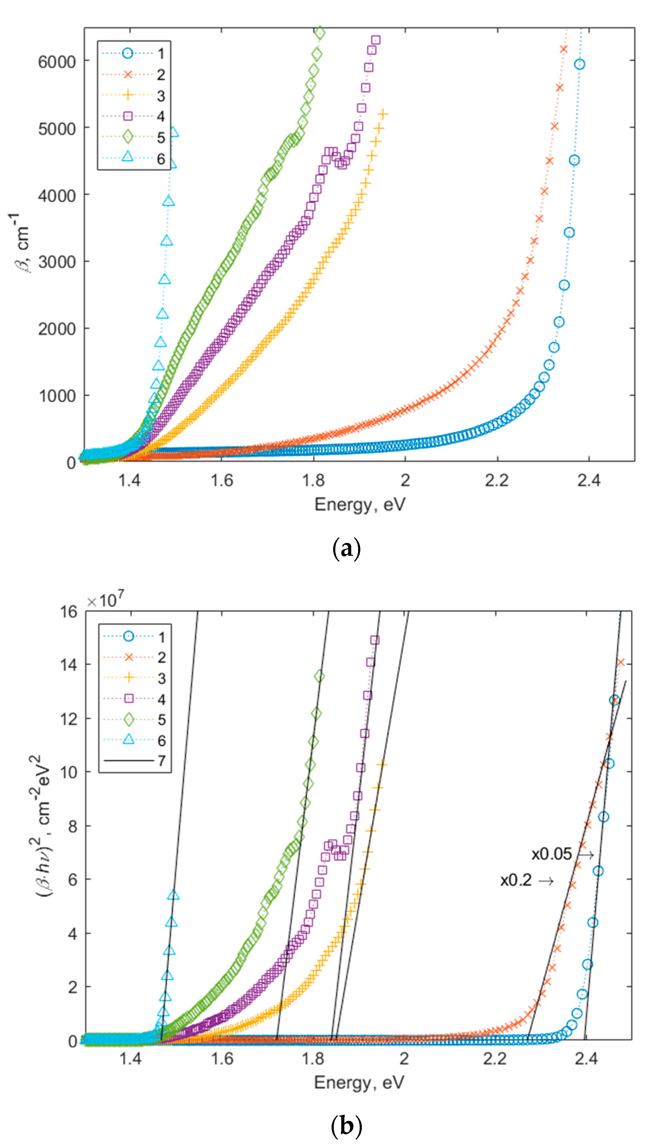
| No | x | d | Eg |
|---|---|---|---|
| Composition | µm | eV | |
| 1 | 0 | 2.8 | 2.44 |
| 2 | 0.016 | 6.0 | 2.32 |
| 3 | 0.05 | 9.0 | 1.80 |
| 4 | 0.07 | 9.0 | 1.79 |
| 5 | 0.1 | 9.0 | 1.70 |
| 6 | 1 | 9.0 | 1.34 |
| x | Ld (SPV Spectra Fitting) |
|---|---|
| 0 | 0.164 µm (from the literature) |
| 0.016 | 5 µm |
| 0.05 | 17 µm |
| 0.07 | 7.7 µm |
| 0.1 | 15 µm |
| 1 | 5 µm 0.1–3.3 µm (from the literature) |
Publisher’s Note: MDPI stays neutral with regard to jurisdictional claims in published maps and institutional affiliations. |
© 2021 by the authors. Licensee MDPI, Basel, Switzerland. This article is an open access article distributed under the terms and conditions of the Creative Commons Attribution (CC BY) license (https://creativecommons.org/licenses/by/4.0/).
Share and Cite
Razykov, T.M.; Patryn, A.; Maliński, M.; Bychto, L.; Ergashev, B.; Kouchkarov, K.; Shukurov, A.; Makhmudov, M.; Isaqov, D. Optical and Recombination Parameters of CdS1−xTex Thin Films Obtained by the CMBD Method. Coatings 2022, 12, 5. https://doi.org/10.3390/coatings12010005
Razykov TM, Patryn A, Maliński M, Bychto L, Ergashev B, Kouchkarov K, Shukurov A, Makhmudov M, Isaqov D. Optical and Recombination Parameters of CdS1−xTex Thin Films Obtained by the CMBD Method. Coatings. 2022; 12(1):5. https://doi.org/10.3390/coatings12010005
Chicago/Turabian StyleRazykov, Takhir M., Aleksy Patryn, Mirosław Maliński, Leszek Bychto, Bobur Ergashev, Kudratulia Kouchkarov, Akbarjon Shukurov, Mirzavkiy Makhmudov, and Diyorbek Isaqov. 2022. "Optical and Recombination Parameters of CdS1−xTex Thin Films Obtained by the CMBD Method" Coatings 12, no. 1: 5. https://doi.org/10.3390/coatings12010005
APA StyleRazykov, T. M., Patryn, A., Maliński, M., Bychto, L., Ergashev, B., Kouchkarov, K., Shukurov, A., Makhmudov, M., & Isaqov, D. (2022). Optical and Recombination Parameters of CdS1−xTex Thin Films Obtained by the CMBD Method. Coatings, 12(1), 5. https://doi.org/10.3390/coatings12010005

