The Tribological Adaptability for Ventral Scales of Dinodon rufozonatum in Dry/Wet/Rough Environments
Abstract
1. Introduction
2. Materials and Methods
2.1. Animals and Specimen Preparation
2.2. Visualization and Topography Analyses
2.3. Measurement of the Effective Elasticity Modulus (EES)
2.4. Friction Measurements
- C: the condition of test environment (C0: DC, C1: WLC);
- P: the roughness characterization value of sandpaper mesh (P240, P400, P1000, P2000, P5000, P10000);
- V: the sliding speed of the specimens (V1: 1 mm/s, V3: 3 mm/s, V5: 5 mm/s).
3. Results
3.1. Morphology of Microstructure
3.2. Measurement of the Effective Elasticity Modulus (EES)
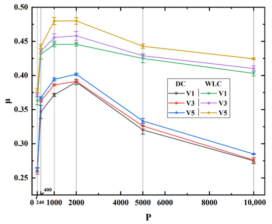
3.3. Tribological Properties
3.4. Wear Morphology
3.4.1. Wear Morphology of Ventral Scale Surface in DC
3.4.2. Wear Morphology of Ventral Scale Surface in WLC
4. Discussion
5. Conclusions
Author Contributions
Funding
Institutional Review Board Statement
Informed Consent Statement
Data Availability Statement
Conflicts of Interest
References
- Marvi, H.; Cook, J.P.; Streator, J.L.; Hu, D.L. Snakes move their scales to increase friction. Biotribology 2016, 5, 52–60. [Google Scholar] [CrossRef]
- Klein, M.-C.G.; Gorb, S.N. Scratch resistance of the ventral skin surface in four snake species (Squamata, Serpentes). Zoology 2016, 119, 81–96. [Google Scholar] [CrossRef]
- Rocha-Barbosa, O.; Moraes, E.; Silva, R. Analysis of the microstructure of Xenodontinae snake scales associated with different habitat occupation strategies. Braz. J. Biol. 2009, 69, 919–923. [Google Scholar] [CrossRef] [PubMed]
- Allam, A.A.; Abo-Eleneen, R.E. Scales Microstructure of Snakes from the Egyptian Area. Zool. Sci. 2012, 29, 770–775. [Google Scholar] [CrossRef] [PubMed]
- Marvi, H.; Hu, D.L. Friction enhancement in concertina locomotion of snakes. J. R. Soc. Interface 2012, 9, 3067–3080. [Google Scholar] [CrossRef] [PubMed]
- Filippov, A.E.; Gorb, S.N. Modelling of the frictional behaviour of the snake skin covered by anisotropic surface nanostructures. Sci. Rep. 2016, 6, 23539. [Google Scholar] [CrossRef] [PubMed]
- Cuervo, P.; López, D.A.; Cano, J.P.; Sánchez, J.C.; Rudas, S.; Estupiñán, H.; Toro, A.; Abdel-Aal, H.A. Development of low friction snake-inspired deterministic textured surfaces. Surf. Topogr.-Metrol. 2016, 4, 024013. [Google Scholar] [CrossRef][Green Version]
- Greiner, C.; SchäFer, M. Bio-inspired scale-like surface textures and their tribological properties. Bioinspir. Biomim. 2015, 10, 044001. [Google Scholar] [CrossRef]
- Baum, M.J.; Kovalev, A.E.; Michels, J.; Gorb, S.N. Anisotropic Friction of the Ventral Scales in the Snake Lampropeltis getula californiae. TriL 2014, 54, 139–150. [Google Scholar] [CrossRef]
- Berthé, R.A.; Westhoff, G.; Bleckmann, H.; Gorb, S.N. Surface structure and frictional properties of the skin of the Amazon tree boa Corallus hortulanus (Squamata, Boidae). J. Comp. Physiol. A 2009, 195, 311–318. [Google Scholar] [CrossRef] [PubMed]
- Baum, M.J.; Heepe, L.; Gorb, S.N. Friction behavior of a microstructured polymer surface inspired by snake skin. Beilstein J. Nanotechnol. 2014, 5, 83–97. [Google Scholar] [CrossRef] [PubMed]
- Abdel-Aal, H.A.; El Mansori, M.; Zahouani, H. A comparative study of frictional response of shed snakeskin and human skin. Wear 2017, 376, 281–294. [Google Scholar] [CrossRef]
- Hazel, J.; Stone, M.; Grace, M.S.; Tsukruk, V.V. Nanoscale design of snake skin for reptation locomotions via friction anisotropy. J. Biomech. 1999, 32, 477–484. [Google Scholar] [CrossRef]
- Klein, M.-C.G.; Gorb, S.N. Epidermis architecture and material properties of the skin of four snake species. J. R. Soc. Interface 2012, 9, 3140–3155. [Google Scholar] [CrossRef] [PubMed]
- Grützmacher, P.G.; Profito, F.J.; Rosenkranz, A. Multi-Scale Surface Texturing in Tribology—Current Knowledge and Future Perspectives. Lubricants 2019, 7, 95. [Google Scholar] [CrossRef]
- Ct, A.; Sb, B.; Sdn, C.; Sva, C.; Ama, B. Exploring Convergence of Snake-Skin-Inspired Texture Designs and Additive Manufacturing for Mechanical Traction. Procedia Manuf. 2019, 34, 640–646. [Google Scholar]
- Segu, D.Z.; Hwang, P. Effectiveness of multi-shape laser surface texturing in the reduction of friction under lubrication regime. Ind. Lubr. Tribol. 2016, 68, 116–124. [Google Scholar] [CrossRef]
- Alexander, N.J. Comparison of α and β keratin in reptiles. Cell Tissue Res. 1970, 110, 153–165. [Google Scholar]
- Baden, H.P.; Maderson, P.F.A. Morphological and biophysical identification of fibrous proteins in the amniote epidermis. J. Exp. Zool. 1970, 174, 225–232. [Google Scholar] [CrossRef]
- Landmann, L. Keratin formation and barrier mechanisms in the epidermis of Natrix natrix (Reptilia: Serpentes): An ultrastructural study. J. Morphol. 1979, 162, 93–125. [Google Scholar] [CrossRef]
- Baio, J.E.; Spinner, M.; Jaye, C.; Fischer, D.A.; Gorb, S.N.; Weidner, T. Evidence of a molecular boundary lubricant at snakeskin surfaces. J. R. Soc. Interface 2015, 12, 20150817. [Google Scholar] [CrossRef]
- Klein, M.-C.G.; Gorb, S.N. Ultrastructure and wear patterns of the ventral epidermis of four snake species (Squamata, Serpentes). Zoology 2014, 117, 295–314. [Google Scholar] [CrossRef] [PubMed]
- Abdel-Aal, H.A. Surface structure and tribology of legless squamate reptiles. J. Mech. Behav. Biomed. Mater. 2018, 79, 354–398. [Google Scholar] [CrossRef] [PubMed]
- Abdel-aal, H. Functional Surfaces for Tribological Applications: Inspiration and Design. Surf. Topogr.-Metrol. 2016, 4. [Google Scholar] [CrossRef]
- Kovalev, A.; Filippov, A.; Gorb, S.N. Correlation analysis of symmetry breaking in the surface nanostructure ordering: Case study of the ventral scale of the snake Morelia viridis. Appl. Phys. A 2016, 122, 253. [Google Scholar] [CrossRef]
- Baum, M.J.; Heepe, L.; Fadeeva, E.; Gorb, S.N. Dry friction of microstructured polymer surfaces inspired by snake skin. Beilstein J. Nanotechnol. 2014, 5, 1091–1103. [Google Scholar] [CrossRef]
- Wu, W.; Yu, S.; Schreiber, P.; Dollmann, A.; Lutz, C.; Gomard, G.; Greiner, C.; Hölscher, H. Variation of the frictional anisotropy on ventral scales of snakes caused by nanoscale steps. Bioinspir. Biomim. 2020, 15, 056014. [Google Scholar] [CrossRef]
- Abdel-Aal, H.A.; Vargiolu, R.; Zahouani, H.; El Mansori, M. Preliminary investigation of the frictional response of reptilian shed skin. Wear 2012, 290–291, 51–60. [Google Scholar] [CrossRef][Green Version]
- Beyerlein, P. Studies on the significance of microdermatoglyphics in viperid systematics. I. The microdermatoglyphics of desert vipers. Herpetozoa 1998, 11, 79–86. [Google Scholar]
- Allen, W.L.; Baddeley, R.; Scott-Samuel, N.E.; Cuthill, I.C. The evolution and function of pattern diversity in snakes. Behav. Ecol. 2013, 24, 1237–1250. [Google Scholar] [CrossRef]
- Bhushan, B.; Kulkarni, A.V.; Bonin, W.; Wyrobek, J.T. Nanoindentation and picoindentation measurements using a capacitive transducer system in atomic force microscopy. Philos. Mag. A 1996, 74, 1117–1128. [Google Scholar] [CrossRef]
- Liu, Z.; Yin, W.; Tao, D.; Tian, Y. A glimpse of superb tribological designs in nature. Biotribology 2015, 1–2, 11–23. [Google Scholar] [CrossRef]
- Klein, M.-C.G.; Deuschle, J.K.; Gorb, S.N. Material properties of the skin of the Kenyan sand boa Gongylophis colubrinus (Squamata, Boidae). J. Comp. Physiol. A 2010, 196, 659–668. [Google Scholar] [CrossRef] [PubMed]
- Abdel-Aal, H.A. On surface structure and friction regulation in reptilian limbless locomotion. J. Mech. Behav. Biomed. Mater. 2013, 22, 115–135. [Google Scholar] [CrossRef]







| Various | Mean (μm) ± SD (μm) |
|---|---|
| l | 2.854 ± 0.257 |
| d | 0.474 ± 0.052 |
| h | 0.075 ± 0.013 |
| w | 0.916 ± 0.080 |
| Oliver & Pharr | Conditions | Mean ± SD |
|---|---|---|
| Elastic modulus (MPa) | DC | 397.085 ± 16.658 |
| WLC | 238.468 ± 19.582 | |
| Hardness (MPa) | DC | 70.215 ± 8.014 |
| WLC | 39.165 ± 3.795 |
| Variables | μ Mean ± SD | p |
|---|---|---|
| C (d.f. = 1) | ||
| 0 | 0.334 ± 0.051 | <0.001 1 |
| 1 | 0.429 ± 0.033 | <0.001 1 |
| V (d.f. = 2) | ||
| 1 | 0.373 ± 0.061 | <0.001 1 |
| 3 | 0.380 ± 0.063 | <0.001 1 |
| 5 | 0.391 ± 0.068 | <0.001 1 |
| P (d.f. = 5) | ||
| 240 | 0.316 ± 0.056 | <0.001 1 |
| 400 | 0.398 ± 0.040 | <0.001 1 |
| 1000 | 0.422 ± 0.041 | <0.001 1 |
| 2000 | 0.428 ± 0.036 | <0.001 1 |
| 5000 | 0.379 ± 0.054 | <0.001 1 |
| 10,000 | 0.346 ± 0.068 | <0.001 1 |
| C*V (d.f. = 1*2) | - | <0.001 1 |
| C*R (d.f. = 1*5) | - | <0.001 1 |
| V*R (d.f. = 2*5) | - | <0.001 1 |
| C*V*R (d.f. = 1*2*5) | - | <0.001 1 |
Publisher’s Note: MDPI stays neutral with regard to jurisdictional claims in published maps and institutional affiliations. |
© 2021 by the authors. Licensee MDPI, Basel, Switzerland. This article is an open access article distributed under the terms and conditions of the Creative Commons Attribution (CC BY) license (https://creativecommons.org/licenses/by/4.0/).
Share and Cite
Hu, S.; Shi, G.; Guo, Q.; Zheng, L.; Ren, L.; Su, C. The Tribological Adaptability for Ventral Scales of Dinodon rufozonatum in Dry/Wet/Rough Environments. Coatings 2022, 12, 20. https://doi.org/10.3390/coatings12010020
Hu S, Shi G, Guo Q, Zheng L, Ren L, Su C. The Tribological Adaptability for Ventral Scales of Dinodon rufozonatum in Dry/Wet/Rough Environments. Coatings. 2022; 12(1):20. https://doi.org/10.3390/coatings12010020
Chicago/Turabian StyleHu, Song, Ge Shi, Qinggang Guo, Long Zheng, Luquan Ren, and Chao Su. 2022. "The Tribological Adaptability for Ventral Scales of Dinodon rufozonatum in Dry/Wet/Rough Environments" Coatings 12, no. 1: 20. https://doi.org/10.3390/coatings12010020
APA StyleHu, S., Shi, G., Guo, Q., Zheng, L., Ren, L., & Su, C. (2022). The Tribological Adaptability for Ventral Scales of Dinodon rufozonatum in Dry/Wet/Rough Environments. Coatings, 12(1), 20. https://doi.org/10.3390/coatings12010020
