Effects of Oxygen Content on Operational Characteristics and Stability of High-Mobility IGTO Thin-Film Transistors during Channel Layer Deposition
Abstract
1. Introduction
2. Experimental Details
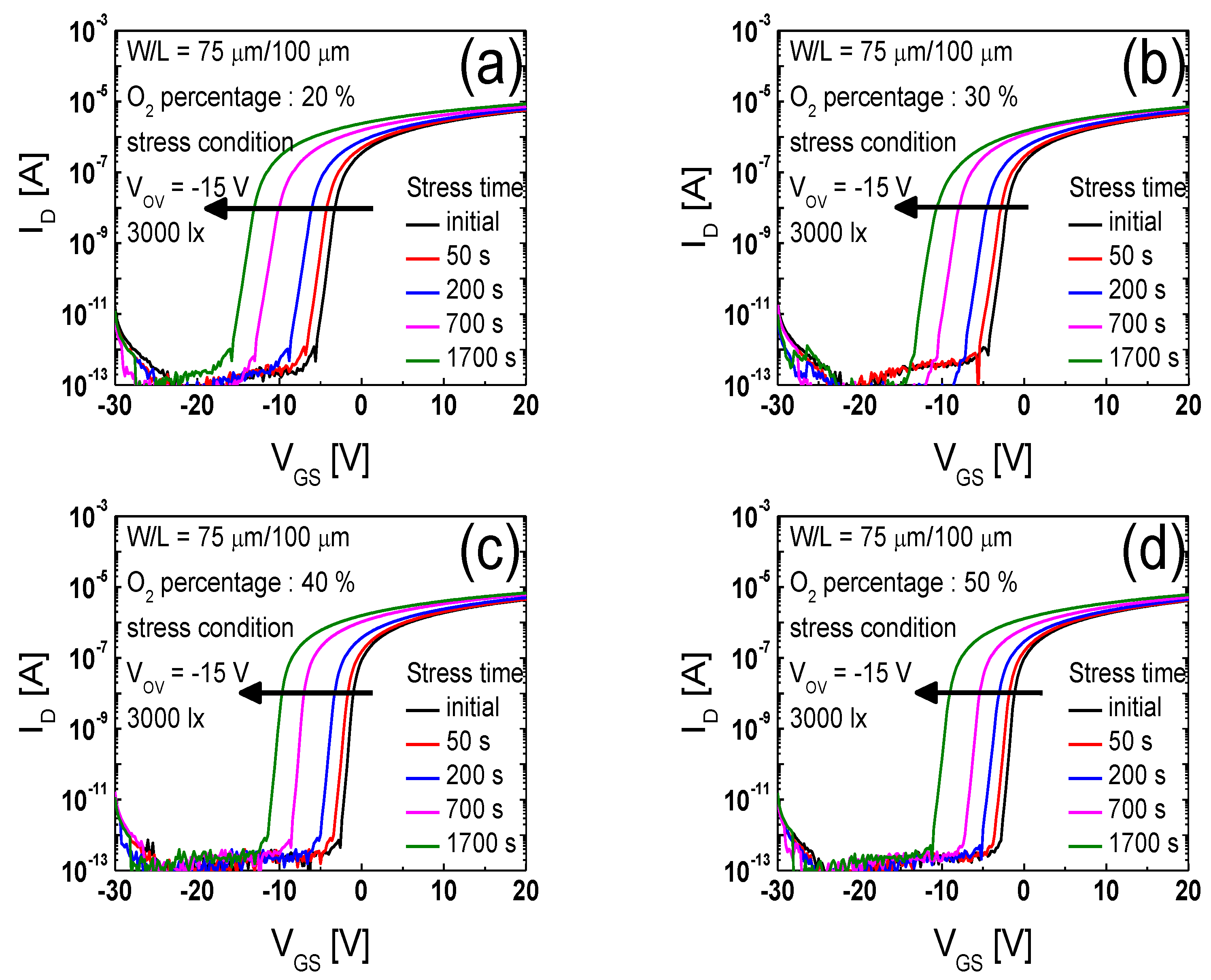
3. Results and Discussion
4. Conclusions
Author Contributions
Funding
Institutional Review Board Statement
Informed Consent Statement
Data Availability Statement
Conflicts of Interest
References
- Nomura, K.; Ohta, H.; Takagi, A.; Kamiya, T.; Hirano, M.; Hosono, H. Room-temperature fabrication of transparent flexible thin-film transistors using amorphous oxide semiconductors. Nature 2004, 432, 488–492. [Google Scholar] [CrossRef]
 - Yabuta, H.; Sano, M.; Abe, K.; Aiba, T.; Den, T.; Kumomi, H.; Nomura, K.; Kamiya, T.; Hosono, H. High mobility thin-film transistor with amorphous InGaZnO4 channel fabricated by room temperature rf magnetron sputtering. Appl. Phys. Lett. 2006, 89, 112123. [Google Scholar] [CrossRef]
 - Suresh, A.; Muth, J.F. Bias stress stability of indium gallium zinc oxide channel based transparent thin film transistors. Appl. Phys. Lett. 2008, 92, 033502. [Google Scholar] [CrossRef]
 - Cha, H.-S.; Jeong, H.-S.; Hwang, S.-H.; Lee, D.-H.; Kwon, H.-I. Electrical performance and stability improvements of high-mobility indium–gallium–tin oxide thin-film transistors using an oxidized aluminum capping layer of optimal thickness. Electronics 2020, 9, 2196. [Google Scholar] [CrossRef]
 - Shin, M.-G.; Hwang, S.-H.; Cha, H.-S.; Jeong, H.-S.; Kim, D.-H.; Kwon, H.-I. Effects of proton beam irradiation on the physical and chemical properties of IGTO thin films with different thicknesses for thin-film transistor applications. Surf. Interfaces 2021, 23, 100990. [Google Scholar] [CrossRef]
 - Kim, B.K.; On, N.; Choi, C.H.; Kim, M.J.; Kang, S.; Lim, J.H.; Jeong, J.K. Polycrystalline indium gallium tin oxide thin-film transistors with high mobility exceeding 100 cm2/Vs. IEEE Electron. Device Lett. 2021, 42, 347–350. [Google Scholar] [CrossRef]
 - Lee, J.; Kim, D.; Lee, S.; Cho, J.; Park, H.; Jang, J. High field effect mobility, amorphous In-Ga-Sn-O thin-film transistor with no effect of negative bias illumination stress. IEEE Electron. Device Lett. 2019, 40, 1443–1446. [Google Scholar] [CrossRef]
 - Kang, Y.H.; Jeong, S.; Ko, J.M.; Lee, J.Y.; Choi, Y.; Lee, C.; Cho, S.Y. Two-component solution processing of oxide semiconductors for thin-film transistors via self-combustion reaction. J. Mater. Chem. C 2014, 2, 4247–4256. [Google Scholar] [CrossRef]
 - Tak, Y.J.; Yoon, D.H.; Yoon, S.; Choi, U.H.; Sabri, M.M.; Ahn, B.; Kim, H.J. Enhanced electrical characteristics and stability via simultaneous ultraviolet and thermal treatment of passivated amorphous In-Ga-Zn-O thin-film transistors. ACS Appl. Mater. Interfaces 2014, 6, 6399–6405. [Google Scholar] [CrossRef] [PubMed]
 - Liu, C.; Sun, Y.; Qin, H.; Liu, Y.; Wei, S.; Zhao, Y. Low-temperature, high-performance InGaZnO thin-film transistors fabricated by capacitive coupled plasma-assistant magnetron sputtering. IEEE Electron. Device Lett. 2019, 40, 415–418. [Google Scholar] [CrossRef]
 - Jeong, H.-J.; Ok, K.-C.; Park, J.; Lim, J.; Cho, J.; Park, J.-S. Stability improvement of In–Sn–Ga–O thin-film transistors at low annealing temperatures. IEEE Electron. Device Lett. 2015, 36, 1160–1162. [Google Scholar] [CrossRef]
 - Jeong, H.-J.; Lee, H.-M.; Oh, K.-T.; Park, J.; Park, J.-S. Enhancement of In-Sn-Ga-O TFT performance by the synergistic combination of UV + O3 radiation and low temperature annealing. J. Electroceram. 2016, 37, 158–162. [Google Scholar] [CrossRef]
 - Kim, H.-A.; Kim, J.O.; Hur, J.S.; Son, K.-S.; Lim, J.H.; Cho, J.; Jeong, J.K. Achieving high mobility in IGTO thin-film transistors at a low temperature via film densification. IEEE Trans. Electron. Devices 2018, 65, 4854–4860. [Google Scholar] [CrossRef]
 - Jeong, H.-S.; Cha, H.S.; Hwang, S.H.; Kwon, H.-I. Effects of annealing atmosphere on electrical performance and stability of high-mobility indium-gallium-tin oxide thin-film transistors. Electronics 2020, 9, 1875. [Google Scholar] [CrossRef]
 - Wu, G.; Sahoo, A.K. Influence of oxygen flow rate on channel width dependent electrical properties of indium gallium zinc oxide thin-film transistors. Nanomaterials 2020, 10, 2357. [Google Scholar] [CrossRef]
 - Hsu, M.-H.; Chang, S.-P.; Chang, S.-J.; Wu, W.-T.; Li, J.-Y. Oxygen partial pressure impact on characteristics of indium titanium zinc oxide thin film transistor fabricated via RF sputtering. Nanomaterials 2017, 7, 156. [Google Scholar] [CrossRef]
 - Choi, S.; Kim, J.-Y.; Kang, H.; Ko, D.; Rhee, J.; Choi, S.-J.; Kim, D.M.; Kim, D.H. Effect of oxygen content on current stress-induced instability in bottom-gate amorphous InGaZnO thin-film transistors. Materials 2019, 12, 3149. [Google Scholar] [CrossRef] [PubMed]
 - Furuta, M.; Kamada, Y.; Kimura, M.; Hiramatsu, T.; Matsuda, T.; Furuta, H.; Li, C.; Fujita, S.; Hirao, T. Analysis of hump characteristics in thin-film transistors with ZnO channels deposited by sputtering at various oxygen partial pressures. IEEE Electron. Device Lett. 2010, 31, 1257–1259. [Google Scholar] [CrossRef]
 - Lestari, A.D.; Putri, M.; Heo, Y.-W.; Lee, H.Y. Influence of oxygen partial pressure on radio frequency magnetron sputtered amorphous InZnSnO thin film transistors. J. Nanosci. Nanotechnol. 2020, 20, 252–256. [Google Scholar] [CrossRef]
 - Oh, C.; Jang, H.; Kim, H.W.; Jung, H.; Park, H.; Cho, J.; Kim, B.S. Influence of oxygen partial pressure in In-Sn-Ga-O thin-film transistors at a low temperature. J. Alloys Compd. 2019, 805, 211–217. [Google Scholar] [CrossRef]
 - Ji, K.H.; Kim, J.-I.; Jung, H.Y.; Park, S.Y.; Choi, R.; Kim, U.K.; Hwang, C.S.; Lee, D.; Hwang, H.; Jeong, J.K. Effect of high-pressure oxygen annealing on negative bias illumination stress-induced instability of InGaZnO thin film transistors. Appl. Phys. Lett. 2011, 98, 103509. [Google Scholar] [CrossRef]
 - Song, J.H.; Oh, N.; Du Anh, B.; Kim, H.D.; Jeong, J.K. Dynamics of threshold voltage instability in IGZO TFTs: Impact of high pressurized oxygen treatment on the activation energy barrier. IEEE Trans. Electron. Devices 2016, 63, 1054–1058. [Google Scholar] [CrossRef]
 - Mativenga, M.; Um, J.G.; Jang, J. Reduction of bias and light instability of mixed oxide thin-film transistors. Appl. Sci. 2017, 7, 885. [Google Scholar] [CrossRef]
 - Huang, X.; Zhou, D.; Xu, W. Influence of N2/O2 partial pressure ratio during channel layer deposition on the temperature and light stability of a-InGaZnO TFTs. Appl. Sci. 2019, 9, 1880. [Google Scholar] [CrossRef]
 - Wang, D.; Furuta, M.; Tomai, S.; Yano, K. Impact of photo-excitation on leakage current and negative bias instability in InSnZnO thickness-varied thin-film transistors. Nanomaterials 2020, 10, 1782. [Google Scholar] [CrossRef]
 - Zhang, Y.; Xie, H.; Dong, C. Electrical performance and bias-stress stability of amorphous InGaZnO thin-film transistors with buried-channel layers. Micromachines 2019, 10, 779. [Google Scholar] [CrossRef] [PubMed]
 - Kim, J.-H.; Park, E.-K.; Kim, M.S.; Cho, H.J.; Lee, D.-H.; Kim, J.-H.; Khang, Y.; Park, K.C.; Kim, Y.-S. Bias and illumination instability analysis of solution-processed a-InGaZnO thin-film transistors with different component ratios. Thin Solid Films 2018, 645, 154–159. [Google Scholar] [CrossRef]
 - Chen, J.; Huang, X.; Li, Q.; Fang, Z.; Ning, H.; Tao, R.; Liang, H.; Zhou, Y.; Yao, R.; Peng, J. All-sputtering, high-transparency, good-stability coplanar top-gate thin film transistors. Appl. Sci. 2019, 9, 83. [Google Scholar] [CrossRef]
 - Park, H.; Nam, Y.; Jin, J.; Bae, B.S. Improvement of bias stability of oxyanion-incorporated aqueous sol–gel processed indium zinc oxide TFTs. J. Mater. Chem. C. 2014, 2, 5998–6003. [Google Scholar] [CrossRef]
 - Jin, J.W.; Nathan, A.; Barquinha, P.; Pereira, L.; Fortunato, E.; Martins, R.; Cobb, B. Interpreting anomalies observed in oxide semiconductor TFTs under negative and positive bias stress. AIP Adv. 2016, 6, 085321. [Google Scholar] [CrossRef]
 - Ji, K.H.; Kim, J.-I.; Jung, H.Y.; Park, S.Y.; Choi, R.; Mo, Y.G.; Jeong, J.K. Comprehensive studies of the degradation mechanism in amorphous InGaZnO transistors by the negative bias illumination stress. Microelectron. Eng. 2011, 88, 1412–1416. [Google Scholar] [CrossRef]
 - Hung, M.P.; Wang, D.; Toda, T.; Jiang, J.; Furuta, M. Quantitative analysis of hole-trapping and defect-creation in InGaZnO thin film transistors under negative-bias illumination-stress. ECS J. Solid State Sci. Technol. 2014, 3, 3023–3026. [Google Scholar] [CrossRef]
 - Ji, H.; Hwang, A.Y.; Lee, C.K.; Yun, P.S.; Bae, J.U.; Park, K.-S.; Jeong, J.K. Improvement in field-effect mobility of indium zinc oxide transistor by titanium metal reaction method. IEEE Trans. Electron. Devices 2015, 62, 1009–1013. [Google Scholar] [CrossRef]
 - Shin, Y.; Kim, S.T.; Kim, K.; Kim, M.Y.; Oh, S.; Jeong, J.K. The mobility enhancement of indium gallium zinc oxide transistors via low-temperature crystallization using a tantalum catalytic layer. Sci. Rep. 2017, 7, 10885. [Google Scholar] [CrossRef]
 - Ide, K.; Kikuchi, Y.; Nomura, K.; Kimura, M.; Kamiya, T.; Hosono, H. Effects of excess oxygen on operation characteristics of amorphous In-Ga-Zn-O thin film transistors. Appl. Phys. Lett. 2011, 99, 093507-1–093507-3. [Google Scholar] [CrossRef]
 - Zhou, X.; Shao, Y.; Zhang, L.; Lu, H.; He, H.; Han, D.; Wang, Y.; Zhang, S. Oxygen interstitial creation in a-IGZO thin-film transistors under positive gate-bias stress. IEEE Electron. Device Lett. 2017, 38, 1252–1255. [Google Scholar] [CrossRef]
 - Omura, H.; Kumomi, H.; Nomura, K.; Kamiya, T.; Hirano, M.; Hosono, H. First-principles study of native point defects in crystalline indium gallium zinc oxide. J. Appl. Phys. 2020, 105, 093712. [Google Scholar] [CrossRef]
 - Kamiya, T.; Nomura, K.; Hirano, M.; Hosono, H. Electronic structure of oxygen deficient amorphous oxide semiconductor a-InGaZnO4−x: Optical analyses and first-principle calculations. Phys. Stat. Solidi 2008, 5, 3098–3100. [Google Scholar] [CrossRef]
 - Noh, H.-K.; Chang, K.J.; Ryu, B.; Lee, W.-J. Electronic structure of oxygen-vacancy defects in amorphous In-Ga-Zn-O semiconductors. Phys. Rev. B 2011, 84, 115205. [Google Scholar] [CrossRef]
 - Yoon, J.; Jung, H.; Jang, J.T.; Lee, J.; Lee, Y.; Lim, M.; Kim, D.M.; Kim, D.H.; Choi, S.J. Hybrid complementary inverter based on carbon nanotube and IGZO thin-film transistors with controlled process conditions. J. Alloys Compd. 2018, 762, 456–462. [Google Scholar] [CrossRef]
 - Oh, H.; Yoon, S.M.; Ryu, M.K.; Hwang, C.S.; Yang, S.; Park, S.H. Photon-accelerated negative bias instability involving subgap states creation in amorphous In–Ga–Zn–O thin film transistor. Appl. Phys. Lett. 2010, 97, 183502-1–183502-3. [Google Scholar] [CrossRef]
 








| O2 Percentage (%) | VTH (V) | SS (V/dec.) | μFE (cm2/V·s) | 
|---|---|---|---|
| 20 | −3.4 | 0.6 | 25.1 | 
| 30 | −2.2 | 0.4 | 24.2 | 
| 40 | −0.2 | 0.5 | 22.0 | 
| 50 | 0.3 | 0.5 | 21.5 | 
Publisher’s Note: MDPI stays neutral with regard to jurisdictional claims in published maps and institutional affiliations.  | 
© 2021 by the authors. Licensee MDPI, Basel, Switzerland. This article is an open access article distributed under the terms and conditions of the Creative Commons Attribution (CC BY) license (https://creativecommons.org/licenses/by/4.0/).
Share and Cite
Jeong, H.-S.; Cha, H.-S.; Hwang, S.-H.; Lee, D.-H.; Song, S.-H.; Kwon, H.-I. Effects of Oxygen Content on Operational Characteristics and Stability of High-Mobility IGTO Thin-Film Transistors during Channel Layer Deposition. Coatings 2021, 11, 698. https://doi.org/10.3390/coatings11060698
Jeong H-S, Cha H-S, Hwang S-H, Lee D-H, Song S-H, Kwon H-I. Effects of Oxygen Content on Operational Characteristics and Stability of High-Mobility IGTO Thin-Film Transistors during Channel Layer Deposition. Coatings. 2021; 11(6):698. https://doi.org/10.3390/coatings11060698
Chicago/Turabian StyleJeong, Hwan-Seok, Hyun-Seok Cha, Seong-Hyun Hwang, Dong-Ho Lee, Sang-Hun Song, and Hyuck-In Kwon. 2021. "Effects of Oxygen Content on Operational Characteristics and Stability of High-Mobility IGTO Thin-Film Transistors during Channel Layer Deposition" Coatings 11, no. 6: 698. https://doi.org/10.3390/coatings11060698
APA StyleJeong, H.-S., Cha, H.-S., Hwang, S.-H., Lee, D.-H., Song, S.-H., & Kwon, H.-I. (2021). Effects of Oxygen Content on Operational Characteristics and Stability of High-Mobility IGTO Thin-Film Transistors during Channel Layer Deposition. Coatings, 11(6), 698. https://doi.org/10.3390/coatings11060698
        
                                                