Next Article in Journal
Effect of Ion Energy on the Microstructure and Properties of Titanium Nitride Thin Films Deposited by High Power Pulsed Magnetron Sputtering
Next Article in Special Issue
PVC Detection through a Hybrid SEIRA Substrate and Refractive Index Sensor Based on Metamaterial Perfect Absorbers
Previous Article in Journal
High-Temperature Oxidation of Cr-Coated Resistance Upset Welds Made from E110 Alloy
Previous Article in Special Issue
Passively Tunable Terahertz Filters Using Liquid Crystal Cells Coated with Metamaterials
 
 
Font Type:
Arial Georgia Verdana
Font Size:
Aa Aa Aa
Line Spacing:
Column Width:
Background:
Article

Effect of Thicknesses of Liquid Crystal Layers on Shift of Resonance Frequencies of Metamaterials

1
Department of Photonics, National Cheng Kung University, Tainan 70101, Taiwan
2
Department of Applied Physics, Tunghai University, Taichung 40704, Taiwan
3
Department of Electrical Engineering, Tunghai University, Taichung 40704, Taiwan
*
Authors to whom correspondence should be addressed.
Coatings 2021, 11(5), 578; https://doi.org/10.3390/coatings11050578
Submission received: 14 April 2021 / Revised: 7 May 2021 / Accepted: 12 May 2021 / Published: 15 May 2021

Abstract

A liquid crystal (LC) layer that is too thick exhibits a small terahertz birefringence due to the limited long-range force of the alignment layers that exert on it. An LC layer that is too thin has a small terahertz birefringence due to its invisibility to incident terahertz waves. Therefore, an LC layer may have a large terahertz birefringence at a specific thickness. It is well known that the birefringence of an LC layer dominates the shift of the resonance frequency of the metamaterial imbedded into the LC layer. As a result, this work studies the effect of the thicknesses of LC layers on the shift of the resonance frequencies of metamaterials. LC layers with various thicknesses ranging from 310 µm to 1487 µm are deposited on terahertz metamaterials, and each of the layers is aligned by two polyimide layers that are rubbed in a direction. The terahertz metamaterials have a maximum frequency shifting range of 21 GHz as 710 µm thick LC layers with mutually orthogonal rubbing directions are deposited on them. The maximum frequency shifting range arises from the competition between the long-range force of the polyimide layers and the interaction between the LC layers and their incident terahertz waves.

1. Introduction

Metamaterials have attracted considerable interest thanks to their unusual electromagnetic resonance [1,2,3,4,5,6,7]. The resonance frequencies of metamaterials are determined by their geometrical structures [1,2,3] and the refractive indices of the media that surround the metamaterials [4,5,6,7,8,9,10,11]. As a result, metamaterials have the potential to develop sensors, intensity modulators, and frequency filters. The resonance frequencies of terahertz metamaterials can be tuned using liquid crystals (LCs) owing to their large birefringences [6,7,8,9,10,11]. Chen et. al. used a dual frequency LC layer deposited on a terahertz metamaterial to develop an electrically controllable terahertz filter [6]. The filter has a fast response time of approximately 1 ms at the tuning of the resonance frequency of the metamaterial as the dual frequency LC exhibits positive and negative dielectric anisotropies at low and high frequencies. Chiang et. al. fabricated metamaterial-imbedded LC cells, and the alignment layers in the cells are rubbed in various directions with respect to the gaps of the split-ring resonators of the metamaterials [7]. The alignment layers with the various rubbing directions shift the resonance frequencies of the metamaterials. Therefore, the metamaterial-imbedded LC cells are passively tunable terahertz filters. Wang et. al. used a metamaterial-imbedded LC cell with a graphene electrode to develop an electrically controllable terahertz absorber [8]. The resonance frequency of the metamaterial is tuned from 0.75 THz to 1.0 THz by applying a voltage of 10 V to the graphene electrode, and the absorption of the metamaterial has an amplitude modulation of 80% at the frequencies. Therefore, the metamaterial-imbedded LC cell with the graphene electrode has tremendous potential for modulation and sensing applications. Some latest works reported that LC alignment can be used to develop novel optical devices such as reflective polarization volume lens with small f-number and large diffraction angle [12] and ultrathin flat optical gratings [13].
The thickness of an LC layer determines its refractive index in the terahertz region not only because the orientations of the LC molecules are determined by the long-range force of the alignment layers that exert on the LC layer [14], but also because the phase of transmitted terahertz waves is determined by the interaction between the LC layer and its incident terahertz waves [15,16]. In addition, the refractive index of a dielectric layer deposited on a metamaterial dominates its resonance frequency [17]. Therefore, the thicknesses of the LC layers should determine the resonance frequencies of the metamaterials. The previous works used LC layers with constant thicknesses to shift the resonance frequencies of the terahertz metamaterials [6,7,8,9,10,11]. However, the frequency shifting ranges of the terahertz metamaterials are not optimized by modifying the thicknesses of the LC layers. As a result, it is of great interest to researchers to study the effect of the thicknesses of LC layers on the shift of the resonance frequencies of terahertz metamaterials.
LC layers with various thicknesses ranging from 310 µm to 1487 µm are deposited on terahertz metamaterials in this work. The experimental results reveal that the terahertz metamaterials imbedded in the LC layers have a maximum frequency shifting range of 21 GHz as the LC layers have a thickness of 710 µm. The maximum frequency shifting range arises from the fact that the LC directors in the two layers are determined by the alignment layers with the long-range force and interaction between the LC layers and their incident terahertz waves. The LC layers that are deposited on the terahertz metamaterials are passively tunable terahertz filters, and exhibit promising applications on terahertz communication, terahertz sensing, and terahertz imaging.

2. Materials and Methods

Figure 1a presents the schematic configuration of twelve metamaterial-embedded LC cells. Each of the twelve cells is fabricated using two 188 μm thick polyester substrates, which are separated by two plastic spacers. The thickness of the plastic spacers in each cell determines that of its LC layer. The LC layers in the cells have various thicknesses of 310 µm, 500 µm, 710 µm, 1000 µm, 1300 µm, and 1487 µm in this work. A silver metamaterial with a thickness of 200 nm is deposited on the bottom polyester substrate of each cell using photolithography, thin-film deposition, and lift-off process. Figure 1b presents the design of one of the split ring resonators (SRRs) in the metamaterials. The geometrical dimensions of the SRR have a linewidth (w), split gap (g), short side (s), long side (l), period in the x direction, and period in the y direction of 6 µm, 20 µm, 50 µm, 60 µm, 70 µm, and 80 µm, respectively. Polyimide films (AL-1426CA, Daily Polymer, Kaohsiung, Taiwan) with a thickness of 600 nm are coated on both substrates of each cell, and are rubbed in a direction. The polyimide films in two metamaterial-embedded cells of each LC thickness have orthogonal rubbing directions. The rubbing direction in one of the two metamaterial-embedded cells makes an angle of θ = 0° with respect to the gaps of the SRRs of the metamaterial, and the rubbing direction in the other makes an angle of θ = 90° with respect to the gaps of the SRRs of the metamaterial. A nematic LC (MDA-98-1602, Merck, Kenilworth, NJ, USA) is used in the twelve metamaterial-embedded LC cells. The ordinary and extraordinary refractive indices of the LC are 1.511 and 1.778 in the visible light regime, respectively.
The spectrometer uses a femtosecond pulsed laser with a central wavelength of 780 nm ± 10 nm and pulse width of 100 fs (C-Fiber 780, Menlo Systems GmbH, Planegg, Germany) to gate a photoconductive emitter and detector for generating and detecting terahertz energy. The pulses of the laser light incident on a photoconductive emitter generate electron-hole pairs in its GaAs substrate, as presented in Figure 2a. The electron-hole pairs are subsequently accelerated through the substrate by an applied voltage (Vbia) across the two electrodes of the emitter. The accelerated electron-hole pairs result in a pulse of terahertz radiation, as presented in Figure 2a. The detection of terahertz radiation is essentially the reverse of emission. When a returning terahertz pulse is incident on the photoconductive detector, the electron-hole pairs generated by an incident laser pulse are accelerated via the terahertz pulse to the two electrodes of the detector. The detector is essentially gated and only turned on at the precise periods of time owing to the laser pulse. Therefore, the coherent nature of the terahertz radiation and the precise timing of the detection scheme allow the direct measurement of the terahertz electric field (Figure 2b).

3. Results and Discussion

Before the polyimide-coated metamaterials are deposited with the LC layers, their terahertz spectra are measured using a commercial terahertz spectrometer (TPS 3000, TeraView, Cambridge, UK) in transmission mode. The spectrometer has frequency resolutions of 1 GHz, 3 GHz, and 6 GHz. A frequency resolution of 3 GHz is used in the measurement because spectra are not smooth at a frequency resolution of 1 GHz. The polarized direction of incident terahertz waves is set parallel to the x axis of Figure 1a, and the chamber in the spectrometer is filled with nitrogen gas to prevent terahertz waves from absorbing moisture. Figure 3 displays the experimental terahertz spectra of any four of the polyimide-coated metamaterials. The four polyimide-coated metamaterials have transmission peaks in their terahertz spectra owing to the absorption of their electromagnetic resonance. The four polyimide-coated metamaterials have the same resonance frequency at 0.588 THz, and they have similar resonance spectra. Therefore, the polyimide-coated metamaterials can be used to study the effect of the thicknesses of the LC layers on the shift of the resonance frequencies of the metamaterials.
A simulation is performed using a software based on finite element method to verify the experimental spectra of the polyimide-coated metamaterials. A simulated SRR has the same geometrical dimensions as the SRR of Figure 1b, and is deposited on a 188 µm thick PET substrate with an area of 70 µm × 80 µm. A 600 nm thick polyimide film is coated on the simulated SRR. A periodical boundary condition is set in the simulation, and the conductivity of silver in the simulated SRR is 6.30 × 107 S/m. The refractive index of the PET substrate (polyimide film) is 1.73 (1.10) in the simulation, and was obtained from its terahertz time-domain spectrum. Jin et. al. present that PET is weakly dispersive in a frequency range between 0.5 THz and 0.6 THz [18]. We also obtained this result by measuring the terahertz time-domain spectrum of the PET substrate via the spectrometer (data not shown herein). Tao et. al. display that polyimide is weakly dispersive in a frequency range between 0.2 THz and 2.5 THz [19]. We also obtained this result by measuring the terahertz time-domain spectrum of the polyimide film via the spectrometer (data not shown herein).
Figure 4 displays the simulated spectrum of the polyimide-coated metamaterials. These metamaterials have a simulated peak at 0.588 THz. Therefore, the peak frequency of the simulated spectrum of Figure 4 verifies that of the experimental spectra of Figure 3. The inset in Figure 4 presents the near-field distribution of the PET substrate with the simulated polyimide-coated SRR at 0.588 THz. The near field of this SRR exhibits the maximum strength at its gap. This result depicts that the electromagnetic resonance of the polyimide-coated metamaterials is an inductive-capacitive mode at 0.588 THz.
Figure 5 presents the terahertz spectra of the metamaterial-imbedded cells with an LC thickness of 710 µm in a spectral resolution of 1 GHz. Because these spectra are not smooth, it is very difficult to determine the resonance frequencies of the metamaterials in the cells at θ = 0° and 90°. Therefore, a spectral resolution of 3 GHz is used in this work.
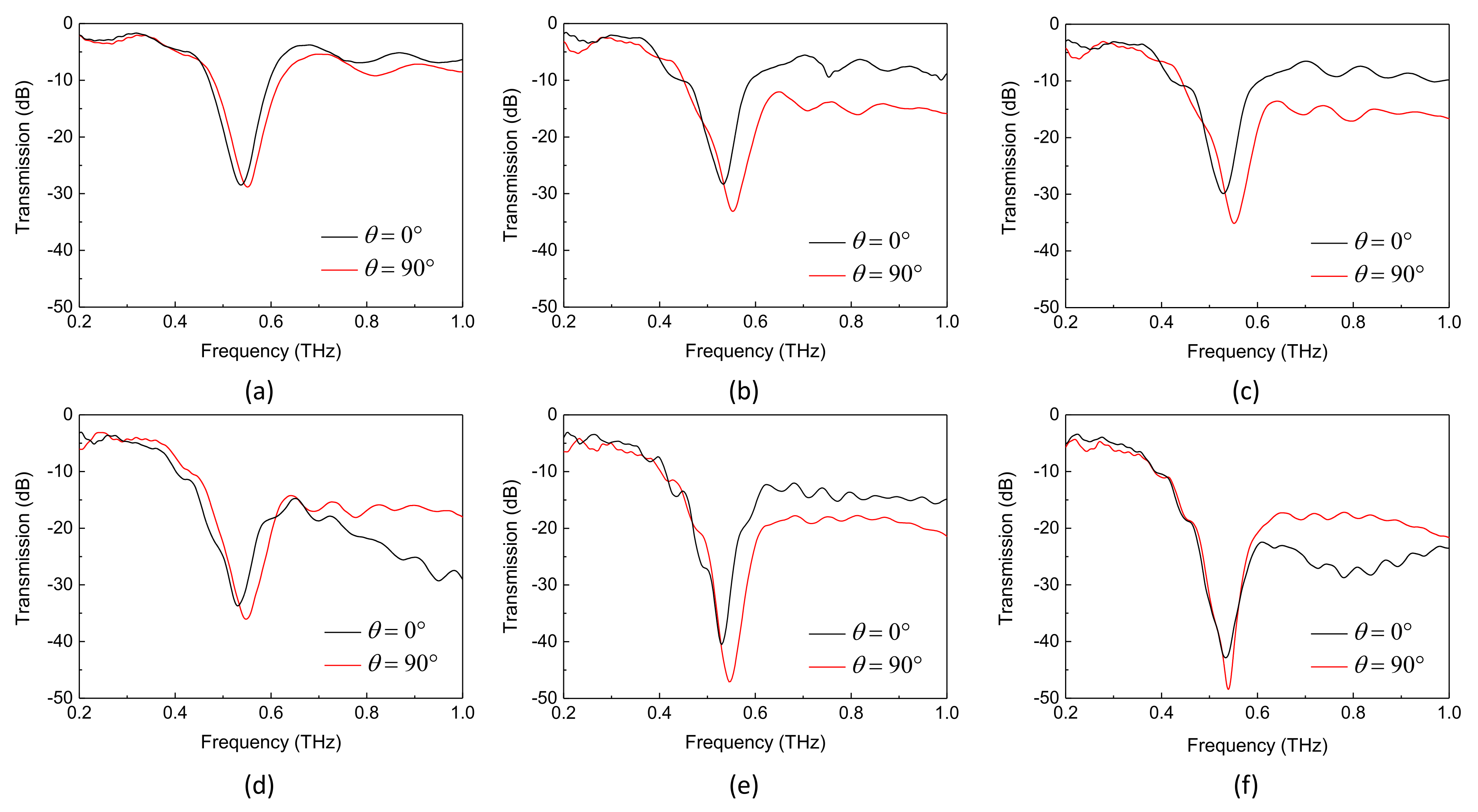
Figure 6a–d present the terahertz spectra of the metamaterial-imbedded cells with LC thicknesses d of 310 µm, 500 µm, 710 µm, 1000 µm, 1300 µm, and 1487 µm, respectively, at θ = 0° and 90°. The resonance frequencies of the metamaterials in two cells of each LC thickness are sensitive to the rubbing directions of the polyimide layers because the frequencies are different at θ = 0° and 90°. This result can be explained using the inductor-capacitor circuit model of a SRR. The resonance frequency f of the SRR is given by the following [17]:
f = 1 2 π L C 1 n
where L is an inductance of the inductor, C is a capacitance of the capacitor, and n is the refractive index of a dielectric layer deposited on the SRR. Equation (1) reveals that f is in inverse proportion to n. In addition, incident terahertz waves “experience” the different refractive indices of the LC in two metamaterial-embedded cells of each LC thickness because the polarized direction of the waves makes angles of 0° and 90° with respect to the rubbing directions of the polyimide layers. Therefore, the resonance frequencies of the metamaterials in two cells of each LC thickness are sensitive to the rubbing directions of the polyimide layers.
The resonance frequencies of the metamaterials in the twelve cells are named f and f90° at θ = 0° and 90°, respectively. Two metamaterial-embedded cells of each LC thickness have a frequency shifting range of Δf = f90°f. Figure 7 presents the dependences of f, f90°, and Δf on d = 310 µm, 500 µm, 710 µm, 1000 µm, 1300 µm, and 1487 µm. f90° equals 0.551 THz, 0.551 THz, 0.551 THz, 0.548 THz, 0.545 THz, and 0.539 THz at d = 310 µm, 500 μm, 710 µm, 1000 µm, 1300 µm, and 1487 µm, respectively. Therefore, f90° has the maximum shift of 12 GHz. f equals 0.536 THz, 0.533 THz, 0.530 THz, 0.530 THz, 0.530 THz, and 0.533 THz at d = 310 µm, 500 µm, 710 µm, 1000 µm, 1300 µm, and 1487 µm, respectively. Therefore, f has the maximum shift of 6 GHz. The maximum shifts of f90° and f exceed the resolution (3 GHz) of the spectrometer, so the results are reliable. f90° decreases as d increases from 310 µm to 1487 µm. The decrease in f90° arises from two reasons. One of the reasons is the effect of the wavelengths of incident terahertz waves on the refractive indices of the LC, which is named the wavelength effect herein. The other reason is the effect of the alignment of the polyimide films on the refractive indices of the LC, which is named the alignment effect herein.
The wavelength effect of the cells at θ = 90° is discussed as follows. As d equals 310 µm, the metamaterial has a resonance wavelength of 3 × 108/0.551 THz ≈ 544 µm in the cell at θ = 90°. Because the thickness (310 µm) of the LC layer is smaller than the resonance wavelength (544 µm) of the metamaterial, the LC layer is too thin to interact with the incident terahertz waves significantly [15,16]. As d is increased to 1487 µm, the metamaterial has a resonance wavelength of 3 × 108/0.539 THz ≈ 557 µm in the cell at θ = 90°. Because the thickness (1487 µm) of the LC layer exceeds the resonance wavelength (557 µm) of the metamaterial, the LC layer interacts with the terahertz waves significantly [15,16]. The interaction between the thick LC layer and the incident terahertz waves is more significant than that between the thin LC layer and the waves. This fact reveals that the terahertz waves with a polarized direction parallel to the x axis of Figure 1a “experience” a larger ordinary refractive index no in the thick LC layer than in the thin LC layer as the cells are at θ = 90°. In addition, Equation (1) reveals that f is in inverse proportion to n. Therefore, the wavelength effect of the cells at θ = 90° increases no as d increases from 310 µm to 1487 µm, decreasing f90° at the increase in d.
The alignment effect of the cells at θ = 90° is discussed as follows. The alignment layers in a metamaterial-imbedded cell align the nematic domains of the LC layer up to distances from the surfaces of the layers above which they are not aligned. Therefore, the LC layer in the cell has the unaligned domain sandwiched between the two nematic domains. The nematic domains in the metamaterial-imbedded cells have the same thickness owing to the same long-range force of the alignment layers. In addition, the unaligned domain has a larger thickness in a thick LC layer than in a thin LC layer owing to the limited long-range force of the alignment layers. Therefore, the unaligned domains in the LC layers determine the alignment effect of the metamaterial-imbedded cells. The LC molecules have more inhomogeneous orientations in a thick unaligned domain than in a thin unaligned domain, so the LC director makes a smaller angle with respect to the gaps of the SRRs of the metamaterial in a thick LC layer than in a thin LC layer. This fact reveals that the terahertz waves with a polarized direction parallel to the x axis of Figure 1a “experience” a larger no in the thick LC layer than in the thin LC layer. In addition, Equation (1) reveals that f is in inverse proportion to n. Therefore, the alignment effect decreases f90° as d increases from 310 µm to 1487 µm. The wavelength and alignment effects both increase no as d increases from 310 µm to 1487 µm, reducing f90° at the increase in d. f90° are constant at d = 310 µm, 500 µm, and 710 µm because a difference in actual f90° between d = 310 µm and d = 710 µm is smaller than the frequency resolution (3 GHz) of the spectrometer. A simulation will be performed to verify this explanation.
Figure 7 presents that f decreases and then increases as d increases from 310 µm to 1487 µm. The change in f arises from the competition between the wavelength and alignment effects in the cells at θ = 0°. The wavelength effect of the cells at θ = 0° is discussed as follows. As d equals 310 µm, the metamaterial has a resonance wavelength of 3 × 108/0.536 THz ≈ 560 µm in the cell at θ = 0°. Because the thickness (310 µm) of the LC layer is smaller than the resonance wavelength (560 µm) of the metamaterial, the LC layer is too thin to interact with the incident terahertz waves significantly [15,16]. As d is increased to 1487 µm, the metamaterial has a resonance wavelength of 3 × 108/0.533 THz ≈ 563 µm in the cell at θ = 0°. Because the thickness (1487 µm) of the LC layer exceeds the resonance wavelength (563 µm) of the metamaterial, the LC layer interacts with the terahertz waves significantly [15,16]. The interaction between the thick LC layer and the incident terahertz waves is more significant than that between the thin LC layer and the waves. This fact reveals that the terahertz waves with a polarized direction parallel to the x axis of Figure 1a “experience” a larger extraordinary refractive index ne of the LC in the thick LC layer than in the thin LC layer. In addition, Equation (1) displays that f is in inverse proportion to n. Therefore, the wavelength effect of the cells at θ = 0° increases ne as d increases from 310 µm to 1487 µm, decreasing f at the increase in d.
The alignment effect of the cells at θ = 0° is discussed as follows. The LC molecules have more inhomogeneous orientations in a thick unaligned domain than in a thin unaligned domain, so the LC director makes a larger angle with respect to the gaps of the SRRs of the metamaterial in a thick LC layer than in a thin LC layer. This fact reveals that the terahertz waves with a polarized direction parallel to the x axis of Figure 1a “experience” a smaller ne in the thick LC layer than in the thin LC layer. In addition, Equation (1) displays that f is in inverse proportion to n. Therefore, the alignment effect of the cells at θ = 0° decreasing ne as d increases from 310 µm to 1487 µm, increasing f at the increase in d. f decreases at an increase in d from 310 µm to 710 µm because the wavelength effect prevails over the alignment effect. f are constant at d = 710 µm, 1000 µm, and 1300 µm because a difference in actual f between d = 710 µm and d = 1300 µm is smaller than the frequency resolution (3 GHz) of the spectrometer. A simulation will be performed to verify this explanation. f increases at an increase in d from 1300 µm to 1487 µm because the alignment effect prevails over the wavelength effect. The competition between the wavelength and alignment effects increases ne and then decreases it as d increases from 310 µm to 1487 µm. Therefore, the competition between the two effects decreases f and then increases it at the increase in d. Figure 7 presents that Δf decreases and then increases as d increases from 310 µm to 1487 µm, and has a maximum of 21 GHz at d = 710 µm. The competition between the wavelength and alignment effects causes the maximum birefringence of the LC at d = 710 µm, so the metamaterials have the maximum frequency shifting range at the LC thickness as the cells are at θ = 0°.
A simulation is performed using the software to verify the experimental results of Figure 7. A dielectric layer with a refractive index of n is deposited on the PET substrate with the simulated polyimide-coated SRR (the inset of Figure 4). As the resonance frequency of this SRR equals that of a metamaterial-imbedded cell with an LC thickness at θ = 0° (90°), n equals the extraordinary (ordinary) refractive index ne (no) of the LC at the thickness. Therefore, the extraordinary and ordinary refractive indices of the LC are obtained from the experimental resonance frequencies of the metamaterials. The wavelength and alignment effects determine the experimental resonance frequencies of the metamaterials. In addition, Equation (1) reveals that f is in inverse proportion to n. Therefore, the wavelength and alignment effects dominate the extraordinary and ordinary refractive indices of the LC. In other words, the effects are incorporated into these indices.
Figure 8 displays the dependences of ne, no, and Δn on d = 310 µm, 500 µm, 710 µm, 1000 µm, 1300 µm, and 1487 µm. no are 1.52, 1.53, 1.54, 1.57, 1.60, and 1.63 at d = 310 µm, 500 µm, 710 µm, 1000 µm, 1300 µm, and 1487 µm, respectively. no increases as d increases from 310 µm to 1487 µm. This result verifies that the wavelength and alignment effects both increase no as d increases from 310 µm to 1487 µm. Therefore, the two effects both decrease f90° at the increase in d. A difference in no between d = 310 µm and d = 710 µm is merely 0.02, so the shift of the resonance spectra cannot be detected by the spectrometer with a frequency resolution of 3 GHz as d increases from 310 µm to 710 µm. ne are 1.67, 1.70, 1.73, 1.72, 1.71, and 1.68 at d = 310 µm, 500 µm, 710 µm, 1000 µm, 1300 µm, and 1487 µm, respectively. ne increases and then decreases as d increases from 310 µm to 1487 µm. This result verifies that the competition between the wavelength and alignment effects increases ne and then decreases it as d increases from 310 µm to 1487 µm. Therefore, the competition between the two effects decreases f and then increases it at the increase in d. A difference in ne between d = 710 µm and d = 1300 µm is merely 0.02, so the shift of the resonance spectra cannot be detected by the spectrometer with a frequency resolution of 3 GHz as d increases from 710 µm to 1300 µm.
Figure 9a,b present the near-field distributions of the simulated PI-coated SRR deposited with an LC layer with a thickness of 310 µm in top and cross-section views, respectively. The near field is highly concentrated around the SRR, and the penetration depth of the field in the LC layer is small. Therefore, the extraordinary and ordinary refractive indices of the LC are determined by the wavelength and alignment effects.
The alignment in the middle of a thick metamaterial-imbedded cell is disordered as the anchoring energy of the alignment layers gradually decreases from their surfaces to the middle of the cell. The LC molecules in the middle of the cell are disordered. However, these molecules do not convect or flow, not only because the spectrum of the cell was measured in the chamber of the spectrometer at a constant temperature of 25 °C, but also because the assembly of the cell is reliable in our laboratory. Li et. al. depict that the MDA-98-1602 LC has an ordinary refractive index of 1.62 at 0.5 THz because 0.5 THz is in the absorption band with a peak that exceeds 2.5 THz [20]. Therefore, the LC has a larger ordinary refractive index in the terahertz region than in the visible region.
This paragraph will study the effect of the thicknesses of LC cells on the long-range force of their alignment layers. A separate experiment for determining the long-range force of the alignment layers is carried out by measuring the transmittances of the LC cells. Each of the LC cells comprises two 188 μm thick PET substrates, which are separated by two plastic spacers. The thickness of the plastic spacers in each cell determines that of the LC layer of that cell. The LC layers in the cells have various thicknesses t of 310 µm, 710 µm, 1000 µm, and 1400 µm in the separate experiment. Polyimide films (AL-1426CA, Daily Polymer) are coated on both substrates of each cell as alignment layers, and are rubbed in a direction. A nematic LC (MDA-98-1602, Merck) is used in the cells. Each cell is placed between two parallel polarizers, and a probe beam from an He-Ne laser with a wavelength of 632.8 nm is normally incident to that cell. The polarized direction of the probe beam is set parallel to the rubbing direction of the polyimide layers of each cell. A power meter (Nova II, Ophir, Jerusalem, Israel) is placed behind the analyzer in order to measure the intensity of the transmitted light of each cell. The absolute transmittance of each cell in the separated experiment is obtained using a ratio of I/Iin, where I is the intensity of the transmitted light of that cell and Iin refers to the intensity of the light that is incident to the polarizer. The LC cells have absolute transmittances of 0.37, 0.22, 0.16, and 0.11 at LC thicknesses of 310 µm, 710 µm, 1000 µm, and 1400 µm, respectively. The transmittance of each cell is normalized using a ratio of I/I310, where I310 is the intensity of the transmitted light of the cell with an LC thickness of 310 µm.
Figure 10 presents the transmittances of the LC cells at t = 310 µm, 710 µm, 1000 µm, and 1400 µm in the separated experiment. The transmittances decrease as t increases from 310 µm to 1400 µm. The decrease in the transmittances arises from the limited long-range force of the alignment layers in the LC cells. The alignment layers in an LC cell align the nematic domains of the LC layer up to distances from the surfaces of the layers above which they are not aligned. Therefore, the LC layer in the cell has the unaligned domain sandwiched between the two nematic domains. The nematic domains in the LC cells have the same thickness owing to the same long-range force of the alignment layers. In addition, the unaligned domain has a larger thickness in a thick LC layer than in a thin LC layer owing to the limited long-range force of the alignment layers. Therefore, the unaligned domains in the LC layers determine the alignment effect of the metamaterial-imbedded cells. The unaligned domain causes more schlieren textures in a thick LC layer than in a thin LC layer. The schlieren textures in each of the LC cells shed the probe beam and change its polarization. After this beam passes through the analyzer, its intensity is decreased. Therefore, the limited long-range force of the alignment layers in the LC cells decreases the normalized transmittances as t increases from 310 µm to 1400 µm. The experimental results in Figure 10 verify that the alignment layers in the metamaterial-imbedded LC cells have a limited long-range force in the LC layers.
A thickness factor is used to confirm the alignment effect of the LC cells. The thickness factor is define as a ratio of the thickness of the unaligned domain of each of the LC layers to that of the unaligned domain of the LC layer with an LC thickness of 310 µm. The thickness factors of the unaligned domains are inversely proportional to the normalized transmittances of the LC cells (Figure 10). Therefore, the unaligned domains in the LC layers have thickness factors of 1.0, 1.69, 2.35, and 3.44 at t = 310 µm, 710 µm, 1000 µm, and 1400 µm, respectively. This result reveals that the limited long-range force of the alignment layers in the LC cells increases the thicknesses of the unaligned domains as t increases from 310 µm to 1400 µm, decreasing the normalized transmittances of the LC cells at the increase in t.
Figure 11 presents the polarizing optical microscopy pictures of the LC cells with LC thicknesses of 310 µm, 710 µm, 1000 µm, and 1400 µm under parallel polarizers. The aligned direction in each of the LC cells is parallel to the transmission axes of the polarizers. The schlieren textures in the LC cells increase as the LC thickness increases from 310 µm to 1400 µm. In addition, these textures shed the lights that are incident to the cells and change their polarization. Therefore, the normalized transmittances of the cells decrease at the increase in the LC thicknesses (Figure 10).

4. Conclusions

This work studies the effect of the thicknesses of LC layers on the shift of the resonance frequencies of the metamaterials using twelve metamaterial-embedded LC cells. The polyimide films are coated on both substrates of each of the twelve cells, and are rubbed in a direction. Two metamaterial-embedded cells of each LC thickness have orthogonally rubbed polyimide layers. The rubbing direction in one of the two metamaterial-embedded cells makes an angle of θ = 0° with respect to the gaps of the SRRs of the metamaterial, and the rubbing direction in the other makes an angle of θ = 90° with respect to the gaps of the SRRs of the metamaterial. The birefringences of the LC at d = 310 µm, 500 µm, 710 µm, 1000 µm, 1300 µm, and 1487 µm shift the resonance frequencies of the metamaterials in the cells. The metamaterials have a maximum frequency shifting range of 21 GHz as the LC layers with a thickness of 710 µm are deposited on them. The maximum frequency shifting range arises from the competition between the long-range force of the polyimide layers and the interaction between the LC layers and their incident terahertz waves. The metamaterial-embedded LC cells can be used to develop passively tunable filters, intensity modulators, and biosensors in the terahertz region.

Author Contributions

Conceptualization, C.-Y.H.; methodology, W.-F.C.; software, W.-F.C. and H.-M.S.; validation, W.-F.C.; formal analysis, W.-F.C., S.-X.L., Y.-X.L., Y.-H.S., H.-M.S., and C.-Y.H.; investigation, W.-F.C., C.-R.L., and C.-Y.H.; resources, J.-H.L. and C.-Y.H.; data curation, W.-F.C. and C.-Y.H.; writing—original draft preparation, W.-F.C. and C.-Y.H.; writing—review and editing, W.-F.C., H.-M.S., and C.-Y.H.; visualization, W.-F.C., H.-M.S., and C.-Y.H.; supervision, C.-R.L. and C.-Y.H.; project administration, C.-Y.H.; funding acquisition, C.-Y.H. All authors have read and agreed to the published version of the manuscript.

Funding

This research was funded by the Ministry of Science and Technology (MOST) of Taiwan under Contract No. MOST 107-2112-M-029-005-MY3.

Institutional Review Board Statement

Not applicable.

Informed Consent Statement

Not applicable.

Data Availability Statement

Data are contained within the article.

Conflicts of Interest

The authors declare no conflict of interest.

References

  1. Liao, Y.; Lin, Y.S. Reconfigurable terahertz metamaterial using split-ring meta-atoms with multifunctional electromagnetic characteristics. Appl. Sci. 2020, 10, 5267. [Google Scholar] [CrossRef]
  2. Chen, X.; Lin, Y.S. Polarization-sensitive metamaterials with tunable multi-resonance in the terahertz frequency range. Crystals 2020, 10, 611. [Google Scholar] [CrossRef]
  3. Xu, T.; Lin, Y.S. Tunable terahertz metamaterial using an electric split-ring resonator with polarization-sensitive characteristic. Appl. Sci. 2020, 10, 4660. [Google Scholar] [CrossRef]
  4. Xu, R.; Lin, Y.S. Tunable infrared metamaterial emitter for gas sensing application. Nanomaterials 2020, 10, 1442. [Google Scholar] [CrossRef] [PubMed]
  5. Zhang, Y.; Lin, P.; Lin, Y.S. Tunable Split-Disk Metamaterial Absorber for Sensing Application. Nanomaterials 2021, 11, 598. [Google Scholar]
  6. Chen, C.C.; Chiang, W.F.; Tsai, M.C.; Jiang, S.A.; Chang, T.H.; Wang, S.H.; Huang, C.Y. Continuously tunable and fast-response terahertz metamaterials using in-plane-switching dual-frequency liquid crystal cells. Opt. Lett. 2015, 40, 2021–2024. [Google Scholar] [CrossRef] [PubMed]
  7. Chiang, W.F.; Lu, Y.Y.; Chen, Y.P.; Lin, X.Y.; Lim, T.S.; Liu, J.H.; Lee, C.R.; Huang, C.Y. Passively tunable terahertz filters using liquid crystal cells coated with metamaterials. Coatings 2021, 11, 381. [Google Scholar] [CrossRef]
  8. Wang, L.; Ge, S.; Hu, W.; Nakajima, M.; Lu, Y. Graphene-assisted high-efficiency liquid crystal tunable terahertz metamaterial absorber. Opt. Express 2017, 25, 23873–23879. [Google Scholar] [CrossRef] [PubMed]
  9. Kowerdziej, R.; Jaroszewicz, L.; Olifierczuk, M.; Parka, J. Experimental study on terahertz metamaterial embedded in nematic liquid crystal. Appl. Phys. Lett. 2015, 106, 092905. [Google Scholar] [CrossRef]
  10. Yin, Z.; Lu, Y.; Xia, T.; Lai, W.; Yang, J.; Lu, H.; Deng, G. Electrically tunable terahertz dual-band metamaterial absorber based on a liquid crystal. RSC Adv. 2018, 8, 4197–4203. [Google Scholar] [CrossRef]
  11. Liu, L.; Shadrivov, I.V.; Powell, D.A.; Raihan, M.R.; Hattori, H.T.; Decker, M.; Mironov, E.; Neshev, D.N. Temperature control of terahertz metamaterials with liquid crystals. IEEE Trans. Terahertz Sci. Technol. 2013, 3, 827–831. [Google Scholar] [CrossRef]
  12. Yin, K.; He, Z.; Wu, S.T. Reflective polarization volume lens with small f-number and large diffraction angle. Adv. Opt. Mater. 2020, 8, 2000170. [Google Scholar] [CrossRef]
  13. Yin, K.; Xiong, J.; He, Z.; Wu, S.T. Patterning liquid-crystal alignment for ultrathin flat optics. ACS Omega 2020, 5, 31485–31489. [Google Scholar] [CrossRef] [PubMed]
  14. Wang, L.; Lin, X.W.; Hu, W.; Shao, G.H.; Chen, P.; Liang, L.J.; Jin, B.B.; Wu, P.H.; Qian, H.; Lu, Y.N.; et al. Broadband tunable liquid crystal terahertz waveplates driven with porous graphene electrodes. Light Sci. Appl. 2015, 4, e253. [Google Scholar] [CrossRef]
  15. Withayachumnankul, W.; Fischer, B.M.; Abbott, D. Material thickness optimization for transmission-mode terahertz time-domain spectroscopy. Opt. Express 2008, 16, 7382–7396. [Google Scholar] [CrossRef] [PubMed]
  16. Pan, C.L.; Hsieh, C.F.; Pan, R.P.; Tanaka, M.; Miyamaru, F.; Tani, M.; Hangyo, M. Control of enhanced THz transmission through metallic hole arrays using nematic liquid crystal. Opt. Express 2005, 13, 3921–3930. [Google Scholar] [CrossRef] [PubMed]
  17. O’Hara, J.F.; Singh, R.; Brener, I.; Smirnova, E.; Han, J.; Taylor, A.J.; Zhang, W. Thin-film sensing with planar terahertz metamaterials: Sensitivity and limitations. Opt. Express 2008, 16, 1786–1795. [Google Scholar] [CrossRef] [PubMed]
  18. Jin, Y.S.; Kim, G.J.; Jeon, S.G. Terahertz dielectric properties of polymers. J. Korean Phys. Soc. 2006, 49, 513–517. [Google Scholar]
  19. Tao, H.; Strikwerda, A.C.; Fan, K.; Bingham, C.M.; Padilla, W.J.; Zhang, X.; Averitt, R.D. Terahertz metamaterials on free-standing highly-flexible polyimide substrates. J. Phys. D Appl. Phys. 2008, 41, 232004. [Google Scholar] [CrossRef]
  20. Li, X.; Tan, N.; Pivnenko, M.; Sibik, J.; Zeitler, J.A.; Chu, D. High-birefringence nematic liquid crystal for broadband THz applications. Liq. Cryst. 2016, 43, 955–962. [Google Scholar] [CrossRef]
Figure 1. (a) Schematic configuration of twelve metamaterial-imbedded liquid crystal (LC) cells at θ = 0° and 90°. θ is an angle between the rubbing direction of the polyimide layers and the gaps of the split ring resonators (SRRs) of the metamaterial in a metamaterial-imbedded LC cell. (b) Dimensions of SRR. (c) Scanning electron microscope image of metamaterial.
Figure 1. (a) Schematic configuration of twelve metamaterial-imbedded liquid crystal (LC) cells at θ = 0° and 90°. θ is an angle between the rubbing direction of the polyimide layers and the gaps of the split ring resonators (SRRs) of the metamaterial in a metamaterial-imbedded LC cell. (b) Dimensions of SRR. (c) Scanning electron microscope image of metamaterial.
Coatings 11 00578 g001
Figure 2. (a) Generation of terahertz pulse using femtosecond laser pulse. (b) Generation and detection mechanisms of terahertz radiation in terahertz spectrometer.
Figure 2. (a) Generation of terahertz pulse using femtosecond laser pulse. (b) Generation and detection mechanisms of terahertz radiation in terahertz spectrometer.
Coatings 11 00578 g002
Figure 3. Experimental spectra of any four of the polyimide (PI)-coated metamaterials (MMs).
Figure 3. Experimental spectra of any four of the polyimide (PI)-coated metamaterials (MMs).
Coatings 11 00578 g003
Figure 4. Simulated spectrum of polyimide-coated metamaterials. The insert presents the near-field distribution of the PET substrate with the simulated polyimide-coated SRR at 0.588 THz.
Figure 4. Simulated spectrum of polyimide-coated metamaterials. The insert presents the near-field distribution of the PET substrate with the simulated polyimide-coated SRR at 0.588 THz.
Coatings 11 00578 g004
Figure 5. Terahertz spectra of metamaterial-imbedded cells with a liquid crystal (LC) thickness of 710 µm in spectral resolution of 1 GHz.
Figure 5. Terahertz spectra of metamaterial-imbedded cells with a liquid crystal (LC) thickness of 710 µm in spectral resolution of 1 GHz.
Coatings 11 00578 g005
Figure 6. Terahertz spectra of metamaterial cells with various LC thicknesses of (a) 310 µm, (b) 500 µm, (c) 710 µm, (d) 1000 µm, (e) 1300 µm, and (f) 1487 µm at θ = 0° and 90°.
Figure 6. Terahertz spectra of metamaterial cells with various LC thicknesses of (a) 310 µm, (b) 500 µm, (c) 710 µm, (d) 1000 µm, (e) 1300 µm, and (f) 1487 µm at θ = 0° and 90°.
Coatings 11 00578 g006
Figure 7. Dependences of f, f90°, and Δf on d = 310 µm, 500 µm, 710 µm, 1000 µm, 1300 µm, and 1487 µm.
Figure 7. Dependences of f, f90°, and Δf on d = 310 µm, 500 µm, 710 µm, 1000 µm, 1300 µm, and 1487 µm.
Coatings 11 00578 g007
Figure 8. Dependences of ne, no, and Δn on d = 310 µm, 500 µm, 710 µm, 1000 µm, 1300 µm, and 1487 µm.
Figure 8. Dependences of ne, no, and Δn on d = 310 µm, 500 µm, 710 µm, 1000 µm, 1300 µm, and 1487 µm.
Coatings 11 00578 g008
Figure 9. Near-field distributions of simulated polyimide-coated SRR deposited with an LC layer with a thickness of 310 µm in (a) top and (b) cross-section views.
Figure 9. Near-field distributions of simulated polyimide-coated SRR deposited with an LC layer with a thickness of 310 µm in (a) top and (b) cross-section views.
Coatings 11 00578 g009
Figure 10. Transmittances of LC cells at t = 310 µm, 710 µm, 1000 µm, and 1400 µm in a separate experiment.
Figure 10. Transmittances of LC cells at t = 310 µm, 710 µm, 1000 µm, and 1400 µm in a separate experiment.
Coatings 11 00578 g010
Figure 11. Polarizing optical microscopy pictures of LC cells with LC thicknesses of 310 µm, 710 µm, 1000 µm, and 1400 µm under parallel polarizers.
Figure 11. Polarizing optical microscopy pictures of LC cells with LC thicknesses of 310 µm, 710 µm, 1000 µm, and 1400 µm under parallel polarizers.
Coatings 11 00578 g011
Publisher’s Note: MDPI stays neutral with regard to jurisdictional claims in published maps and institutional affiliations.

Share and Cite

MDPI and ACS Style

Chiang, W.-F.; Lin, S.-X.; Lee, Y.-X.; Shih, Y.-H.; Liu, J.-H.; Silalahi, H.-M.; Lee, C.-R.; Huang, C.-Y. Effect of Thicknesses of Liquid Crystal Layers on Shift of Resonance Frequencies of Metamaterials. Coatings 2021, 11, 578. https://doi.org/10.3390/coatings11050578

AMA Style

Chiang W-F, Lin S-X, Lee Y-X, Shih Y-H, Liu J-H, Silalahi H-M, Lee C-R, Huang C-Y. Effect of Thicknesses of Liquid Crystal Layers on Shift of Resonance Frequencies of Metamaterials. Coatings. 2021; 11(5):578. https://doi.org/10.3390/coatings11050578

Chicago/Turabian Style

Chiang, Wei-Fan, Shih-Xuan Lin, Yong-Xuan Lee, Yu-Han Shih, Jih-Hsin Liu, Harry-Miyosi Silalahi, Chia-Rong Lee, and Chia-Yi Huang. 2021. "Effect of Thicknesses of Liquid Crystal Layers on Shift of Resonance Frequencies of Metamaterials" Coatings 11, no. 5: 578. https://doi.org/10.3390/coatings11050578

APA Style

Chiang, W.-F., Lin, S.-X., Lee, Y.-X., Shih, Y.-H., Liu, J.-H., Silalahi, H.-M., Lee, C.-R., & Huang, C.-Y. (2021). Effect of Thicknesses of Liquid Crystal Layers on Shift of Resonance Frequencies of Metamaterials. Coatings, 11(5), 578. https://doi.org/10.3390/coatings11050578

Note that from the first issue of 2016, this journal uses article numbers instead of page numbers. See further details here.

Article Metrics

Back to TopTop