Magnetotransport Properties of Semi-Metallic Bismuth Thin Films for Flexible Sensor Applications
Abstract
1. Introduction
2. Materials and Methods
3. Results and Discussion
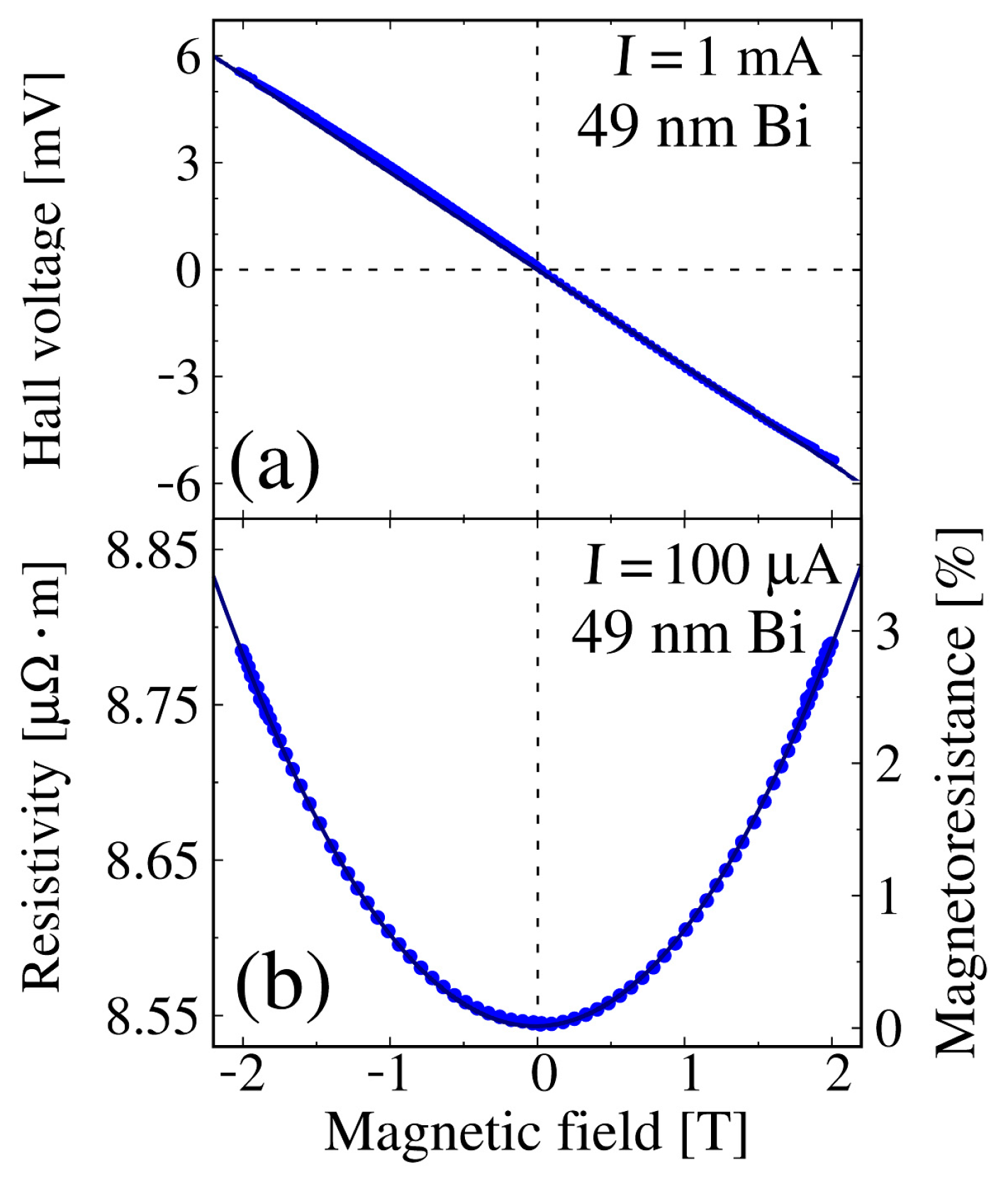
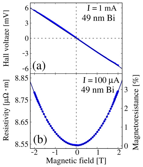
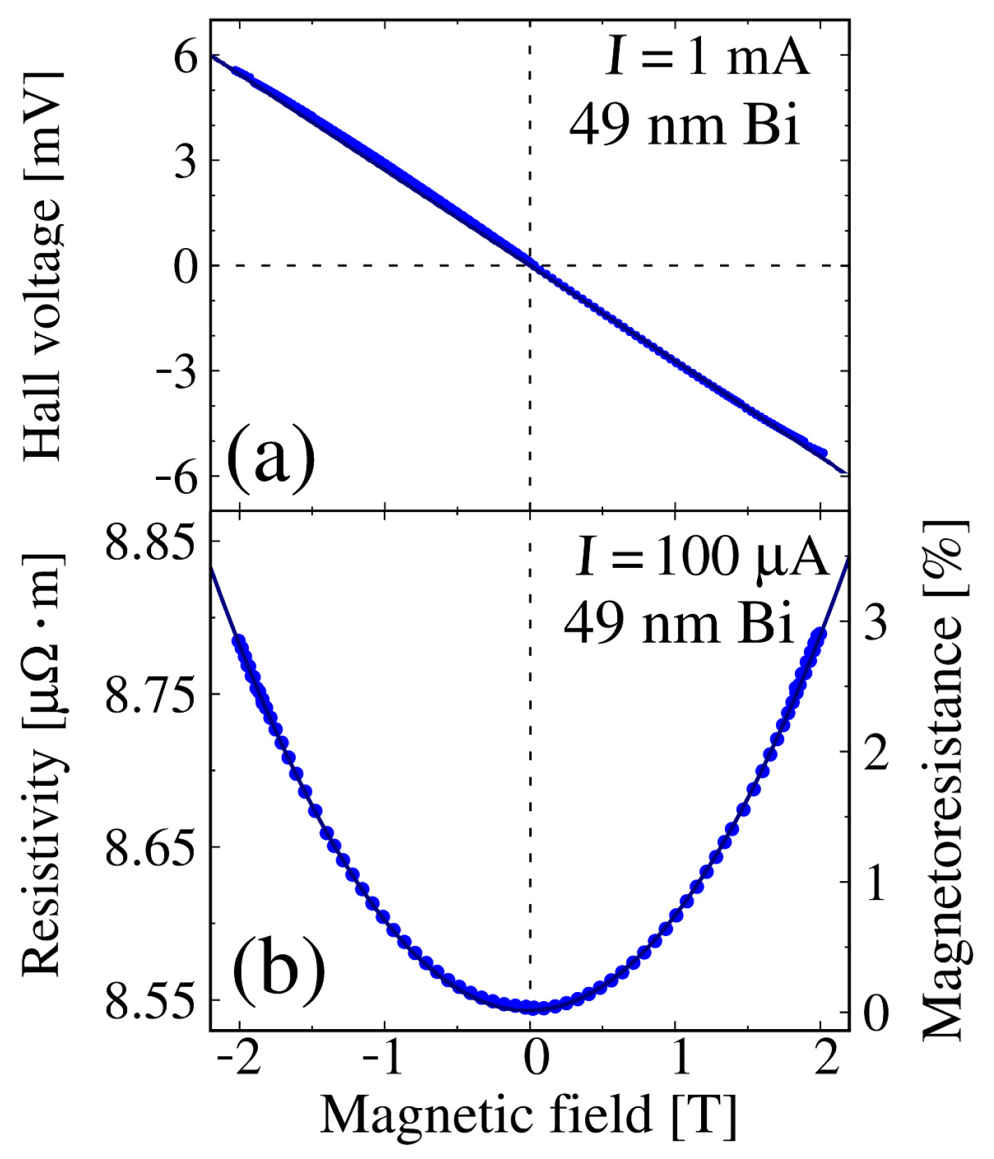
3.1. Structure and Transport Properties of As-Grown Bi Films
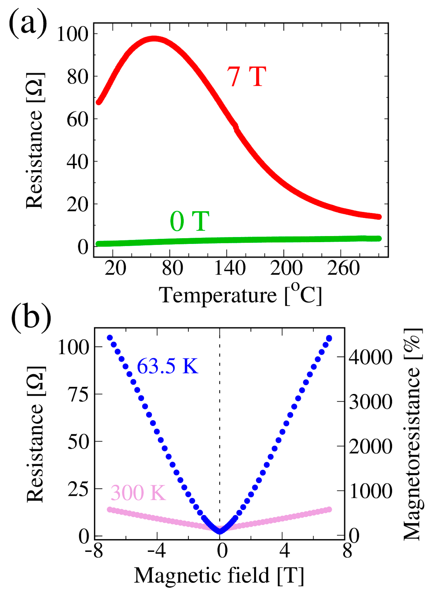
3.2. Magnetotransport Enhancement by Annealing
4. Conclusions
Author Contributions
Funding
Data Availability Statement
Conflicts of Interest
References
- Makarov, D.; Melzer, M.; Karnaushenko, D.; Schmidt, O.G. Shapeable magnetoelectronics. Appl. Phys. Rev. 2016, 3, 011101. [Google Scholar] [CrossRef]
- Kim, M.; Oh, S.; Jeong, W.; Talantsev, A.; Jeon, T.; Chaturvedi, R.; Lee, S.; Kim, C. Bendable planar hall resistance sensor. IEEE Magn. Lett. 2020, 11, 1–5. [Google Scholar] [CrossRef]
- Lin, J.; Zhu, Z.; Cheung, C.F.; Yan, F.; Li, G. Digital manufacturing of functional materials for wearable electronics. J. Mater. Chem. C 2020, 8, 10587–10603. [Google Scholar] [CrossRef]
- Karnaushenko, D.; Kang, T.; Schmidt, O.G. Shapeable material technologies for 3D self-assembly of mesoscale electronics. Adv. Mater. Technol. 2019, 4, 1800692. [Google Scholar]
- Kaltenbrunner, M.; White, M.S.; Głowacki, E.D.; Sekitani, T.; Someya, T.; Serdar Sariciftci, N.; Bauer, S. Ultrathin and lightweight organic solar cells with high flexibility. Nat. Commun. 2012, 3, 770. [Google Scholar] [CrossRef]
- Han, T.-H.; Lee, Y.; Choi, M.-R.; Woo, S.-H.; Bae, S.-H.; Hong, B.H.; Ahn, J.-H.; Lee, T.-W. Extremely efficient flexible organic light-emitting diodes with modified graphene anode. Nat. Photonics 2012, 6, 105–110. [Google Scholar] [CrossRef]
- Nomura, K.; Takagi, A.; Kamiya, T.; Ohta, H.; Hirano, M.; Hosono, H. Amorphous oxide semiconductors for high-performance flexible thin-film transistors. Jpn. J. Appl. Phys. 2006, 45, 4303–4308. [Google Scholar] [CrossRef]
- Hu, L.; Wu, H.; La Mantia, F.; Yang, Y.; Cui, Y. Thin, flexible secondary li-ion paper batteries. ACS Nano 2010, 4, 5843–5848. [Google Scholar] [CrossRef]
- Yeo, J.C.; Yap, H.K.; Xi, W.; Wang, Z.; Yeow, C.-H.; Lim, C.T. Flexible and stretchable strain sensing actuator for wearable soft robotic applications. Adv. Mater. Technol. 2016, 1, 1600018. [Google Scholar] [CrossRef]
- Melzer, M.; Ingolf Mönch, J.; Makarov, D.; Zabila, Y.; Santiago Cañón Bermúdez, G.; Karnaushenko, D.; Baunack, S.; Bahr, F.; Yan, C.; Kaltenbrunner, M.; et al. Wearable magnetic field sensors for flexible electronics. Adv. Mater. 2015, 27, 1274–1280. [Google Scholar] [CrossRef]
- Phillips, W.G.; Jano, B. System and Method for Bendable Display. U.S. Patent US9117384B2, 25 August 2015. [Google Scholar]
- Park, S.; Ahn, S.; Sun, J.; Bhatia, D.; Choi, D.; Seung Yang, K.; Bae, J.; Park, J.-J. Highly bendable and rotational textile structure with prestrained conductive sewing pattern for human joint monitoring. Adv. Funct. Mat. 2019, 29, 1808369. [Google Scholar] [CrossRef]
- Burstyn, J.; Banerjee, A.; Vertegaal, R. FlexView: An evaluation of depth navigation on deformable mobile devices. In TEI’13, 7th International Conference on Tangible, Embedded and Embodied Interaction; ACM: New York, NY, USA, 2013; pp. 193–200. [Google Scholar]
- Li, L.; Checkelsky, J.G.; Hor, Y.S.; Uher, C.; Hebard, A.F.; Cava, R.J.; Ong, N.P. Phase transitions of Dirac electrons in bismuth. Science 2008, 321, 547–550. [Google Scholar] [CrossRef] [PubMed]
- Behnia, K.; Balicas, L.; Kopelevich, Y. Signatures of electron fractionalization in ultraquantum bismuth. Science 2007, 317, 1729–1731. [Google Scholar] [CrossRef]
- Zhu, Z.; Collaudin, A.; Fauqué, B.; Kang, W.; Behnia, K. Field-induced polarization of Dirac valleys in bismuth. Nat. Phys. 2012, 8, 89–94. [Google Scholar] [CrossRef]
- Yang, F.Y.; Liu, K.; Hong, K.; Reich, D.H.; Searson, P.C.; Chien, C.L. Large magnetoresistance of electrodeposited single-crystal bismuth thin films. Science 1999, 284, 1335–1337. [Google Scholar] [CrossRef]
- Krupinski, M.; Zarzycki, A.; Zabila, Y.; Marszałek, M. Weak antilocalization tailor-made by system topography in large scale bismuth antidot arrays. Materials 2020, 13, 3246. [Google Scholar] [CrossRef] [PubMed]
- Zabila, Y.; Horeglad, P.; Krupinski, M.; Zarzycki, A.; Perzanowski, M.; Maximenko, A.; Marszałek, M. Optical diffraction strain sensor prepared by interference lithography. Acta Phys. Pol. A 2018, 133, 309–312. [Google Scholar] [CrossRef]
- Melzer, M.; Makarov, D.; Schmidt, O.G. A review on stretchable magnetic field sensorics. J. Phys. D Appl. Phys. 2020, 53, 083002. [Google Scholar] [CrossRef]
- Granell, P.N.; Wang, G.; Cañon Bermudez, G.S.; Kosub, T.; Golmar, F.; Steren, L.; Fassbender, J.; Makarov, D. Highly compliant planar Hall effect sensor with sub 200 nT sensitivity. NPJ Flex. Electron. 2019, 3, 1–6. [Google Scholar] [CrossRef]
- Walker, E.S.; Na, S.R.; Jung, D.; March, S.D.; Kim, J.-S.; Trivedi, T.; Li, W.; Tao, L.; Lee, M.L.; Liechti, K.M.; et al. Large-area dry transfer of single-crystalline epitaxial bismuth thin films. Nano Lett. 2016, 16, 6931–6938. [Google Scholar] [CrossRef]
- Zhao, H.; Sun, X.; Zhu, Z.; Zhong, W.; Song, D.; Lu, W.; Tao, L. Physical vapor deposited 2D bismuth for CMOS technology. J. Semicond. 2020, 41, 081001. [Google Scholar] [CrossRef]
- Yang, B.; Li, X.; Cheng, Y.; Duan, S.; Zhao, B.; Yi, W.; Wang, C.; Sun, H.; Wang, Z.; Gu, D.; et al. Liquid phase exfoliation of bismuth nanosheets for flexible all-solid-state supercapacitors with high energy density. J. Mater. Chem. C 2020, 8, 12314–12322. [Google Scholar] [CrossRef]
- Lükermann, D.; Banyoudeh, S.; Brand, C.; Sologub, S.; Pfnür, H.; Tegenkamp, C. Growth of epitaxial Bi-films on vicinal Si(111). Surf. Sci. 2014, 621, 82–87. [Google Scholar] [CrossRef]
- Yang, Q.-Q.; Liu, R.-T.; Huang, C.; Huang, Y.-F.; Gao, L.-F.; Sun, B.; Huang, Z.-P.; Zhang, L.; Hu, C.-X.; Zhang, Z.-Q.; et al. 2D bismuthene fabricated via acid-intercalated exfoliation showing strong nonlinear near-infrared responses for mode-locking lasers. Nanoscale 2018, 10, 21106–21115. [Google Scholar] [CrossRef] [PubMed]
- Thompson, C.V.; Carel, R. Stress and grain growth in thin films. J. Mech. Phys. Solids 1996, 44, 657–673. [Google Scholar] [CrossRef]
- Duan, X.; Yang, J.; Zhu, W.; Fan, X.; Xiao, C. Structure and electrical properties of bismuth thin films prepared by flash evaporation method. Mater. Lett. 2007, 61, 4341–4343. [Google Scholar] [CrossRef]
- Hasegawa, Y.; Ishikawa, Y.; Saso, T.; Shirai, H.; Morita, H.; Komine, T.; Nakamura, H. A method for analysis of carrier density and mobility in polycrystalline bismuth. Physica B 2006, 382, 140–146. [Google Scholar] [CrossRef]
- Demidov, E.V.; Grabov, V.M.; Komarov, V.A.; Krushelnitckii, A.N.; Suslov, A.V.; Suslov, M.V. Specific features of the quantum-size effect in transport phenomena in bismuth-thin films on mica substrates. Semiconductors 2019, 53, 727–731. [Google Scholar] [CrossRef]
- Stanley, S.A.; Cropper, M.D. Structure and resistivity of bismuth thin films deposited by pulsed DC sputtering. Appl. Phys. A 2015, 120, 1461–1468. [Google Scholar] [CrossRef]
- Du, X.; Hebard, A.F. Large magnetoresistance of bismuth gold films thermally deposited onto glass substrates. Appl. Phys. Lett. 2003, 82, 2293. [Google Scholar] [CrossRef]
- Cusack, N.; Enderby, J.E. A note on the resistivity of liquid alkali and noble metals. P. Phys. Soc. 1960, 75, 395. [Google Scholar] [CrossRef]
- Takagi, M. Electron-diffraction study of liquid-solid transition of thin metal films. J. Phys. Soc. Jpn. 1954, 9, 359. [Google Scholar] [CrossRef]











Publisher’s Note: MDPI stays neutral with regard to jurisdictional claims in published maps and institutional affiliations. |
© 2021 by the authors. Licensee MDPI, Basel, Switzerland. This article is an open access article distributed under the terms and conditions of the Creative Commons Attribution (CC BY) license (http://creativecommons.org/licenses/by/4.0/).
Share and Cite
Zabila, Y.; Marszalek, M.; Krupinski, M.; Zarzycki, A.; Perzanowski, M. Magnetotransport Properties of Semi-Metallic Bismuth Thin Films for Flexible Sensor Applications. Coatings 2021, 11, 175. https://doi.org/10.3390/coatings11020175
Zabila Y, Marszalek M, Krupinski M, Zarzycki A, Perzanowski M. Magnetotransport Properties of Semi-Metallic Bismuth Thin Films for Flexible Sensor Applications. Coatings. 2021; 11(2):175. https://doi.org/10.3390/coatings11020175
Chicago/Turabian StyleZabila, Yevhen, Marta Marszalek, Michal Krupinski, Arkadiusz Zarzycki, and Marcin Perzanowski. 2021. "Magnetotransport Properties of Semi-Metallic Bismuth Thin Films for Flexible Sensor Applications" Coatings 11, no. 2: 175. https://doi.org/10.3390/coatings11020175
APA StyleZabila, Y., Marszalek, M., Krupinski, M., Zarzycki, A., & Perzanowski, M. (2021). Magnetotransport Properties of Semi-Metallic Bismuth Thin Films for Flexible Sensor Applications. Coatings, 11(2), 175. https://doi.org/10.3390/coatings11020175

