Understanding the Enhanced Protective Mechanism of CoCrNiAlY–YSZ–LaMgAl11O19 Double-Ceramic Coating with Aluminum Plating
Abstract
:1. Introduction
2. Material and Methods
2.1. Coating Preparation
2.2. Finite Element Simulation
2.2.1. Finite Element Model
2.2.2. Material Parameters and Basic Assumptions
- The residual stress of the coating (including the arc aluminum coating) and the substrate at the initial temperature were zero;
- The entire model was isotropic;
- The model had no plastic failure, the bonding between the coatings was firm, and there was no relative sliding.
2.2.3. Boundary and Initial Conditions
- Force boundary conditions: the degree of freedom in the X direction at the symmetry axis of the model U1 = 0, and the degree of freedom in the Y direction at the bottom of the model U2 = 0.
- Thermal boundary conditions: the upper end of the model was exposed to air, and convective heat transfer occurred. The convection coefficient was 65 W/(°C·m2), and the left, right, and lower end faces were heated.
- Initial conditions: the initial temperature of the model was equal to the ambient temperature (25 °C), and the model was in an unstressed state.
2.2.4. Temperature Load
2.3. Experimental Study
3. Results
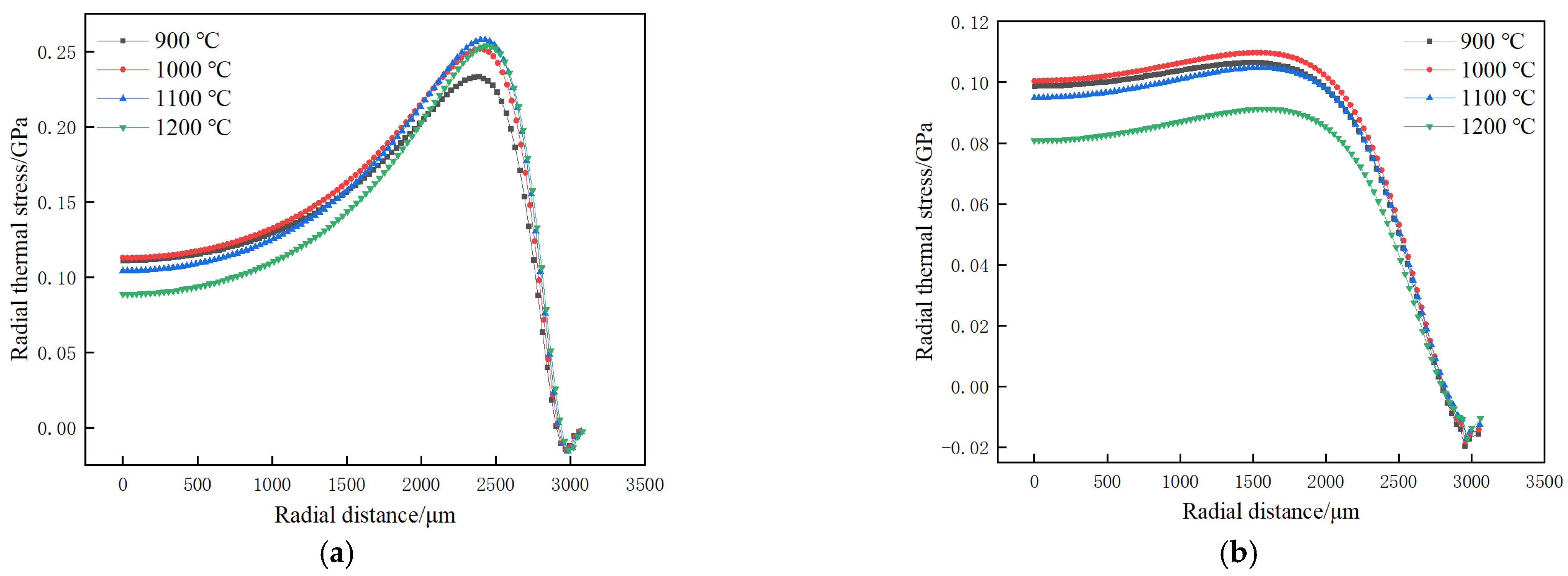
3.1. M1, M2S1 Simulation
3.2. M2S2 Simulation
3.3. Experimental Analysis
4. Conclusions
- In the absence of aluminum plating, the surface of the LMA layer of the CoCrNiAlY–YSZ–LMA double-layer ceramic coating had a large radial thermal stress (tensile stress, the direction is perpendicular to Y), and it increased with an increase in the operating temperature. This stress was caused by the volume shrinkage of the coating and was the main cause of the initiation and propagation of cracks in the axial direction (Y direction).
- The aluminum plating on the coating surface could effectively inhibit the volume shrinkage of the LMA layer through the good adhesion of the aluminum layer to the LMA, thereby considerably reducing the all-directional thermal stress on the surface of the LMA layer, preventing the initiation of axial microcracks, and protecting the coating. However, along the downward direction of the coating thickness, the protective effect of the aluminum coating gradually decreased, and the volume shrinkage of the LMA layer increased, which promoted radial (X-direction) microcracks inside the LMA layer.
- Aluminum plating on the surface of the coating can effectively bond the side walls of cracks by filling axial cracks, eliminating volume shrinkage, and eliminating all-directional thermal stress at the side walls of the cracks. Thus, it effectively inhibited further expansion of the axial cracks, showing good self-healing performance of the aluminum coating, and an enhancement effect on the coating. Moreover, the diffusion and adhesion of the aluminum-plated layer in the axial cracks effectively prevented the diffusion of oxygen to the inside of the coating through the cracks, reduced the rapid growth of the TGO layer, and inhibited the interface fracture. However, there was still a certain amount of shear thermal stress at the top and bottom of the crack (in the negative direction of the Y-axis), which become a dangerous point for the failure of the aluminum coating.
Author Contributions
Funding
Institutional Review Board Statement
Informed Consent Statement
Data Availability Statement
Acknowledgments
Conflicts of Interest
References
- Li, M.; Suo, J.; Wu, E. Edification of advanced foreign aeroengine technology. Aeronaut. Manuf. Technol. 2013, 9, 66–71. [Google Scholar]
- Li, H.; Wu, H.; Gao, W.; Jiang, C.; Zhou, G. Microstructure and mechanical properties of Ni-based superalloy prepared by electron beam physical vapor deposition. Trans. Mater. Heat Treat. 2016, 37, 84–87. [Google Scholar]
- Cui, H.; Li, H.; Cui, Q.; Ren, J.; Zhai, Y.; Zhang, Q. Summary of blade coatings for aero-engine and gas turbine. Therm. Spray Technol. 2019, 11, 82–94. [Google Scholar]
- Polat, A.; Sarikaya, O.; Celik, E. Effects of porosity on thermal loadings of functionally graded Y2O3–ZrO2/NiCoCrAlY coatings. Mater. Des. 2002, 23, 641–644. [Google Scholar] [CrossRef]
- Wang, X.; Xin, L. Progress of high-temperature protective coatings. Corros. Sci. Prot. Technol. 2013, 3, 175–183. [Google Scholar]
- Busso, E.P.; Evans, H.E.; Qian, Z.Q.; Taylor, M.P. Effects of breakaway oxidation on local stresses in thermal barrier coatings. Acta Mater. 2009, 58, 1242–1251. [Google Scholar] [CrossRef]
- Beele, W.; Marijnissen, G.; van Lieshout, A. The evolution of thermal barrier coatings—Status and upcoming solutions for today’s key issues. Surf. Coat. Technol. 1999, 120, 61–67. [Google Scholar] [CrossRef]
- Ranjbar-Far, M.; Absi, J.; Mariaux, G.; Smith, D.S. Crack propagation modeling on the interfaces of thermal barrier coating system with different thickness of the oxide layer and different interface morphologies. Mater. Des. 2011, 32, 4961–4969. [Google Scholar] [CrossRef]
- Chen, X.; Zhang, Y.; Zhong, X.; Xu, Z.; Zhang, J.; Cheng, Y.; Zhao, Y.; Liu, Y.; Fan, X.; Wang, Y.; et al. Thermal cycling behaviors of the plasma sprayed thermal barrier coatings of hexaluminates with magnetoplumbite structure. J. Eur. Ceram. Soc. 2010, 30, 1649–1657. [Google Scholar] [CrossRef]
- Khor, K.A.; Gu, Y.W.; Dong, Z.L. Mechanical behavior of plasma sprayed functionally graded YSZ/NiCoCrAlY composite coatings. Surf. Coat. Technol. 2001, 139, 200–206. [Google Scholar] [CrossRef]
- Hu, S.; Li, M. Influence of sintering temperature on the structure of LaMgAl11O19 precursor powder for condenser coatings. Mater. Prot. 2020, 53, 79–82. [Google Scholar]
- Pang, M.; Zhang, X. Effect of structural parameters on the residual stress of Mo/8YSZ functionally graded coating prepared by plasma spraying. J. Aeronaut. Mater. 2020, 40, 23–32. [Google Scholar]
- Liu, C. Measurement on Residual Stress of Coatings and Effect of Pretreatment on Thermal Grown Oxides. Master’s Thesis, Tianjin University, Tianjin, China, 2014. [Google Scholar]
- Xue, G.; Sun, Y.; Xiang, L.; Wang, Z.; Hu, S.; Xie, Z. Effect of Vacuum Annealing on Microstructure and Hot-Salt Corrosion Behavior of CoNiCrAlY/YSZ/LaMgAl11O19 Double-Ceramic Coating. Coatings 2021, 11, 951. [Google Scholar] [CrossRef]
- Wang, Z.; Wang, Y.; Liu, T.; Hu, S.; Ma, R.; Xie, Z. Enhancement of high-temperature oxidation resistance of CoCrNiAlY–yttria-stabilized zirconia–LaMgAl11O19 dual-ceramic coating by arc Al plating. Univ. Sci. Technol. Liaoning 2021, 47, 32450–32455. [Google Scholar]
- Sarikaya, O.; Islamoglu, Y.; Celik, E. Finite element modeling of the effect of the ceramic coatings on heat transfer characteristics in thermal barrier applications. Mater. Des. 2004, 26, 357–362. [Google Scholar] [CrossRef]
- Li, Z.; Wu, H. Numerical simulation of residual thermal stresses at interface of Sm2Zr2O7/YSZ composite coating based on different matrix material. Hot Work. Technol. 2012, 41, 116–120. [Google Scholar]
- Li, Z.; Liu, Y.; Zhang, H.; Liu, J. Numeric simulation of thermal shocking properties for Sm2Zr2O7 coatings prepared by plasma sprayed. Hot Work. Technol. 2010, 39, 126–129. [Google Scholar]
- Sarikaya, O.; Celik, E. Effects of residual stress on thickness and interlayer of thermal barrier ceramic MgO–ZrO2 coatings on Ni and AlSi substrates using finite element method. Mater. Des. 2002, 23, 645–650. [Google Scholar] [CrossRef]
- Xie, L.-L.; Niu, Y.-R.; Wang, L.; Chen, W.-L.; Zheng, X.-B.; Huang, Z.-Y. Residual stresses of plasma sprayed ZrC-based coatings during path-by-path and layer-by-layer deposition: Simulation and experimental verification. J. Inorg. Mater. 2019, 34, 768–774. [Google Scholar] [CrossRef] [Green Version]
- Wang, L.; Ming, C.; Zhong, X.H.; Ni, J.X.; Tao, S.Y.; Zhou, F.F.; Wang, Y. Prediction of critical rupture of plasma-sprayed yttria stabilized zirconia thermal barrier coatings under burner rig test via finite element simulation and in-situ acoustic emission technique. Surf. Coat. Technol. 2019, 367, 58–74. [Google Scholar] [CrossRef]
- Hu, Z.; Wang, L.; Zhuang, M.; Zhang, H.; Li, G.; Wang, Y.; Yang, Y. Research progress of crack growth of coatings via numerical simulation. Mater. China 2020, 39, 10. [Google Scholar]
- Asghari, S.; Salimi, M. Finite element simulation of thermal barrier coating performance under thermal cycling. Surf. Coat. Technol. 2010, 205, 2042–2050. [Google Scholar] [CrossRef]
- Wang, L.; Wang, Y.; Tian, W.; Yang, Y.; Zhou, H. Comparative study of the residual stress in plasma sprayed nanostructure and conventional structure coatings. Mater. Prot. 2009, 42, 58–62. [Google Scholar]
- Dong, C. Welding Deformation Contral of Main Combustor Flame Tube of UAV. Master’s Thesis, Harbin Institute of Technology, Harbin, China, 2015. [Google Scholar]
- Khor, K.A.; Gu, Y.W. Effects of residual stress on the performance of plasma sprayed functionally graded ZrO2/NiCoCrAlY coatings. Mater. Sci. Eng. A 2000, 277, 64–76. [Google Scholar] [CrossRef]
- Science—Applied Surface Science; Studies from Shanghai Institute of Ceramics Provide New Data on Applied Surface Science (Microstructure and Self-healing Properties of Multi-layered Nicocraly/taz/ysz Thermal Barrier Coatings Fabricated by Atmospheric Plasma Spraying). Sci. Lett. 2019, 488, 246–260.
- Liu, G.; Zhang, X.; Li, J.; Wang, L.; Pamh, M.; An, Y. Structural optimization and thermo-mechanical coupling simulation of plasma sprayed Mo/8YSZ functionally graded coating. Surf. Technol. 2020, 49, 213–223. [Google Scholar]
- Li, P. A Study on Preparation and Thermophysical Properties of LaMgAl11O19 for Coating. Master’s Thesis, Inner Mongolia University of Science and Technology, Inner Mongolia, China, 2009. [Google Scholar]
- Xie, Y.; Li, Q. Numerical simulation of thermal shock behavior of plasma sprayed 8YSZ thermal barrier coatings subjected to molten aluminum. Surf. Technol. 2018, 47, 102–108. [Google Scholar]
- Khorramirad, M.M.; Rahimipour, M.R.; Hadavi, S.M.; Shirvani, K. Preoxidation of bond coat in IN-738LC/NiCrAlY/LaMgAl11O19 thermal barrier coating system. Ceram. Int. 2018, 44, 22080–22091. [Google Scholar] [CrossRef]
- Cao, X.Q.; Zhang, Y.F.; Zhang, J.F.; Zhong, X.H.; Wang, Y.; Ma, H.M.; Xu, Z.H.; He, L.M.; Lu, F. Failure of the plasma-sprayed coating of lanthanum hexaluminate. J. Eur. Ceram. Soc. 2008, 28, 1979–1986. [Google Scholar] [CrossRef]
- Wang, L. Analysis of Microstructure and Residual Stress of Plasma Sprayed Nano-Structured Thermal Barrier Coatings. Master’s Thesis, Harbin Institute of Technology, Harbin, China, 2008. [Google Scholar]













| Material | Element | Current/A | Distance/mm | Line Speed/mm/min | Particle Diameter/μm |
|---|---|---|---|---|---|
| CoCrNiAlY | 31%–34% Ni, 24.5%–26.5% Cr, 5.0%–6.5% Al, 0.4%–0.8% Y and balanced Co | 500 | 120 | 800 | 30–74 |
| YSZ | 7.0%–7.5% Y2O3 and balanced ZrO2 | 600 | 120 | 800 | 30–64 |
| LMA | 15.0%–24.0% La2O3 and 4.0%–7.0% MgO, and balanced Al2O3 | 600 | 120 | 800 | 32–125 |
| Finite Element Model | Coating Structure | Combination Form of Aluminized Layer |
|---|---|---|
| M1 | CoCrNiAlY + YSZ + LMA | — |
| M2S1 | CoCrNiAlY + YSZ + LMA + Al plating layer | Surface coverage |
| M2S2 | CoCrNiAlY + YSZ + LMA + Al plating layer | Crack filling |
| Finite Element Model | Coating Thickness/μm | Coating Width/μm | ||||
|---|---|---|---|---|---|---|
| GH199 | CoCrNiAlY | YSZ | LaMgAl11O19 | Al Plating Layer | ||
| M1 | 2550 | 100 | 150 | 200 | 20 | 3000 |
| M2S1 | 2550 | 100 | 150 | 200 | 20 | 3000 |
| M2S2 | 2550 | 100 | 150 | 200 | 20 | 3000 |
| Coatings | T/°C | E/GPa | α/(10−6 K−1) | λ/(Wm−1·°C−1) | C/(J·kg−1·°C−1) | ρ/(kg·m−3) | υ |
|---|---|---|---|---|---|---|---|
| GH199 | 25 | 205 | 12.1 | 13.38 | 372.6 | 8260 | 0.30 |
| 100 | 203 | 12.2 | 13.68 | 372.8 | 8260 | 0.30 | |
| 300 | 193 | 13.4 | 20.27 | 456.4 | 8260 | 0.30 | |
| 500 | 180 | 14.3 | 24.62 | 452.2 | 8260 | 0.30 | |
| 700 | 166 | 15.5 | 29.05 | 515.0 | 8260 | 0.30 | |
| 900 | 149 | 16.1 | 33.44 | 561.0 | 8260 | 0.30 | |
| 1000 | 136 | 15.4 | 33.37 | 581.9 | 8260 | 0.30 | |
| 1100 | 124 | 14.8 | 33.30 | 607.0 | 8260 | 0.30 | |
| 1200 | 112 | 14.1 | 33.21 | 627.9 | 8260 | 0.30 | |
| CoCrNiAlY | 25 | 225 | 14 | 4.3 | 501 | 7320 | 0.30 |
| 400 | 186 | 24 | 6.4 | 592 | 7320 | 0.30 | |
| 800 | 147 | 47 | 10.2 | 781 | 7320 | 0.30 | |
| 1200 | 90 | 71 | 16.1 | 764 | 7320 | 0.30 | |
| YSZ | 20 | 48 | 10.4 | 1.80 | 450 | 5280 | 0.10 |
| 200 | 47 | 10.5 | 1.76 | 491 | 5280 | 0.10 | |
| 500 | 43 | 10.7 | 1.75 | 532 | 5280 | 0.10 | |
| 700 | 39 | 10.8 | 1.72 | 573 | 5280 | 0.10 | |
| 1100 | 25 | 10.9 | 1.69 | 615 | 5280 | 0.10 | |
| 1200 | 22 | 11.0 | 1.67 | 656 | 5280 | 0.10 | |
| LMA | 20 | 28.83 | 8.3 | 1.53 | 578.4 | 3321 | 0.23 |
| 200 | 25.47 | 9.5 | 1.18 | 805.4 | 3321 | 0.23 | |
| 400 | 22.11 | 10.5 | 0.82 | 913.2 | 3321 | 0.23 | |
| 600 | 18.75 | 11.0 | 0.65 | 1007.9 | 3321 | 0.23 | |
| 800 | 15.37 | 11.5 | 0.52 | 1055.3 | 3321 | 0.23 | |
| 1000 | 12.01 | 12.0 | 0.41 | 1089.6 | 3321 | 0.23 | |
| 1200 | 8.65 | 13.0 | 0.32 | 1094.5 | 3321 | 0.23 | |
| Al plating layer | 20 | 400 | 8 | 10 | 1000 | 3500 | 0.23 |
| 200 | 390 | 8.2 | 7.794 | 1000 | 3500 | 0.23 | |
| 400 | 380 | 8.4 | 6.029 | 1000 | 3500 | 0.24 | |
| 600 | 370 | 8.7 | 5.074 | 1000 | 3500 | 0.24 | |
| 800 | 355 | 9 | 4.412 | 1000 | 3500 | 0.25 | |
| 1000 | 325 | 9.3 | 4.412 | 1000 | 3500 | 0.25 | |
| 1100 | 320 | 9.6 | 4 | 1000 | 3500 | 0.25 |
| Maximum Radial Tensile Stress/Gpa | Temperature Load/°C | |||
|---|---|---|---|---|
| 900 | 1000 | 1100 | 1200 | |
| M1 | 0.233 | 0.252 | 0.258 | 0.254 |
| M2S1 | 0.107 | 0.11 | 0.105 | 0.091 |
| Maximum Thermal Stress/Gpa | Radial | Axial | Shear |
|---|---|---|---|
| Left side wall | 0.82 | 0.44 | 0.24 |
| 0.1 | −0.47 | −0.09 | |
| Right side wall | 0.85 | 0.95 | 0.99 |
| 0.11 | −0.14 | −0.2 |
| Maximum Residual Thermal Stress/Gpa | Radial | Axial | Shear |
|---|---|---|---|
| Left side wall | 0.07 | 0.01 | 0.001 |
| 0.01 | −0.04 | −0.04 | |
| Right side wall | 0.085 | −0.004 | 0.03 |
| 0.02 | −0.06 | −0.01 |
Publisher’s Note: MDPI stays neutral with regard to jurisdictional claims in published maps and institutional affiliations. |
© 2021 by the authors. Licensee MDPI, Basel, Switzerland. This article is an open access article distributed under the terms and conditions of the Creative Commons Attribution (CC BY) license (https://creativecommons.org/licenses/by/4.0/).
Share and Cite
Xu, J.; Wang, Z.; Hu, S.; Feng, Y.; Hu, S.; Chen, Y.; Xie, Z. Understanding the Enhanced Protective Mechanism of CoCrNiAlY–YSZ–LaMgAl11O19 Double-Ceramic Coating with Aluminum Plating. Coatings 2021, 11, 1312. https://doi.org/10.3390/coatings11111312
Xu J, Wang Z, Hu S, Feng Y, Hu S, Chen Y, Xie Z. Understanding the Enhanced Protective Mechanism of CoCrNiAlY–YSZ–LaMgAl11O19 Double-Ceramic Coating with Aluminum Plating. Coatings. 2021; 11(11):1312. https://doi.org/10.3390/coatings11111312
Chicago/Turabian StyleXu, Junfei, Zhiguo Wang, Shuai Hu, Yongjun Feng, Suying Hu, Yongjun Chen, and Zhiwen Xie. 2021. "Understanding the Enhanced Protective Mechanism of CoCrNiAlY–YSZ–LaMgAl11O19 Double-Ceramic Coating with Aluminum Plating" Coatings 11, no. 11: 1312. https://doi.org/10.3390/coatings11111312
APA StyleXu, J., Wang, Z., Hu, S., Feng, Y., Hu, S., Chen, Y., & Xie, Z. (2021). Understanding the Enhanced Protective Mechanism of CoCrNiAlY–YSZ–LaMgAl11O19 Double-Ceramic Coating with Aluminum Plating. Coatings, 11(11), 1312. https://doi.org/10.3390/coatings11111312
