Corrosion Improvement of 304L Stainless Steel by ZrSiN and ZrSi(N,O) Mono- and Double-Layers Prepared by Reactive Cathodic Arc Evaporation
Abstract
1. Introduction
2. Materials and Methods
2.1. Coating and Specimens
2.2. Coatings Characterization
3. Characterization of the Coatings
3.1. Surface Morphology and Elemental Composition of Coated Samples
3.2. Phase Composition and Grain Size
3.3. Corrosion Tests in H2O2-Augmented Saline Solution
3.4. Surface Morphology and Elemental Composition after Corrosion Tests
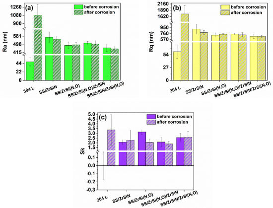
3.5. Coating Roughness
4. Conclusions
Author Contributions
Funding
Institutional Review Board Statement
Informed Consent Statement
Data Availability Statement
Acknowledgments
Conflicts of Interest
References
- Blackwood, D.J.; Pereira, B.P. No corrosion of 304 stainless steel implant after 40 years of service. J. Mater. Sci. Mater. Med. 2004, 15, 755–758. [Google Scholar] [CrossRef]
- Chen, K.K.; Chao, C.Y.; Chen, J.H.; Wu, J.H.; Chang, Y.H.; Du, J.K. Effect of low copper addition to as-forged 304 stainless steel for dental applications. Metals 2021, 11, 43. [Google Scholar] [CrossRef]
- Verstrynge, A.; Van Humbeeck, J.; Willems, G. In-vitro evaluation of the material characteristics of stainless steel and beta-titanium orthodontic wires. Am. J. Orthod. Dentofac. Orthop. 2006, 130, 460–470. [Google Scholar] [CrossRef]
- Oh, K.T.; Choo, S.U.; Kim, K.M.; Kim, K.N. A stainless steel bracket for orthodontic application. Eur. J. Orthod. 2005, 27, 237–244. [Google Scholar] [CrossRef]
- Disegi, J.A.; Eschbach, L. Stainless steel in bone surgery. Injury 2000, 31, D2–D6. [Google Scholar] [CrossRef]
- Zitter, H.; Plenk, H. The electrochemical behavior of metallic implant materials as an indicator of their biocompatibility. J. Biomed. Mater. Res. 1987, 21, 881–896. [Google Scholar] [CrossRef]
- Nishimura, R.; Maeda, Y. Stress corrosion cracking of sensitized type 316 austenitic stainless steel in hydrochloric acid solution-effect of sensitizing time. Corros. Sci. 2003, 45, 1847–1862. [Google Scholar] [CrossRef]
- Tang, Y.C.; Katsuma, S.; Fujimoto, S.; Hiromoto, S. Electrochemical study of type 304 and 316L stainless steels in simulated body fluids and cell cultures. Acta Biomater. 2006, 2, 709–715. [Google Scholar] [CrossRef]
- Klein, C.L.; Nieder, P.; Wagner, M.; Köhler, H.; Bittinger, F.; Kirkpatrick, C.J.; Lewis, J.C. The role of metal corrosion in inflammatory processes: Induction of adhesion molecules by heavy metal ions. J. Mater. Sci. Mater. Med. 1994, 5, 798–807. [Google Scholar] [CrossRef]
- Barbosa, M.A. Corrosion of metallic implants. In Handbook of Biomaterial Properties; Black, J., Hastings, G., Eds.; Chapman & Hall: London, UK, 1998; pp. 420–463. ISBN 978-1-4615-5801-9. [Google Scholar]
- Anderson, J.M. Soft tissue response. In Handbook of Biomaterial Properties; Black, J., Hastings, G., Eds.; Chapman and Hall: London, UK, 1998; pp. 490–499. ISBN 978-1-4615-5801-9. [Google Scholar]
- Ren, Y.; Yang, K.; Zhang, B. In vitro study of platelet adhesion on medical nickel-free stainless steel surface. Mater. Lett. 2005, 59, 1785–1789. [Google Scholar] [CrossRef]
- Niu, E.W.; Li, L.; Lv, G.H.; Chen, H.; Feng, W.R.; Fan, S.H.; Yang, S.Z.; Yang, X.Z. Influence of substrate bias on the structure and properties of ZrN films deposited by cathodic vacuum arc. Mater. Sci. Eng. A 2007, 460–461, 135–139. [Google Scholar] [CrossRef]
- Lalisse, A.; Tessier, G.; Plain, J.; Baffou, G. Plasmonic efficiencies of nanoparticles made of metal nitrides (TiN, ZrN) compared with gold. Sci. Rep. 2016, 6, 38647. [Google Scholar] [CrossRef]
- Liang, J.W.; Li, K.H.; Kang, C.H.; Braic, L.; Kiss, A.E.; Zoita, N.C.; Ng, T.K.; Ooi, B.S. Characterization of epitaxial titanium nitride mediated single-crystal nickel oxide grown on MgO-(100) and Si-(100). AIP Adv. 2020, 10, 065318. [Google Scholar] [CrossRef]
- Diroll, B.T.; Saha, S.; Shalaev, V.M.; Boltasseva, A.; Schaller, R.D. Broadband ultrafast dynamics of refractory metals: TiN and ZrN. Adv. Opt. Mater. 2020, 8, 2000652. [Google Scholar] [CrossRef]
- Li, K.-H.; Alfaraj, N.; Kang, C.H.; Braic, L.; Zoita, N.C.; Kiss, A.E.; Ng, T.K.; Ooi, B. Deep-ultraviolet beta-Ga2O3 photodetectors grown on MgO substrates with a TiN template. In 2019 IEEE Photonics Conference (IPC); IEEE: San Antonio, TX, USA, 2019. [Google Scholar]
- Briggs, J.A.; Naik, G.V.; Zhao, Y.; Petach, T.A.; Sahasrabuddhe, K.; Goldhaber-Gordon, D.; Melosh, N.A.; Dionne, J.A. Temperature-dependent optical properties of titanium nitride. Appl. Phys. Lett. 2017, 110, 101901. [Google Scholar] [CrossRef]
- Deng, J.; Liu, J.; Ding, Z.; Niu, M. Unlubricated friction and wear behaviors of ZrN coatings against hardened steel. Mater. Des. 2008, 29, 1828–1834. [Google Scholar] [CrossRef]
- Alfaraj, N.; Li, K.; Alawein, M.; Kang, C.H.; Braic, L.; Zoita, N.C.; Kiss, A.E.; Ng, T.K.; Ooi, B.S. Heteroepitaxial β-Ga2O3 on Conductive Ceramic Templates: Toward Ultrahigh Gain Deep-Ultraviolet Photodetection. Adv. Mater. Technol. 2021, 6, 210014. [Google Scholar] [CrossRef]
- Birtoiu, I.A.; Rizea, C.; Togoe, D.; Munteanu, R.M.; Micsa, C.; Rusu, M.I.; Tautan, M.; Braic, L.; Scoicaru, L.O.; Parau, A.; et al. Diagnosing clean margins through Raman spectroscopy in human and animal mammary tumour surgery: A short review. Interface Focus 2016, 6, 20160067. [Google Scholar] [CrossRef]
- Zhang, S.; Zhu, W. TiN coating of tool steels: A review. J. Mater. Process. Technol. 1993, 39, 165–177. [Google Scholar] [CrossRef]
- Tominaga, K.; Adachi, H.; Wasa, K. Functional thin films. In Handbook of Sputter Deposition Technology; Wasa, K., Ed.; William Andrew, Elsevier Inc.: Amsterdam, The Netherlands, 2012; pp. 361–520. ISBN ISBN 978-1-4377-3483-6. [Google Scholar]
- Arias, D.F.; Arango, Y.C.; Devia, A. Study of TiN and ZrN thin films grown by cathodic arc technique. Appl. Surf. Sci. 2006, 253, 1683–1690. [Google Scholar] [CrossRef]
- Arias, D.; Devia, A.; Velez, J. Study of TiN/ZrN/TiN/ZrN multilayers coatings grown by cathodic arc technique. Surf. Coat. Technol. 2010, 204, 2999–3003. [Google Scholar] [CrossRef]
- Zhang, J.J.; Wang, M.X.; Yang, J.; Liu, Q.X.; Li, D.J. Enhancing mechanical and tribological performance of multilayered CrN/ZrN coatings. Surf. Coat. Technol. 2007, 201, 5186–5189. [Google Scholar] [CrossRef]
- Ul-Hamid, A. The effect of deposition conditions on the properties of Zr-carbide, Zr-nitride and Zr-carbonitride coatings—A review. Mater. Adv. 2020, 1, 988–1011. [Google Scholar] [CrossRef]
- Sirajuddeen, M.M.S.; Banu, I.B.S. FP-LAPW investigation of electronic, magnetic, elastic and thermal properties of Fe-doped zirconium nitride. AIP Adv. 2014, 4, 057121. [Google Scholar] [CrossRef]
- Vogelzang, E.; Sjollema, J.; Boer, H.J.; De Hosson, J.T.M. Optical Absorption in TiNxOy Compounds. J. Appl. Phys. 1987, 61, 4606–4611. [Google Scholar] [CrossRef][Green Version]
- Haglund, J.; Grimvall, G.; Jarlborg, T.; Fernandez Guillermet, A. Band structure and cohesive properties of 3d-transition-metal carbides and nitrides with the NaCl-type structure. Phys. Rev. B 1991, 43, 65–118. [Google Scholar] [CrossRef]
- Fernandez Guillermet, A.; Haglund, J.; Grimvall, G. Cohesive properties of 4d-transition-metal carbides and nitrides in the NaCl-type structure. Phys. Rev. B 1992, 45, 11557–11567. [Google Scholar] [CrossRef]
- Yousefiani, A. Coating for Components Requiring Hydrogen Peroxde Compatibility. U.S. Patent 7,824,783 B2, 15 June 2010. [Google Scholar]
- Tanokura, Y. Japan Patent Removing Solution for Titanium Nitride Coating Film. JPH07278848A, 24 October 1995. [Google Scholar]
- Perreira Ferreira, C.; Reis de Castro, M.d.M.; Tentardini, E.; Lins, V.F.C.; Alves Saliba, P. Silicon influence on corrosion resistance of magnetron sputtered ZrN and ZrSiN thin films. Surf. Eng. 2018, 36, 1–8. [Google Scholar] [CrossRef]
- Winkelmann, A.; Cairney, J.M.; Hoffman, M.J.; Martin, P.J.; Bendavid, A. Zr–Si–N films fabricated using hybrid cathodic arc evaporation and chemical vapour deposition: Structure vs. properties. Surf. Coat. Technol. 2006, 200, 2554–2557. [Google Scholar] [CrossRef]
- Cui, X.; Jin, G.; Hao, J.; Li, J.; Guo, T. The influences of Si content on biocompatibility and corrosion resistance of Zr-Si-N films. Surf. Coat. Technol. 2013, 228, S524–S528. [Google Scholar] [CrossRef]
- Vepřek, S. The search for novel, superhard materials. J. Vac. Sci. Technol. A Vac. Surf. Film. 1999, 17, 2401–2420. [Google Scholar] [CrossRef]
- Chen, Y.I.; Chang, S.C.; Chang, L.C. Oxidation resistance and mechanical properties of Zr–Si–N coatings with cyclic gradient concentration. Surf. Coat. Technol. 2017, 320, 168–173. [Google Scholar] [CrossRef]
- Vanegas, H.S.; Alfonso, J.E.; Olaya, J.J. Effect of Si content on functional behavior of nanostructured coatings of Zr-Si-N. Mater. Res. Express 2019, 6, 115076. [Google Scholar] [CrossRef]
- Kim, S.K.; Van Le, V. Cathodic arc plasma deposition of nano-multilayered ZrN/AlSiN thin films. Surf. Coat. Technol. 2011, 206, 1507–1510. [Google Scholar] [CrossRef]
- Subramanian, B.; Muraleedharan, C.V.; Ananthakumar, R.; Jayachandran, M. A comparative study of titanium nitride (TiN), titanium oxy nitride (TiON) and titanium aluminum nitride (TiAlN), as surface coatings for bio implants. Surf. Coat. Technol. 2011, 205, 5014–5020. [Google Scholar] [CrossRef]
- Jung, M.J.; Nam, K.H.; Chung, Y.M.; Boo, J.H.; Han, J.G. The physiochemical properties of TiOxNy films with controlled oxygen partial pressure. Surf. Coat. Technol. 2003, 171, 71–74. [Google Scholar] [CrossRef]
- Kuprin, A.S.; Gilewicz, A.; Kuznetsova, T.A.; Lapitskaya, V.A.; Tolmachova, G.N.; Warcholinski, B.; Aizikovich, S.M.; Sadyrin, E.V. Structure and properties of ZrON coatings synthesized by cathodic arc evaporation. Materials 2021, 14, 1483. [Google Scholar] [CrossRef]
- Manivasagam, G.; Dhinasekaran, D.; Rajamanickam, A. Biomedical Implants: Corrosion and its Prevention—A Review. Recent Pat. Corros. Sci. 2010, 2, 40–54. [Google Scholar] [CrossRef]
- Kamachi Mudali, U.; Sridhar, T.M.; Baldev, R.A.J. Corrosion of bio implants. Sadhana Acad. Proc. Eng. Sci. 2003, 28, 601–637. [Google Scholar] [CrossRef]
- Park, J. Biomaterials Science and Engineering, 1st ed.; Springer Science+Business Media New York: New York, NY, USA, 1984. [Google Scholar]
- Halliwell, B.; Clement, M.V.; Long, L.H. Hydrogen peroxide in the human body. FEBS Lett. 2000, 486, 10–13. [Google Scholar] [CrossRef]
- Cubillos, G.I.; Bethencourt, M.; Olaya, J.J.; Alfonso, J.E.; Marco, J.F. The influence of deposition temperature on microstructure and corrosion resistance of ZrOxNy/ZrO2 coatings deposited using RF sputtering. Appl. Surf. Sci. 2014, 309, 181–187. [Google Scholar] [CrossRef]
- Craig, B.D.; Anderson, D.S. (Eds.) Handbook of Corrosion Data, 2nd ed.; ASM International Materials: Novelty, OH, USA, 1995; ISBN 978-0-87170-518-1. [Google Scholar]
- Dinu, M.; Hauffman, T.; Cordioli, C.; Vladescu, A.; Braic, M.; Hubin, A.; Cotrut, C.M.C.M. Protective performance of Zr and Cr based silico-oxynitrides used for dental applications by means of potentiodynamic polarization and odd random phase multisine electrochemical impedance spectroscopy. Corros. Sci. 2017, 115, 118–128. [Google Scholar] [CrossRef]
- Anders, A. (Ed.) Cathodic Arcs-From Fractal Spots to Energetic Condensation; Springer: New York, NY, USA, 2008; ISBN 978-0-387-79107-4. [Google Scholar]
- Braic, L.; Zoita, N.C. Influence of the deposition time and temperature on the texture of InN thin films grown by RF-magnetron sputtering. Optoelectron. Adv. Mater. Rapid Commun. 2010, 4, 2013–2017. [Google Scholar]
- Dinu, M.; Braic, L.; Padmanabhan, S.C.; Morris, M.A.; Titorencu, I.; Pruna, V.; Parau, A.; Romanchikova, N.; Petrik, L.F.; Vladescu, A. Characterization of electron beam deposited Nb2O5 coatings for biomedical applications. J. Mech. Behav. Biomed. Mater. 2020, 103, 103582. [Google Scholar] [CrossRef]
- Schindelin, J.; Arganda-Carrera, I.; Frise, E.; Verena, K.; Mark, L.; Tobias, P.; Stephan, P.; Curtis, R.; Stephan, S.; Benjamin, S.; et al. Fiji—An Open platform for biological image analysis. Nat. Methods 2009, 9, 676–682. [Google Scholar] [CrossRef]
- Bortel, E.L.; Charbonnier, B.; Heuberger, R. Development of a synthetic synovial fluid for tribological testing. Lubricants 2015, 3, 664–686. [Google Scholar] [CrossRef]
- Romańczuk, E.; Oksiuta, Z. Comparison of corrosion resistance in physiological saline solution of two austenitic stainless steels—316LV and REX734. Acta Mech. Autom. 2017, 11, 91–95. [Google Scholar] [CrossRef]
- Manam, N.S.; Harun, W.S.W.; Shri, D.N.A.; Ghani, S.A.C.; Kurniawan, T.; Ismail, M.H.; Ibrahim, M.H.I. Study of corrosion in biocompatible metals for implants: A review. J. Alloys Compd. 2017, 701, 698–715. [Google Scholar] [CrossRef]
- Dini, C.; Costa, R.C.; Sukotjo, C.; Takoudis, C.G.; Mathew, M.T.; Barão, V.A.R. Progression of bio-tribocorrosion in implant dentistry. Front. Mech. Eng. 2020, 6, 1–14. [Google Scholar] [CrossRef]
- Sumita, M.; Hanawa, T.; Ohnishi, I.; Yoneyama, T. Failure processes in biometallic materials. Compr. Struct. Integr. 2003, 9, 131–167. [Google Scholar] [CrossRef]
- Souza, M.E.P.; Lima, L.; Lima, C.R.P.; Zavaglia, C.A.C.; Freire, C.M.A. Effects of pH on the electrochemical behaviour of titanium alloys for implant applications. J. Mater. Sci. Mater. Med. 2009, 20, 549–552. [Google Scholar] [CrossRef]
- Lewis, D.B.; Creasey, S.J.; Wüstefeld, C.; Ehiasarian, A.P.; Hovsepian, P.E. The role of the growth defects on the corrosion resistance of CrN/NbN superlattice coatings deposited at low temperatures. Thin Solid Film. 2006, 503, 143–148. [Google Scholar] [CrossRef]
- Warcholinski, B.; Kuznetsova, T.A.; Gilewicz, A.; Zubar, T.I.; Lapitskaya, V.A.; Chizhik, S.A.; Komarov, A.I.; Komarova, V.I.; Kuprin, A.S.; Ovcharenko, V.D.; et al. Structural and mechanical properties of zr-si-n coatings deposited by arc evaporation at different substrate bias voltages. J. Mater. Eng. Perform. 2018, 27, 3940–3950. [Google Scholar] [CrossRef]
- Choi, H.; Jang, J.; Zhang, T.; Kim, J.-H.; Park, I.-W.; Kim, K.H. Effect of Si addition on the microstructure, mechanical properties and tribological properties of Zr-Si-N nanocomposite coatings deposited by a hybrid coating system. Surf. Coat. Technol. 2014, 259, 707–713. [Google Scholar] [CrossRef]
- Flink, A.; Larsson, T.; Sjölén, J.; Karlsson, L.; Hultman, L. Influence of Si on the microstructure of arc evaporated (Ti,Si)N thin films; evidence for cubic solid solutions and their thermal stability. Surf. Coat. Technol. 2005, 200, 1535–1542. [Google Scholar] [CrossRef]
- Flores, M.; Huerta, L.; Escamilla, R.; Andrade, E.; Muhl, S. Effect of substrate bias voltage on corrosion of TiN/Ti multilayers deposited by magnetron sputtering. Appl. Surf. Sci. 2007, 253, 7192–7196. [Google Scholar] [CrossRef]
- Hultman, L.; Bareño, J.; Flink, A.; Söderberg, H.; Larsson, K.; Petrova, V.; Odén, M.; Greene, J.E.; Petrov, I. Interface structure in superhard TiN-SiN nanolaminates and nanocomposites: Film growth experiments and ab initio calculations. Phys. Rev. B Condens. Matter Mater. Phys. 2007, 75, 155437. [Google Scholar] [CrossRef]
- Petrov, I.; Barna, P.B.; Hultman, L.; Greene, J.E. Microstructural evolution during film growth. J. Vac. Sci. Technol. A Vac. Surf. Film. 2003, 21, S117–S128. [Google Scholar] [CrossRef]
- Lin, J.; Wang, B.; Ou, Y.; Sproul, W.D.; Dahan, I.; Moore, J. Structure and properties of CrSiN nanocomposite coatings deposited by hybrid modulated pulsed power and pulsed dc magnetron sputtering. Surf. Coat. Technol. 2013, 216, 251–258. [Google Scholar] [CrossRef]
- Saladukhin, I.A.; Abadias, G.; Uglov, V.V.; Zlotski, S.V.; Michel, A.; Janse van Vuuren, A. Thermal stability and oxidation resistance of ZrSiN nanocomposite and ZrN/SiNx multilayered coatings: A comparative study. Surf. Coat. Technol. 2017, 332, 428–439. [Google Scholar] [CrossRef]
- Yalamanchili, K.; Forsén, R.; Jiménez-Piqué, E.; Johansson Jöesaar, M.P.; Roa, J.J.; Ghafoor, N.; Odén, M. Structure, deformation and fracture of arc evaporated Zr-Si-N hard films. Surf. Coat. Technol. 2014, 258, 1100–1107. [Google Scholar] [CrossRef]
- Chen, Y.M.; Liao, B.; Wu, X.Y.; Zhang, H.X.; Zhang, X. Synthesis and characterization of zirconium oxynitride coatings deposited by filtered cathodic vacuum arc technology. Surf. Coat. Technol. 2013, 228, S210–S213. [Google Scholar] [CrossRef]
- Oh, U.C.; Je, J.H. Effects of strain energy on the preferred orientation of TiN thin films. J. Appl. Phys. 1993, 74, 1692–1696. [Google Scholar] [CrossRef]
- Pelleg, J.; Zevin, L.Z.; Lungo, S.; Croitoru, N. Reactive-sputter-deposited TiN films on glass substrates. Thin Solid Film. 1991, 197, 117–128. [Google Scholar] [CrossRef]
- Sudha, P.N.; Sangeetha, K.; Jisha Kumari, A.V.; Vanisri, N.; Rani, K. Corrosion of ceramic materials. In Fundamental Biomaterials: Ceramics; Sabu, T., Preetha, B., Sreekala Meyyarappallil, S., Eds.; Woodhead Publishing: Duxford, UK, 2018; pp. 223–250. ISBN 9780081022047. [Google Scholar]
- Adesina, A.Y.; Gasem, Z.M.; Madhan Kumar, A. Corrosion resistance behavior of single-layer cathodic arc PVD nitride-base coatings in 1M HCl and 3.5 pct NaCl solutions. Metall. Mater. Trans. B Process Metall. Mater. Process. Sci. 2017, 48, 1321–1332. [Google Scholar] [CrossRef]
- Stern, M.; Geary, L. Electrochemical Polarization I. A theoretical analysis of the shape of polarization curves. J. Electrochem. Soc. 1957, 104, 56–63. [Google Scholar] [CrossRef]
- Li, D.J.; Liu, F.; Wang, M.X.; Zhang, J.J.; Liu, Q.X. Structural and mechanical properties of multilayered gradient CrN/ZrN coatings. Thin Solid Films 2006, 506–507, 202–206. [Google Scholar] [CrossRef]
- Braic, M.; Braic, V.; Balaceanu, M.; Zoita, C.N.N.; Kiss, A.; Vladescu, A.; Popescu, A.; Ripeanu, R. Structure and properties of Zr/ZrCN coatings deposited by cathodic arc method. Mater. Chem. Phys. 2011, 126, 818–825. [Google Scholar] [CrossRef]
- Balaceanu, M.; Braic, M.; Braic, V.; Pavelescu, G. Properties of arc plasma deposited TiCN/ZrCN superlattice coatings. Surf. Coat. Technol. 2005, 200, 1084–1087. [Google Scholar] [CrossRef]
- Elsener, B.; Rota, A.; Böhni, H. Impedance study on the corrosion of PVD and CVD titanium nitride coatings. Mater. Sci. Forum 1991, 44–45, 29–38. [Google Scholar] [CrossRef]
- Rajkumar, R.; Vedhi, C. A study of corrosion protection efficiency of silica nanoparticles acrylic coated on mild steel electrode. Vacuum 2019, 161, 1–4. [Google Scholar] [CrossRef]
- Kendall, M.G. Rank Correlation Methods, 2nd ed.; Charles Griffin & Co.: London, UK, 1955. [Google Scholar]
- Evgeny, B.; Hughes, T.; Eskin, D. Effect of surface roughness on corrosion behaviour of low carbon steel in inhibited 4 M hydrochloric acid under laminar and turbulent flow conditions. Corros. Sci. 2016, 103, 196–205. [Google Scholar] [CrossRef]
- Reid, S.A.; Eden, D.A. Assessment of Corrosion. U.S. Patent No. 6,264,824 B1, 24 July 2001. [Google Scholar]










| Coatings/Properties | ZrN-Standard | ZrSiN | ZrSi(N,O) |
|---|---|---|---|
| Position of (111) maximum (°) | 33.83 | 33.32 | 33.28 |
| Position of (222) maximum (°) | 71.18 | 70.10 | 69.98 |
| Grain size (nm) | NA | 16.90 | 11.90 |
| Lattice parameter (nm) | 0.4585 | 0.4661 | 0.4665 |
| Sample | EOC (mV) | Rp (kΩ) | Ecorr (mV) | icorr (µA/cm2) | P | Pe (%) |
|---|---|---|---|---|---|---|
| SS | 80 | 5.129 | 99 | 3.724 | – | – |
| SS/ZrSiN | 181 | 352.499 | 112 | 0.123 | 0.012 | 96.7 |
| SS/ZrSi(N,O) | 194 | 801.225 | 138 | 0.029 | 0.005 | 99.2 |
| SS/ZrSi(N,O)/ZrSiN | 209 | 292.828 | 118 | 0.068 | 0.015 | 98.2 |
| SS/ZrSiN/ZrSi(N,O) | 202 | 941.083 | 161 | 0.026 | 0.004 | 99.3 |
| Sample | Rank (Eoc) | Rank (Rp) | Rank (Ecorr) | Rank (icorr) | Rank (P) | Rank (Pe) | Σranks |
|---|---|---|---|---|---|---|---|
| SS/ZrSiN | 4 | 3 | 4 | 4 | 3 | 4 | 23 |
| SS/ZrSi(N,O) | 3 | 2 | 2 | 2 | 2 | 2 | 13 |
| SS/ZrSi(N,O)/ZrSiN | 1 | 4 | 3 | 3 | 4 | 3 | 18 |
| SS/ZrSiN/ZrSi(N,O) | 2 | 1 | 1 | 1 | 1 | 1 | 7 |
Publisher’s Note: MDPI stays neutral with regard to jurisdictional claims in published maps and institutional affiliations. |
© 2021 by the authors. Licensee MDPI, Basel, Switzerland. This article is an open access article distributed under the terms and conditions of the Creative Commons Attribution (CC BY) license (https://creativecommons.org/licenses/by/4.0/).
Share and Cite
Dinu, M.; Parau, A.C.; Vladescu, A.; Kiss, A.E.; Pana, I.; Mouele, E.S.M.; Petrik, L.F.; Braic, V. Corrosion Improvement of 304L Stainless Steel by ZrSiN and ZrSi(N,O) Mono- and Double-Layers Prepared by Reactive Cathodic Arc Evaporation. Coatings 2021, 11, 1257. https://doi.org/10.3390/coatings11101257
Dinu M, Parau AC, Vladescu A, Kiss AE, Pana I, Mouele ESM, Petrik LF, Braic V. Corrosion Improvement of 304L Stainless Steel by ZrSiN and ZrSi(N,O) Mono- and Double-Layers Prepared by Reactive Cathodic Arc Evaporation. Coatings. 2021; 11(10):1257. https://doi.org/10.3390/coatings11101257
Chicago/Turabian StyleDinu, Mihaela, Anca Constantina Parau, Alina Vladescu, Adrian Emil Kiss, Iulian Pana, Emile S. Massima Mouele, Leslie Felicia Petrik, and Viorel Braic. 2021. "Corrosion Improvement of 304L Stainless Steel by ZrSiN and ZrSi(N,O) Mono- and Double-Layers Prepared by Reactive Cathodic Arc Evaporation" Coatings 11, no. 10: 1257. https://doi.org/10.3390/coatings11101257
APA StyleDinu, M., Parau, A. C., Vladescu, A., Kiss, A. E., Pana, I., Mouele, E. S. M., Petrik, L. F., & Braic, V. (2021). Corrosion Improvement of 304L Stainless Steel by ZrSiN and ZrSi(N,O) Mono- and Double-Layers Prepared by Reactive Cathodic Arc Evaporation. Coatings, 11(10), 1257. https://doi.org/10.3390/coatings11101257

