Self-Assembled PHMB Titanium Coating Enables Anti-Fusobacterium nucleatum Strategy
Abstract
:1. Introduction
2. Materials and Methods
2.1. Materials and Equiment
2.2. Surface Modification
2.3. Morphological and Structural Surface Analysis
2.4. Microbiological Analysis
2.5. Statistical Analysis
3. Results
3.1. Morphological and Structural Characterization
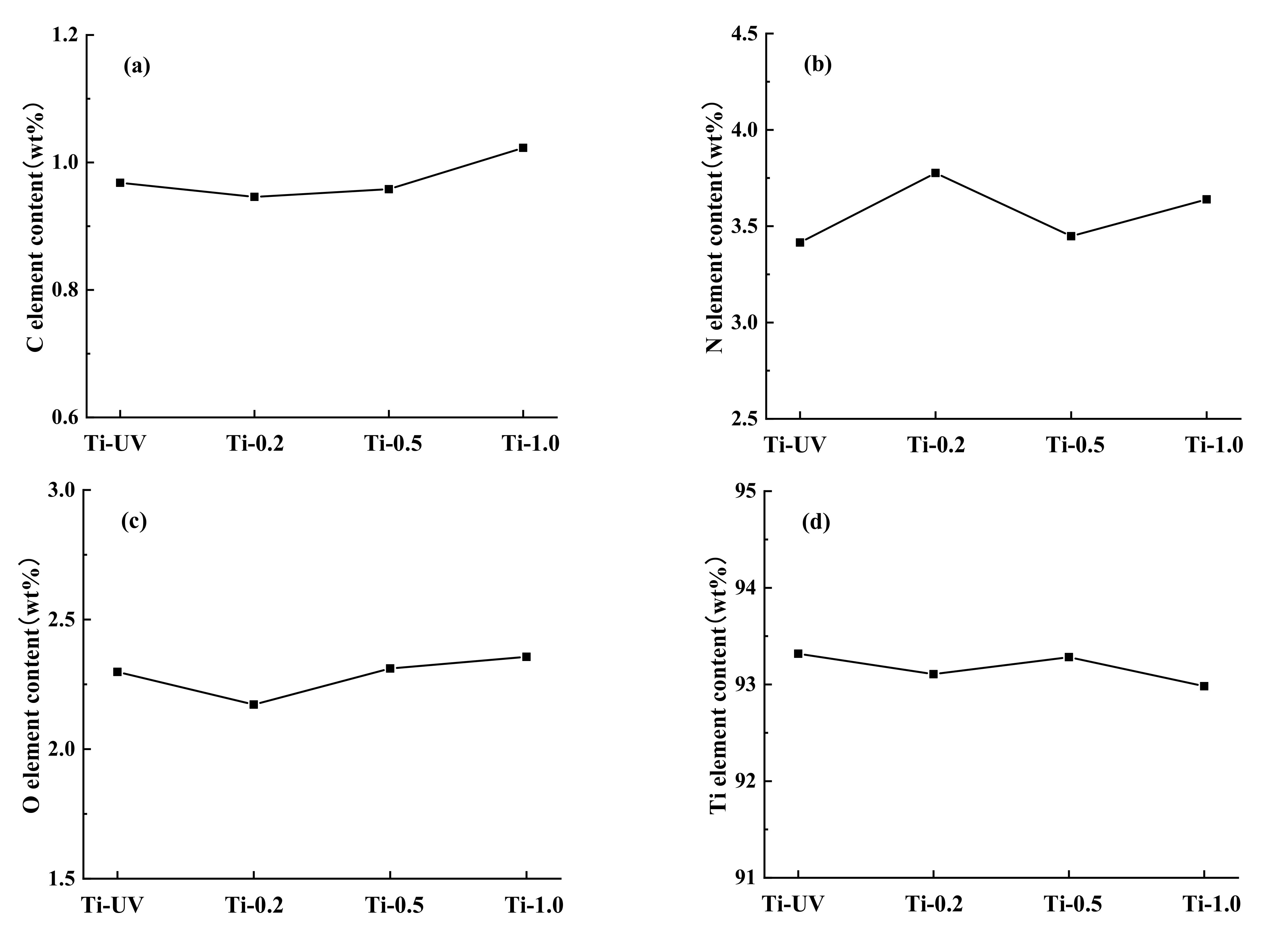
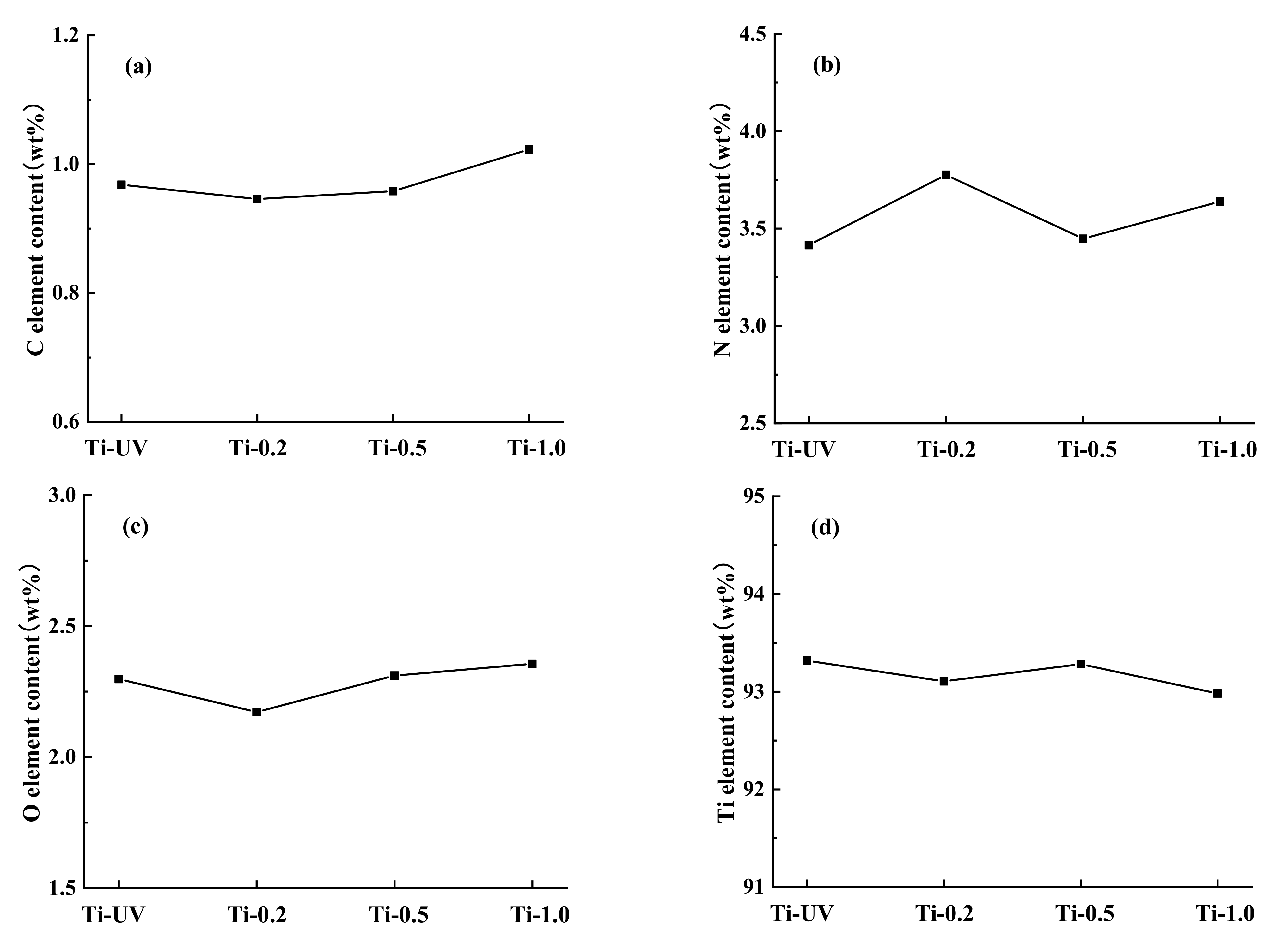
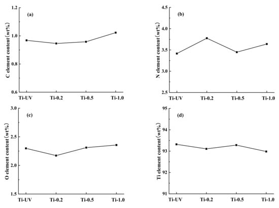
3.1.1. SEM and EDX Analysis
3.1.2. FTIR Analysis
3.1.3. XPS Analysis
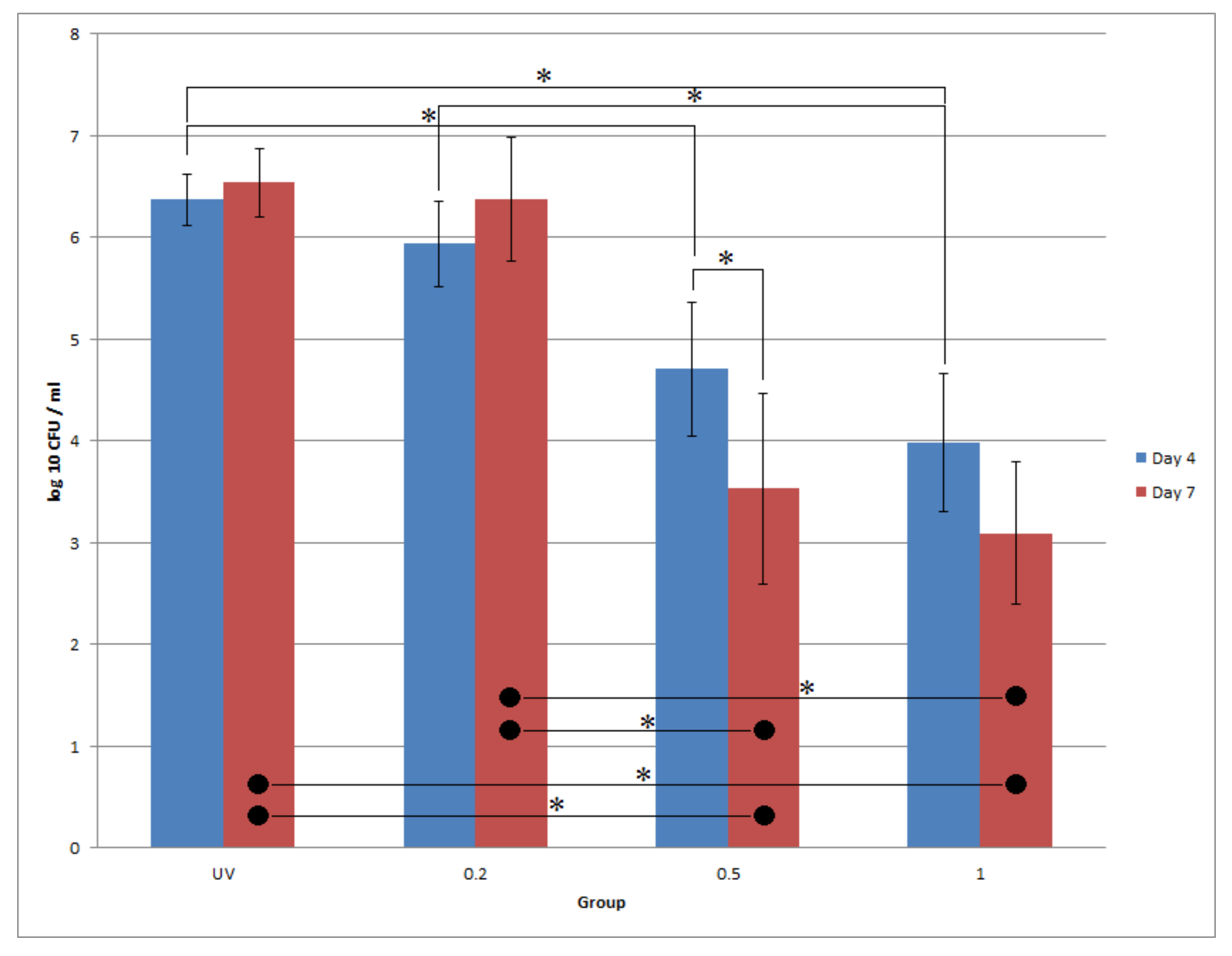
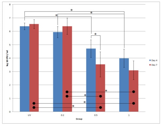
3.2. Antibacterial Effect
4. Discussion
5. Conclusions
Author Contributions
Funding
Institutional Review Board Statement
Informed Consent Statement
Data Availability Statement
Acknowledgments
Conflicts of Interest
References
- Hanif, A.; Qureshi, S.; Sheikh, Z.; Rashid, H. Complications in implant dentistry. Eur. J. Dent. 2017, 11, 135–140. [Google Scholar] [CrossRef] [PubMed] [Green Version]
- Branemark, P.I. Vital microscopy of bone marrow in rabbit. Scand. J. Clin. Lab. Investig. 1959, 11, 1–82. [Google Scholar]
- Mavrogenis, A.F.; Dimitriou, R.; Parvizi, J.; Babis, G.C. Biology of implant osseointegration. J. Musculoskelet Neuronal Interact. 2009, 9, 61–71. [Google Scholar] [PubMed]
- Fukushima, A.; Mayanagi, G.; Nakajo, K.; Sasaki, K.; Takahashi, N. Microbiologically Induced Corrosive Properties of the Titanium Surface. J. Dent. Res. 2014, 93, 525–529. [Google Scholar] [CrossRef] [PubMed]
- Chen, S.; Tsoi, J.K.; Tsang, P.C.; Park, Y.-J.; Song, H.-J.; Matinlinna, J.P. Candida albicans aspects of binary titanium alloys for biomedical applications. Regen. Biomater. 2020, 7, 213–220. [Google Scholar] [CrossRef] [Green Version]
- Siddiqi, A.; Payne, A.G.; De Silva, R.K.; Duncan, W.J. Titanium allergy: Could it affect dental implant integration? Clin. Oral Implant. Res. 2011, 22, 673–680. [Google Scholar] [CrossRef]
- Becker, W.; Becker, B.E.; Newman, M.G.; Nyman, S. Clinical and microbiologic findings that may contribute to dental implant failure. Int. J. Oral Maxillofac. Implant. 1990, 5, 31–38. [Google Scholar]
- Han, Y.W. Fusobacterium nucleatum: A commensal-turned pathogen. Curr. Opin. Microbiol. 2015, 23, 141–147. [Google Scholar] [CrossRef] [PubMed] [Green Version]
- Zhuang, L.F.; Watt, R.M.; Mattheos, N.; Si, M.S.; Lai, H.C.; Lang, N.P. Periodontal and peri-implant microbiota in patients with healthy and inflamed periodontal and peri-implant tissues. Clin. Oral Implant. Res. 2016, 27, 13–21. [Google Scholar] [CrossRef]
- Ghensi, P.; Manghi, P.; Zolfo, M.; Armanini, F.; Pasolli, E.; Bolzan, M.; Bertelle, A.; Dell’Acqua, F.; Dellasega, E.; Waldner, R.; et al. Strong oral plaque microbiome signatures for dental implant diseases identified by strain-resolution metagenomics. NPJ Biofilms Microbiomes 2020, 6, 47. [Google Scholar] [CrossRef] [PubMed]
- Vander Haar, E.L.; So, J.; Gyamfi-Bannerman, C.; Han, Y.W. Fusobacterium nucleatum and adverse pregnancy outcomes: Epidemiological and mechanistic evidence. Anaerobe 2018, 50, 55–59. [Google Scholar] [CrossRef] [PubMed]
- Yamamura, K.; Baba, Y.; Nakagawa, S.; Mima, K.; Miyake, K.; Nakamura, K.; Sawayama, H.; Kinoshita, K.; Ishimoto, T.; Iwatsuki, M.J. Human microbiome Fusobacterium nucleatum in esophageal cancer tissue is associated with prognosis. Clin. Cancer Res. 2016, 22, 5574–5581. [Google Scholar] [CrossRef] [PubMed] [Green Version]
- Abed, J.; Maalouf, N.; Manson, A.L.; Earl, A.M.; Parhi, L.; Emgård, J.E.; Klutstein, M.; Tayeb, S.; Almogy, G.; Atlan, K.A.J.F.i.c.; et al. Colon cancer-associated Fusobacterium nucleatum may originate from the oral cavity and reach colon tumors via the circulatory system. Front. Cell. Infect. Microbiol. 2020, 10, 400. [Google Scholar] [CrossRef] [PubMed]
- De Avila, E.D.; Lima, B.P.; Sekiya, T.; Torii, Y.; Ogawa, T.; Shi, W.; Lux, R. Effect of UV-photofunctionalization on oral bacterial attachment and biofilm formation to titanium implant material. Biomaterials 2015, 67, 84–92. [Google Scholar] [CrossRef] [PubMed] [Green Version]
- Kim, B.G.; Seo, S.-J.; Lee, J.-H.; Kim, H.-W.J. On-site surface functionalization for titanium dental implant with nanotopography: Review and outlook. J. Nanomater. 2016, 2016, 3429532. [Google Scholar] [CrossRef] [Green Version]
- Hubner, N.O.; Kramer, A. Review on the efficacy, safety and clinical applications of polihexanide, a modern wound antiseptic. Ski. Pharmacol. Physiol. 2010, 23, 17–27. [Google Scholar] [CrossRef]
- Fjeld, H.; Lingaas, E. Polyhexanide—Safety and efficacy as an antiseptic. Tidsskr Nor Legeforen 2016, 136, 707–711. [Google Scholar] [CrossRef]
- Fiscella, R.G.; Moshifar, M.; Messick, C.R.; Pendland, S.L.; Chandler, J.W.; Viana, M. Polyhexamethylene biguanide (PHMB) in the treatment of experimental Fusarium keratomycosis. Cornea 1997, 16, 447–449. [Google Scholar] [CrossRef]
- Lin, J.C.; Ward, T.P.; Belyea, D.A.; McEvoy, P.; Kramer, K.K. Treatment of Nocardia asteroides keratitis with polyhexamethylene biguanide. Ophthalmology 1997, 104, 1306–1311. [Google Scholar] [CrossRef]
- Azuara-Blanco, A.; Sadiq, A.S.; Hussain, M.; Lloyd, J.H.; Dua, H.S. Successful medical treatment of Acanthamoeba keratitis. Int. Ophthalmol. 1997, 21, 223–227. [Google Scholar] [CrossRef]
- Duguid, I.G.; Dart, J.K.; Morlet, N.; Allan, B.D.; Matheson, M.; Ficker, L.; Tuft, S. Outcome of acanthamoeba keratitis treated with polyhexamethyl biguanide and propamidine. Ophthalmology 1997, 104, 1587–1592. [Google Scholar] [CrossRef]
- Seal, D.J. Treatment of Acanthamoeba keratitis. Cornea 2003, 1, 205–208. [Google Scholar] [CrossRef]
- Walochnik, J.; Duchene, M.; Eibl, H.; Aspock, H. Treatment of Acanthamoeba keratitis: Possibilities, problems, and new approaches. Wien. Klin. Wochenschr. 2003, 115, 10–17. [Google Scholar]
- Souza, C.; Watanabe, E.; Borgheti-Cardoso, L.N.; Fantini, M.C.D.A.; Lara, M.G.J. Mucoadhesive system formed by liquid crystals for buccal administration of poly (hexamethylene biguanide) hydrochloride. J. Pharm. Sci. 2014, 103, 3914–3923. [Google Scholar] [CrossRef] [PubMed]
- Broxton, P.; Woodcock, P.M.; Heatley, F.; Gilbert, P. Interaction of some polyhexamethylene biguanides and membrane phospholipids in Escherichia coli. J. Appl. Bacteriol. 1984, 57, 115–124. [Google Scholar] [CrossRef] [PubMed]
- Ikeda, T.; Ledwith, A.; Bamford, C.H.; Hann, R.A. Interaction of a polymeric biguanide biocide with phospholipid membranes. Biochim. Biophys. Acta BBA Biomembr. 1984, 769, 57–66. [Google Scholar] [CrossRef]
- Ikeda, T.; Tazuke, S.; Bamford, C.; Ledwith, A. Spectroscopic studies on the interaction of polymeric in-chain biguanide biocide with phospholipid membranes as probed by 8-anilinonaphthalene-1-sulfonate. Bull. Chem. Soc. Jpn. 1985, 58, 705–709. [Google Scholar] [CrossRef] [Green Version]
- Ikeda, T.; Tazuke, S.; Watanabe, M. Interaction of biologically active molecules with phospholipid membranes: I. Fluorescence depolarization studies on the effect of polymeric biocide bearing biguanide groups in the main chain. Biochim. Biophys. Acta Biomembr. 1983, 735, 380–386. [Google Scholar] [CrossRef]
- Muller, G.; Kramer, A. Biocompatibility index of antiseptic agents by parallel assessment of antimicrobial activity and cellular cytotoxicity. J. Antimicrob. Chemother. 2008, 61, 1281–1287. [Google Scholar] [CrossRef] [Green Version]
- Creppy, E.E.; Diallo, A.; Moukha, S.; Eklu-Gadegbeku, C.; Cros, D. Study of epigenetic properties of Poly(HexaMethylene Biguanide) hydrochloride (PHMB). Int. J. Environ. Res. Public Health 2014, 11, 8069–8092. [Google Scholar] [CrossRef] [Green Version]
- Koburger, T.; Hübner, N.-O.; Braun, M.; Siebert, J.; Kramer, A.J. Standardized comparison of antiseptic efficacy of triclosan, PVP–iodine, octenidine dihydrochloride, polyhexanide and chlorhexidine digluconate. J. Antimicrob. Chemother. 2010, 65, 1712–1719. [Google Scholar] [CrossRef] [Green Version]
- Li, X.; Tsui, K.H.; Tsoi, J.K.H.; Green, D.W.; Jin, X.Z.; Deng, Y.Q.; Zhu, Y.M.; Li, X.G.; Fan, Z.; Cheung, G.S. A nanostructured anti-biofilm surface widens the efficacy against spindle-shaped and chain-forming rod-like bacteria. Nanoscale 2020, 12, 18864–18874. [Google Scholar] [CrossRef]
- Ashraf, S.; Akhtar, N.; Ghauri, M.A.; Rajoka, M.I.; Khalid, Z.M.; Hussain, I.J. Polyhexamethylene biguanide functionalized cationic silver nanoparticles for enhanced antimicrobial activity. Nanoscale Res. Lett. 2012, 7, 267. [Google Scholar] [CrossRef] [Green Version]
- Park, S.-N.; Cho, E.; Kim, H.-S.; Kim, D.-S.; Jung, J.; Baek, J.-H.; Kyong Lim, Y.; Jo, E.; Chang, Y.-H.; Hwan Shin, J.J. Draft genome sequence of Fusobacterium nucleatum subsp. animalis ChDC F324, isolated from a human subgingival plaque in the republic of Korea. Genome Announc. 2013, 1, e01042-13. [Google Scholar] [CrossRef] [Green Version]
- Albandar, J.M.; Brown, L.J.; Löe, H.J. Putative periodontal pathogens in subgingival plaque of young adults with and without early-onset periodontitis. J. Periodontol. 1997, 68, 973–981. [Google Scholar] [CrossRef]
- Sbordone, L.; Barone, A.; Ramaglia, L.; Ciaglia, R.N.; Iacono, V.J. Antimicrobial susceptibility of periodontopathic bacteria associated with failing implants. J. Periodontol. 1995, 66, 69–74. [Google Scholar] [CrossRef]
- Suketa, N.; Sawase, T.; Kitaura, H.; Naito, M.; Baba, K.; Nakayama, K.; Wennerberg, A.; Atsuta, M.J.C. An antibacterial surface on dental implants, based on the photocatalytic bactericidal effect. Clin. Implant Dent. Relat. Res. 2005, 7, 105–111. [Google Scholar] [CrossRef] [PubMed]
- Derks, J.; Tomasi, C.J.J. Peri-implant health and disease. A systematic review of current epidemiology. J. Clin. Periodontol. 2015, 42, S158–S171. [Google Scholar] [CrossRef] [PubMed]
- Rosin, M.; Welk, A.; Kocher, T.; Majic-Todt, A.; Kramer, A.; Pitten, F.A. The effect of a polyhexamethylene biguanide mouthrinse compared to an essential oil rinse and a chlorhexidine rinse on bacterial counts and 4-day plaque regrowth. J. Clin. Periodontol. 2002, 29, 392–399. [Google Scholar] [CrossRef] [PubMed]
- Welk, A.; Splieth, C.H.; Schmidt-Martens, G.; Schwahn, C.; Kocher, T.; Kramer, A.; Rosin, M. The effect of a polyhexamethylene biguanide mouthrinse compared with a triclosan rinse and a chlorhexidine rinse on bacterial counts and 4-day plaque re-growth. J. Clin. Periodontol. 2005, 32, 499–505. [Google Scholar] [CrossRef]
- Tang, Y.; Zhao, Y.; Wang, H.; Gao, Y.; Liu, X.; Wang, X.; Lin, T.J. Layer-by-layer assembly of antibacterial coating on interbonded 3D fibrous scaffolds and its cytocompatibility assessment. J. Biomed. Mater. Res. Part A 2012, 100, 2071–2078. [Google Scholar] [CrossRef] [PubMed]
- Savoldi, F.; Papoutsi, A.; Dianiskova, S.; Dalessandri, D.; Bonetti, S.; Tsoi, J.K.; Matinlinna, J.P.; Paganelli, C. Resistance to sliding in orthodontics: Misconception or method error? A systematic review and a proposal of a test protocol. Korean J. Orthod. 2018, 48, 268–280. [Google Scholar] [CrossRef] [Green Version]
- Savoldi, F.; Visconti, L.; Dalessandri, D.; Bonetti, S.; Tsoi, J.; Matinlinna, J.; Paganelli, C. In vitro evaluation of the influence of velocity on sliding resistance of stainless steel arch wires in a self-ligating orthodontic bracket. Orthod. Craniofacial Res. 2017, 20, 119–125. [Google Scholar] [CrossRef] [PubMed]
- Savoldi, F.; Xu, B.; Tsoi, J.K.; Paganelli, C.; Matinlinna, J.P. Anatomical and mechanical properties of swine midpalatal suture in the premaxillary, maxillary, and palatine region. Sci. Rep. 2018, 8, 7073. [Google Scholar]
- Savoldi, F.; Tsoi, J.K.; Paganelli, C.; Matinlinna, J.P. Evaluation of rapid maxillary expansion through acoustic emission technique and relative soft tissue attenuation. J. Mech. Behav. Biomed. Mater. 2017, 65, 513–521. [Google Scholar] [CrossRef]






Publisher’s Note: MDPI stays neutral with regard to jurisdictional claims in published maps and institutional affiliations. |
© 2021 by the authors. Licensee MDPI, Basel, Switzerland. This article is an open access article distributed under the terms and conditions of the Creative Commons Attribution (CC BY) license (https://creativecommons.org/licenses/by/4.0/).
Share and Cite
Zhao, J.; Jin, S.; Delgado, A.H.; Chen, Z.; Matinlinna, J.P.; Tsoi, J.K.-H. Self-Assembled PHMB Titanium Coating Enables Anti-Fusobacterium nucleatum Strategy. Coatings 2021, 11, 1190. https://doi.org/10.3390/coatings11101190
Zhao J, Jin S, Delgado AH, Chen Z, Matinlinna JP, Tsoi JK-H. Self-Assembled PHMB Titanium Coating Enables Anti-Fusobacterium nucleatum Strategy. Coatings. 2021; 11(10):1190. https://doi.org/10.3390/coatings11101190
Chicago/Turabian StyleZhao, Jiangyuan, Shixin Jin, António HS Delgado, Zhuofan Chen, Jukka Pekka Matinlinna, and James Kit-Hon Tsoi. 2021. "Self-Assembled PHMB Titanium Coating Enables Anti-Fusobacterium nucleatum Strategy" Coatings 11, no. 10: 1190. https://doi.org/10.3390/coatings11101190
APA StyleZhao, J., Jin, S., Delgado, A. H., Chen, Z., Matinlinna, J. P., & Tsoi, J. K.-H. (2021). Self-Assembled PHMB Titanium Coating Enables Anti-Fusobacterium nucleatum Strategy. Coatings, 11(10), 1190. https://doi.org/10.3390/coatings11101190

