Influence of Abrasive Load on Wettability and Corrosion Inhibition of a Commercial Superhydrophobic Coating
Abstract
1. Introduction
2. Materials and Methods
2.1. Materials and Sample Preparation
2.2. Surface Properties
2.3. Contact Angles
2.4. Abrasion
2.5. Electrochemical Experiments
3. Results
3.1. Surface Roughness and Profiles
3.2. Contact Angle Measurements
3.3. Electrochemical Studies
3.3.1. Open Circuit Potential
3.3.2. Potentiodynamic Polarization
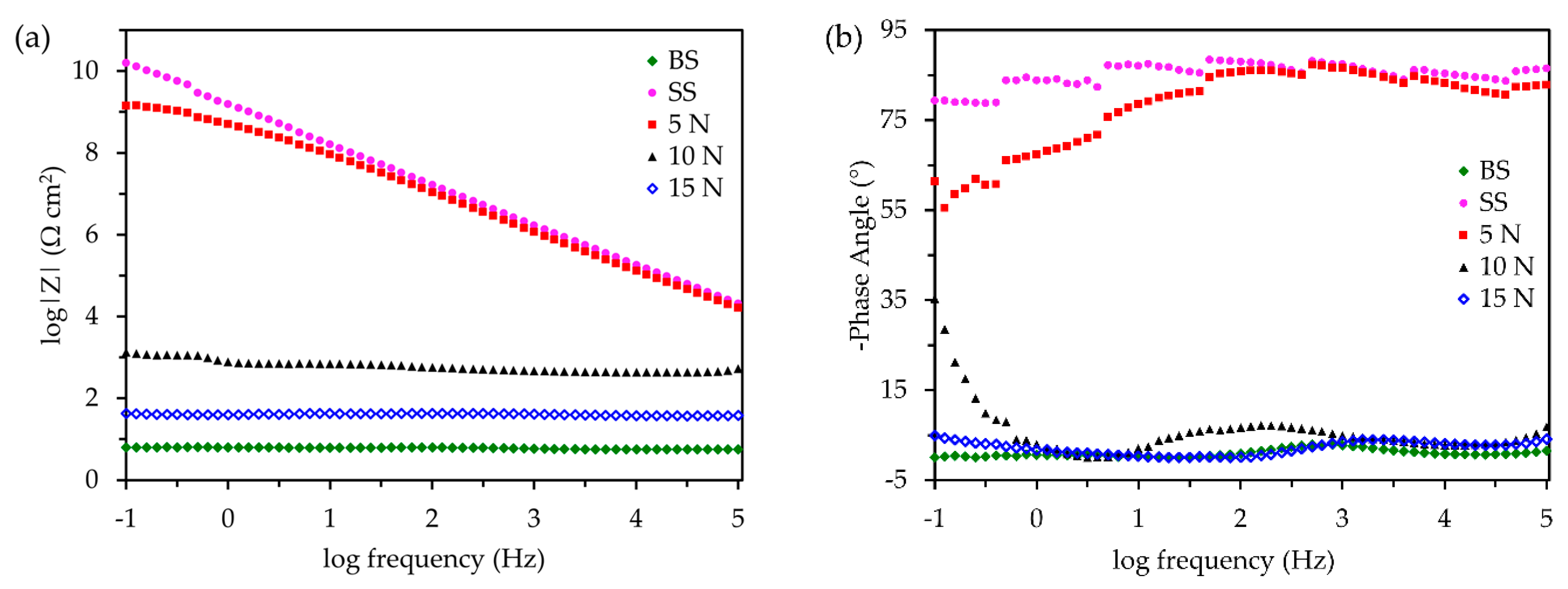
3.3.3. Electrochemical Impedance Spectroscopy
4. Conclusions
Author Contributions
Funding
Conflicts of Interest
References
- Xu, Q.F.; Liu, Y.; Lin, F.-J.; Mondal, B.; Lyons, A.M. Superhydrophobic TiO2–polymer nanocomposite surface with UV-induced reversible wettability and self-cleaning properties. ACS Appl. Mater. Interfaces 2013, 5, 8915–8924. [Google Scholar] [CrossRef]
- Liu, Y.; Chen, J.; Guo, D.; Cao, M.; Jiang, L. Floatable, self-cleaning, and carbon-black-based superhydrophobic gauze for the solar evaporation enhancement at the air–water interface. ACS Appl. Mater. Interfaces 2015, 7, 13645–13652. [Google Scholar] [CrossRef] [PubMed]
- Tang, Y.; Zhang, Q.; Zhan, X.; Chen, F. Superhydrophobic and anti-icing properties at overcooled temperature of a fluorinated hybrid surface prepared via a sol–gel process. Soft Matter 2015, 11, 4540–4550. [Google Scholar] [CrossRef] [PubMed]
- Shen, Y.; Tao, H.; Chen, S.; Zhu, L.; Wang, T.; Tao, J. Icephobic/anti-icing potential of superhydrophobic Ti6Al4V surfaces with hierarchical textures. Rsc Adv. 2015, 5, 1666–1672. [Google Scholar] [CrossRef]
- Wang, N.; Xiong, D.; Deng, Y.; Shi, Y.; Wang, K. Mechanically robust superhydrophobic steel surface with anti-icing, UV-durability, and corrosion resistance properties. ACS Appl. Mater. Interfaces 2015, 7, 6260–6272. [Google Scholar] [CrossRef]
- Ramachandran, R.; Kozhukhova, M.; Sobolev, K.; Nosonovsky, M. Anti-icing superhydrophobic surfaces: Controlling entropic molecular interactions to design novel icephobic concrete. Entropy 2016, 18, 132. [Google Scholar] [CrossRef]
- Yu, Y.; Chen, H.; Liu, Y.; Craig, V.S.J.; Wang, C.; Li, L.H.; Chen, Y. Superhydrophobic and superoleophilic porous boron nitride nanosheet/polyvinylidene fluoride composite material for oil-polluted water cleanup. Adv. Mater. Interfaces 2015, 2, 1400267. [Google Scholar] [CrossRef]
- Liang, W.; Guo, Z. Stable superhydrophobic and superoleophilic soft porous materials for oil/water separation. RSC Adv. 2013, 3, 16469–16474. [Google Scholar] [CrossRef]
- Kong, L.-H.; Chen, X.-H.; Yu, L.-G.; Wu, Z.-S.; Zhang, P.-Y. Superhydrophobic cuprous oxide nanostructures on phosphor-copper meshes and their oil–water separation and oil spill cleanup. ACS Appl. Mater. Interfaces 2015, 7, 2616–2625. [Google Scholar] [CrossRef]
- Zang, D.; Zhu, R.; Zhang, W.; Yu, X.; Lin, L.; Guo, X.; Liu, M.; Jiang, L. Corrosion-resistant superhydrophobic coatings on Mg alloy surfaces inspired by Lotus seedpod. Adv. Funct. Mater. 2017, 27, 1605446. [Google Scholar] [CrossRef]
- Salehi, M.; Mozammel, M.; Emarati, S.M. Superhydrophobic and corrosion resistant properties of electrodeposited Ni-TiO2/TMPSi nanocomposite coating. Colloids Surf. A Physicochem. Eng. Asp. 2019, 573, 196–204. [Google Scholar] [CrossRef]
- Maharana, H.S.; Katiyar, P.K.; Mondal, K. Structure dependent super-hydrophobic and corrosion resistant behavior of electrodeposited Ni-MoSe2-MWCNT coating. Appl. Surf. Sci. 2019, 478, 26–37. [Google Scholar] [CrossRef]
- Barthlott, W.; Neinhuis, C. Purity of the sacred lotus, or escape from contamination in biological surfaces. Planta 1997, 202, 1–8. [Google Scholar] [CrossRef]
- Gao, X.; Jiang, L. Biophysics: Water-repellent legs of water striders. Nature 2004, 432, 36. [Google Scholar] [CrossRef] [PubMed]
- Wenzel, R.N. Resistance of solid surfaces to wetting by water. Ind. Eng. Chem. 1936, 28, 988–994. [Google Scholar] [CrossRef]
- Cassie, A.B.D.; Baxter, S. Wettability of porous surfaces. Trans. Faraday Soc. 1944, 40, 546–551. [Google Scholar] [CrossRef]
- Manoj, A.; Ramachandran, R.; Menezes, P.L. Self-healing and superhydrophobic coatings for corrosion inhibition and protection. Int. J. Adv. Manuf. Technol. 2020, 106, 2119–2131. [Google Scholar] [CrossRef]
- Nosonovsky, M.; Bhushan, B. Green Tribology: Biomimetics, Energy Conservation and Sustainability; Springer: Berlin, Germany, 2012; ISBN 3642236804. [Google Scholar]
- Gao, L.; McCarthy, T.J. The “lotus effect” explained: Two reasons why two length scales of topography are important. Langmuir 2006, 22, 2966–2967. [Google Scholar] [CrossRef]
- Koch, K.; Bhushan, B.; Barthlott, W. Diversity of structure, morphology and wetting of plant surfaces. Soft Matter 2008, 4, 1943–1963. [Google Scholar] [CrossRef]
- Li, X.-M.; Reinhoudt, D.; Crego-Calama, M. What do we need for a superhydrophobic surface? A review on the recent progress in the preparation of superhydrophobic surfaces. Chem. Soc. Rev. 2007, 36, 1350–1368. [Google Scholar] [CrossRef]
- Ejenstam, L.; Ovaskainen, L.; Rodriguez-Meizoso, I.; Wågberg, L.; Pan, J.; Swerin, A.; Claesson, P.M. The effect of superhydrophobic wetting state on corrosion protection–The AKD example. J. Colloid Interface Sci. 2013, 412, 56–64. [Google Scholar] [CrossRef] [PubMed]
- Wang, Q.; Li, J.; Zhang, C.; Qu, X.; Liu, J.; Yang, Z. Regenerative superhydrophobic coating from microcapsules. J. Mater. Chem. 2010, 20, 3211–3215. [Google Scholar] [CrossRef]
- Lai, Y.; Lin, C.; Huang, J.; Zhuang, H.; Sun, L.; Nguyen, T. Markedly controllable adhesion of superhydrophobic spongelike nanostructure TiO2 films. Langmuir 2008, 24, 3867–3873. [Google Scholar] [CrossRef] [PubMed]
- Thieme, M.; Frenzel, R.; Schmidt, S.; Simon, F.; Hennig, A.; Worch, H.; Lunkwitz, K.; Scharnweber, D. Generation of ultrahydrophobic properties of aluminium–a first step to self-cleaning transparently coated metal surfaces. Adv. Eng. Mater. 2001, 3, 691–695. [Google Scholar]
- Badre, C.; Pauporte, T.; Turmine, M.; Lincot, D. Tailoring the wetting behavior of zinc oxide films by using alkylsilane self-assembled monolayers. Superlattices Microstruct. 2007, 42, 99–102. [Google Scholar] [CrossRef]
- Bok, H.-M.; Kim, S.; Yoo, S.-H.; Kim, S.K.; Park, S. Synthesis of perpendicular nanorod arrays with hierarchical architecture and water slipping superhydrophobic properties. Langmuir 2008, 24, 4168–4173. [Google Scholar] [CrossRef] [PubMed]
- Cao, L.; Price, T.P.; Weiss, M.; Gao, D. Super water-and oil-repellent surfaces on intrinsically hydrophilic and oleophilic porous silicon films. Langmuir 2008, 24, 1640–1643. [Google Scholar] [CrossRef] [PubMed]
- Cui, Z.; Wang, Q.; Xiao, Y.; Su, C.; Chen, Q. The stability of superhydrophobic surfaces tested by high speed current scouring. Appl. Surf. Sci. 2008, 254, 2911–2916. [Google Scholar] [CrossRef]
- Yao, X.; Song, Y.; Jiang, L. Applications of bio-inspired special wettable surfaces. Adv. Mater. 2011, 23, 719–734. [Google Scholar]
- Xu, Q.F.; Mondal, B.; Lyons, A.M. Fabricating superhydrophobic polymer surfaces with excellent abrasion resistance by a simple lamination templating method. ACS Appl. Mater. Interfaces 2011, 3, 3508–3514. [Google Scholar] [CrossRef] [PubMed]
- Wang, P.; Chen, M.; Han, H.; Fan, X.; Liu, Q.; Wang, J. Transparent and abrasion-resistant superhydrophobic coating with robust self-cleaning function in either air or oil. J. Mater. Chem. A 2016, 4, 7869–7874. [Google Scholar] [CrossRef]
- Helmer, D.; Keller, N.; Kotz, F.; Stolz, F.; Greiner, C.; Nargang, T.M.; Sachsenheimer, K.; Rapp, B.E. Transparent, abrasion-insensitive superhydrophobic coatings for real-world applications. Sci. Rep. 2017, 7, 15078. [Google Scholar] [CrossRef] [PubMed]
- Bai, X.; Xue, C.-H.; Jia, S.-T. Surfaces with sustainable superhydrophobicity upon mechanical abrasion. ACS Appl. Mater. Interfaces 2016, 8, 28171–28179. [Google Scholar] [CrossRef]
- Wang, H.; Zhu, Y.; Hu, Z.; Zhang, X.; Wu, S.; Wang, R.; Zhu, Y. A novel electrodeposition route for fabrication of the superhydrophobic surface with unique self-cleaning, mechanical abrasion and corrosion resistance properties. Chem. Eng. J. 2016, 303, 37–47. [Google Scholar] [CrossRef]
- Li, D.-W.; Wang, H.-Y.; Liu, Y.; Wei, D.-S.; Zhao, Z.-X. Large-scale fabrication of durable and robust super-hydrophobic spray coatings with excellent repairable and anti-corrosion performance. Chem. Eng. J. 2019, 367, 169–179. [Google Scholar] [CrossRef]
- Liu, Y.; Fu, K.; Liu, J.; Tian, Y.; Zhang, H.; Wang, R.; Zhang, B.; Zhang, H.; Zhou, F.; Zhang, Q. Design and preparation of a multi-fluorination organic superhydrophobic coating with high mechanical robustness and icing delay ability. Appl. Surf. Sci. 2019, 497, 143663. [Google Scholar] [CrossRef]
- Emelyanenko, A.M.; Shagieva, F.M.; Domantovsky, A.G.; Boinovich, L.B. Nanosecond laser micro-and nanotexturing for the design of a superhydrophobic coating robust against long-term contact with water, cavitation, and abrasion. Appl. Surf. Sci. 2015, 332, 513–517. [Google Scholar] [CrossRef]
- Xiang, T.; Chen, D.; Lv, Z.; Yang, Z.; Yang, L.; Li, C. Robust superhydrophobic coating with superior corrosion resistance. J. Alloy. Compd. 2019, 798, 320–325. [Google Scholar] [CrossRef]
- Bayer, I.S. On the durability and wear resistance of transparent superhydrophobic coatings. Coatings 2017, 7, 12. [Google Scholar] [CrossRef]
- Sataeva, N.E.; Boinovich, L.B.; Emelyanenko, K.A.; Domantovsky, A.G.; Emelyanenko, A.M. Laser-assisted processing of aluminum alloy for the fabrication of superhydrophobic coatings withstanding multiple degradation factors. Surf. Coat. Technol. 2020, 125993. [Google Scholar] [CrossRef]
- Wang, P.; Yao, T.; Sun, B.; Ci, T.; Fan, X.; Han, H. Fabrication of mechanically robust superhydrophobic steel surface with corrosion resistance property. RSC Adv. 2017, 7, 39699–39703. [Google Scholar] [CrossRef]
- She, Z.; Li, Q.; Wang, Z.; Li, L.; Chen, F.; Zhou, J. Researching the fabrication of anticorrosion superhydrophobic surface on magnesium alloy and its mechanical stability and durability. Chem. Eng. J. 2013, 228, 415–424. [Google Scholar] [CrossRef]
- Wenzel, R.N. Surface roughness and contact angle. J. Phys. Chem. 1949, 53, 1466–1467. [Google Scholar]
- Busscher, H.J.; Van Pelt, A.W.J.; De Boer, P.; De Jong, H.P.; Arends, J. The effect of surface roughening of polymers on measured contact angles of liquids. Colloids Surf. 1984, 9, 319–331. [Google Scholar] [CrossRef]
- Aslanidou, D.; Karapanagiotis, I.; Panayiotou, C. Tuning the wetting properties of siloxane-nanoparticle coatings to induce superhydrophobicity and superoleophobicity for stone protection. Mater. Des. 2016, 108, 736–744. [Google Scholar] [CrossRef]
- Murakami, D.; Jinnai, H.; Takahara, A. Wetting transition from the Cassie–Baxter state to the Wenzel state on textured polymer surfaces. Langmuir 2014, 30, 2061–2067. [Google Scholar] [CrossRef]
- Stern, M.; Geary, A.L. Electrochemical polarization I. A theoretical analysis of the shape of polarization curves. J. Electrochem. Soc. 1957, 104, 56–63. [Google Scholar] [CrossRef]
- Amirudin, A.; Thieny, D. Application of electrochemical impedance spectroscopy to study the degradation of polymer-coated metals. Prog. Org. Coat. 1995, 26, 1–28. [Google Scholar] [CrossRef]







| Sample Name | Ra (nm) |
|---|---|
| BS | 56.73 ± 8.49 |
| SS | 764.57 ± 33.18 |
| 5 N | 727.33 ± 10.22 |
| 10 N | 633.67 ± 22.76 |
| 15 N | 543.93 ± 19.61 |
| Sample Name | CA (°) | CAH (°) | CAH (Parallel) (°) | CAH (Perpendicular) (°) |
|---|---|---|---|---|
| BS | 66.15 ± 2.87 | 18.48 ± 1.59 | - | - |
| SS | 158.95 ± 0.54 | 5.00 ± 0.25 | - | - |
| 5 N | 155.48 ± 2.13 | - | 6.23 ± 2.64 | 6.75 ± 0.41 |
| 10 N | 150.49 ± 2.09 | - | 7.22 ± 2.35 | 7.34 ± 2.44 |
| 15 N | 146.11 ± 2.70 | - | 13.72 ± 5.36 | 12.75 ± 3.34 |
| Sample Name | Potential (V) |
|---|---|
| BS | −0.733 |
| SS | −0.183 |
| 5 N | −0.465 |
| 10 N | −0.536 |
| 15 N | −0.596 |
| Properties | BS | SS | 5 N | 10 N | 15 N |
|---|---|---|---|---|---|
| Ecor (V) | −0.521 | - | −0.317 | −0.369 | −0.541 |
| βa | 0.039 | - | 0.138 | 0.116 | 0.079 |
| βc | 0.111 | - | 0.753 | 0.567 | 0.717 |
| icor (A cm−2) | 1.274 × 10−5 | - | 1.964 × 10−8 | 1.140 × 10−6 | 4.632 × 10−6 |
| Rp (Ω cm−2) | 1.004 × 103 | - | 2.578 × 106 | 3.668 × 104 | 6.671 × 103 |
| η (%) | 0 | - | 99.846 | 91.052 | 63.642 |
| Sample Name | |Z| (Ω cm2) |
|---|---|
| BS | 6.317 |
| SS | 1.582 × 1010 |
| 5 N | 1.421 × 109 |
| 10 N | 1332 |
| 15 N | 42.34 |
| BS | 6.317 |
© 2020 by the authors. Licensee MDPI, Basel, Switzerland. This article is an open access article distributed under the terms and conditions of the Creative Commons Attribution (CC BY) license (http://creativecommons.org/licenses/by/4.0/).
Share and Cite
Manoj, A.; Ramachandran, R.; Menezes, P.L. Influence of Abrasive Load on Wettability and Corrosion Inhibition of a Commercial Superhydrophobic Coating. Coatings 2020, 10, 887. https://doi.org/10.3390/coatings10090887
Manoj A, Ramachandran R, Menezes PL. Influence of Abrasive Load on Wettability and Corrosion Inhibition of a Commercial Superhydrophobic Coating. Coatings. 2020; 10(9):887. https://doi.org/10.3390/coatings10090887
Chicago/Turabian StyleManoj, Arjun, Rahul Ramachandran, and Pradeep L. Menezes. 2020. "Influence of Abrasive Load on Wettability and Corrosion Inhibition of a Commercial Superhydrophobic Coating" Coatings 10, no. 9: 887. https://doi.org/10.3390/coatings10090887
APA StyleManoj, A., Ramachandran, R., & Menezes, P. L. (2020). Influence of Abrasive Load on Wettability and Corrosion Inhibition of a Commercial Superhydrophobic Coating. Coatings, 10(9), 887. https://doi.org/10.3390/coatings10090887

