Thermal Stability, Hardness, and Corrosion Behavior of the Nickel–Ruthenium–Phosphorus Sputtering Coatings
Abstract
1. Introduction
2. Materials and Methods
3. Results and Discussion
3.1. Microstructure and Thermal Stability
3.2. Surface Hardness and Elastic Modulus
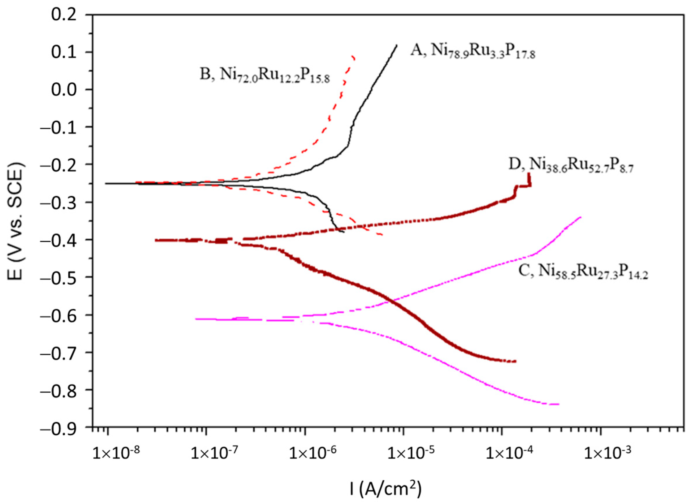
3.3. Corrosion Resistance Evaluation
4. Conclusions
Author Contributions
Funding
Acknowledgments
Conflicts of Interest
References
- Loto, C.A. Electroless nickel plating—A review. Silicon 2016, 8, 177–186. [Google Scholar] [CrossRef]
- Garcia, I.; Fransaer, J.; Celis, J.P. Electrodeposition and sliding wear resistance of nickel composite coatings containing micron and submicron SiC particles. Surf. Coat. Technol. 2001, 148, 171–178. [Google Scholar] [CrossRef]
- Chiba, Y.; Ornura, T.; Ichimura, H. Wear resistance of arc ion-plated chromium nitride coatings. J. Mater. Res. 1993, 8, 1109–1115. [Google Scholar] [CrossRef]
- Lin, K.L.; Hwang, J.W. Effect of thiourea and lead acetate on the deposition of electroless nickel. Mater. Chem. Phys. 2002, 76, 204–211. [Google Scholar] [CrossRef]
- Keong, K.G.; Sha, W.; Malinov, S. Hardness evolution of electroless nickel–phosphorus deposits with thermal processing. Surf. Coat. Technol. 2003, 168, 263–274. [Google Scholar] [CrossRef]
- Skulev, H.; Malinov, S.; Sha, W.; Basheer, P.A.M. Microstructural and mechanical properties of nickel-base plasma sprayed coatings on steel and cast iron substrates. Surf. Coat. Technol. 2005, 197, 177–184. [Google Scholar] [CrossRef]
- Tasi, Y.Y.; Wu, F.B.; Chen, Y.I.; Peng, P.J.; Duh, J.G.; Tsai, S.Y. Thermal stability and mechanical properties of Ni–W–P electroless deposits. Surf. Coat. Technol. 2001, 146, 502–507. [Google Scholar]
- Wu, F.B.; Tien, S.K.; Tsai, Y.Z.; Duh, J.G. Phase transformation and hardness of the Ni–P–Al ternary coatings under thermal annealing. Thin Solid Films 2006, 494, 151–154. [Google Scholar] [CrossRef][Green Version]
- Chen, W.Y.; Duh, J.G. Thermal stability of sputtered Ni–P and Ni–P–Cr coatings during cycling test and annealing treatment. Surf. Coat. Technol. 2004, 177, 222–226. [Google Scholar] [CrossRef]
- Chou, Y.H.; Sung, Y.; Liu, Y.M.; Pu, N.W.; Ger, M.D. Amorphous Ni–Mo–P diffusion barrier deposited by non-isothermal deposition. Surf. Coat. Technol. 2009, 203, 1020–1026. [Google Scholar] [CrossRef]
- Armyanov, S.; Steenhaut, O.; Krasteva, N.; Geogeorgieva, J.; Delplancke, J.-L.; Winand, R.; Vereecken, J. Auger electron spectroscopy element profiles and interface with substrates of electroless deposited ternary alloys. J. Electrochem. Soc. 1996, 143, 3692. [Google Scholar] [CrossRef]
- Chang, Y.C.; Duh, J.G.; Chen, Y.I. Fabrication and crystallization behaviors of sputtered Ni–Cu–P films on tool steel. Surf. Coat. Technol. 2001, 139, 233–243. [Google Scholar] [CrossRef]
- Liu, Y.; Zhao, Q. Study of electroless Ni–Cu–P coatings and their anti-corrosion properties. Appl. Surf. Sci. 2004, 228, 57–62. [Google Scholar] [CrossRef]
- León, C.; García-Ochoa, E.; García-Guerra, J.; González-Sánchez, J. Annealing temperature effect on the corrosion parameters of autocatalytically produced Ni–P and Ni–P–Al2O3 coatings in artificial seawater. Surf. Coat. Technol. 2010, 205, 2425–2431. [Google Scholar] [CrossRef]
- Nova’k, M.; Vojteˇch, D.; Vı’tu, T. Influence of heat treatment on tribological properties of electroless Ni–P and Ni–P–Al2O3 coatings on Al–Si casting alloy. Appl. Surf. Sci. 2010, 256, 2956–2960. [Google Scholar] [CrossRef]
- Yang, Z.; Xu, H.; Shi, Y.L.; Li, M.K.; Huang, Y.; Li, H.L. The fabrication and corrosion behavior of electroless Ni–P-carbon nanotube composite coatings. Mater. Res. Bull. 2005, 40, 1001–1009. [Google Scholar] [CrossRef]
- Zarebidaki, A.; Allahkaram, S.-R. Effect of surfactant on the fabrication and characterization of Ni–P–CNT composite coatings. J. Alloy Compd. 2011, 509, 1836–1840. [Google Scholar] [CrossRef]
- Zhao, G.; Wang, R.; Liu, S.; Wang, T.; Wu, D.; Zhang, Y.; Chen, J.; Zou, Y. Microstructure analysis of element W in improving the Ni–P deposit thermal stability. J. Mater. Res. Technol. 2020, 9, 5474–5486. [Google Scholar] [CrossRef]
- Wu, F.B.; Chen, Y.I.; Peng, P.J.; Tsai, Y.Y.; Duh, J.G. Fabrication, thermal stability and microhardness of sputtered Ni–P–W coating. Surf. Coat. Technol. 2002, 150, 232–238. [Google Scholar] [CrossRef]
- Marzo, F.F.; Alberro, M.; Manso, A.P.; Garikano, X.; Alegre, C.; Montiel, M.; Lozano, A.; Barreras, F. Evaluation of the corrosion resistance of Ni(P)Cr coatings for bipolar plates by electrochemical impedance spectroscopy. Int. J. Hydrogen Energy 2020, in press. [Google Scholar] [CrossRef]
- Wu, F.B.; Tien, S.K.; Duh, J.G.; Wang, J.H. Surface characteristics of electroless and sputtered Ni–P–W alloy coatings. Surf. Coat. Technol. 2003, 166, 60–66. [Google Scholar] [CrossRef]
- Wu, F.B.; Su, Y.M.; Tsai, Y.Z.; Duh, J.G. Fabrication and characterization of the Ni–P–Al–W multicomponent coatings. Surf. Coat. Technol. 2007, 202, 762–767. [Google Scholar] [CrossRef]
- Kweon, D.H.; Okyay, M.S.; Kim, S.J.; Jeon, J.P.; Noh, H.J.; Park, N.J.; Mahmood, J.; Baek, J.B. Ruthenium anchored on carbon nanotube electrocatalyst for hydrogen production with enhanced Faradaic efficiency. Nat. Commun. 2020, 11, 1–10. [Google Scholar] [CrossRef] [PubMed]
- Kotsiras, A.; Kalaitzidou, I.; Grigoriou, D.; Symillidis, A.; Makri, M.; Katsaounis, A.; Vayenas, C.G. Electrochemical promotion of nanodispersed Ru–Co catalysts for the hydrogenation of CO2. Appl. Catal. B Environ. 2018, 232, 60–68. [Google Scholar] [CrossRef]
- Shin, J.; Waheed, A.; Winkenwerder, W.A.; Kim, H.W.; Agapiou, K.; Jones, R.A.; Hwang, G.S.; Ekerdt, J.G. Chemical vapor deposition of amorphous ruthenium-phosphorus alloy films. Thin Solid Films 2007, 515, 5298–5307. [Google Scholar] [CrossRef]
- Hugh, B.; Hiroaki, O. Alloy Phase Diagrams. In ASM Handbook; ASM International: Almere, The Netherlands, 2016; Volume 3. [Google Scholar]
- Singh, D.D.N.; Ghosh, R. Electroless nickel–phosphorus coatings to protect steel reinforcement bars from chloride induced corrosion. Surf. Coat. Technol. 2006, 201, 90–101. [Google Scholar] [CrossRef]





| Coating Designation | Input Power (W) | Thickness (μm) | Composition (at.%) | Ni/P | |||
|---|---|---|---|---|---|---|---|
| Ni75P25 | Ru | Ni | P | Ru | |||
| A, Ni78.9Ru3.3P17.8 | 100 | 15 | 0.94 ± 0.08 | 78.9 ± 0.3 | 17.8 ± 0.3 | 3.3 ± 0.1 | 4.4 |
| B, Ni72.0Ru12.2P15.8 | 100 | 25 | 0.94 ± 0.10 | 72.0 ± 0.2 | 15.8 ± 0.2 | 12.2 ± 0.2 | 4.6 |
| C, Ni58.5Ru27.3P14.2 | 100 | 50 | 0.85 ± 0.11 | 58.5 ± 0.2 | 14.2 ± 0.1 | 27.3 ± 0.3 | 4.1 |
| D, Ni38.6Ru52.7P8.7 | 100 | 100 | 1.30 ± 0.15 | 38.6 ± 0.9 | 8.7 ± 0.2 | 52.7 ± 0.8 | 4.4 |
| Coating Systems | Process Condition | Hardness (GPa) | Elastic Modulus (GPa) |
|---|---|---|---|
| A, Ni78.9Ru3.3P17.8 | 200 °C as-deposited | 7.2 ± 0.1 | 161.8 ± 9.5 |
| B, Ni72.0Ru12.2P15.8 | 200 °C as-deposited | 7.2 ± 0.4 | 138.3 ± 6.6 |
| 475 °C annealed | 8.9 ± 0.5 | 164.9 ± 5.8 | |
| 550 °C annealed | 9.5 ± 0.2 | 201.1 ± 11.1 | |
| C, Ni58.5Ru27.3P14.2 | 200 °C as-deposited | 8.1 ± 0.4 | 190.9 ± 0.4 |
| 475 °C annealed | 9.1 ± 0.4 | 189.4 ± 11.3 | |
| 550 °C annealed | 9.5 ± 0.3 | 211.4 ± 8.4 | |
| D, Ni38.6Ru52.7P8.7 | 200 °C as-deposited | 10.4 ± 0.2 | 210.3 ± 1.6 |
| 475 °C annealed | 11.1 ± 0.7 | 221.9 ± 14.7 | |
| 550 °C annealed | 12.1 ± 0.6 | 246.2 ± 18.7 |
| Coating Systems | Process Condition | Ecorr (V vs. SCE) | Icorr (Amps/cm2) |
|---|---|---|---|
| A, Ni78.9Ru3.3P17.8 | 200 °C as-deposited | −0.25 | 6.04 × 10−6 |
| 475 °C annealed | −0.54 | 3.21 × 10−6 | |
| 550 °C annealed | −0.55 | 3.55 × 10−6 | |
| B, Ni72.0Ru12.2P15.8 | 200 °C as-deposited | −0.25 | 2.22 × 10−6 |
| 475 °C annealed | −0.54 | 4.22 × 10−6 | |
| 550 °C annealed | −0.54 | 4.56 × 10−6 | |
| C, Ni58.5Ru27.3P14.2 | 200 °C as-deposited | −0.61 | 2.96 × 10−6 |
| 475 °C annealed | −0.55 | 5.61 × 10−6 | |
| 550 °C annealed | −0.53 | 8.44 × 10−6 | |
| D, Ni38.6Ru52.7P8.7 | 200 °C as-deposited | −0.40 | 3.04 × 10−6 |
| 550 °C annealed | −0.59 | 6.95 × 10−6 |
© 2020 by the authors. Licensee MDPI, Basel, Switzerland. This article is an open access article distributed under the terms and conditions of the Creative Commons Attribution (CC BY) license (http://creativecommons.org/licenses/by/4.0/).
Share and Cite
Hsiao, Y.-C.; Wu, F.-B. Thermal Stability, Hardness, and Corrosion Behavior of the Nickel–Ruthenium–Phosphorus Sputtering Coatings. Coatings 2020, 10, 786. https://doi.org/10.3390/coatings10080786
Hsiao Y-C, Wu F-B. Thermal Stability, Hardness, and Corrosion Behavior of the Nickel–Ruthenium–Phosphorus Sputtering Coatings. Coatings. 2020; 10(8):786. https://doi.org/10.3390/coatings10080786
Chicago/Turabian StyleHsiao, Yu-Cheng, and Fan-Bean Wu. 2020. "Thermal Stability, Hardness, and Corrosion Behavior of the Nickel–Ruthenium–Phosphorus Sputtering Coatings" Coatings 10, no. 8: 786. https://doi.org/10.3390/coatings10080786
APA StyleHsiao, Y.-C., & Wu, F.-B. (2020). Thermal Stability, Hardness, and Corrosion Behavior of the Nickel–Ruthenium–Phosphorus Sputtering Coatings. Coatings, 10(8), 786. https://doi.org/10.3390/coatings10080786
