Hybrid Electroluminescence Devices with Solution-Processed Mixed Emitting Layers of Red Quantum Dots and Blue Small Molecules
Abstract
:1. Introduction
2. Materials and Methods
2.1. Synthesis of Red QDs
2.2. Fabrication of QLEDs
2.3. Characterization
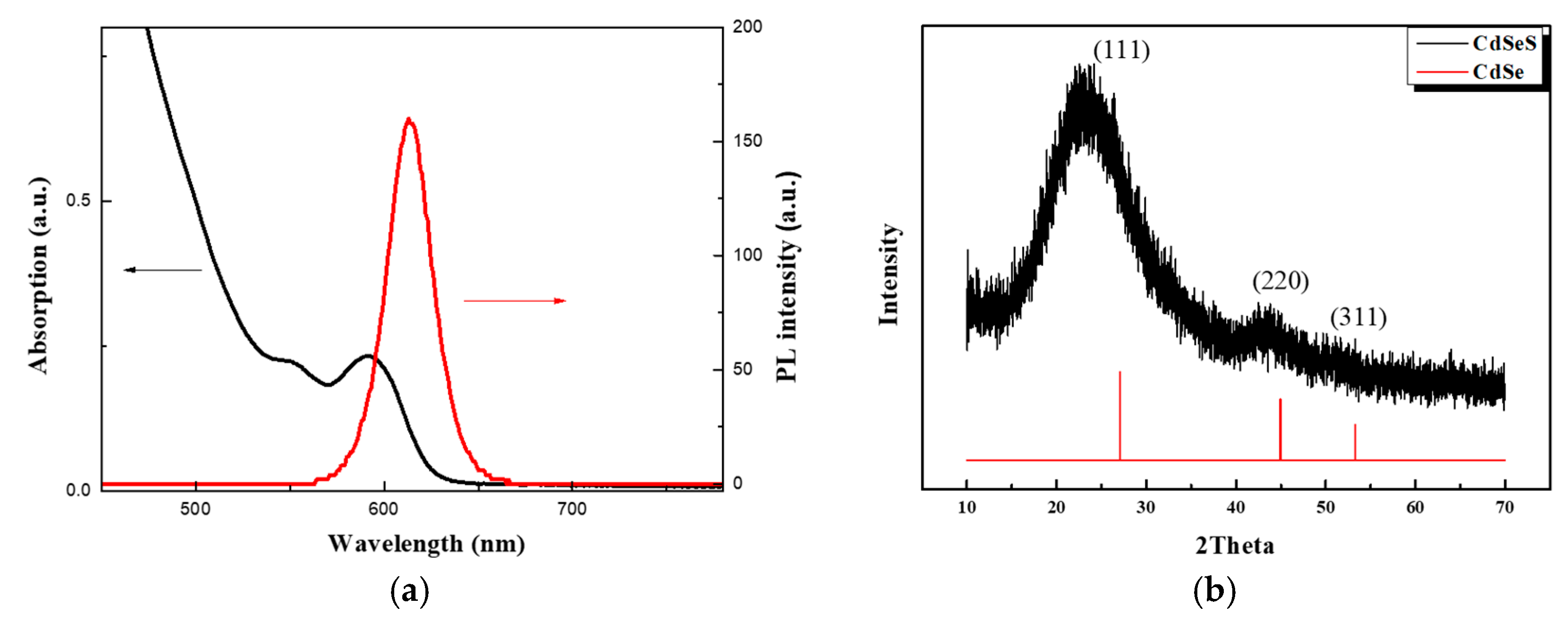
3. Results and Discussion
4. Conclusions
Author Contributions
Funding
Conflicts of Interest
References
- Colvin, V.L.; Schlamp, M.C.; Alivisatos, A.P. Light-emitting diodes made from cadmium selenide nanocrystals and a semiconducting polymer. Nature 1994, 370, 354–357. [Google Scholar] [CrossRef]
- Yang, Y.X.; Zheng, Y.; Cao, W.R.; Titov, A.; Hyvonen, J.; Manders, J.R.; Xue, J.G.; Holloway, P.H.; Qian, L. High-efficiency light-emitting devices based on quantum dots with tailored nanostructures. Nat. Photonics 2015, 9, 259–266. [Google Scholar] [CrossRef]
- BMashford, B.S.; Stevenson, M.; Popovic, Z.; Hamilton, C.; Zhou, Z.; Breen, C.; Steckel, J.; Bulovic, V.; Bawendi, M.; Coe-Sullivan, S.; et al. High-efficiency quantum-dot light-emitting devices with enhanced charge injection. Nat. Photonics 2013, 7, 407–412. [Google Scholar] [CrossRef]
- Qian, L.; Zheng, Y.; Xue, J.; Holloway, P.H. Stable and efficient quantum-dot light-emitting diodes based on solution-processed multilayer structures. Nat. photonics 2011, 5, 543–548. [Google Scholar] [CrossRef]
- Dai, X.L.; Zhang, Z.X.; Jin, Y.Z.; Niu, Y.; Cao, H.J.; Liang, X.Y.; Chen, L.W.; Wang, J.P.; Peng, X.G. Solution-processed, high-performance light-emitting diodes based on quantum dots. Nature 2014, 515, 96–99. [Google Scholar] [CrossRef] [PubMed]
- Lee, K.-H.; Lee, J.H.; Song, W.S.; Ko, H.; Lee, C.; Yang, H. Highly efficient, color-pure, color-stable blue quantum dot light-emitting devices. ACS Nano 2013, 7, 7295–7302. [Google Scholar] [CrossRef] [PubMed]
- Won, Y.-H.; Cho, O.; Kim, T.; Chung, D.-Y.; Kim, T.; Chung, H.; Jang, H.; Lee, J.; Kim, D.; Jang, E. Highly efficient and stable InP/ZnSe/ZnS quantum dot light-emitting diodes. Nature 2019, 575, 634–638. [Google Scholar] [CrossRef] [PubMed]
- Lee, K.-H.; Han, C.-Y.; Jang, E.-P.; Jo, J.-H.; Hong, S.; Hwang, J.Y.; Choi, E.; Hwang, J.-H.; Yang, H. Full-color capable light-emitting diodes based on solution-processed quantum dot layer stacking. Nanoscale 2018, 10, 6300–6305. [Google Scholar] [CrossRef] [PubMed]
- Zhang, H.; Wang, S.T.; Sun, X.W.; Chen, S.M. All solution-processed white quantum-dot light-emitting diodes with three-unit tandem structure. J. Soc. Inf. Disp. 2017, 25, 143–150. [Google Scholar] [CrossRef]
- Bae, W.K.; Lim, J.; Lee, D.; Park, M.; Lee, H.; Kwak, J.; Char, K.; Lee, C.; Lee, S. R/G/B/natural white light thin colloidal quantum dot-based light-emitting devices. Adv. Mater. 2014, 26, 6387–6393. [Google Scholar] [CrossRef] [PubMed]
- Lee, K.-H.; Han, C.-Y.; Kang, H.-D.; Ko, H.; Lee, C.; Lee, J.; Myoung, N.; Yim, S.-Y.; Yang, H. Highly efficient, color-reproducible full-color electroluminescent devices based on red/green/blue quantum dot-mixed multilayer. ACS Nano 2015, 9, 10941–10949. [Google Scholar] [CrossRef] [PubMed]
- Son, D.I.; You, C.H.; Kim, W.T.; Kim, T.W. White light-emitting diodes fabricated utilizing hybrid polymer–colloidal ZnO quantum dots. Nanotechnology 2009, 20, 365206. [Google Scholar] [CrossRef] [PubMed]
- Zhang, Y.; Xie, C.; Su, H.; Liu, J.; Pickering, S.; Wang, Y.; Yu, W.W.; Wang, J.; Wang, Y.; Hahm, J.-I.; et al. Employing heavy metal-free colloidal quantum dots in solution-processed white light-emitting diodes. Nano Lett. 2011, 11, 329–332. [Google Scholar] [CrossRef] [PubMed]
- Oh, S.; Han, C.Y.; Yang, H.; Kim, J. Highly efficient white electroluminescent devices with hybrid double emitting layers of quantum dots and phosphorescent molecules. Nanoscale 2019, 11, 9276–9280. [Google Scholar] [CrossRef] [PubMed]
- Yook, K.S.; Lee, J.Y. Small molecule host materials for solution processed phosphorescent organic light-emitting diodes. Adv. Mater. 2014, 26, 4218–4233. [Google Scholar] [CrossRef] [PubMed]
- Cai, M.; Xiao, T.; Hellerich, E.; Chen, Y.; Shinar, R.; Shinar, J. High-efficiency solution-processed small molecule electrophosphorescent organic light-emitting diodes. Adv. Mater. 2011, 23, 3590–3596. [Google Scholar] [CrossRef] [PubMed]
- Zhan, H.-J.; Zhou, P.-J.; He, Z.-Y.; Tian, Y. Microwave-assisted aqueous synthesis of small-sized, highly luminescent CdSeS/ZnS core/shell quantum dots for live cell imaging. Eur. J. Inorg. Chem. 2012, 15, 2487–2493. [Google Scholar] [CrossRef]
- Jang, I.; Kim, J.; Ippen, C.; Greco, T.; Oh, M.S.; Lee, J.; Kim, W.K.; Wedel, A.; Han, C.J.; Park, S.K. Inverted InP quantum dot light-emitting diodes using low-temperature solution-processed metal–oxide as an electron transport layer. Jpn. J. Appl. Phys. 2014, 54, 02BC01. [Google Scholar] [CrossRef]
- Höfle, S.; Pfaff, M.; Do, H.; Bernhard, C.; Gerthsen, M.; Lemmer, U.; Colsmann, A. Suppressing molecular aggregation in solution processed small molecule organic light emitting diodes. Org. Electron. 2014, 15, 337–341. [Google Scholar] [CrossRef]
- Huang, C.-Y.; Huang, S.-J.; Liu, M.-H.M. Hybridization of CsPbBr1.5I1.5 perovskite quantum dots with 9,9-dihexylfluorene co-oligomer for white electroluminescence. Org. Electron. 2017, 44, 6–10. [Google Scholar] [CrossRef]






© 2020 by the authors. Licensee MDPI, Basel, Switzerland. This article is an open access article distributed under the terms and conditions of the Creative Commons Attribution (CC BY) license (http://creativecommons.org/licenses/by/4.0/).
Share and Cite
Ju, S.E.; Yoon, C.G.; Kim, J. Hybrid Electroluminescence Devices with Solution-Processed Mixed Emitting Layers of Red Quantum Dots and Blue Small Molecules. Coatings 2020, 10, 645. https://doi.org/10.3390/coatings10070645
Ju SE, Yoon CG, Kim J. Hybrid Electroluminescence Devices with Solution-Processed Mixed Emitting Layers of Red Quantum Dots and Blue Small Molecules. Coatings. 2020; 10(7):645. https://doi.org/10.3390/coatings10070645
Chicago/Turabian StyleJu, So Eun, Chang Gi Yoon, and Jiwan Kim. 2020. "Hybrid Electroluminescence Devices with Solution-Processed Mixed Emitting Layers of Red Quantum Dots and Blue Small Molecules" Coatings 10, no. 7: 645. https://doi.org/10.3390/coatings10070645
APA StyleJu, S. E., Yoon, C. G., & Kim, J. (2020). Hybrid Electroluminescence Devices with Solution-Processed Mixed Emitting Layers of Red Quantum Dots and Blue Small Molecules. Coatings, 10(7), 645. https://doi.org/10.3390/coatings10070645

