Synthesis and Characterization of Environmentally-Friendly Self-Matting Waterborne Polyurethane Coatings
Abstract
1. Introduction
2. Materials and Methods
2.1. Materials
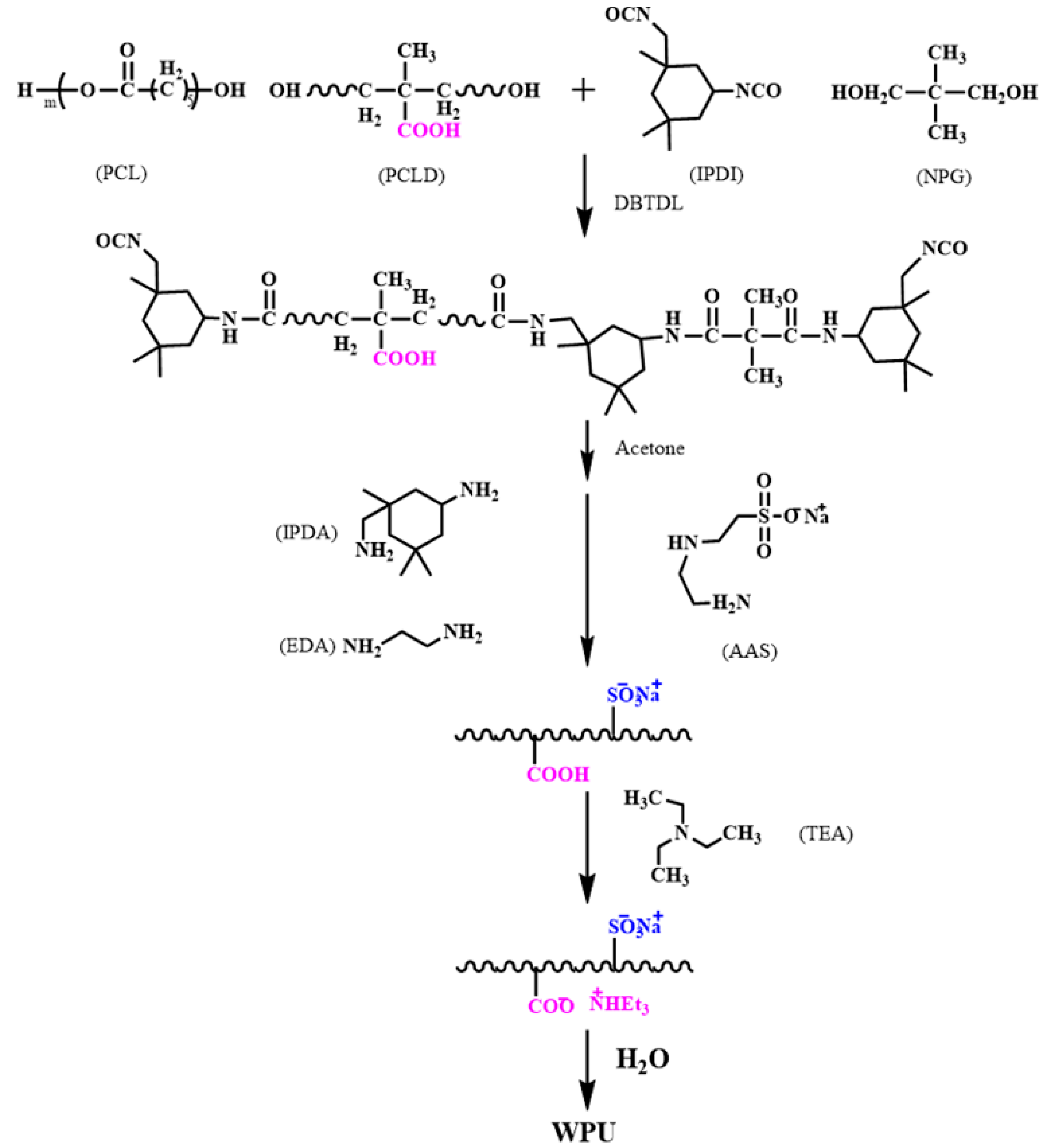
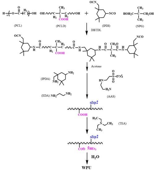
2.2. Synthesis of Waterborne Polyurethane and Preparation of Film
2.3. Characterization
2.3.1. FTIR-ATR
2.3.2. Particle Size
2.3.3. Gloss
2.3.4. Transmittance
2.3.5. TG
2.3.6. DSC
2.3.7. SEM
3. Results and Discussion
3.1. Structural Characterization of Polyurethane
3.2. Effect of AAS
3.3. Influence of R Value
3.4. Influence of Hard Segment Contents
3.5. Effect of PCLD
3.5.1. Polyurethane Dispersion Particle Size and Film Gloss, Transmittance, Scanning Characterization
3.5.2. Thermal Analysis
4. Conclusions
Author Contributions
Funding
Conflicts of Interest
References
- Honarkar, H. Waterborne Polyurethanes: A Review. J. Dispers. Sci. Technol. 2017, 39, 507–516. [Google Scholar] [CrossRef]
- Saalah, S.; Abdullah, L.C.; Aung, M.M.; Salleh, M.Z.; Biak, D.R.A.; Basri, M.; Jusoh, E.R.; Mamat, S. Colloidal Stability and Rheology of Jatropha Oil-Based Waterborne Polyurethane (JPU) Dispersion. Prog. Org. Coat. 2018, 125, 348–357. [Google Scholar] [CrossRef]
- Santamaria, A.; Fernandes, I.P.M.; Saralegi, A.; Costa, M.R.P.F.N.; Barreiro, M.F.; Corcuera, M.A.; Eceiza, A. Synthesis of Waterborne Polyurethane-Urea Dispersions with Chain Extension Step in Homogeneous and Heterogeneous Media. J. Colloid Interface Sci. 2016, 476, 184–192. [Google Scholar] [CrossRef] [PubMed]
- Dong, C.; Xin, W.; Luo, Y. Synthesis and Application of a Cationic Waterborne Polyurethane Fixative Using Quaternary Ammonium Diol as a Chain Extender. RSC Adv. 2018, 8, 42041–42048. [Google Scholar] [CrossRef]
- Liu, X.; Zou, X.; Ge, Z.; Zhang, W.; Luo, Y. Novel Waterborne Polyurethanes Containing Long-Chain Alkanes: Their Synthesis and Application to Water Repellency. RSC Adv. 2019, 9, 31357–31369. [Google Scholar] [CrossRef]
- Saeed, A.; Shabir, G. Synthesis of Thermally Stable High Gloss Water Dispersible Polyurethane/Polyacrylate Resins. Prog. Org. Coat. 2013, 76, 1135–1143. [Google Scholar] [CrossRef]
- Han, Y.; Hu, J.; Xin, Z. Facile Preparation of High Solid Content Waterborne Polyurethane and Its Application in Leather Surface Finishing. Prog. Org. Coat. 2019, 130, 8–16. [Google Scholar] [CrossRef]
- Cuppo, F.L.S.; Garcia-Valenzuela, A.; Olivares, J.A. Influence of Surface Roughness on the Diffuse to near-Normal Viewing Reflectance Factor of Coatings and Its Consequences on Color Measurements. Color Res. Appl. 2012, 38, 177–187. [Google Scholar] [CrossRef]
- Chen, J.-J.; Zhu, C.-F.; Deng, H.-T.; Qin, Z.-N.; Bai, Y.-Q. Preparation and Characterization of the Waterborne Polyurethane Modified with Nanosilica. J. Polym. Res. 2008, 16, 375–380. [Google Scholar] [CrossRef]
- Feng, L.-B.; Wang, Y.-P.; Qiang, X.-H.; Wang, S.-H. Effect of Silica Nanoparticles on Properties of Waterborne Polyurethanes. Chin. J. Polym. Sci. 2012, 30, 845–852. [Google Scholar] [CrossRef]
- Fletcher, T.E. A Simple Model to Describe Relationships between Gloss Behaviour, Matting Agent Concentration and the Rheology of Matted Paints and Coatings. Prog. Org. Coat. 2002, 44, 25–36. [Google Scholar] [CrossRef]
- Bhattarai, S.; Lee, S.; Lee, D.; Lee, Y. Effect of Molecular Weight of Poly (Tetramethylene Glycol) on Waterborne Polyurethane Dispersion Coating Gloss. Bull. Korean Chem. Soc. 2019, 40, 1046–1049. [Google Scholar] [CrossRef]
- Sun, Z.; Fan, H.; Chen, Y.; Huang, J. Synthesis of Self-Matting Waterborne Polyurethane Coatings with Excellent Transmittance. Polym. Int. 2017, 67, 78–84. [Google Scholar] [CrossRef]
- Yong, Q.; Liao, B.; Huang, J.; Guo, Y.; Liang, C.; Pang, H.; Caizhen, L. Preparation and Characterization of a Novel Low Gloss Waterborne Polyurethane Resin. Surf. Coat. Technol. 2018, 341, 78–85. [Google Scholar] [CrossRef]
- Yong, Q.; Nian, F.; Liao, B.; Pang, H.; Huang, L.; Wang, L. Synthesis and Characterization of Solvent-Free Waterborne Polyurethane Dispersion with Both Sulfonic and Carboxylic Hydrophilic Chain-Extending Agents for Matt Coating Applications. RSC Adv. 2015, 5, 107413–107420. [Google Scholar] [CrossRef]
- Grablowitz, H.G.; Thomas, F. Process for the Production of Polyurethane-Urea Dispersions; World Intellectual Property Organization: Eisenach, Germany, 2012. [Google Scholar]
- Li, J.; Zheng, W.; Zeng, W.; Zhang, D.; Peng, X. Structure, Properties and Application of a Novel Low-Glossed Waterborne Polyurethane. Appl. Surf. Sci. 2014, 307, 255–262. [Google Scholar] [CrossRef]
- Cao, X.; Ge, X.; Chen, H.; Li, W. Effects of Trimethylol Propane and AAS Salt on Properties of Waterborne Polyurethane with Low Gloss. Prog. Org. Coat. 2017, 107, 5–13. [Google Scholar] [CrossRef]
- Nanda, A.K.; Wicks, D.A. The Influence of the Ionic Concentration, Concentration of the Polymer, Degree of Neutralization and Chain Extension on Aqueous Polyurethane Dispersions Prepared by the Acetone Process. Polymer 2006, 47, 1805–1811. [Google Scholar] [CrossRef]
- Barikani, M.; Ebrahimi, M.V.; Mohaghegh, S.M.S. Preparation and Characterization of Aqueous Polyurethane Dispersions Containing Ionic Centers. J. Appl. Polym. Sci. 2007, 104, 3931–3937. [Google Scholar] [CrossRef]
- Manvi, G.N.; Jagtap, R. Effect of Dmpa Content of Polyurethane Dispersion on Coating Properties. J. Dispers. Sci. Technol. 2010, 31, 1376–1382. [Google Scholar] [CrossRef]
- Lee, S.J.; Kim, B.K. Covalent Incorporation of Starch Derivative into Waterborne Polyurethane for Biodegradability. Carbohydr. Polym. 2012, 87, 1803–1809. [Google Scholar] [CrossRef]
- Chen, H.; Chen, D. Synthesis and Characterization of Aqueous Polyurethane Containing Ions in Soft Segment. Polyurethane Ind. 1999, 14, 27–29. [Google Scholar]














| Sample | PCL/g | PCLD/g | IPDI/g | NPG/g | AAS/g | R 1 | Hs 2/% |
|---|---|---|---|---|---|---|---|
| WPU-A1 | 21.47 | 6.40 | 10.99 | 1.25 | 0.21 | 1.70 | 35 |
| WPU-A2 | 21.47 | 6.40 | 10.97 | 1.24 | 0.26 | 1.70 | 35 |
| WPU-A3 | 21.47 | 6.40 | 10.95 | 1.24 | 0.30 | 1.70 | 35 |
| WPU-A4 | 21.47 | 6.40 | 10.93 | 1.23 | 0.34 | 1.70 | 35 |
| WPU-A5 | 21.47 | 6.40 | 10.91 | 1.23 | 0.39 | 1.70 | 35 |
| WPU-A6 | 21.47 | 6.40 | 10.89 | 1.22 | 0.43 | 1.70 | 35 |
| WPU-R1 | 21.47 | 6.40 | 10.95 | 1.33 | 0.26 | 1.65 | 35 |
| WPU-R2 | 21.47 | 6.40 | 10.97 | 1.24 | 0.26 | 1.70 | 35 |
| WPU-R3 | 21.47 | 6.40 | 11.00 | 1.16 | 0.26 | 1.75 | 35 |
| WPU-R4 | 21.47 | 6.40 | 11.03 | 1.09 | 0.26 | 1.80 | 35 |
| WPU-R5 | 21.47 | 6.40 | 11.05 | 1.02 | 0.26 | 1.85 | 35 |
| WPU-R6 | 21.47 | 6.40 | 11.07 | 0.95 | 0.26 | 1.90 | 35 |
| WPU-H1 | 22.32 | 6.40 | 10.39 | 1.04 | 0.26 | 1.70 | 33 |
| WPU-H2 | 21.47 | 6.40 | 10.97 | 1.24 | 0.26 | 1.70 | 35 |
| WPU-H3 | 20.61 | 6.40 | 11.56 | 1.45 | 0.26 | 1.70 | 37 |
| WPU-H4 | 19.75 | 6.40 | 12.15 | 1.65 | 0.26 | 1.70 | 39 |
| WPU-H5 | 18.89 | 6.40 | 12.73 | 1.86 | 0.26 | 1.70 | 41 |
| WPU-P1 | 21.89 | 5.12 | 11.62 | 1.53 | 0.26 | 1.70 | 37 |
| WPU-P2 | 20.61 | 6.40 | 11.56 | 1.45 | 0.26 | 1.70 | 37 |
| WPU-P3 | 19.33 | 7.68 | 11.50 | 1.37 | 0.26 | 1.70 | 37 |
| WPU-P4 | 18.05 | 8.96 | 11.44 | 1.28 | 0.26 | 1.70 | 37 |
| WPU-P5 | 16.77 | 10.24 | 11.38 | 1.20 | 0.26 | 1.70 | 37 |
| Sample | WPU-P1 | WPU-P2 | WPU-P3 | WPU-P4 | WPU-P5 |
|---|---|---|---|---|---|
| TgS (°C) | −51.68 | −50.85 | −49.85 | −49.68 | −49.52 |
| TgH (°C) | 108.40 | 108.08 | 107.40 | 107.25 | 106.58 |
| ΔTg (°C) | 160.08 | 158.93 | 157.25 | 156.93 | 156.10 |
© 2020 by the authors. Licensee MDPI, Basel, Switzerland. This article is an open access article distributed under the terms and conditions of the Creative Commons Attribution (CC BY) license (http://creativecommons.org/licenses/by/4.0/).
Share and Cite
Chang, J.; Wang, X.; Shao, J.; Li, X.; Xin, W.; Luo, Y. Synthesis and Characterization of Environmentally-Friendly Self-Matting Waterborne Polyurethane Coatings. Coatings 2020, 10, 494. https://doi.org/10.3390/coatings10050494
Chang J, Wang X, Shao J, Li X, Xin W, Luo Y. Synthesis and Characterization of Environmentally-Friendly Self-Matting Waterborne Polyurethane Coatings. Coatings. 2020; 10(5):494. https://doi.org/10.3390/coatings10050494
Chicago/Turabian StyleChang, Jiajia, Xiaoqing Wang, Jian Shao, Xiaomeng Li, Wei Xin, and Yunjun Luo. 2020. "Synthesis and Characterization of Environmentally-Friendly Self-Matting Waterborne Polyurethane Coatings" Coatings 10, no. 5: 494. https://doi.org/10.3390/coatings10050494
APA StyleChang, J., Wang, X., Shao, J., Li, X., Xin, W., & Luo, Y. (2020). Synthesis and Characterization of Environmentally-Friendly Self-Matting Waterborne Polyurethane Coatings. Coatings, 10(5), 494. https://doi.org/10.3390/coatings10050494

