Next Article in Journal
Friction Mechanism Features of the Nickel-Based Composite Antifriction Materials at High Temperatures
Previous Article in Journal
The Surface Morphology of a Ti–6Al–4V Fiber-Lasered Nitride Layer
 
 
Font Type:
Arial Georgia Verdana
Font Size:
Aa Aa Aa
Line Spacing:
Column Width:
Background:
Article

Passivation of Carbon Steel Using Intelligent Epoxy Paint

by
Rodrigo Sanchotene Silva
1,* and
Álvaro Meneguzzi
2
1
Materials Recovery and Treatment Laboratory, State University of Rio Grande Sul—UERGS, Porto Alegre 90010-191, Brazil
2
Laboratory of Corrosion, Protection and Recycling of Materials—LACOR, Department of Materials—DEMAT, School of Engineering—EE, Federal University of Rio Grande do Sul—UFRGS, Porto Alegre 91501-970, Brazil
*
Author to whom correspondence should be addressed.
Coatings 2020, 10(5), 452; https://doi.org/10.3390/coatings10050452
Submission received: 9 April 2020 / Revised: 24 April 2020 / Accepted: 27 April 2020 / Published: 7 May 2020
(This article belongs to the Section Corrosion, Wear and Erosion)

Abstract

This paper presents the production of an epoxy paint associated with a determined concentration of PAni emeraldine base binder, in order to increase dispersion of PAni polymer chains in the paint allow physical contact between PAni chains, the electrolytic medium, and the metal of interest. The coating called Intelligent Epoxy Paint (IEP) seeks to potentialize the electrolytic capacity of PAni to produce passivation, differentiated research which uses PAni in oxidized and conductive form as paint pigment that needs high PAni concentrations. The physicochemical characterization and morphological presented results that indicate the preservation of the desirable properties of PAni in order to make the passivation process possible. The electrochemical tests showed the passivation and/or maintenance of the passivation of the metal of interest, without the need to apply an external current.

1. Introduction

The use of organic coatings has been presented as an alternative for corrosion protection of metallic materials in harsh environments. Currently, the industrial production of organic coatings with anticorrosive capacity is consolidated with the use of inorganic inhibitors. These components (Zr, Cr, Pb, Zn and others) have as an inconvenience the possible environmental contamination and human health due to their toxic and/or carcinogenic nature [1,2,3].
Intrinsically Conductive Polymers (ICP) can offer advantages that enable environmental compatibility and properties that minimize or slow down the corrosive process. In addition, the use of ICP in organic coatings can result in savings in electricity consumption, as they could totally or temporarily replace rectifiers that are used for the application of printed current to form and maintain passivation of oxidizable metals [1,4].
ICP polyaniline (PAni) has aroused significant interest in the scientific and technological environment for years due to the low cost characteristics of the monomer (aniline), the ease of synthesis, the excellent stability under certain environmental conditions in both non-conductive and conductive form, the ability to become electronic and ionic insulator in the oxidized state, representing desirable properties for the production of barrier effect in coatings and enabling the oxidation reactions capable of forming and/or preserving passivating oxides for various passivable metals, in addition to possessing properties that make it possible to obtain free-standing films [1,4,5].
Oxidated and doped (conductive) PAni, known as protonated emerald (PAni EP), has been used in most research to produce organic coatings as part of the pigment, dispersed in a conventional polymer matrix, a fact that makes it difficult or reduces performance in the formation or maintenance of protective oxides in metallic substrates. Oxidated and nonconductive PAni, known as emerald base (PAni EB), allows the formation of a self-supporting coating, which, besides forming or maintaining the passivation of the metallic material, can increase the barrier effect, preventing physical contact of the metal with the aggressive medium [6,7].
This work proposes the production of a binder consisting of PAni EB, an electrochemically inert plasticizer and a solvent. Obtaining the binder starts with the production of PAni EP and, subsequently, its passage to PAni EB, through the process of undoped. Then, the binder is formed by the combination of PAni EB, the plasticizer 4-chloro-3-methylphenol (CMP), and solvent dichloromethane (CH2Cl2). Subsequently, the PAni EB binder produced is mixed with an epoxy commercial paint (CEP) and a commercial epoxy resin (CER) in sufficient quantities so that its polymer chains come into physical contact with each other and the metal and electrolyte surface (H2SO4) [8].
Thus, this study aims to evaluate the possibility of the anodic protection of AISI 1010 steel provided by a CEP or CER consisting of 1% of PAni EB binder, without the application of external potential or current to the metal/coating/electrolyte system. In addition, the use of PAni in concentration is far below the methodologies that use PAni in the form of a pigment, the which allows for naming the coating produced Intelligent Epoxy Paint (IEP).
The organic coating produced will be assessed for its ability to form or maintain a surface layer of passive oxides—which, together with a possible barrier effect of the coating, may provide protection against corrosion of passivable metals, in order to replace, if not fully, the least at determined periods, the current anodic metal protection tools in harsh environments.

2. Materials and Methods

2.1. PAni EP Production and the PAni EB Binder

PAni EP synthesis was performed using a jacketed reactor with a capacity of 20 L, with controlled agitation and cooling. The previously distilled aniline monomer at 0.4 mol L−1 concentration in a 1.5 mol L−1 HCl solution was chemically oxidized by the slow addition of the oxidizing agent (NH4)2S2O8 0.4 mol L−1 (also in 1.5 mol L−1 HCl aqueous solution). The reaction medium was kept at −5 °C (±1 °C) under stirring for 5 h, the time required for complete addition of (NH4)2S2O8. The production of PAni EB was carried out by the PAni EP deprotonation process, where it was introduced into a 0.5 mol L−1 aqueous NH4OH solution at a ratio of 1:15 (g/mL) of PAni EP and solution, respectively. The suspension was maintained at pH 10, under moderate agitation for 6 h using a magnetic stirrer. After PAni, it was filtered with the help of a Büchner funnel and washed with 0.5 mol L−1 NH4OH solution until the filtrate was colorless. The PAni EB thus obtained that it was kiln dried at 60 °C for 24 h [8,9,10].
PAni EB binder production was performed from the 1:2:10 mass use of PAni EB, non-doping plasticizer CMP, and organic solvent CH2Cl2. The organic solvent dichloromethane (CH2Cl2) was used to form a solution of PAni EB mixture with the plasticizer and to control the drying time during binder formation. These components were homogenized at a rotational speed of 1500 rpm in a closed bottle for 6 h by a Dispermat Model N1 (VMA-GETZMANN GMBH, Reichshof, Germany) high rotation disperser. The product obtained was capable of forming freestanding films in which PAni EB was dispersed in the medium as a viscous liquid [8,10].

2.2. IEP Preparation

IEP production occurred with the addition of a 1% (w/w) PAni EB binder to a two-component CEP, with the main purpose of adding it to commercial paint anti-corrosion properties. Thus, the PAni EB binder was mixed with white CEP, which it characterizes by not undergoing significant chemical changes during the formation of the film, and a CER, without pigments and charge, was used to evaluate the behavior of a possible interference of charge or pigment on the IEP.
In practical attempts to formulate IEP at binder concentrations above 1%, the IEP samples had difficulties to obtain homogeneous mixture with PAni EB binder. Already in lower concentrations, it was possible to verify in previous works the low anti-corrosion performance of the binder [11]. The preparation of the IEP was performed with the mixture of the CEP and the PAni EB binder in a dispersion system of high rotation, with the aid of the Dispermat Model N1 high rotation disperser, with rotation of 1500 rpm for a period of 2 h [8].
An intelligent paint (IP) was produced, through mixing a one-component CER, without addition of pigment or charge, to a 1% PAni EB binder using dichloromethane as a solvent. The purpose of this new IP is to achieve results without a possible interference from the various components that make up the commercial inks used, where some of these could mask real PAni EB performance in corrosion protection, in addition to applying this coating to Pt, which is theoretically immune to aggressive solutions. This paint was called IP of CER. The equipment used for the production of this IP was the Dispermat Model N1 high rotation disperser, with rotation of 1500 rpm for a period of 2 h [8].

2.3. Paints Application

For the physicochemical and morphological characterization CEP, IEP and PAni EB film were applied to Petri dishes, which, after the drying process at room temperature for a period of 48 h, were removed using a spatula. CEP and IEP also were applied to AISI 1010 steel plates which are made up of 0.1% of C, 0.01% of Si, 0.42% of Mn, 0.01% of P, 0.007% of S, 0.033% of Al, 0.007% of Cu, 0.004% of Ni, 0.011% of Cr, 0.001% of Mo, 0.001% of V, 0.004% of N, 0.001% of Ti and 0.0001% of B, as indicated by the manufacturer. IP of CER was applied to Pt (99.9%) plates, with the aid of 200 µm spacers, connected to the Automatic Film Applicator BYK-Gardner (BYK Gardner, Wesel, Germany) equipment, using the speed of 250 mm s−1. After the proof, bodies went through the drying process at room temperature for a period of 48 h.
The AISI 1010 steel parts and Pt parts, in the dimensions of 10 cm × 5 cm and 5 cm × 2.5 cm respectively, before being coated, passed the alkaline degreasing process, using the Saloclean 619L commercial degreaser, which is a composed of sodium salts, emulsifiers, nonionic surfactants, and humectants. The purpose of this process is to clean the steel parts by removing oils, greases, and other contaminants from their surface in order to obtain a degreased surface.
The metal parts were immersed in Saloclean 619L solution at a concentration of 5% w/v at a temperature of 45 °C for a period of 900 s. Subsequently, the parts were washed with deionized water jets and air jet dried at a temperature of approximately 60 °C. The impurity free plates were intended for the application of IEP, CEP, and IP of CER.

3. Experimental

3.1. Physicochemical and Morphological Characterizations

The thicknesses of the IEP and CEP films which coat AISI 1010 steel were measured with the aid of the Fischer Dualscope MP20 model (Windsor, CT, USA). Raman Spectrometry equipment used was the Micro–Raman –Labram–Horiba/Jobin Yvon spectrometer (Trenton, NJ, USA) equipped with a multichannel detector of 1024 diode, colds by the Peltier effect. We used the 632.8 nm excitation beam from a Spectra-Physics Model 165 ionized Helium–Neon laser (Sheaumann, Marlborough, MA, USA).
Superficial morphological analysis in the CEP and IEP samples was performed by Scanning Electron Microscopy (SEM) coupled with the technique of Dispersive Energy Spectroscopy (EDX), which use the 10 keV JEOL 5800 microscope (Tokyo, Japan) coupled with X-ray Noran EDX. For the EDX technique, CEP and IEP coated AISI 1010 steel samples were metallized with Au and Pt, respectively, and the use of different metals in metallization process does not interfere with the practical results of the analysis.

3.2. Electrochemical Studies

The electrochemical tests were performed with at least three repetitions for each type of sample and technique used. The equipment used was the Potentiostat/Galvanostat AUTOLAB PGSTAT302 Ecochemie (Eco Chemie, Netherlands). Three electrochemical testing techniques were used: Cyclic Voltammetry (CV), Open Circuit Potential (OCP), and Electrochemical Impedance Spectroscopy (EIS). The results obtained were treated by two software programs: GPES for VC and OCP assays and FRA for EIE assays.
The electrochemical tests were conducted in 2 mol L–1 aqueous solution of H2SO4, at temperature and ambient aeration, without agitation, using electrochemical cells of three electrodes, where the AISI 1010 steel and Pt, after the degreasing process, with or without coating, was used as working electrode, the silver/silver chloride (Ag/AgCl) electrode as reference electrode, and platinum wires (99.99% Pt) as counter-electrode.
The reference electrode was associated with a Luggin capillary at a distance of about 1 mm from the working electrode, aiming to decrease the ohmic drop produced by the electrolyte, the electrode exposure area to 0.62 cm2, and the counter electrode; the most noble and inert metal has an area of 1.52 cm2.

4. Results and Discussion

4.1. Thickness Measurement

CEP samples applied using a 200 µm spacer had an average thickness of 178.43 µm with a standard deviation of 34.67 µm. IEP samples applied using a 200 µm spacer had an average thickness of 150.88 µm with a standard deviation of 31.67 µm. Figure 1a,b show automatic film applicator BYK-Gardner and an AISI 1010 steel sample.
From the results obtained, it is possible to observe that the use of spacers with maximum measurements of 200 µm may have interfered with the samples’ thickness. In addition, the presence of the PAni EB binder may have interfered with the decrease in the thickness of the film produced in relation to CEP, but that its standard deviation is within a region of thickness that is very close to the average CEP thickness, which represents a non-significant thickness variation to influence it in electrochemical test results.

4.2. Raman Spectroscopy

PAni EB, CMP, and PAni EB binder samples were analyzed by Raman Spectroscopy and the spectra are shown in Figure 2 and Table 1. The binder spectrum is similar to a typical PAni EB spectrum, where the band at 1628 cm−1, attributed to the CC benzenoid ring stretch and another band at 1588 cm−1, corresponds to the C=C elongation of the quinoid ring. The bands at 1492 and 1465 cm−1 are attributed to the C=N stretch of oxidized PAni, the band 1412 cm−1 to the CC stretch of the quinoid ring, the band at 1218 cm−1 to the C–N stretch, and the deformation of quinoid ring C–H appears in 1165 cm−1 [12,13,14].
As shown in Figure 2 and Table 1, CMP has certain peaks close to those of PAni EB because the molecule has aromatic characteristics. The differentiation of the samples occurs with the presence of bands in the region of 400 to 800 cm−1, which characterize the presence of C–Cl and C–O bonds. The band in the 1340 cm−1 region is attributed to the axial deformations of the C–O bonds that are associated with the aromatic ring and the 1390 cm−1 band is attributed to the –CH3 angular stretch [12,15].
The Raman analyses of the PAni EB and the PAni EB binder present similar bands, previously described, that characterize the oxidized and non-conductive PAni, the PAni EB. The reduced state of PAni is related to the conformational changes that occur in the quinoid and benzenoid rings, which are attributed to changes in the 1588 and 1165 cm−1 bands of the oxidized state of PAni, something not shown in Figure 2. In case the PAni is in the protonated state, the Raman spectrum should have a band in the region of 1300 to 1350 cm−1, which would characterize the quinonic stretch C–N+, which is attributed to the protonated form of the PAni EP, a fact that is not observed in PAni EB film [16,17,18]. With the obtained spectra, it can be stated that the PAni EB present in the binder remains in the oxidized state.
Thus, it was possible to observe that the CMF does not act reduction or protonation the PAni present in the binder produced. The plasticizer does not induce alteration in the oxidized and insulating state of PAni EB, which is a necessary condition for its future use as a component of some protective coating that promotes the anodic protective effect on passivable metals, and associated with the barrier effect produced by the coating.
As shown in Figure 3 and Table 2, the CEP and IEP samples showed similar spectra, with the presence of band in the 1097 cm−1 region that can be attributed to the –CH2– groups that are present in the TBI. Intensity peaks at 1184 cm−1 correspond to aliphatic glycidyl groups (COC) characteristic of epoxy resins, but for IEP samples can also be attributed to PAni EB C–N bonds. Bands in the 1441 cm−1 region are attributed to the presence of OH groups of CEP, and to IEP samples can be associated with C–N bonds of PAni EB binder. The bands at 1603 cm−1 represent the presence of C=C bonds in CEP aromatic rings for the three samples [13,15,18].
Raman analyses for the IEP samples did not show spectra that indicate the presence of PAni binder in CEP that modifies the structural characteristics of the PAni EB polymer chain, as some intensity peaks characterize the presence of PAni EB binder if it overlaps with CEP characteristic links, which are associated with the low concentration of the PAni EB binder and the CEP for the formation of the IEP, make it difficult to identify a possible chemical interaction of the PAni EB binder and the CEP, which could alter the oxidized and non-conductive state of the PAni, due to the chemical variability of the components that make up a commercial paint.

4.3. Scanning Electron Microscopy/Dispersive Energy Spectroscopy

The CEP micrograph, shown in the SEM image in Figure 4a–c, presents a relief altering morphology, which shows the presence of dark and light regions, which were evaluated by EDX, at points 1 (P1) and 2 (P2). The EDX spectra of P1 and P2 have chemical elements characteristic of the CEP forming resin, such as C, O, and the presence of pigments and fillers, such as Ba, Ca, Al, and Si [19]. The presence of a characteristic excitation peak of Au is attributed to the metallization process.
The surface micrograph of an IEP film, shown in the SEM image in Figure 5a–c, shows a film with homogeneous distribution of its constituents. EDX analysis performed on the IEP sample, at the P1 and P2 sites, indicates, beyond the presence of the characteristic chemical elements of the CEP used, the presence of the N element that corresponds to the presence of the PAni EB contained in the IEP forming binder, and the presence of the Cl element assigned to the CMP of PAni EB binder that is contained in the IEP, also confirming that the PAni EB binder is dispersed in the coating produced [11]. The presence of a characteristic peak excitation of Pt is attributed to the metallization process.
SEM/EDX assays gave answers indicating that at least part of the PAni EB binder was dispersed for IEP formation because the PAni EB binder that forms IEP is observed in micrometric points, without the presence of particles in the form of pigments.

4.4. Cyclic Voltammetry Assay

CV tests were performed on samples of uncoated AISI 1010 steel and samples of uncoated Pt in order to identify potential values that represent the oxidation and reduction regions at the metal/coating/electrolyte interface, and which consequently result in the formation of a protector’s oxide surface layer in these metals, i.e., the passivation of the metal. The metals were submerged to aqueous solution of 2 mol L−1 of H2SO4.
As observed in Figure 6a, CV analysis was performed on AISI 1010 steel from the (round-trip) potential scan of −1.00 to +2.00 VAg/AgCl, the rate of 25 mV s−1, where it was observed that the potential from −1.00 to −0.50 VAg/AgCl represents a cathodic active region (reduction) in which the metal is immune to the electrolyte medium. Later, the potential reaches an anodic active region (oxidation), which represents the corrosion of the metal [8,20].
From the +0.39 VAg/AgCl potential, the metal passivation region begins, with the presence of the Flade Potential, where current density stabilization (I (A cm²)) occurs, indicating the formation of a compact and adherent layer of iron oxides. After the potential +1.75 VAg/AgCl, the transpassivation process occurs that allows the evolution of oxygen in the form of gas [20]. Thus, it can be said that the AISI 1010 steel is passive when submitted to an aqueous solution of H2SO4 at a concentration of 2 mol L−1, within a potential region of +0.39 to +1.75 VAg/AgCl.
The analysis of CV was performed in the uncoated Pt, shown in Figure 6b, for which the potential scan occurred from −0.50 to +2.50 VAg/AgCl with a rate of 25 mV s−1,where it was observed that the potential of −0.50 at −0.30 VAg/AgCl represents a cathodic active region (reduction) in which the metal is immune to the electrolyte medium. Between the potentials of −0.30 to +1.75 VAg/AgCl, the region of immunity continues, where there is stabilization of current density I (A cm²), which indicates a stable region of potential that allows the evaluation of a possible performance of the proposed coating.
CV results for the working metals, AISI 1010 steel and Pt, allow us to infer that it is possible to use coatings with electrochemical properties such as the produced IEP, and that they could promote the anodic protection of these metals.

4.5. Open Circuit Potential Assay

OCP x time electrochemical characterization tests were performed on uncoated AISI 1010 steel and coated AISI 1010 steel sample with CEP and IEP. OCP x time measurement of samples uncoated Pt and coated Pt with CER and IP of CER was also performed to verify the electrochemical capacity of the PAni EB binder contained in commercial coatings, which could allegedly interfere with their electrochemical properties due to their constituents. The assays were performed during the period in which the maintenance of the potential of passivation of metal occurred, to the period in which potential levels that characterize the corrosion of the metal are reached.
OCP determination was required to verify the potential values over time in the metal/coating/electrolyte interfaces, where responses with potential values beyond the potential of Flade indicate the passivated state, or for potential values below the potential of Flade, out of passivation condition.
As shown in Figure 7a, the OCP measurements for the uncoated AISI 1010 steel sample showed, of constant form, a potential value of −0.41 VAg/AgCl throughout the assay, indicating that the metal is in the process of being corrosion installed because it is the region of potential in which the corrosion process of the metal exposed to this electrolyte occurs, according to the CV analysis in Figure 6a [21]. The CEP coated carbon steel sample had an initial potential of around +0.15 VAg/AgCl at time 467 s, which can be attributed to the barrier effect produced by the commercial coating; afterwards, a decay to potential −0.42 VAg/AgCl reached in 7150 s, which is within the oxidation potential range of the metal corrosion characteristic installed and maintained until the end of the analysis, can be attributed to the failure of the barrier effect produced by the commercial coating.
IEP coated AISI 1010 steel showed instantaneous decay to the potential +0.49 VAg/AgCl, and then the potential stabilized at +0.46 VAg/AgCl over 10,968 s, as shown in Figure 7a. In Figure 7b, the continuity of the previous test for longer times is observed and the maintenance of the potential until 140 h; after this period occurs, there is a gradual decay of the potential until the time 148 h, reaching the potential of −0.40 VAg/AgCl, no longer rising until the end of the assay. The behavior of this analysis indicates that the IEP sample has a period of 140 h under potential conditions above the Flade Potential (+0.39 VAg/AgCl), i.e., in the passivation region, shown in Figure 6a. The OCP decay can be attributed to the rupture of the protective oxide layer and the total reduction of PAni, indicating the end of the IEP acting period [4,21].
Figure 8 shows the OCP vs. time assay of the uncoated Pt and coated Pt with CER, average thickness of 165 μm, and IP of CER, with average thickness of 145 μm, where the samples were exposed to aqueous solution of 2 mol L−1 H2SO4. Uncoated Pt behavior during the test was the instantaneous initial decay to the potential value of +0.28 VAg/AgCl, remaining until the end of the analysis; this potential indicates Pt oxidation in this medium.
Coated Pt with CER, Figure 8 shows an immediate initial decay to the potential +0.24 VAg/AgCl, with a gradual increase in potential until the end of the analysis, to the potential +0.29 VAg/AgCl. This result allows us to affirm that the presence of CER does not give any protection against corrosion to Pt, and not even the barrier effect of coating itself or electrochemical actuation, since the CER coated Pt has the same potential region as the uncoated Pt.
The samples of coated Pt with IP of CER had a mild decay of potential at the start of the assay until the potential of +0.58 VAg/AgCl, until 3757 s, when a sharp decay starts until +0.28 VAg/AgCl, identical to the potential of the uncoated sample. During the time period 3757 s and 3949 s, the potential decay is associated with the presence of potential elevation peaks, an aspect that can be attributed to the end of the intelligent paint containing an electrochemical PAni ability to promote oxidation and reduction reactions in the interface electrolyte/coating/metal. This result demonstrates that the presence of the PAni EB binder in the CER gives Pt a more noble electrochemical condition compared to the CER sample and uncoated.
Figure 9a shows an image of an IEP coated AISI 1010 steel sample that was intentionally scratched to perform the OCP assay over an area without a barrier effect of the coating. The purpose of this process is to verify only the electrochemical action of the coating without possible “help” that the barrier effect provided by the coating may cause in the study against corrosion.
OCP assay of the AISI 1010 steel sample coated defective IP of CER, shown in Figure 9b, has an initial decay to the potential of +0.41 VAg/AgCl, for which the potential remained until 1797 s. This potential region can be attributed to the formation of the protective oxide layer on the metal surface, triggered by the oxidation and reduction reactions produced in the medium/IP/metal system. Later, there is a gradual decay of potential, with the presence of potential elevations, and decreases in a discontinuous manner, until reaching −0.40 VAg/AgCl. This process indicates that, after 1797 s, PAni EB no longer has electrochemical capacity to promote the formation and/or maintenance of protective oxides, as it has been totally reduced, and thus the metal is exposed to the action of the medium, that is, in the degradation phase by the corrosion process.
OCP analysis of IP of CER shows that the IEP containing the PAni EB binder provides corrosion protection of AISI 1010 steel subjected to 2 mol L−1 aqueous H2SO4 solution not as a barrier effect but as an active ingredient. This result proves the action of the anodic corrosion protection provided by IEP, which maintained the potential in a region above the Flade Potential for 1797 s, without the presence and aid of a possible barrier effect.

4.6. Electrochemical Impedance Spectroscopy

Electrochemical characterization tests of the EIS were performed on uncoated Pt and coated Pt samples with the CER and IP of CER, and on uncoated AISI 1010 steel and coated AISI 1010 steel samples with CEP and IEP. Measurements made on AISI 1010 steel and Pt when coated were performed according to the possible acting of IP of CER and IEP in anodic metal protection when immersed in aqueous solution of 2 mol L−1 of H2SO4, shown in Figure 7. Figure 8 shows that the evaluated frequency range was 105 Hz to 10−2 Hz, with a 10 mV synodal signal.
Initially, an EIS assay of uncoated Pt, represented by the Nyquist diagram of Figure 10, was performed during the 0.25 h exposure period in aqueous solution of 2 mol L−1 of H2SO4, where the measured OCP potential (EOCP) was +0.29 VAg/AgCl, characteristic of Pt, where it an incomplete arc with a resistance value of 2.75 × 106 Ω cm2 was observed. This spectrum indicates that the sample has a protection against the oxidation process, due to the presence of a surface layer of protective oxides attributed to Pt passivation, since the value of actual impedance is quite high when compared to a metal such as steel. After the 24 h exposure period, the EOCP was at the potential value +0.28 VAg/AgCl, and the obtained spectrum represents a semicircle with resistance value on the order of 1.00 × 106 Ω.cm2, indicating a decrease of protection by the natural oxides of Pt, but still with high resistance values when compared to ordinary values of metals not considered noble.
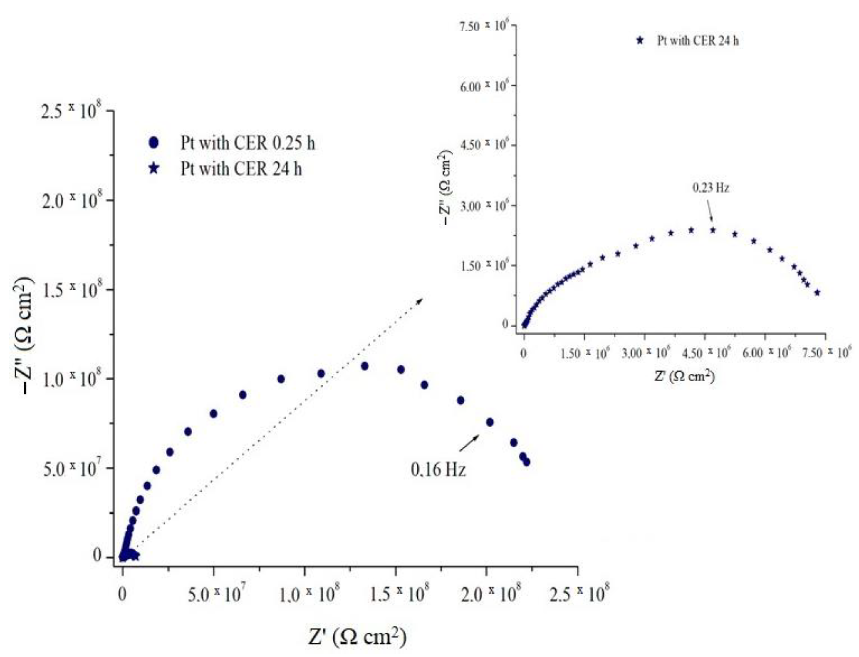
EIS assay for the CER coated Pt sample was immersed in a 2 mol L−1 H2SO4 aqueous solution for 0.25 h, with the EOCP measured at +0.27 VAg/AgCl. As shown in Figure 11, the obtained spectrum has a resistance arc in the order of 2.5 × 108 Ω cm2, which can be attributed to the barrier effect produced by the coating, as this result represents a resistance of two orders of magnitude higher. The CER coated Pt sample was immersed for 24 h in 2 mol L−1 H2SO4 solution with EOCP of +0.29 VAg/AgCl, where the spectrum obtained had a resistance arc of 7.5 × 106 Ω cm2.
These results indicate that the samples have a higher resistance than the uncoated sample after 24 h exposure in 2 mol L−1 H2SO4 solution. Spectra obtained in the EIS assay for the CER coated metal sample indicate that there is possibly a barrier effect, even flawed, which provides greater electrical and/or ionic resistance than the uncoated sample.
For the coated Pt with IP of CER (Figure 12a,b), an EIS assay showed an EOCP value of +0.49 VAg/AgCl for a 0.25 h exposure period in 2 mol L−1 H2SO4 solution, and produced a spectrum with three distinct frequency regions: the first, (1) at high frequency, is represented by a value resistance arc on the order of 1.2 × 105 Ω cm2; a second region in medium frequencies (2) is indicated in the spectrum as an elevation of inclination line close to 45°; and a third at low frequencies (3) presents a straight line to the end of the analysis [8,22,23].
The high frequency region (1) in the form of a semicircle is attributed to the process of charge and/or anion transfer in the metal/coat/electrolyte system, when charge accumulates in the coating/electrolyte system and there is a transfer of electrons from the metal for the coating and/or the medium. The region in medium frequencies (2) is attributed to the diffusion process of characteristic Warburg impedance ions, due to the transport of the HSO4 doping ions from the solution to the interior of the coating, which causes PAni EB doping, represented in the spectrum as the capacitive resistance increases in the system. The low frequency region (3), represented as a vertical straight line, indicates that the diffusion of ions at the metal/coat/electrolyte interface has been interrupted, and this becomes purely capacitive, which corresponds to the presence of oxides on a metal surface [8,22,24].
Figure 12a shows the EIS assays of the coated Pt with IP de CER, after 24 h immersion in 2 mol L−1 H2SO4 solution, an EOCP of +0.29 VAg/AgCl was shown, similar to uncoated Pt or uncoated of PAni EB. The sample presented spectrum with resistance arcs of 6.00 × 108 Ω cm2. This obtained spectrum has two orders of magnitude larger than the resin without PAni, for the same time of exposure to the medium, which can be attributed to the formation of a layer of thicker or more organized Pt oxides, induced by the presence of the PAni EB binder contained in the IP.
The proposed equivalent electrical circuit for representing Nyquist for IP of CER coated Pt, after 0.25 h exposure in 2 mol L−1 H2SO4 solution, shown in Figure 13, indicates an electrolyte/coating/metal system that is subjected to an Rm of H2SO4 2 mol L−1 solution, and that there are two simultaneous subsystems in which one Ri represents the charge transfer and/or anions of the electrolyte to the IP and W the diffusional process of HSO4 ions, increasing the capacitive resistance of the system.
Re represents the resistive behavior for the transport of electrons from the metal to the IP and Cd generated at the IP border and the electrolyte medium. The IP/metal subsystem represents a constant phase element in which the behavior of IP as Cd is conditioned on the transport of electrons from the metal to the coating [23,24,25].
In order to evaluate the performance of intelligent paints isolated from the barrier effect, an EIS test was realized for samples damaged purposely, in the form of a hole up to metal surface. Figure 14a shows the EIS spectrum for the scratched IEP coated steel sample, and was performed after 0.25 h exposure in 2 mol L−1 H2SO4 solution when the EOCP was +0.42 VAg/AgCl, compatible with a possible performance of IEP in anodic metal protection. The obtained spectrum can be divided into high frequency (1) and low frequency (2) regions. At high frequencies, there was a resistance arc with a value on the order of 1.05 × 106 Ω cm2, the region (1), which can be attributed to electron transfer at the metal/coating interface. In low frequency regions (2), it is possible to observe the projection of a second resistance arc with a value of 7.4 × 106 Ω cm2, which may correspond to the ion transfer at the coating/electrolyte interface. The frequency diagram shows incomplete semicircles due to the high speed at which charge transfer occurs in the metal/coating/electrolyte system [22,24].
The EIS spectrum for the scratched IEP coated steel sample, after 24 h of electrolyte exposure, Figure 14b, when the EOCP was at −0.40 VAg/AgCl, shown in Figure 7a,b, has a resistance arc on the order of value 3.72 × 103 Ω cm2. The diagram obtained can be attributed to the presence of failure of the protective oxide layer on the metal surface, which is characteristic of a possible past passivation, and that IEP no longer has the electrochemical capacity to promote redox pair formation in the metal/coating/middle interfaces, and thereby promote passivation.
EIS results for IEP coated AISI 1010 steel samples, purposely produced defective, for the exposure period of 0.25 h in the 2 mol L−1 H2SO4 solution allow us to indicate a possible acting of the PAni EB binder mixed in CER to promote the passivation of metal, even in uncoated areas, but close to the coating.

5. Conclusions

According to the proposed objectives, from the production of PAni EP and its passage through the doping process to the PAni EB, it was possible to produce a PAni EB binder using the solvent CH2Cl2 and the plasticizer CMP, which has no properties that may interfere with the desired characteristics of the PAni, according to the physicochemical results presented. SEM/EDX morphological analysis showed results that indicate the presence of the PAni EB binder in the IEP.
The results presented in the OCP assay indicated that the IEP and IP of CER presented a potential region, for a certain period, being within the passivation region of AISI 1010 steel and Pt exposed to 2 mol L−1 aqueous H2SO4 solution. EIS tests showed results indicating that the presence of the PAni EB binder in the studied commercial coatings provides electrochemical properties that promote or maintain the formation of insoluble protective oxides on the studied metal surfaces due to the ability of PAni EB to oxidize the metal inside its range of passivation potentials in the studied environment.
The results of physicochemical, morphological and electrochemical analyses indicate that the use of PAni in the oxidized and non-conductive state may form an IEP capable of promoting the anodic protection of a passivable metal in a given electrolyte medium. These reactions promote the formation or maintenance of protective oxides characteristic of the anodic protection of passivable metals.

Author Contributions

Conceptualization, R.S.S. and Á.M.; methodology, R.S.S. and Á.M.; formal analysis, R.S.S.; investigation, R.S.S. and Á.M.; resources, R.S.S. and Á.M.; data curation, R.S.S.; writing—original draft preparation, R.S.S.; writing—review and editing, R.S.S. and Á.M.; funding acquisition, Á.M. All authors have read and agreed to the published version of the manuscript.

Acknowledgments

National Council for Scientific and Technological Development (CNPq) and Coordination for the Improvement of Higher Education Personnel (CAPES).

Conflicts of Interest

The authors declare no conflict of interest and the funders had no role in the design of the study; in the collection, analyses, or interpretation of data; in the writing of the manuscript, or in the decision to publish the results.

References

  1. Vargas, V.M.M.; Dalmolin, C.; Pezzin, S.H.; Oliveira, M.M.; Zamora, P.P. A Polianilina no Cenário Ambiental: Uma abordagem sobre fotocatálise heterogênea. Quím. Nova 2018, 41, 315–325. [Google Scholar] [CrossRef]
  2. Armelin, E.; Meneguzzi, A.; Ferreira, C.A.; Alemán, C. Polyaniline, polypyrrole and poly(3,4-ethylenedioxythiophene) as additives on organic coatings to prevent corrosion. Surf. Coat. Technol. 2009, 24, 3763–3769. [Google Scholar] [CrossRef]
  3. Akabarinezhad, E.; Ebrahimi, M.; Sharif, F.; Attar, M.M.; Faridi, H.R. Synthesis and evaluating corrosion protection effects of emeraldine base PAni/clay nanocomposite as a barrier pigment in zinc-rich ethyl silicate primer. Prog. Org. Coat. 2011, 1, 39–44. [Google Scholar] [CrossRef]
  4. Panossian, Z.; Almeida, N.L.; Sousa, R.M.F.; Pimenta, G.S.; Marques, L.B.S. Corrosion of carbon steel pipes and tanks by concentrated sulfuric acid: A review. Corros. Sci. 2012, 58, 1–11. [Google Scholar] [CrossRef]
  5. Duarte, G.W.; Naspolini, A.M.; Tachinski, C.G.; Consenso, E.C.; Mello, J.M.M.; Silva, L.L.; Fiori, M.A. Study of the effect of synthesis parameters in the electrical conductivity of the composite poly (vinylidene fluoride)/polyaniline. Matéria (Roi J.) 2017, 22, e11859. [Google Scholar] [CrossRef][Green Version]
  6. Jaymand, M. Recent progress in chemical modification of polyanline. Prog. Polym. Sci. 2013, 9, 1287–1306. [Google Scholar] [CrossRef]
  7. Skotheim, T.A.; Reynolds, J.R. Handbook of Conducting Polymers. Conjugated Polymers: Theory, Synthesis, Properties and Characterization; Taylor-Francis: New York, NY, USA, 2007. [Google Scholar]
  8. Silva, R.S.; Aleman, C.; Ferreira, C.A.; Armelin, E.; Ferreira, J.Z.; Meneguzzi, A. Smart Paint for anodic protection of steel. Prog. Org. Coat. 2015, 78, 116–123. [Google Scholar] [CrossRef]
  9. Zanotto, C.; Ratuchne, F.; Melquíades, F.L.; Marques, P.T.; De Castro, E.G. Síntese, Caracterização e Estudo Eletroquímico de Material Híbrido Baseado em Polianilina com Fe3O4. Revista Virtual Química 2017, 6, 2494–2505. [Google Scholar] [CrossRef]
  10. Kumar, K.K.S.; Geetha, S.; Trivedi, D.C. Freestanding conducting polyaniline film for the control of electromagnetic radiations. Curr. Appl. Phys. 2005, 6, 603–608. [Google Scholar] [CrossRef]
  11. Silva, R.S.; Cardozo, H.M.; Ferreira, J.Z.; Ferreira, C.A.; Meneguzzi, A. Filme Autosuportado de Polianilina Desdopada para Aplicações Anticorrossivas. Polímeros 2012, 3, 288–294. [Google Scholar] [CrossRef]
  12. Nakamoto, K. Infrared and Raman Spectra of Inorganic and Coordination Compounds; John-Wiley: Hoboken, NJ, USA, 2009. [Google Scholar]
  13. Tokarsky, J.; Maixner, M.; Peikertová, P.; Kulhánková, L.; Burda, J.V. The IR and Raman spectra of polyaniline adsorbed on the glass surface; comparison of experimental, empirical force field, and quantum chemical results. Eur. Polym. J. 2014, 57, 47–57. [Google Scholar] [CrossRef]
  14. Trchová, M.; Morávková, Z.; Bláha, M.; Stejskal, J. Raman spectroscopy of polyaniline and oligoaniline thin films. Electrochim. Acta 2014, 10, 28–38. [Google Scholar] [CrossRef]
  15. Morávková, Z.; Bober, P. Writing in a Polyaniline Film with Laser Beam and Stability of the Record: A Raman Spectroscopy Study. Int. J. Polym. Sci. 2018. [Google Scholar] [CrossRef]
  16. Quillard, G.; Louam, G.; Bouisson, J.P.; Lefrant, S.; Masters, J.; Macdiarmid, A.G. Vibrational analysis of reduced and oxidized forms of polyaniline. Synth. Met. 1993, 1, 475–480. [Google Scholar] [CrossRef]
  17. Mazzeu, M.A.C.; Faria, L.K.; Baldan, M.R.; Rezende, M.C.; Gonçalves, E.S. Influence of reaction time on the structure of polyaniline synthesized on a pre-pilot scale. Braz. J. Chem. Eng. 2018, 1, 123–130. [Google Scholar] [CrossRef]
  18. Mazzeu, M.A.C.; Faria, L.K.; Baldan, M.R.; Rezende, M.C.; Gonçalves, E.S. Structural and Morphological Characteristics of Polyaniline Synthesized in Pilot Scale. J. Aerosp. Technol. Manag. 2017, 1, 39–47. [Google Scholar] [CrossRef]
  19. Njoku, D.I.; Cui, M.; Xiao, H.; Shang, B.; Li, Y. Understanding the anticorrosive protective mechanisms of modified epoxy coatings with improved barrier, active and self-healing functionalities: EIS and spectroscopic techniques. Sci. Rep. 2017, 7, 1–15. [Google Scholar] [CrossRef]
  20. Dudek, A.; Lisiecka, B.; Strzelczak, K. Assessment of the Quality of epoxy coating in the Automotive Industry. Tech. Trans. 2018, 11, 175–180. [Google Scholar]
  21. Zhu, H.; Peng, S.; Jiang, W. Electrochemical Properties of PANI as Single Electrode of Electrochemical Capacitors in Acid Electrolytes. Sci. World J. 2013. [Google Scholar] [CrossRef]
  22. Giroto, E.M.; Paoli, M.A. Transporte de massa em polímeros intrinsicamente condutores: Importância Técnicas e Modelos Teóricos. Quím. Nova 1999, 3, 358–368. [Google Scholar] [CrossRef][Green Version]
  23. Ballarin, B.; Boanini, E.; Montalto, L.; Mengucci, P.; Nanni, D.; Parise, C.; Ragazzini, I.; Rinaldi, D.; Sangiorgi, N.; Sanson, A.; et al. PANI/Au/Fe3O4 nanocomposite materials for high performance energy storage. Electrochim. Acta 2019, 322, 134707. [Google Scholar] [CrossRef]
  24. Guler, F.G.; Sarac, A.S. Electrochemical synthesis of Poly[3,4-Propylenedioxythiophene-co-N-Phenylsulfonyl Pyrrole]: Morphological, electrochemical and spectroscopic characterization. Polym. Lett. 2011, 6, 493–505. [Google Scholar] [CrossRef]
  25. Mondal, K.M.; Prasad, K.R.; Munichandraiah, N. Analysis of electrochemical impedance of polyaniline films prepared by galvanostatic, potentiostatic and potentiodynamic methods. Synth. Met. 2005, 148, 275–286. [Google Scholar] [CrossRef]
Figure 1. (a) automatic film applicator BYK-Gardner, with dimensions of 56.6 cm × 20.3 cm × 31 cm, and (b) AISI 1010 steel sample, with dimensions of 10 cm × 5 cm.
Figure 1. (a) automatic film applicator BYK-Gardner, with dimensions of 56.6 cm × 20.3 cm × 31 cm, and (b) AISI 1010 steel sample, with dimensions of 10 cm × 5 cm.
Coatings 10 00452 g001
Figure 2. Raman spectrum of PAni EB, PAni EB binder, and CMP.
Figure 2. Raman spectrum of PAni EB, PAni EB binder, and CMP.
Coatings 10 00452 g002
Figure 3. CEP and IEP Raman spectrum.
Figure 3. CEP and IEP Raman spectrum.
Coatings 10 00452 g003
Figure 4. (a) SEM of the surface of a CEP film with 1000× magnification. The EDX is from two film surface analysis locations, (b) P1 and (c) P2.
Figure 4. (a) SEM of the surface of a CEP film with 1000× magnification. The EDX is from two film surface analysis locations, (b) P1 and (c) P2.
Coatings 10 00452 g004
Figure 5. (a) SEM of the surface of a IEP film with 1100× magnification. The EDX is from two film surface analysis locations. (b) P1 and (c) P2.
Figure 5. (a) SEM of the surface of a IEP film with 1100× magnification. The EDX is from two film surface analysis locations. (b) P1 and (c) P2.
Coatings 10 00452 g005
Figure 6. Voltammograms of (a) uncoated AISI 1010 steel, between −1.00 to +2.00 VAg/AgCl; and (b) uncoated Pt, between −0.50 to +2.50 VAg/AgCl, in solution 2 mol L−1 of H2SO4 aqueous solution.
Figure 6. Voltammograms of (a) uncoated AISI 1010 steel, between −1.00 to +2.00 VAg/AgCl; and (b) uncoated Pt, between −0.50 to +2.50 VAg/AgCl, in solution 2 mol L−1 of H2SO4 aqueous solution.
Coatings 10 00452 g006
Figure 7. OCP vs. time (a) AISI 1010 steel without and with CEP, IEP coatings exposed to 2 mol L−1 H2SO4 solution for a period of 18,000 s; (b) AISI 1010 steel with IEP coatings exposed to 2 mol L−1 H2SO4 solution for a period of 168 h. The dotted line at 0.39 VAg/AgCl indicates the Flade potential for steel in this medium.
Figure 7. OCP vs. time (a) AISI 1010 steel without and with CEP, IEP coatings exposed to 2 mol L−1 H2SO4 solution for a period of 18,000 s; (b) AISI 1010 steel with IEP coatings exposed to 2 mol L−1 H2SO4 solution for a period of 168 h. The dotted line at 0.39 VAg/AgCl indicates the Flade potential for steel in this medium.
Coatings 10 00452 g007
Figure 8. OCP vs. time of Pt with and without coatings of CER and IP of CER, exposed to aqueous solution of 2 mol L−1 H2SO4.
Figure 8. OCP vs. time of Pt with and without coatings of CER and IP of CER, exposed to aqueous solution of 2 mol L−1 H2SO4.
Coatings 10 00452 g008
Figure 9. (a) image of the IEP coated AISI 1010 steel plate containing an failure intentional in coating; (b) OCP vs. time of AISI 1010 steel with scratched IP of CER coatings, exposed to aqueous solution of 2 mol L−1 H2SO4.
Figure 9. (a) image of the IEP coated AISI 1010 steel plate containing an failure intentional in coating; (b) OCP vs. time of AISI 1010 steel with scratched IP of CER coatings, exposed to aqueous solution of 2 mol L−1 H2SO4.
Coatings 10 00452 g009
Figure 10. EIS in representation of Nyquist for uncoated Pt, after 0.25 h and 24 h of immersion in aqueous solution of 2 mol L−1 of H2SO4.
Figure 10. EIS in representation of Nyquist for uncoated Pt, after 0.25 h and 24 h of immersion in aqueous solution of 2 mol L−1 of H2SO4.
Coatings 10 00452 g010
Figure 11. EIS in representation of Nyquist for CER coated Pt after 0.25 h and 24 h immersion in 2 mol L−1 H2SO4 solution.
Figure 11. EIS in representation of Nyquist for CER coated Pt after 0.25 h and 24 h immersion in 2 mol L−1 H2SO4 solution.
Coatings 10 00452 g011
Figure 12. EIS in representation of Nyquist for coated Pt with IP of CER after (a) 0.25 h and 24 h; (b) 0.25 h of immersion in 2 mol L−1 H2SO4 solution.
Figure 12. EIS in representation of Nyquist for coated Pt with IP of CER after (a) 0.25 h and 24 h; (b) 0.25 h of immersion in 2 mol L−1 H2SO4 solution.
Coatings 10 00452 g012
Figure 13. Equivalent electrical circuit proposed for the representation of Nyquist for Pt coated of IP of CER after 0.25 h of immersion in 2 mol L−1 H2SO4 solution.
Figure 13. Equivalent electrical circuit proposed for the representation of Nyquist for Pt coated of IP of CER after 0.25 h of immersion in 2 mol L−1 H2SO4 solution.
Coatings 10 00452 g013
Figure 14. EIS in representation of Nyquist for scratched IEP coated AISI 1010 steel after (a) 0.25 h and 24 h; (b) 24h immersion in 2 mol L−1 H2SO4 solution.
Figure 14. EIS in representation of Nyquist for scratched IEP coated AISI 1010 steel after (a) 0.25 h and 24 h; (b) 24h immersion in 2 mol L−1 H2SO4 solution.
Coatings 10 00452 g014
Table 1. Raman spectroscopy for PAni EB, PAni Binder, and CMF samples.
Table 1. Raman spectroscopy for PAni EB, PAni Binder, and CMF samples.
SamplesBands (cm−1)Correspondent
PAni EB and Binder of PAni EB1628Stretch C–C of benzoid ring
1588Elongation C=C of the quinoid ring
1492–1465Stretch C=N of oxidized PAni
1412Stretch C–C of quinoid ring
1218Stretch C–N
1165Deformation C–H of quinoid ring
CMP1390Angular stretch –CH3
1340Axial deformations of the links C–O
400–800Links C–Cl and C–O
Table 2. Raman spectroscopy for CEP and IEP samples.
Table 2. Raman spectroscopy for CEP and IEP samples.
SamplesBands (cm−1)Correspondent
CEP and IEP1097Groups –CH2
1184Aliphatic glycidyl groups (COC) or links C–N
1441Groups OH or links C–N
1603links C=C

Share and Cite

MDPI and ACS Style

Silva, R.S.; Meneguzzi, Á. Passivation of Carbon Steel Using Intelligent Epoxy Paint. Coatings 2020, 10, 452. https://doi.org/10.3390/coatings10050452

AMA Style

Silva RS, Meneguzzi Á. Passivation of Carbon Steel Using Intelligent Epoxy Paint. Coatings. 2020; 10(5):452. https://doi.org/10.3390/coatings10050452

Chicago/Turabian Style

Silva, Rodrigo Sanchotene, and Álvaro Meneguzzi. 2020. "Passivation of Carbon Steel Using Intelligent Epoxy Paint" Coatings 10, no. 5: 452. https://doi.org/10.3390/coatings10050452

APA Style

Silva, R. S., & Meneguzzi, Á. (2020). Passivation of Carbon Steel Using Intelligent Epoxy Paint. Coatings, 10(5), 452. https://doi.org/10.3390/coatings10050452

Note that from the first issue of 2016, this journal uses article numbers instead of page numbers. See further details here.

Article Metrics

Back to TopTop