Two-Dimensional Mechanical Behavior Analysis of Multilayered Solids Subjected to Surface Contact Loading Based on a Semi-Analytical Method
Abstract
1. Introduction
2. Theoretical Formulation
2.1. Statement of the Mechanical Problem
2.2. Two-Dimensional Analytical Frequency Response Functions of Multilayered Solids
2.3. Numerical Conversion Method
- Select a computing domain {x|xb ≤ x ≤ xe} at z depth and divide it uniformly into Nx line elements. The number Nx is required to be a positive integral power of 2. xb and xe are usually chosen to be −2bH and 2bH, respectively.
- Refine the grid into Nωx uniform elements in the frequency domain {ωx|−π < ωx ≤ π}, where Nωx = λNx and λ should be a nonnegative integral power of 2.
- Construct a discrete series by using the FRF of the stress component σrs:
- Reconstruct a new discrete series by applying a wrap-order operation to :
- Apply the IFFT operation to the discrete series :
- The stress at each line element in the discrete space domain can be obtained as follows:
3. Validation of the Present Method
4. Results and Discussions
4.1. Influence of the Structure Layout of the Multilayers on the Mechanical Behavior
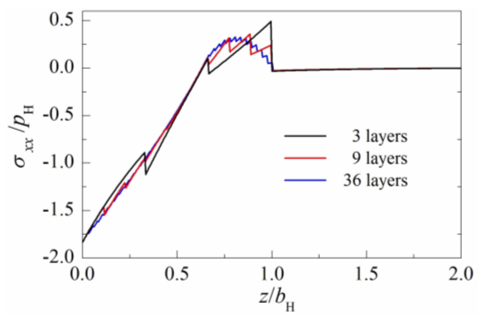
4.2. Influence of the Layer Number of the Multilayers on the Mechanical Behavior
5. Conclusions
- A 2D analytical frequency response functions of multilayered solids subjected to surface contact loading is derived and given in a recursive form.
- A 2D semi-analytical method for the mechanical behavior analysis of multilayered solids is developed by converting from its frequency response functions with an IFFT based numerical conversion method.
- Among various structure layouts numerically investigated in this paper, the layout with elasticity modulus increasing first in the top layers and then decreasing in the bottom layers can minimize the peak value of the maximum shear stress under various friction coefficients.
- The maximum tensile stress σxx in subsurface can be reduced effectively by increasing the layer number of multilayered solids.
Author Contributions
Funding
Conflicts of Interest
Appendix A
References
- Yang, D.K.; Wang, J.T.; Fabijanic, D.; Lu, J.Z.; Hodgson, P.D. Improved contact load-bearing capacity of ultra-fine grained titanium: Multilayering and grading. Mater. Des. 2014, 58, 217–225. [Google Scholar] [CrossRef]
- Schulze, M.; Seidlitz, H.; Konig, F.; WeiB, S. Tribological investigations of PVD coated multi-layer constructions. J. Mater. Sci. Res. 2015, 5, 97–106. [Google Scholar] [CrossRef][Green Version]
- Huang, M.; Xu, C.; Fan, G.; Maawad, E.; Gan, W.; Geng, L.; Lin, F.; Tang, G.; Wu, H.; Du, Y.; et al. Role of layered structure in ductility improvement of layered Ti–Al metal composite. Acta Mater. 2018, 153, 235–249. [Google Scholar] [CrossRef]
- He, D.; Li, X.; Pu, J.; Wang, L.; Zhang, G.; Lu, Z.; Li, W.; Xue, Q. Improving the mechanical and tribological properties of TiB 2/a-C nanomultilayers by structural optimization. Ceram. Int. 2018, 44, 3356–3363. [Google Scholar] [CrossRef]
- Holmberg, K.; Matthews, A.; Ronkainen, H. Coatings tribology—Contact mechanisms and surface design. Tribol. Int. 1998, 31, 107–120. [Google Scholar] [CrossRef]
- MohdTobi, A.L.; Shipway, P.H.; Leen, S.B. Finite element modelling of brittle fracture of thick coatings under normal and tangential loading. Tribol. Int. 2013, l58, 29–39. [Google Scholar] [CrossRef]
- Csanadi, T.; Nemeth, D.; Lofaj, F. Mechanical properties of hard W–C coating on steel substrate deduced from nanoindentation and finite element modeling. Exp. Mech. 2017, 57, 1057–1069. [Google Scholar] [CrossRef]
- Hossain, M.M.; Xiao, S.; Sue, H.; Kotaki, M. Scratch behavior of multilayer polymeric coating systems. Mater. Des. 2017, 128, 143–149. [Google Scholar] [CrossRef]
- Kang, J.J.; Xu, B.S.; Wang, H.D.; Wang, C. Competing failure mechanism and life prediction of plasma sprayed composite ceramic coating in rolling–sliding contact condition. Tribol. Int. 2014, 73, 128–137. [Google Scholar] [CrossRef]
- Luo, J.F.; Liu, Y.J.; Berger, E.J. Interfacial stress analysis for multi-coating systems using an advanced boundary element method. Comput. Mech. 2000, 24, 448–455. [Google Scholar] [CrossRef]
- Zhang, Y.M.; Gu, Y.; Chen, J.T. Internal stress analysis for single and multilayered coating systems using the boundary element method. Eng. Anal. Bound. Elem. 2011, 35, 708–717. [Google Scholar] [CrossRef]
- Xu, J.Q.; Mutoh, Y. Analytical solution for interface stresses due to concentrated surface force. Int. J. Mech. Sci. 2003, 45, 1877–1892. [Google Scholar] [CrossRef]
- Xu, J.; Mutoh, Y. A normal force on the free surface of a coated material. J. Elast. 2003, 73, 147–164. [Google Scholar] [CrossRef]
- Nie, C.; Zheng, D.; Gu, L.; Zhao, X.; Wang, L. Comparison of interface mechanics characteristics of DLC coating deposited on bearing steel and ceramics. Appl. Surf. Sci. 2014, 317, 188–197. [Google Scholar] [CrossRef]
- Sneddon, I.N. Fourier Transforms; McGraw-Hill: New York, NY, USA, 1951. [Google Scholar]
- Azhari, F.; Boroomand, B.; Shahbazi, M. Explicit relations for the solution of laminated plates modeled by a higher shear deformation theory: Derivation of exponential basis functions. Int. J. Mech. Sci. 2013, 77, 301–313. [Google Scholar] [CrossRef]
- Shojaei, A.; Mossaiby, F.; Zaccariotto, M.; Galvanetto, U. A local collocation method to construct Dirichlet-type absorbing boundary conditions for transient scalar wave propagation problems. Comput. Methods Appl. Mech. Eng. 2019, 356, 629–651. [Google Scholar] [CrossRef]
- Mossaiby, F.; Shojaei, A.; Boroomand, B.; Zaccariotto, M.; Galvanetto, U. Local Dirichlet-type absorbing boundary conditions for transient elastic wave propagation problems. Comput. Methods Appl. Mech. Eng. 2020, 362, 112856. [Google Scholar] [CrossRef]
- Mejers, P. The contact problem of a rigid cylinder on an elastic layer. Appl. Sci. Res. 1968, 18, 353–383. [Google Scholar] [CrossRef]
- Alblas, J.B.; Kuipers, M. On the two dimensional problem of a cylindrical stamp pressed into a thin elastic layer. Acta Mech. 1970, 9, 292–311. [Google Scholar] [CrossRef]
- Gupta, P.K.; Walowit, J.A. Contact stresses between an elastic cylinder and a layered elastic solid. J. Lubr. Technol. 1974, 96, 250–257. [Google Scholar] [CrossRef]
- King, R.B.; O’Sullivan, T.C. Sliding contact stresses in a two-dimensional layered elastic half-space. Int. J. Solids Struct. 1978, 23, 581–597. [Google Scholar] [CrossRef]
- Wang, T.J.; Wang, L.Q.; Gu, L.; Zhao, X.L. Numerical analysis of elastic coated solids in line contact. J. Cent. South Univ. 2015, 22, 2470–2481. [Google Scholar] [CrossRef]
- Elsharkawy, A.A.; Hamrock, B.J. A numerical solution for dry sliding line contact of multilayered elastic bodies. J. Tribol. 1993, 115, 237–245. [Google Scholar] [CrossRef]
- Elsharkawy, A.A. Effect of friction on subsurface stresses in sliding line contact of multilayered elastic solids. Int. J. Solids Struct. 1999, 36, 3903–3915. [Google Scholar] [CrossRef]
- Ke, L.L.; Wang, Y.S. Two-dimensional contact mechanics of functionally graded materials with arbitrary spatial variations of material properties. Int. J. Solids Struct. 2006, 43, 5779–5798. [Google Scholar] [CrossRef]
- Ke, L.L.; Wang, Y.S. Two-dimensional sliding frictional contact of functionally graded materials. Eur. J. Mech. A-Solids 2007, 26, 171–188. [Google Scholar] [CrossRef]
- Liu, J.; Ke, L.L.; Wang, Y.S. Two-dimensional thermoelastic contact problem of functionally graded materials involving frictional heating. Int. J. Solids Struct. 2011, 48, 2536–2548. [Google Scholar] [CrossRef]
- Johnson, K.L. Contact Mechanics; Cambridge University Press: Cambridge, UK, 1985. [Google Scholar]
- Erdilyi, A.; Magnus, W.; Oberhettinger, F.; Tricomi, F.G. Tables of Integral Transforms; Bateman Manuscript Project; McGraw-Hill: New York, NY, USA, 1954; Volume I. [Google Scholar]
- Zaitsev, V.F.; Polyanin, A.D. Handbook of Exact Solutions for Ordinary Differential Equations; CRC Press: Boca Raton, FL, USA, 2002. [Google Scholar]
- Zhang, J.J.; Wang, T.J.; Zhang, C.W.; Wang, L.Q.; Ma, X.X.; Yin, L.C.; Zhan, L.W.; Sun, D. A two-dimensional contact model between a multilayered solid and a rigid cylinder. Surf. Coat. Technol. 2019, 360, 382–390. [Google Scholar] [CrossRef]
- Yu, C.; Wang, Z.; Wang, Q.J. Analytical frequency response functions for contact of multilayered materials. Mech. Mater. 2014, 76, 102–120. [Google Scholar] [CrossRef]
- Liu, S.B.; Wang, Q. Studying contact stress fields caused by surface tractions with a discrete convolution and fast fourier transform algorithm. J. Tribol. 2000, 124, 36–45. [Google Scholar] [CrossRef]
- Wang, T.J.; Ma, X.X.; Wang, L.Q.; Gu, L.; Yin, L.C.; Zhang, J.J.; Zhan, L.W.; Sun, D. Three-dimensional thermoelastic contact model of coated solids with frictional heat partition considered. Coatings 2018, 8, 470. [Google Scholar] [CrossRef]
- McEwen, E. Stresses in elastic cylinders in contact along a generatrix. Philos. Mag. 1949, 40, 454–459. [Google Scholar]
- Sadeghi, F.; Jalalahmadi, B.; Slack, T.S.; Raje, N.; Arakere, N.K. A Review of rolling contact fatigue. J. Tribol. 2009, 131, 041403. [Google Scholar] [CrossRef]
- Walvekar, A.A.; Sadeghi, F. Rolling contact fatigue of case carburized steels. Int. J. Fatigue 2016, 95, 264–281. [Google Scholar] [CrossRef]
- Piao, Z.Y.; Xu, B.S.; Wang, H.D.; Pu, C.H. Effects of thickness and elastic modulus on stress condition of fatigue-resistant coating under rolling contact. J. Cent. South Univ. Technol. 2010, 17, 899–905. [Google Scholar] [CrossRef]
- Wang, T.J.; Wang, L.Q.; Gu, L.; Zheng, D. Stress analysis of elastic coated solids in point contact. Tribol. Int. 2015, 86, 52–61. [Google Scholar] [CrossRef]








| pH (Mpa) | bH (mm) | N (–) | νi (1 ≤ i ≤ N + 1) (–) | Ei (1 ≤ i ≤ N + 1) (GPa) | hi (1 ≤ i ≤ N) (m) | μf (–) |
|---|---|---|---|---|---|---|
| 836.41 | 0.761 | 3 | 0.3 | 200 | bH/N | 0 |
| pH (Mpa) | bH (mm) | N (–) | νi (1 ≤ i ≤ N + 1) (–) | E41 (GPa) | E1 (GPa) | Ei (2 ≤ i ≤ N) (GPa) | hi (1 ≤ i ≤ N) (m) | μf (–) |
|---|---|---|---|---|---|---|---|---|
| 836.41 | 0.761 | 40 | 0.3 | 200 | 100 | Ei = Ei−1 + ΔE | bH/N | 0, 0.2 |
© 2020 by the authors. Licensee MDPI, Basel, Switzerland. This article is an open access article distributed under the terms and conditions of the Creative Commons Attribution (CC BY) license (http://creativecommons.org/licenses/by/4.0/).
Share and Cite
Zhang, J.; Wang, T.; Zhang, C.; Yin, L.; Wu, Y.; Zhao, Y.; Ma, X.; Gu, L.; Wang, L. Two-Dimensional Mechanical Behavior Analysis of Multilayered Solids Subjected to Surface Contact Loading Based on a Semi-Analytical Method. Coatings 2020, 10, 429. https://doi.org/10.3390/coatings10050429
Zhang J, Wang T, Zhang C, Yin L, Wu Y, Zhao Y, Ma X, Gu L, Wang L. Two-Dimensional Mechanical Behavior Analysis of Multilayered Solids Subjected to Surface Contact Loading Based on a Semi-Analytical Method. Coatings. 2020; 10(5):429. https://doi.org/10.3390/coatings10050429
Chicago/Turabian StyleZhang, Jingjing, Tingjian Wang, Chuanwei Zhang, Longcheng Yin, Yue Wu, Yang Zhao, Xinxin Ma, Le Gu, and Liqin Wang. 2020. "Two-Dimensional Mechanical Behavior Analysis of Multilayered Solids Subjected to Surface Contact Loading Based on a Semi-Analytical Method" Coatings 10, no. 5: 429. https://doi.org/10.3390/coatings10050429
APA StyleZhang, J., Wang, T., Zhang, C., Yin, L., Wu, Y., Zhao, Y., Ma, X., Gu, L., & Wang, L. (2020). Two-Dimensional Mechanical Behavior Analysis of Multilayered Solids Subjected to Surface Contact Loading Based on a Semi-Analytical Method. Coatings, 10(5), 429. https://doi.org/10.3390/coatings10050429
