Inkjet-Printed Top-Gate Thin-Film Transistors Based on InGaSnO Semiconductor Layer with Improved Etching Resistance
Abstract
1. Introduction
2. Experiment
2.1. Precursor Solutions
2.2. Device Fabrication
2.3. Characterizations of Oxide Films and Devices
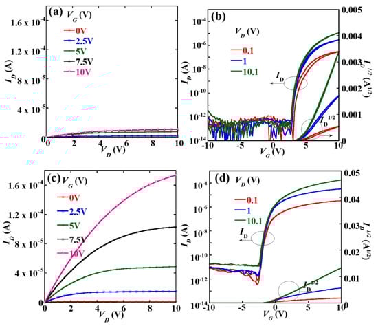
3. Results and Discussion
4. Conclusions
Supplementary Materials
Author Contributions
Funding
Acknowledgments
Conflicts of Interest
References
- Garlapati, S.K.; Divya, M.; Breitung, B.; Kruk, R.; Hahn, H.; Dasgupta, S. Printed electronics based on inorganic semiconductors: From processes and materials to devices. Adv. Mater. 2016, 30, 1707600. [Google Scholar] [CrossRef]
- Kim, S.J.; Yoon, S.; Kim, H.J. Review of solution-processed oxide thin-film transistors. Jpn. J. Appl. Phys. 2014, 53, 02BA02. [Google Scholar] [CrossRef]
- Park, J.W.; Kang, B.H.; Kim, H.J. A review of low-temperature solution-processed metal oxide thin-film transistors for flexible electronics. Adv. Funct. Mater. 2019. [Google Scholar] [CrossRef]
- Park, S.; Kim, K.-H.; Jo, J.-W.; Sung, S.; Kim, K.-T.; Lee, W.-J.; Kim, J.; Kim, H.J.; Yi, G.-R.; Kim, Y.-H.; et al. In-depth studies on rapid photochemical activation of various sol-gel metal oxide films for flexible transparent electronics. Adv. Funct. Mater. 2015, 25, 2807–2815. [Google Scholar] [CrossRef]
- Kwon, J.; Takeda, Y.; Shiwaku, R.; Tokito, S.; Cho, K.; Jung, S. Three-dimensional monolithic integration in flexible printed organic transistors. Nat. Commun. 2019, 10, 54. [Google Scholar] [CrossRef]
- Jewel, M.U.; Monne, M.A.; Mishra, B.; Chen, M.Y. Inkjet-printed molybdenum disulfide and nitrogen-doped graphene active layer high On/Off ratio transistors. Molecules 2020, 25, 1081. [Google Scholar] [CrossRef]
- Jaiswar, R.; Mederos-Henry, F.; Dupont, V.; Hermans, S.; Raskin, J.-P.; Huynen, I. Inkjet-printed frequency-selective surfaces based on carbon nanotubes for ultra-wideband thin microwave absorbers. J. Mater. Sci. Mater. Electron. 2020, 31, 2190–2201. [Google Scholar] [CrossRef]
- Chen, R.; Lan, L. Solution-processed metal-oxide thin-film transistors: A review of recent developments. NanoTechnology 2019, 30, 312001. [Google Scholar] [CrossRef]
- Magliulo, M.; Mulla, M.Y.; Singh, M.; Macchia, E.; Tiwari, A.; Torsi, L.; Manoli, K. Printable and flexible electronics: From TFTs to bioelectronic devices. J. Mater. Chem. C. 2015, 3, 12347–12363. [Google Scholar] [CrossRef]
- Scheideler, W.J.; Kumar, R.; Zeumault, A.R.; Subramanian, V. Low-temperature-processed printed metal oxide transistors based on pure aqueous inks. Adv. Funct. Mater. 2017, 27, 1606062. [Google Scholar] [CrossRef]
- Wu, S.; Zhang, Q.; Chen, Z.; Mo, L.; Shao, S.; Cui, Z. Inkjet printing of oxide thin film transistor arrays with small spacing with polymer-doped metal nitrate aqueous ink. J. Mater. Chem. C 2017, 5, 7495–7503. [Google Scholar] [CrossRef]
- Kang, D.; Lim, H.; Kim, C.; Song, I.; Park, J.; Park, Y.; Chung, J. Amorphous gallium indium zinc oxide thin film transistors: Sensitive to oxygen molecules. Appl. Phys. Lett. 2007, 90, 192101. [Google Scholar] [CrossRef]
- Liu, X.; Ning, H.; Chen, J.; Cai, W.; Hu, S.; Tao, R.; Zeng, Y.; Zheng, Z.; Yao, R.; Xu, M.; et al. High-performance back-channel-etched thin-film transistors with amorphous Si-incorporated SnO2 active layer. Appl. Phys. Lett. 2016, 108. [Google Scholar] [CrossRef]
- Li, Y.; Lan, L.; Hu, S.; Gao, P.; Dai, X.; He, P.; Li, X.-F.; Peng, J. Fully printed top-gate metal–oxide thin-film transistors based on scandium-zirconium-oxide dielectric. IEEE Trans. Electron Devices. 2019, 66, 445–450. [Google Scholar] [CrossRef]
- Aikawa, S.; Darmawan, P.; Yanagisawa, K.; Nabatame, T.; Abe, Y.; Tsukagoshi, K. Thin-film transistors fabricated by low-temperature process based on Ga-and Zn-free amorphous oxide semiconductor. Appl. Phys. Lett. 2013, 102, 102101. [Google Scholar] [CrossRef]
- Kizu, T.; Aikawa, S.; Mitoma, N.; Shimizu, M.; Gao, X.; Lin, M.F.; Nabatame, T.; Tsukagoshi, K. Low-temperature processable amorphous In-WO thin-film transistors with high mobility and stability. Appl. Phys. Lett. 2014, 104, 152103. [Google Scholar] [CrossRef]
- Lin, D.; Pi, S.; Yang, J.; Tiwari, N.; Ren, J.; Zhang, Q.; Liu, P.-T.; Shieh, H.-P. Enhanced stability of thin film transistors with double-stacked amorphous IWO/IWO: N channel layer. Semicond. Sci. Technol. 2018, 33, 065001. [Google Scholar] [CrossRef]
- Liu, A.; Liu, G.; Zhu, H.; Shin, B.; Fortunato, E.; Martins, R.; Shan, F. Eco-friendly, solution-processed In-WO thin films and their applications in low-voltage, high-performance transistors. J. Mater. Chem. C 2016, 4, 4478–4484. [Google Scholar] [CrossRef]
- Jeong, H.-J.; Ok, K.-C.; Park, J.; Lim, J.; Cho, J.; Park, J.-S. Stability improvement of In-Sn-Ga-O thin-film transistors at low annealing temperatures. IEEE Electron Device Lett. 2015, 36, 1160–1162. [Google Scholar] [CrossRef]
- Jeong, H.-J.; Lee, H.-M.; Oh, K.-T.; Park, J.; Park, J.-S. Enhancement of In-Sn-Ga-O TFT performance by the synergistic combination of UV + O3 radiation and low temperature annealing. J. Electroceram. 2016, 37, 158–162. [Google Scholar] [CrossRef]
- Kim, J.-K.; Lee, J.-M. Electrical and optical properties of near UV transparent conductive ITO/Ga2O3 multilayer films deposited by RF magnetron sputtering. Appl. Phys. Lett. 2016, 109, 172107. [Google Scholar] [CrossRef]
- Shin, S.W.; Cho, J.E.; Lee, H.-M.; Park, J.-S.; Kang, S.J. Photoresponses of InSnGaO and InGaZnO thin-film transistors. RSC Adv. 2016, 6, 83529–83533. [Google Scholar] [CrossRef]
- Hur, J.S.; Kim, J.O.; Kim, H.A.; Jeong, J.K. Stretchable polymer gate dielectric by ultraviolet-assisted hafnium oxide doping at low temperature for high-performance indium gallium tin oxide transistors. ACS Appl. Mater. Interfaces 2019, 11, 1675–21685. [Google Scholar] [CrossRef] [PubMed]
- Kim, S.; Kim, S.J.; Kim, K.H.; Kim, H.-D.; Kim, T.G. Improved performance of Ga2O3/ITO-based transparent conductive oxide films using hydrogen annealing for near-ultraviolet light-emitting diodes. Phys. Status Solidi A 2014, 211, 2569–2573. [Google Scholar] [CrossRef]
- Ji, K.H.; Noh, J.; Yun, P.S.; Bae, J.U.; Park, K.S.; Kang, I. P–2: Novel High Mobility Oxide TFT with Self-Aligned S/D Regions Formed by Wet-etch process. SID Symp. Dig. Tech. Papers 2016, 47, 1129–1131. [Google Scholar] [CrossRef]
- Nakata, M.; Ochi, M.; Tsuji, H.; Takei, T.; Miyakawa, M.; Fujisaki, Y.; Goto, H.; Kugimiya, T.; Yamamoto, T. P–1: Fabrication of a short-channel oxide TFT utilizing the resistance-reduction phenomenon in In–Ga–Sn–O. SID Symp. Dig. Tech. Papers 2017, 48, 1227–1230. [Google Scholar] [CrossRef]
- Li, Y.; Lan, L.; Sun, S.; Lin, Z.; Gao, P.; Song, W.; Song, E.; Zhang, P.; Peng, J. All inkjet-printed metal-oxide thin-film transistor array with good stability and uniformity using surface-energy patterns. ACS Appl. Mater. Interfaces 2017, 9, 8194–8200. [Google Scholar] [CrossRef]
- Li, Y.; He, P.; Chen, S.; Lan, L.; Dai, X.; Peng, J. Inkjet-printed oxide thin-film transistors based on nanopore-free aqueous-processed dielectric for active-matrix quantum-dot light-emitting diode displays. ACS Appl. Mater. Interfaces. 2019, 11, 28052–28059. [Google Scholar] [CrossRef]
- Kao, C.-H.; Liu, C.S.; Xu, C.Y.; Lin, C.F.; Chen, H. Ti-doped indium gallium oxide electrolyte–insulator–semiconductor membranes for multiple ions and solutes detectors. J. Mater. Sci.: Mater. Electron. 2019, 30, 20596–20604. [Google Scholar] [CrossRef]
- Song, W.; Lan, L.; Xiao, P.; Lin, Z.; Sun, S.; Li, Y.; Song, E.; Gao, P.; Zhang, P.; Xu, H.; et al. Low-temperature, high-stability, flexible thin-film transistors with a novel ScxIn1−xO3semiconductor. J. Phys. D: Appl. Phys. 2016, 49, 24LT01. [Google Scholar] [CrossRef]
- Chen, Z.; Lan, L.; Peng, J. Approaching subthreshold-swing limit for thin-film transistors by using a giant-dielectric-constant gate dielectric. RSC Adv. 2019, 9, 27117–27124. [Google Scholar] [CrossRef]
- Tue, P.T.; Inoue, S.; Takamura, Y.; Shimoda, T. Combustion synthesized indium-tin-oxide (ITO) thin film for source/drain electrodes in all solution-processed oxide thin-film transistors. Appl. Phys. A 2016, 122, 623. [Google Scholar] [CrossRef]
- Kurisawa, I.; Shiomi, M.; Ohsumi, S.; Iwata, M.; Tsubota, M. Development of positive electrodes with an SnO2 coating by applying a sputtering technique for lead-acid batteries. J. Power Sour. 2001, 95, 125–129. [Google Scholar] [CrossRef]
- Yu, S.; Yang, W.; Li, L.; Zhang, W. Improved chemical stability of ITO transparent anodes with a SnO2 buffer layer for organic solar cells. Sol. Energy Mater. Sol. Cells 2016, 144, 652–656. [Google Scholar] [CrossRef]
- Luo, J.; Xu, C. XPS examination of tin oxide on float glass surface. J. Non-Cryst. Solids. 1990, 119, 37–40. [Google Scholar]
- Stranick, M.A.; Moskwa, A. SnO2 by XPS. Surf. Sci. Spectra 1993, 2, 50–54. [Google Scholar] [CrossRef]
- Oh, C.; Jang, H.; Kim, H.W.; Jung, H.; Park, H.; Cho, J.; Kim, B.S. Influence of oxygen partial pressure in In-Sn-Ga-O thin-film transistors at a low temperature. J. Alloys Compd. 2019, 805, 211–217. [Google Scholar] [CrossRef]






| Function Layer | Cytop Drop Spacing (μm) | Precursor ink Drop Spacing (μm) | Annealing Temperature (°C) | Annealing Time (h) |
|---|---|---|---|---|
| InGaSnO | 50 | 20 | 350 | 1 |
| AlOx | 10 | 5 | 350 | 1 |
| ITO gate | 40 | 25 | 350 | 1 |
| Temperature | Active Layer | Etching Rate |
|---|---|---|
| Room temperature | InGaO | 0.1 nm/min |
| InGaSnO | 0.05 nm/min | |
| 100 °C | InGaO | 10 nm/min |
| InGaSnO | 3 nm/min |
© 2020 by the authors. Licensee MDPI, Basel, Switzerland. This article is an open access article distributed under the terms and conditions of the Creative Commons Attribution (CC BY) license (http://creativecommons.org/licenses/by/4.0/).
Share and Cite
Chen, S.; Li, Y.; Lin, Y.; He, P.; Long, T.; Deng, C.; Chen, Z.; Chen, G.; Tao, H.; Lan, L.; et al. Inkjet-Printed Top-Gate Thin-Film Transistors Based on InGaSnO Semiconductor Layer with Improved Etching Resistance. Coatings 2020, 10, 425. https://doi.org/10.3390/coatings10040425
Chen S, Li Y, Lin Y, He P, Long T, Deng C, Chen Z, Chen G, Tao H, Lan L, et al. Inkjet-Printed Top-Gate Thin-Film Transistors Based on InGaSnO Semiconductor Layer with Improved Etching Resistance. Coatings. 2020; 10(4):425. https://doi.org/10.3390/coatings10040425
Chicago/Turabian StyleChen, Siting, Yuzhi Li, Yilong Lin, Penghui He, Teng Long, Caihao Deng, Zhuo Chen, Geshuang Chen, Hong Tao, Linfeng Lan, and et al. 2020. "Inkjet-Printed Top-Gate Thin-Film Transistors Based on InGaSnO Semiconductor Layer with Improved Etching Resistance" Coatings 10, no. 4: 425. https://doi.org/10.3390/coatings10040425
APA StyleChen, S., Li, Y., Lin, Y., He, P., Long, T., Deng, C., Chen, Z., Chen, G., Tao, H., Lan, L., & Peng, J. (2020). Inkjet-Printed Top-Gate Thin-Film Transistors Based on InGaSnO Semiconductor Layer with Improved Etching Resistance. Coatings, 10(4), 425. https://doi.org/10.3390/coatings10040425

