In-Situ Ellipsometric Study of the Optical Properties of LTL-Doped Thin Film Sensors for Copper(II) Ion Detection
Abstract
1. Introduction
2. Materials and Methods
2.1. Synthesis and Characterisation of LTL-Type Zeolite Nanoparticles
2.2. Preparation of TEOS-LTL Films
2.3. Ellipsometric Characterization
2.3.1. Single Wavelength Ellipsometry Experiments
2.3.2. Spectroscopic Ellipsometry Experiments
3. Results and Discussion
3.1. Characterisation of the LTL Nanocrystals
3.2. Single Wavelength Ellipsometric Studies
3.2.1. Dynamic Studies of Film n and d due to Exposure to Water
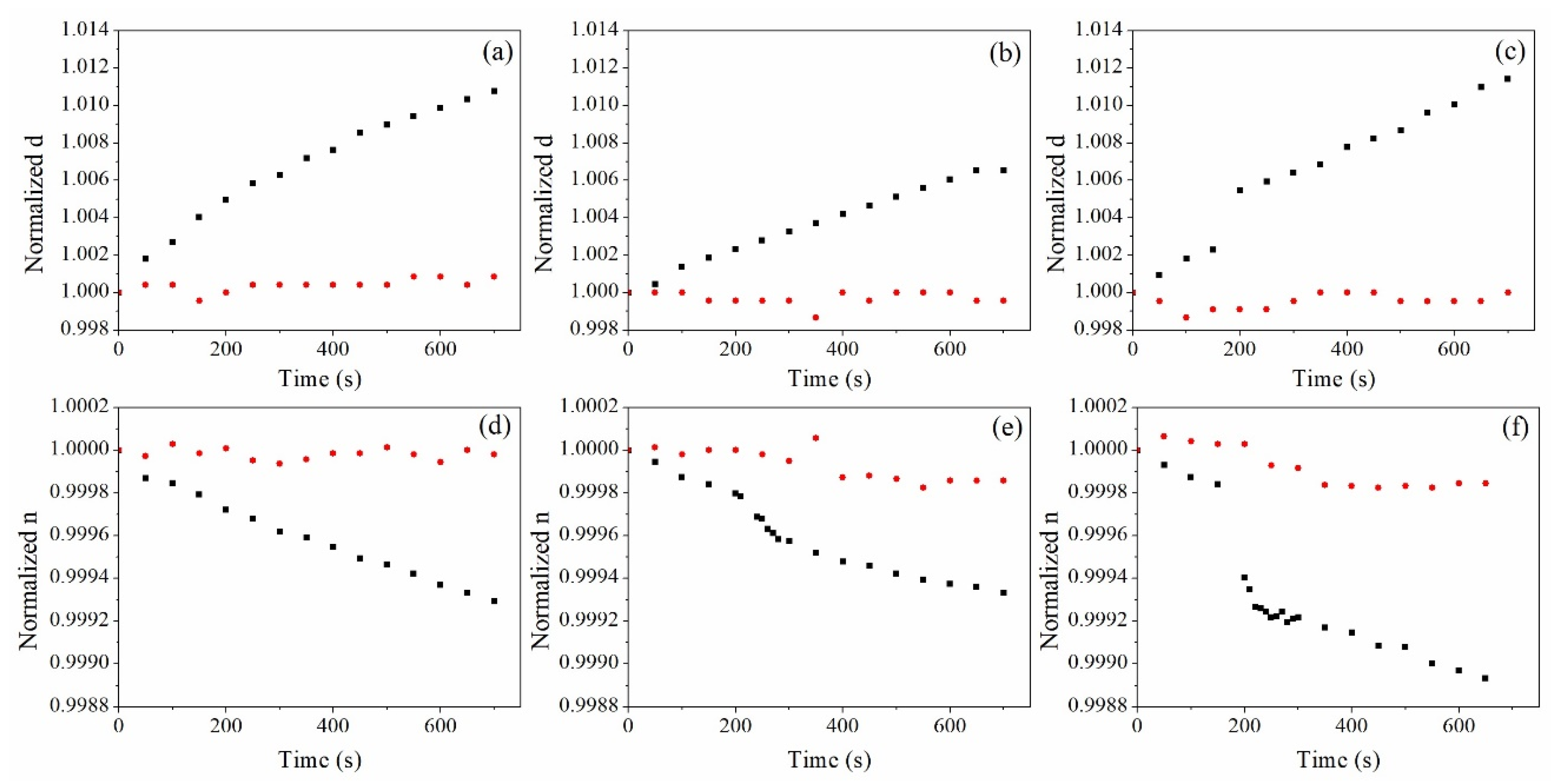
3.2.2. Dynamics Studies of Film n and d due to Exposure to Copper Ions in Water
3.3. Spectroscopic Ellipsometric Studies
3.3.1. Studies of Film n and d due to Exposure to Water
3.3.2. Studies of Film n and d due to Exposure to Copper Ions in Water
4. Conclusions
Supplementary Materials
Author Contributions
Funding
Acknowledgments
Conflicts of Interest
References
- Castell, N.; Dauge, F.R.; Schneider, P.; Vogt, M.; Lerner, U.; Fishbain, B.; Broday, D.; Bartonova, A. Can commercial low-cost sensor platforms contribute to air quality monitoring and exposure estimates? Environ. Int. 2017, 99, 293–302. [Google Scholar] [CrossRef] [PubMed]
- Yousefi, H.; Su, H.M.; Imani, S.M.; Alkhaldi, K.; Filipe, C.D.M.; Didar, T.F. Intelligent food packaging: A review of smart sensing technologies for monitoring food quality. ACS Sens. 2019, 4, 808–821. [Google Scholar] [CrossRef] [PubMed]
- Kim, J.; Campbell, A.S.; de Ávila, B.E.; Wang, J. Wearable biosensors for healthcare monitoring. Nat. Biotechnol. 2019, 37, 389–406. [Google Scholar] [CrossRef] [PubMed]
- Afsarimanesh, N.; Mukhopadhyay, S.C.; Kruger, M. Sensing technologies for monitoring of bone-health: A review. Sens. Actuators A Phys. 2018, 274, 165–178. [Google Scholar] [CrossRef]
- Nascetti, A.; Mirasoli, M.; Marchegiani, E.; Zangheri, M.; Costantini, F.; Porchetta, A.; Iannascoli, L.; Lovecchio, N.; Caputo, D.; de Cesare, G.; et al. Integrated chemiluminescence-based lab-on-chip for detection of life markers in extraterrestrial environments. Biosens. Bioelectron. 2019, 123, 195–203. [Google Scholar] [CrossRef] [PubMed]
- Raman, C.V.; Nagendra Nath, N.S. The diffraction of light by high frequency sound waves: Part 1. Proc. Indian Acad. Sci. A 1935, 32, 406–412. [Google Scholar] [CrossRef]
- Gul, S.E.; Cody, D.; Kharchenko, A.; Martin, S.; Mintova, S.; Cassidy, J.; Naydenova, I. LTL type nanozeolites utilized in surface photonics structures for environmental sensors. Microporous Mesoporous Mater. 2018, 261, 268–274. [Google Scholar] [CrossRef]
- Nestler, P.; Helm, C.A. Determination of refractive index and layer thickness of nm-thin films via ellipsometry. Opt. Express 2017, 25, 27077–27085. [Google Scholar] [CrossRef] [PubMed]
- Harke, M.; Teppner, R.; Schulz, O.; Motschmann, H.; Orendi, H. Description of a single modular optical setup for ellipsometry, surface plasmons, waveguide modes, and their corresponding imaging techniques including Brewster angle microscopy. Rev. Sci. Instrum. 1997, 68, 3130–3134. [Google Scholar] [CrossRef]
- Arwin, H. Is ellipsometry suitable for sensor applications? Sens. Actuators A Phys. 2001, 92, 43–51. [Google Scholar] [CrossRef]
- Moirangthem, R.S.; Chang, Y.C.; Hsu, S.H.; Wei, P.K. Surface plasmon resonance ellipsometry based sensor for studying biomolecular interaction. Biosens. Bioelectron. 2010, 25, 2633–2638. [Google Scholar] [CrossRef] [PubMed]
- Hölzl, M.; Mintova, S.; Bein, T. Colloidal LTL zeolite synthesized under microwave irradiation. Surf. Sci. Catal. 2005, 158, 11–18. [Google Scholar]
- Jaiswal, S.; McHale, P.; Duffy, B. Preparation and rapid analysis of antibacterial silver, copper and zinc doped sol-gel surfaces. Coll. Surf. B Biointerf. 2012, 94, 170–176. [Google Scholar] [CrossRef] [PubMed]
- Pristinski, D.; Kozlovskaya, V.; Sukhishvili, S.A. Determination of film thickness and refractive index in one measurement of phase-modulated ellipsometry. JOSA A 2006, 23, 2639–2644. [Google Scholar] [CrossRef] [PubMed]
- Adachi, S. Model dielectric constants of Si and Ge. Phys. Rev. B 1988, 38, 12966. [Google Scholar] [CrossRef] [PubMed]
- Babeva, T.; Awala, H.; Vasileva, M.; Fallah, J.; El Lazarova, K.; Thomas, S.; Mintova, S. Zeolite films as building blocks for antireflective coatings and vapor responsive Bragg stacks. Dalton Trans. 2014, 43, 8868–8876. [Google Scholar] [CrossRef] [PubMed]
- Chah, S.; Yi, J.; Zare, R.N. Surface plasmon resonance analysis of aqueous mercuric ions. Sens. Actuators B 2004, 99, 216–222. [Google Scholar] [CrossRef]






| Film Type | 90 s | 500 s | 1000 s | Δd (%) |
|---|---|---|---|---|
| TEOS (170 °C) | 159 | 159.7 | 159.9 | 0.57 |
| TEOS (320 °C) | 160.4 | 160.7 | 160.7 | 0.19 |
| TEOS-LTL (170 °C) | 210.6 | 211.1 | 211.3 | 0.33 |
| TEOS-LTL (320 °C) | 195.7 | 195.6 | 195.4 | −0.15 |
© 2020 by the authors. Licensee MDPI, Basel, Switzerland. This article is an open access article distributed under the terms and conditions of the Creative Commons Attribution (CC BY) license (http://creativecommons.org/licenses/by/4.0/).
Share and Cite
Cody, D.; Babeva, T.; Madjarova, V.; Kharchenko, A.; Sabad-e-Gul; Mintova, S.; Barrett, C.J.; Naydenova, I. In-Situ Ellipsometric Study of the Optical Properties of LTL-Doped Thin Film Sensors for Copper(II) Ion Detection. Coatings 2020, 10, 423. https://doi.org/10.3390/coatings10040423
Cody D, Babeva T, Madjarova V, Kharchenko A, Sabad-e-Gul, Mintova S, Barrett CJ, Naydenova I. In-Situ Ellipsometric Study of the Optical Properties of LTL-Doped Thin Film Sensors for Copper(II) Ion Detection. Coatings. 2020; 10(4):423. https://doi.org/10.3390/coatings10040423
Chicago/Turabian StyleCody, Dervil, Tsvetanka Babeva, Violeta Madjarova, Anastasia Kharchenko, Sabad-e-Gul, Svetlana Mintova, Christopher J. Barrett, and Izabela Naydenova. 2020. "In-Situ Ellipsometric Study of the Optical Properties of LTL-Doped Thin Film Sensors for Copper(II) Ion Detection" Coatings 10, no. 4: 423. https://doi.org/10.3390/coatings10040423
APA StyleCody, D., Babeva, T., Madjarova, V., Kharchenko, A., Sabad-e-Gul, Mintova, S., Barrett, C. J., & Naydenova, I. (2020). In-Situ Ellipsometric Study of the Optical Properties of LTL-Doped Thin Film Sensors for Copper(II) Ion Detection. Coatings, 10(4), 423. https://doi.org/10.3390/coatings10040423

