RETRACTED: Functionalization of Silica with Triazine Hydrazide to Improve Corrosion Protection and Interfacial Adhesion Properties of Epoxy Coating and Steel Substrate
Abstract
1. Introduction
2. Materials and Methods
2.1. Materials
2.2. Preparation Methods
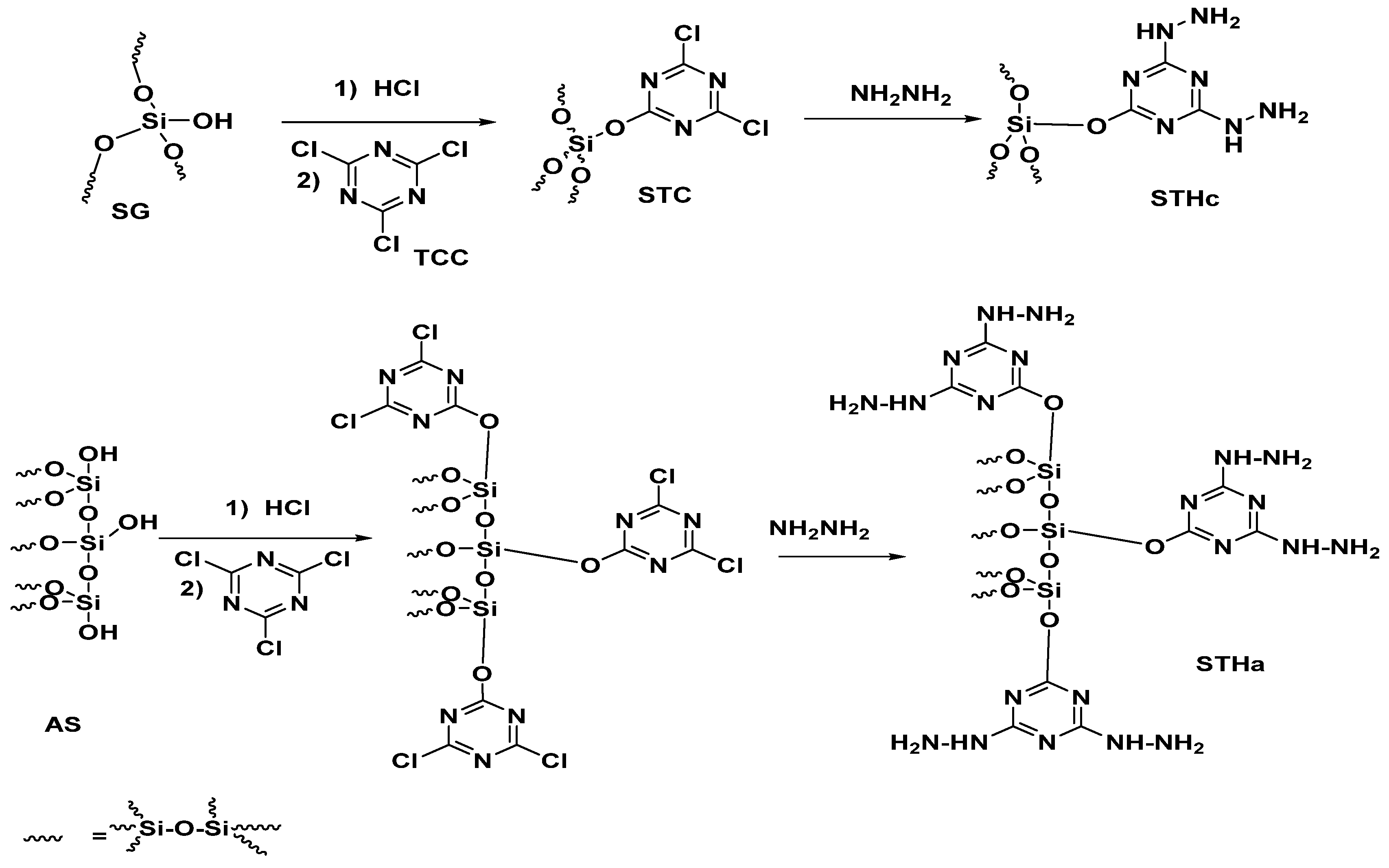
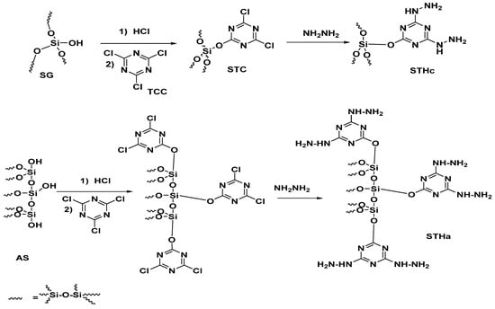
2.2.1. Synthesis of Silica 2,4,6-triazinoxy-1,3-diaminohydrazide (STHc)
2.2.2. Synthesis of Activated Silica 2,4,6-triazinoxy-1,3-diaminohydrazide (STHa)
2.3. Characterization
2.4. Application of Coatings of the Steel Substrate
2.5. Mechanical Properties of Modified Epoxy Coatings
2.6. Corrosion Resistance of Modified Epoxy Coatings
3. Results and Discussion
3.1. Characterization of STHc and STHa
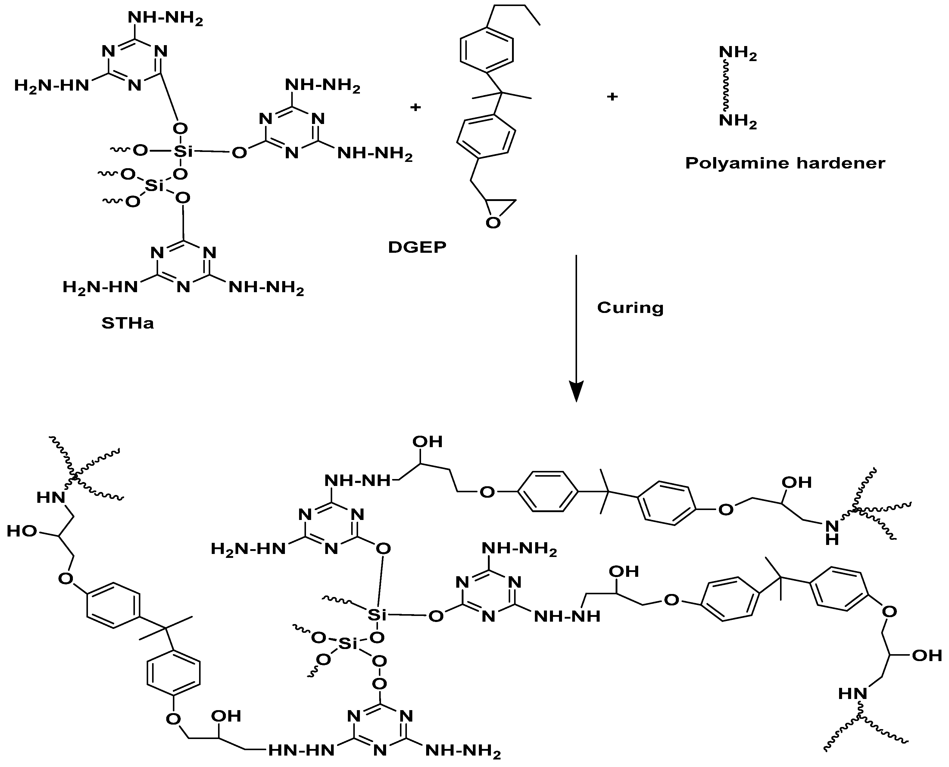
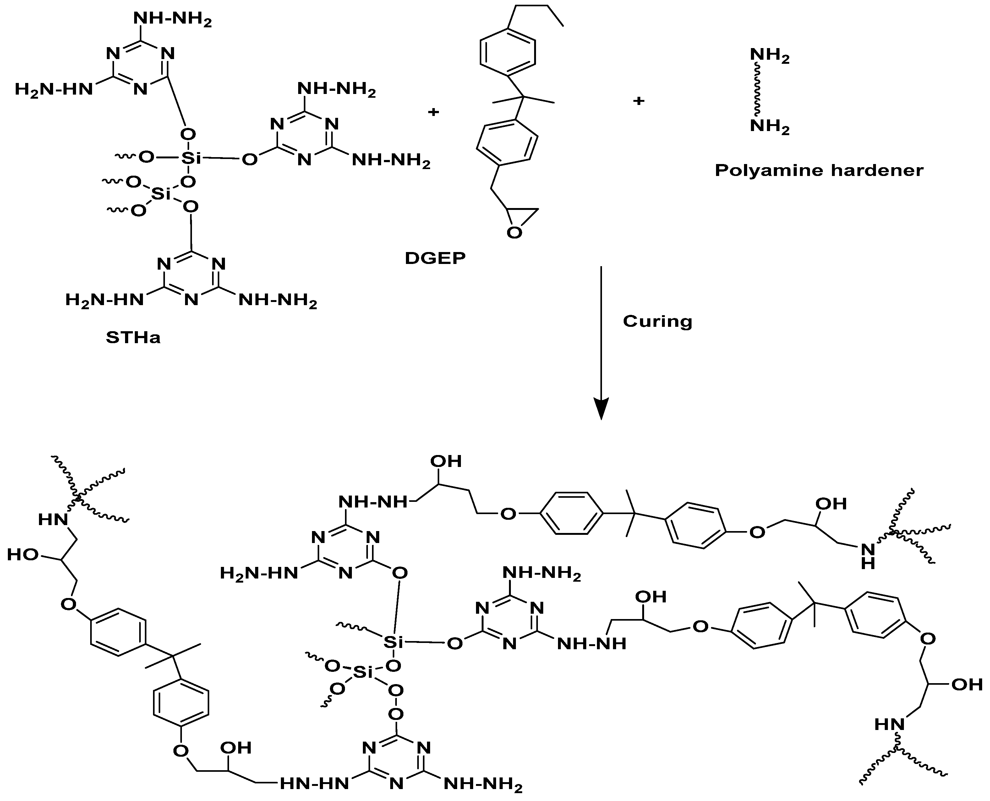
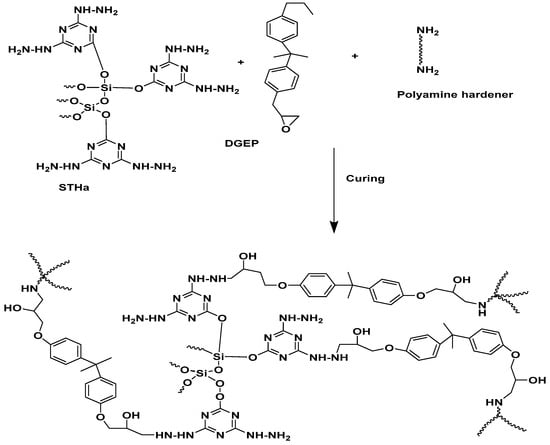
3.2. Curing of STHc and STHa with Epoxy/Polyamine System
3.3. Adhesion and Mechanical Properties of Epoxy
4. Conclusions
Author Contributions
Funding
Acknowledgments
Conflicts of Interest
References
- Liu, X.; Xiong, J.; Lv, Y.; Zuo, Y. Study on corrosion electrochemical behavior of several different coating systems by EIS. Prog. Org. Coat. 2009, 64, 497–503. [Google Scholar] [CrossRef]
- Bera, S.; Rout, T.K.; Udayabhanu, G.; Narayan, R. Water-based & amp; eco-friendly epoxy-silane hybrid coating for enhanced corrosion protection & amp; adhesion on galvanized steel. Prog. Org. Coat. 2016, 101, 24–44. [Google Scholar]
- Niroumandrad, S.; Rostami, M.; Ramezanzadeh, B. Effects of combined surface treatments of aluminum nanoparticle on its corrosion resistance before and after inclusion into an epoxy coating. Prog. Org. Coat. 2016, 101, 486–501. [Google Scholar] [CrossRef]
- Ramezanzadeh, B.; Rasi, E.; Mahdavian, M. studying various mixtures of 3-aminopropyltriethoxysilane (APS) and tetraethylorthosilicate (TEOS) silanes on thecorrosion resistance of mild steel and adhesion properties of epoxy coating. Int. J. Adhes. Adhes. 2015, 63, 166–176. [Google Scholar] [CrossRef]
- González-García, Y.; González, S.; Souto, R.M. Electrochemical and structural Properties of a polyurethane coating on steel substrates for corrosion protection. Corros. Sci. 2007, 49, 3514–3526. [Google Scholar] [CrossRef]
- Ramezanzadeh, B.; Attar, M.M. An evaluation of the corrosion resistance and Adhesion properties of an epoxy-nanocomposite on a hot-dip galvanized steel (HDG) treated by different kinds of conversion coatings. Surf. Coat. Tech. 2011, 205, 4649–4657. [Google Scholar] [CrossRef]
- Parhizkar, N.; Shahrabi, T.; Ramezanzadeh, B.B. A new approach for enhancement of the corrosion protection properties and interfacial adhesion bonds between the epoxy coating and steel substrate through surface treatment by covalently modified amino functionalized graphene oxide film. Corros. Sci. 2017, 123, 55–75. [Google Scholar] [CrossRef]
- Ramezanzadeh, B.; Ahmadi, A.; Mahdavian, M. Enhancement of the corrosion protection performance and cathodic delamination resistance of epoxy coating through treatment of steel substrate by a novel nanometric sol-gel based silane composite film filled with functionalized graphene oxide nanosheets. Corros. Sci. 2016, 109, 182–205. [Google Scholar] [CrossRef]
- Tong, L.B.; Zhang, J.B.; Xu, C.; Wang, X.; Song, S.Y.; Jiang, Z.H.; Kamado, S.; Cheng, L.R.; Zhang, H.J. Enhanced corrosion and wear resistances by graphene oxide coating on the surface of Mg-Zn-Ca alloy. Carbon 2016, 109, 340–351. [Google Scholar] [CrossRef]
- Atta, A.M.; Ezzat, A.O.; El-Saeed, A.M.; Tawfeek, A.M.; Sabeela, N.I. Self-healing of chemically bonded hybrid silica/epoxy for steel Coating. Prog. Org. Coat. 2020, 141, 105549. [Google Scholar] [CrossRef]
- Atta, A.M.; Ezzat, A.O.; El-Saeed, A.M.; Abdallah, M.S. Superhydrophobic organic and inorganic clay nanocomposites for epoxy steel coatings. Prog. Org. Coat. 2020, 140, 105502. [Google Scholar] [CrossRef]
- Atta, A.M.; Al-Lohedan, H.A.; Ezzat, A.O.; Al-Hussain, S.A. Characterization of superhydrophobic epoxy coatings embedded by modified calcium carbonate nanoparticles. Prog. Org. Coat. 2016, 101, 577–586. [Google Scholar] [CrossRef]
- Ramezanz, B.; Niroumandrad, S.; Ahmadi, A.; Mahdavian, M.; Moghadam, M.M. Enhancement of barrier and corrosion protection performance of an epoxy coating through wet transfer of amino functionalized graphene oxide. Corros. Sci. 2016, 103, 283–304. [Google Scholar] [CrossRef]
- Chruściel, J.J.; Leśniak, E. Modification of epoxy resins with functional silanes, polysiloxanes, silsesquioxanes, silica and silicates. Prog. Polym. Sci. 2015, 41, 67–121. [Google Scholar]
- Materne, T.; debuyl, F.; Witucki, G.L. Organosilane Technology in Coating Applications: Review and Perspectives; Dow Corning Corporation: Midland, ML, USA, 2012; 26-1402A-01; pp. 1–16. [Google Scholar]
- Chen, L.; Zhou, S.; Song, S.; Zhang, B.; Gu, G. Preparation and anticorrosive performances of polysiloxane-modified epoxy coatings based on polyamino propyl methyl siloxane-containing amine curing agent. J. Coat. Technol. Res. 2011, 8, 481–487. [Google Scholar] [CrossRef]
- Pant, R.R.; Buckley, J.L.; Fulmer, P.A.; Wynne, J.H.; McCluskey, D.M.; Phillips, J.P. Hybrid siloxane epoxy coatings containing quaternary ammonium moieties. J. Appl. Polym. Sci. 2008, 110, 3080–3086. [Google Scholar] [CrossRef]
- Yeh, J.M.; Huang, H.Y.; Chen, C.L.; Su, W.F.; Yu, Y.H. Siloxane-modified epoxy resin–clay nano-composite coatings with advanced anticorrosive properties prepared by a solution dispersion approach. Surf. Coat. Technol. 2006, 200, 2753–2760. [Google Scholar] [CrossRef]
- Gao, J.; Kong, D.; Zhao, H.; Li, S. Curing kinetics, thermal, mechanical, and dielectric properties based on o-cresol formaldehyde epoxy resin with polyhedral oligomeric (N-aminoethyl-aminopropyl)-silsesquioxane. Polym. Adv. Technol. 2011, 22, 1395–1402. [Google Scholar] [CrossRef]
- Zandi-zand, R.; Ershad-langroudi, A.; Rahimi, A. Silica based organic–inorganic hybrid nanocomposite coatings for corrosion protection. Prog. Org. Coat. 2005, 53, 286–291. [Google Scholar] [CrossRef]
- Zhang, W.; Wang, F.; Zhang, Y.; Zhao, W.; Guo, Y.; Wen, W.; Zhang, S. 1, 3, 5-Triazine tetradaza cyclophanes coated silica as a novel stationary phase for high performance liquid chromatography. Sep. Purif. Technol. 2019, 211, 227–232. [Google Scholar] [CrossRef]
- Taheri, R.; Bahramifar, N.; Zarghami, M.R.; Javadian, H.; Mehraban, Z. Nanospace engineering and functionalization of MCM-48 mesoporous silica with dendrimer amines based on [1,3,5]triazines for selective and pH-independent sorption of silver ions from aqueous solution and electroplating industry wastewater. Powder Technol. 2017, 321, 44–54. [Google Scholar] [CrossRef]
- Ji, L.; Gu, A.; Liang, G.; Yuan, L. Novel modification of bismal-eimide–triazine resin by reactive hyper branched polysiloxane. J. Mat. Sci. 2010, 45, 1859–1865. [Google Scholar] [CrossRef]
- Atta, A.M.; El-Faham, A.; Al-Lohedan, H.A.; AL Othman, Z.A.; Ezzat, A.O. Modified triazine decorated with Fe3O4 and Ag/Ag2O nanoparticles for self-healing of steel epoxy coatings in seawater. Prog. Org. Coat. 2018, 121, 247–262. [Google Scholar] [CrossRef]
- El-Faham, A.; Atta, A.M.; Osman, S.M.; Ezzat, A.O.; Al-Lohedan, H.A. Silver-embedded epoxy nanocomposites as organic coatings for steel. Prog. Org. Coat. 2018, 123, 209–222. [Google Scholar] [CrossRef]
- Misra, B.; Jal, K.; Patel, P.K.S. Chemical modification of silica surface by immobilization of functional groups for extractive concentration of metal Ions. Talanta 2004, 62, 1005–1028. [Google Scholar]
- Zhang, N.; Suleiman, J.S.; He, M.; Hu, B. Chromium(III)-imprinted silica gel for speciation analysis of chromium in environmental water samples with ICP-MS detection. Talanta 2008, 75, 536–543. [Google Scholar] [CrossRef]
- Li, J.; Wang, S.; Liao, L.; Ma, Q.; Zhang, Z.; Fan, G. Stabilization of an intermolecular hydrogen-bond block in an s-triazine insensitive high-energy material. New J. Chem. 2019, 43, 10675–10679. [Google Scholar] [CrossRef]
- Wu, H.; Hu, R.; Zeng, B.; Yang, L.; Chen, T.; Zheng, W.; Liu, X.; Luo, W.; Da, L. Synthesis and application of amino phenyl-S-triazine derivatives as potential flame retardants in the modification of epoxy resins. RSC Adv. 2018, 8, 37631–37642. [Google Scholar] [CrossRef]
- Atta, A.M.; Abdel-Raouf, M.E.; Elsaeed, S.M. Curable resins based on recycled poly(ethylene terephthalate) for coating applications. Prog. Org. Coat. 2006, 55, 50–59. [Google Scholar] [CrossRef]
- Afonso, C.A.M.; Lourenço, N.M.T.; Rosatella, A.A. Synthesis of 2,4,6-Tri-substituted-1,3,5-Triazines. Molecules 2006, 11, 81–102. [Google Scholar] [CrossRef]
- Ochi, M.; Takahashi, R. Phase structure and thermo mechanical properties of primary and tertiary amine-cured epoxy/silica hybrids. J. Polym. Sci. B Polym. Phys. 2001, 9, 1071–1084. [Google Scholar] [CrossRef]
- Liu, P.; He, L.; Ding, H.; Liu, J.; Yi, X. Morphology of epoxy resin modified with silyl-crosslinked urethane elastomer. J. Appl. Polym. Sci. 2005, 97, 611–619. [Google Scholar] [CrossRef]
- Mascia, L.; Tang, T. Curing and morphology of epoxy resin–silicahybrids. J. Mater. Chem. 1998, 8, 2417–2421. [Google Scholar] [CrossRef]
- Atta, A.M.; Al-Lohedan, H.A.; Al-Hussain, S.A. Synthesis of stabilized myrrh-capped hydrocolloidal magnetite nanoparticles. Molecules 2014, 19, 11263–11278. [Google Scholar] [CrossRef] [PubMed]
- Tsujimoto, T.; Uyama, H.; Kobayashi, S. Green Nano composites from renewable resources: Biodegradable plant oil-silica hybrid coatings. Macromol. Rapid Commun. 2003, 24, 711–714. [Google Scholar] [CrossRef]
- Bauer, B.J.; Liu, D.W.; Jackson, C.L.; Barnes, J.D. Epoxy/SiO2interpenetrat-ing polymer networks. Polym. Adv. Technol. 1996, 7, 333–339. [Google Scholar] [CrossRef]
- Atta, A.M.; Abdel-Azim, A.-A.A. Effect of Cross linker Functionality on Swelling and Network Parameters of Copolymer Hydrogels. Polym. Adv. Technol. 1998, 9, 340–348. [Google Scholar] [CrossRef]
- Afzal, A.; Siddiqi, H.M.; Iqbal, N.; Ahmad, Z. The effect of SiO2 filler content and its organic compatibility on thermal stability of epoxyresin. J. Therm. Anal. Calorim. 2013, 111, 247–252. [Google Scholar] [CrossRef]
- Rong, M.Z.; Zhang, M.Q.; Ruan, W.H. Surface modification of nanoscale fillers for improving properties of polymer nanocomposites. A Rev. Mat. Sci. Tech. 2006, 22, 787–796. [Google Scholar] [CrossRef]
- Saviour, A.U.; Eduok, U.M. Application of carbohydrate polymers as corrosion inhibitors for metal substrates in different media: A review. Carbohydr. Polym. 2016, 140, 314–341. [Google Scholar]
- Ghiyasi, S.; Sari, M.G.; Shabanian, M.; Hajibeygi, M.; Zarrintaj, P.; Rallini, M.; Torre, L.; Puglia, D.; Vahab, H.; Jouyande, M.; et al. Hyperbranched poly(ethyleneimine) physically attached to silica nanoparticles to facilitate curing of epoxy nanocomposite coatings. Prog. Org. Coat. 2018, 120, 100–109. [Google Scholar] [CrossRef]
- Isin, D.; Apohan, N.; Güng, A. Preparation and characterization of UV-curable epoxy/silica nanocomposite coatings. Prog. Org. Coat. 2009, 65, 477–483. [Google Scholar] [CrossRef]
- Bohm, S.; McMurray, H.N.; Powell, S.M.; Worsley, D.A. Novel environment friendly corrosion inhibitor pigments based on naturally occurring clay minerals. Mater. Corros. 2001, 52, 896. [Google Scholar] [CrossRef]
- Abdollahi, H.; Langroudi, A.E.; Salimi, A.; Rahimi, A. Anticorrosive coatings prepared using epoxy-silica hybrid nanocomposite materials. Ind. Eng. Chem. Res. 2014, 53, 10858–10869. [Google Scholar] [CrossRef]
- Yu, Y.H.; Lin, Y.Y.; Lin, C.H.; Chan, C.C.; Huang, Y.C. High performance polystyrene/graphene-based nanocomposites with excellent anti-corrosion properties. Polym. Chem. 2014, 5, 535–550. [Google Scholar] [CrossRef]
- Tavandashti, N.; Sanjabi, S. Corrosion study of hybrid sol–gel coatings containing boehmite nanoparticles loaded with cerium nitrate corrosion inhibitor. Prog. Org. Coat. 2010, 69, 384–391. [Google Scholar] [CrossRef]
- Brusciotti, F.; Snihirova, D.V.; Xue, H.; Montemor, M.F.; Lamaka, S.V.; Ferreira, M.G. Hybrid epoxy–silane coatings for improved corrosion protection of Mg alloy. Corros. Sci. 2013, 67, 82–90. [Google Scholar] [CrossRef]
- Sorensen, P.A.; Kiil, S.; Dam-Johansen, K.; Weinell, C.E. Anticorrosive coatings: A review. J. Coat. Technol. Res. 2009, 6, 135–176. [Google Scholar] [CrossRef]
- Singhbabu, Y.N.; Sivakumar, B.; Singh, J.K.; Bapari, H.; Pramanick, A.K.; Sahu, R.K. Efficient anti-corrosive coating of cold-rolled steel in a seawater environment using an oil-based graphene oxide ink. Nanoscale 2015, 7, 8035–8047. [Google Scholar] [CrossRef]
- Ji, W.G.; Hu, J.M.; Liu, L.; Zhang, J.Q.; Cao, C.N. Water uptake of epoxy coatingsmodified with γ-APS silane monomer. Prog. Org. Coat. 2006, 57, 439–443. [Google Scholar] [CrossRef]
- Wang, P.; Schaefer, D.W. Why does silane enhance the protective properties of epoxy films? Langmuir 2008, 24, 13496–13501. [Google Scholar] [CrossRef] [PubMed]
- Pourhashem, S.; Rashidi, A.; Vaezi, M.R.; Bagherzadeh, M.R. Excellent corrosion protection performance of epoxy composite coatings filled with amino-silane functionalized graphene oxide. Surf. Coat. Tech. 2017, 317, 1–9. [Google Scholar] [CrossRef]










| Sample | Weight Contents (Wt.%) | Impact Test (Joule) | Hardness (Newton) | Pull of Test (MP) | Abrasion Resistance mg/1kg Weight for 5000 Cycles Weight Loss (mg) |
|---|---|---|---|---|---|
| blank | 0 | 5.0 ± 0.2 | 8.0 ± 0.8 | 5.0 ± 1.3 | 85 ± 2 |
| Epoxy/SG | 1.0 | 6.0 ± 0.5 | 10.4 ± 0.2 | 5.5 ± 0.5 | 40 ± 1 |
| 3.0 | 6.3 ± 0.1 | 11.3 ± 0.3 | 6.4 ± 0.2 | 45 ± 2 | |
| 5.0 | 6.0 ± 0.2 | 9.5 ± 0.1 | 5.4 ± 0.2 | 49 ± 2 | |
| Epoxy/AS | 1.0 | 10.0 ± 0.8 | 12.3 ± 0.1 | 7.4 ± 0.5 | 10 ± 1 |
| 3.0 | 14.0 ± 0.8 | 14.6 ± 0.4 | 8.5 ± 0.4 | 8 ± 1 | |
| 5.0 | 12.0 ± 1.2 | 13.8 ± 0.3 | 8.4 ± 0.7 | 4 ± 0.2 | |
| Epoxy/STHa | 1.0 | 12.0 ± 0.7 | 14.3 ± 0.5 | 15.5 ± 1.1 | 15 ± 2 |
| 3.0 | 18.0 ± 0.3 | 17.2 ± 0.1 | 22.8 ± 1.9 | 4 ± 1 | |
| 5.0 | 16.0 ± 0.9 | 15.3 ± 0.5 | 20.3 ± 1.1 | 15 ± 3 | |
| Epoxy/STHc | 1.0 | 14.0 ± 1.4 | 15.3 ± 0.4 | 12.3 ± 1.5 | 20 ± 2 |
| 3.0 | 20.0 ± 1.5 | 18.4 ± 0.5 | 16.4 ± 0.7 | 10 ± 1 | |
| 5.0 | 21.0 ± 1.1 | 20.2 ± 0.2 | 18.5 ± 0.8 | 8 ± 1 |
| Epoxy Composites | Weight Contents (wt.%) | Exposure Time (hours) | Disbonded Area % | Rating Number (ASTM D1654) |
|---|---|---|---|---|
| blank | 0 | 500 | 20 | 5 |
| Epoxy/SG | 1.0 | 650 | 5 | 7 |
| 3.0 | 650 | 3 | 8 | |
| 5.0 | 650 | 5 | 7 | |
| Epoxy/AS | 1.0 | 750 | 5 | 7 |
| 3.0 | 750 | 3 | 8 | |
| 5.0 | 750 | 4 | 8 | |
| Epoxy/STHa | 1.0 | 1750 | 6 | 7 |
| 3.0 | 1750 | 3 | 8 | |
| 5.0 | 1750 | 4 | 8 | |
| Epoxy/STHc | 1.0 | 2000 | 5 | 7 |
| 3.0 | 2000 | 1 | 9 | |
| 5.0 | 2000 | 3 | 8 |
© 2020 by the authors. Licensee MDPI, Basel, Switzerland. This article is an open access article distributed under the terms and conditions of the Creative Commons Attribution (CC BY) license (http://creativecommons.org/licenses/by/4.0/).
Share and Cite
Atta, A.M.; Ahmed, M.A.; Tawfek, A.M.; El-Faham, A. RETRACTED: Functionalization of Silica with Triazine Hydrazide to Improve Corrosion Protection and Interfacial Adhesion Properties of Epoxy Coating and Steel Substrate. Coatings 2020, 10, 351. https://doi.org/10.3390/coatings10040351
Atta AM, Ahmed MA, Tawfek AM, El-Faham A. RETRACTED: Functionalization of Silica with Triazine Hydrazide to Improve Corrosion Protection and Interfacial Adhesion Properties of Epoxy Coating and Steel Substrate. Coatings. 2020; 10(4):351. https://doi.org/10.3390/coatings10040351
Chicago/Turabian StyleAtta, Ayman M., Mona A. Ahmed, Ahmed M. Tawfek, and Ayman El-Faham. 2020. "RETRACTED: Functionalization of Silica with Triazine Hydrazide to Improve Corrosion Protection and Interfacial Adhesion Properties of Epoxy Coating and Steel Substrate" Coatings 10, no. 4: 351. https://doi.org/10.3390/coatings10040351
APA StyleAtta, A. M., Ahmed, M. A., Tawfek, A. M., & El-Faham, A. (2020). RETRACTED: Functionalization of Silica with Triazine Hydrazide to Improve Corrosion Protection and Interfacial Adhesion Properties of Epoxy Coating and Steel Substrate. Coatings, 10(4), 351. https://doi.org/10.3390/coatings10040351

