Effect of Nano-MgO Particles Doping on Breakdown Characteristics of Polypropylene
Abstract
1. Introduction
2. Experimental Method and Samples Preparation
2.1. Experimental Materials and Instruments
2.2. Samples Preparation
2.3. Microstructure Characteristics and Macroscopic Test
2.3.1. PLM Test
2.3.2. DSC Test
2.3.3. Breakdown Test
3. Experimental Result and Analysis
3.1. PLM Characterization of MgO/PP Composites
3.2. DSC Characterization of MgO/PP Composites
3.3. Breakdown Test of MgO/PP Composites
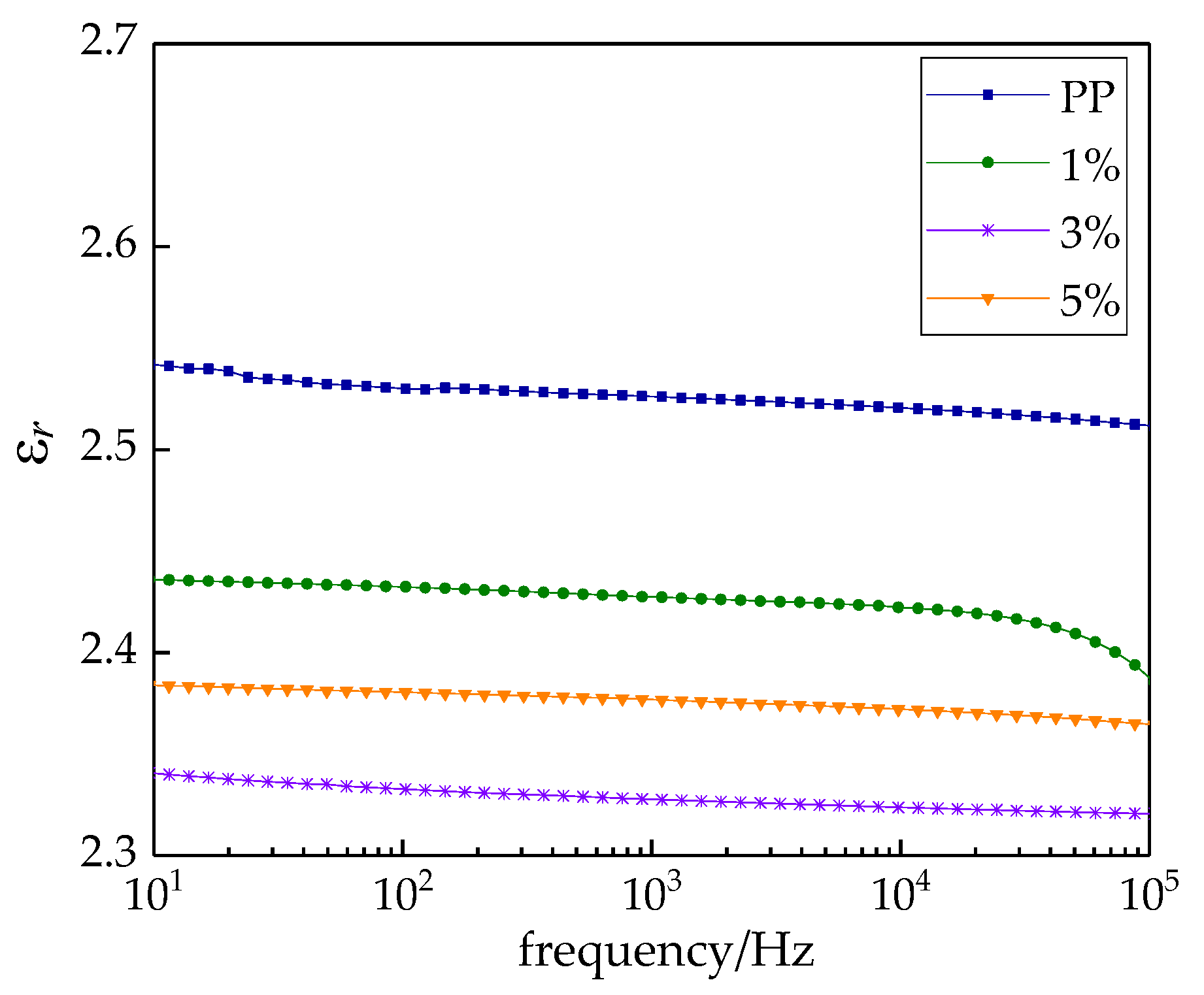
3.4. Dielectric Frequency Spectra Test of MgO/PP Composite
4. Conclusions
- The crystalline morphology of different samples was observed by PLM. Nano-MgO particle doping acted as an anisotropic nucleating agent, which changed the original crystalline structure of PP. With moderate nano-MgO particle doping, the particles’ dispersion in PP matrix was better. The crystalline structure of composites was uniform and close. Additionally, the crystal size reduced, and the crystal quantity per unit space increased.
- Nano-MgO particle doping changed the ordered arrangement degree of molecular chains in PP crystallization. The PP crystallization was converted from complete large spherulitic crystal structure to a fasciculation crystal structure. The Maltese cross extinction patterns were increasingly blurred in PLM patterns. Because of the crystal nucleation centers increasing and the crystalline structure changing, the crystallization rate and the crystallinity of nano-MgO/PP composites were improved.
- According to the power frequency AC breakdown test, different mass fractions of nano-MgO particle doping improved the breakdown field strength of PP with varying degrees. Among them, when the nano-MgO particle mass fraction was 3%, the breakdown field strength of the nanocomposites was the highest and 4.7% higher than that of pure PP.
- According to the dielectric frequency spectra test, the dielectric constants of different nanocomposites were lower than that of pure PP. For all test frequencies, the loss angle tangent values of composites were higher than that of pure PP. Among them, when the nano-MgO particles mass fraction was 3%, the dielectric constant of the nano-MgO/PP composite was closest to that of pure PP.
Author Contributions
Funding
Acknowledgments
Conflicts of Interest
References
- Zhou, Y.; Liu, R.; Zhang, Y.; Zhao, J.K.; Chen, Z.Z. Key technical analysis and prospect of high voltage and extra-high voltage power cable. High Volt. Eng. 2014, 9, 1–14. [Google Scholar]
- Liao, R.; Zhou, T.; Liu, L.; Zhou, Q. Experimental research on electrical treeing and partial discharge characteristics of cross-linked polyethylene power cables. Proc. CSEE 2011, 31, 137–142. [Google Scholar]
- Chen, X.; Xu, Y. Effect of tree channel conductivity on electrical tree shape and breakdown in XLPE cable insulation samples. IEEE Trans. Dielectr. Electr. Insul. 2011, 18, 847–858. [Google Scholar] [CrossRef]
- Luo, Y.; Wu, G.; Peng, J.; Zhang, Y.; Xu, H.; Wang, P. Research progress on interface properties of polymer nanodielectrics. High Volt. Eng. 2012, 38, 2455–2464. [Google Scholar]
- Montanari, G.C.; Fabiani, D.; Palmieri, F.; Kaempfer, D.; Thomann, R.; Mulhaupt, R. Modification of electrical properties and performance of EVA and PP insulation through nanostructure by organophilic silicates. IEEE Trans. Dielectr. Electr. Insul. 2004, 11, 754–762. [Google Scholar] [CrossRef]
- Tanaka, T.; Montanari, G.C.; Mulhaupt, R. Polymer nanocomposites as dielectrics and electrical insulation: Perspectives for processing technologies, material characterization, and future applications. IEEE Trans. Dielectr. Electr. Insul. 2004, 11, 763–784. [Google Scholar] [CrossRef]
- Calebrese, C.; Le, H.; Linda, S.S.; Nelson, J.K. A review on the importance of nanocomposite processing to enhance electrical insulation. IEEE Trans. Dielectr. Electr. Insul. 2011, 18, 938–945. [Google Scholar] [CrossRef]
- Nelson, J.K.; Fothergill, J.C.; Dissado, L.A.; Peasgood, W. Towards an understanding of nanometric dielectrics. In Proceedings of the Annual Conference on Electrical Insulation and Dielectric Phenomena (CEIDP), Cancim, Mexico, 20–24 October 2002. [Google Scholar]
- Dissado, L.A.; Fothergill, J.C. Dielectrics and nanotechnology. IEEE Trans. Dielectr. Electr. Insul. 2004, 11, 737–738. [Google Scholar] [CrossRef]
- Nelson, J.K.; Utracki, L.A.; MacCrone, R.K.; Reed, C.W. Role of the interface in determining the dielectric properties of nanocomposites. In Proceedings of the IEEE Annual Conference on Electrical Insulation and Dielectric Phenomena, New York, NY, USA, 20 October 2004. [Google Scholar]
- He, J.; Peng, S.; Zhou, Y.; Yang, Y.; Hu, J. Interface Properties of Polymer Nanocomposites. Proc. CSEE 2016, 36, 6596–6605+6911. [Google Scholar]
- Nilboworn, S.; Wounchoum, P.; Wichakool, W.; Thongruang, W. Electrical properties characterization and numerical models of rubber composite at high frequency. Adv. Mater. Res. 2014, 844, 429–432. [Google Scholar] [CrossRef]
- Yu, G.; Cheng, Y.; Zhang, X. The dielectric properties improvement of cable insulation layer by different morphology nanoparticles doping into LDPE. Coatings 2019, 9, 204. [Google Scholar] [CrossRef]
- Zheng, F.; Hao, S.; Wang, W.; Xiao, C.; An, Z.; Zhang, Y. Morphology-related packetlike space-charge behavior in linear low-density polyethylene doped with Al2O3 nanoparticles. Appl. Polym. 2009, 112, 3103–3109. [Google Scholar] [CrossRef]
- Iyer, G.; Gorur, R.S.; Krivda, A. Corona resistance of epoxy nanocomposites: Experimental results and modeling. IEEE Trans. Dielectr. Electr. Insul. 2012, 19, 118–125. [Google Scholar] [CrossRef]
- Li, S.; Xie, D.; Min, D. Numerical simulation on space chagre transport and DC breakdown properties of polypropylene/Al2O3 nanocomposites. Proc. CSEE 2019, 39, 6122–6130. [Google Scholar]
- Yamano, Y. Control of electrical tree at initiation stage in LDPE by mixed addition of Al2O3 nano-particle and azobenzoic compound. IEEE Trans. Dielectr. Electr. Insul. 2014, 21, 209–216. [Google Scholar] [CrossRef]
- Tanaka, Y.; Chen, G.; Zhao, Y.; Davies, A.E.; Vaughan, A.S.; Takada, T. Effect of additives on morphology and space charge accumulation in low density polyethylene. IEEE Trans. Dielectr. Electr. Insul. 2003, 10, 148–154. [Google Scholar] [CrossRef]
- Yan, H.D.; Zhang, C.; Li, W.K.; Zha, J.W. Effect of trap level density on breakdown strength and space charge distribution of polypropylene/low-density polyethylene composites. Polym. Compos. 2020, 41, 780–787. [Google Scholar] [CrossRef]
- Yang, P.; Wang, S.; Chong, J.; Sang, G.H.; Tang, T.L.; Shi, L.W. Effects of MgO additive on microwave dielectric properties of NdNbO4 ceramics. J. Mater. Sci. Mater. Electron. 2020, 31, 785–790. [Google Scholar]
- Takeda, T.; Suzuki, H.; Okamoto, T. Correlation between space charge distribution under DC voltage and dielectric breakdown properties in XLPE under impulse voltage superposed onto DC voltage. In Proceedings of the International Symposium on Electrical Insulating Materials, Himeji, Japan, 22 November 2001. [Google Scholar]
- Hajibeygi, M.; Mousavi, M.; Shabanian, M.; Vahabi, H. The effect of phosphorus based melamine-terephthaldehyde resin and Mg–Al layered double hydroxide on the thermal stability, flame retardancy and mechanical properties of polypropylene MgO composites. Mater. Today Commun. 2020, 23, 100880. [Google Scholar] [CrossRef]
- Zhou, Y.; He, J.; Hu, J.; Dang, B. Surface-modified MgO nanoparticles enhances the mechanical and direct-current electrical characteristics of polypropylene/polyolefin elastomer nanodielectrics. Appl. Polym. 2016, 133, 42863. [Google Scholar] [CrossRef]
- Dang, B.; He, J.; Hu, J.; Zhou, Y. Large improvement in trap level and space charge distribution of polypropylene by enhancing the crystalline-amorphous interface effect in blends. Polym. Int. 2016, 65, 371–379. [Google Scholar] [CrossRef]
- Cheng, Y.; Guo, N.; Wang, R.; Zhang, X.H. Effects of nano-ZnO and nano-montmorillonte on dielectric properties of low density polyethylene. Acta Mater. Compos. Sin. 2015, 32, 94–100. [Google Scholar]
- Cheng, Y.; Zhang, X.; Zhou, X.; Ning, G.; Ru, C.; Tian, Z. Effects of cooling methods on dielectric properties of MMT/LDPE. J. Inorg. Mater. 2015, 30, 1295–1302. [Google Scholar]
- Zheng, J.; Zhou, X.; Xie, X. Non-isothermal crystallization kinetics of polypropylene containing silica hybrid particles as fillers. Acta Mater. Compos. Sin. 2013, 30, 18–23. [Google Scholar]
- Lin, G.; He, H.; Jia, D. Development of the crystallization behavior of polypropylene/layered silicate composites. New Chem. Mater. 2008, 36, 1–3. [Google Scholar]
- Wang, W.; Min, D.; Li, S. Understanding the conduction and breakdown properties of polyethylene nanodielectrics: Effect of deep traps. IEEE Trans. Dielectr. Electr. Insul. 2016, 23, 564–572. [Google Scholar] [CrossRef]
- Cheng, X.; Chen, S.; Wang, X. In the process of polyethylene electrical aging, the influence of nanometer ZnO for space charge and the breakdown characteristics. Insul. Mater. 2008, 41, 44–48. [Google Scholar]
- Li, Z.; Okamoto, K.; Ohki, Y.; Tanaka, T. Effects of nano-filler addition on partial discharge resistance and dielectric breakdown strength of Micro-Al2O3Epoxy composite. IEEE Trans. Dielectr. Electr. Insul. 2010, 17, 653–661. [Google Scholar] [CrossRef]
- Tanaka, T. Dielectric nano-composites with insulating properties. IEEE Trans. Dielectr. Electr. Insul. 2005, 12, 914–928. [Google Scholar] [CrossRef]
- Lewis, T.J. Interfaces: Nanometric dielectrics. J. Phys. D Appl. Phys. 2005, 38, 202–212. [Google Scholar] [CrossRef]







| Sample | Tm (°C) | ΔTc (°C) | Tc (°C) | Xc (%) |
|---|---|---|---|---|
| PP | 173.8 | 15.8 | 118.3 | 46.9 |
| 1% | 174.6 | 14.3 | 122.0 | 47.9 |
| 3% | 176.2 | 12.7 | 125.3 | 49.2 |
| 5% | 174.2 | 13.0 | 120.1 | 48.3 |
© 2020 by the authors. Licensee MDPI, Basel, Switzerland. This article is an open access article distributed under the terms and conditions of the Creative Commons Attribution (CC BY) license (http://creativecommons.org/licenses/by/4.0/).
Share and Cite
Yu, G.; Cheng, Y.; Wu, Z. Effect of Nano-MgO Particles Doping on Breakdown Characteristics of Polypropylene. Coatings 2020, 10, 312. https://doi.org/10.3390/coatings10040312
Yu G, Cheng Y, Wu Z. Effect of Nano-MgO Particles Doping on Breakdown Characteristics of Polypropylene. Coatings. 2020; 10(4):312. https://doi.org/10.3390/coatings10040312
Chicago/Turabian StyleYu, Guang, Yujia Cheng, and Zhicheng Wu. 2020. "Effect of Nano-MgO Particles Doping on Breakdown Characteristics of Polypropylene" Coatings 10, no. 4: 312. https://doi.org/10.3390/coatings10040312
APA StyleYu, G., Cheng, Y., & Wu, Z. (2020). Effect of Nano-MgO Particles Doping on Breakdown Characteristics of Polypropylene. Coatings, 10(4), 312. https://doi.org/10.3390/coatings10040312

