Comparative Study between NiCoB and IrO2-Ta2O5/Ti Anodes for Application in Impressed Current Cathodic Protection (ICCP)
Abstract
1. Introduction
2. Materials and Methods
2.1. Characterization
2.1.1. Electrochemical Characterization
2.1.2. Physicochemical Characterization
3. Results
3.1. Element Composition
3.2. Coating Thickness
3.3. Identification of the Phases in the Coating
3.4. Resistance against Corrosion in MNC and MAL Media of the NiCoB/CS Coating
3.5. Electrochemical Response of the Coating
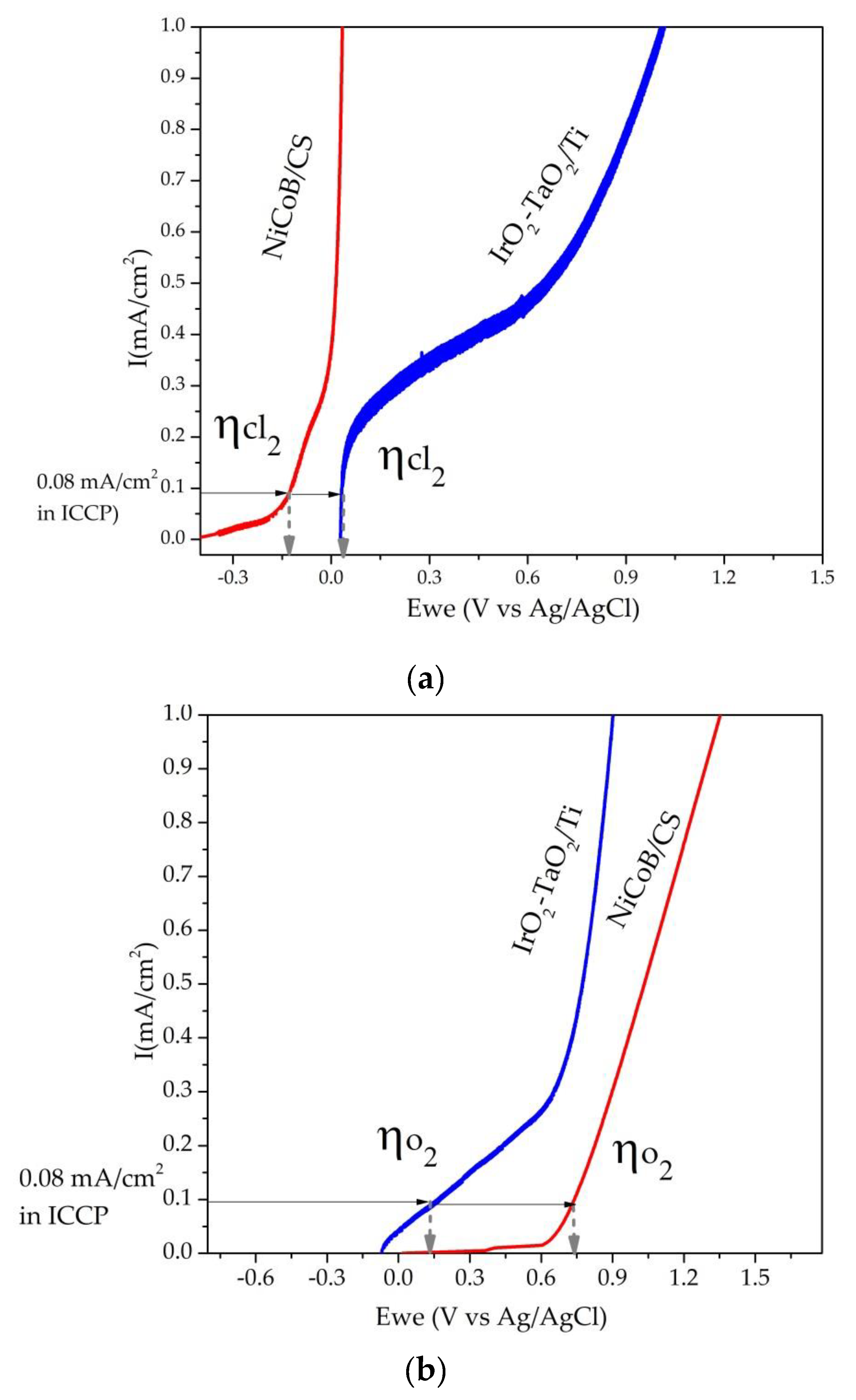
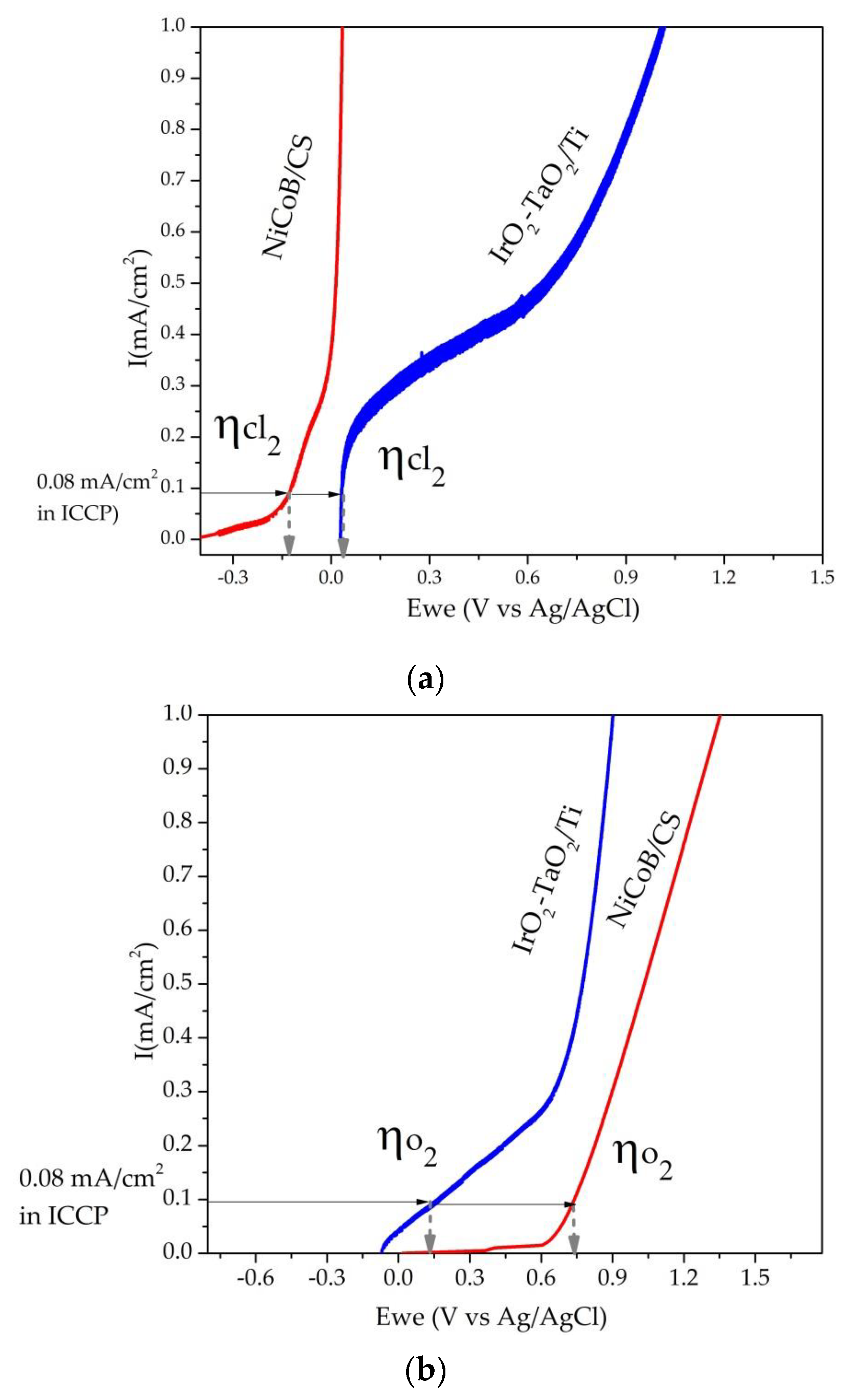
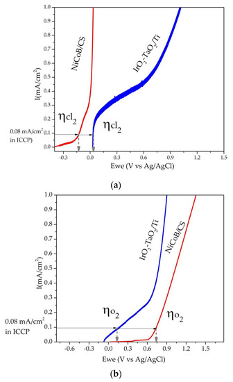
3.6. Electrocatalytic Activity for the Oxygen (ȠO2) and Chlorine (ȠCl2) Evolution
3.7. Exchange Current Density (J0) and Tafel’s Slope (ba)
4. Conclusions
Author Contributions
Funding
Acknowledgments
Conflicts of Interest
References
- Koch, G.; Varney, J.; Thompson, N.; Moghissi, O.; Gould, M.; Payer, J. NACE Report International Measures of Prevention, Application, and Economics of Corrosion Technologies Study; Gretchen Jacobson: Houston, TX, USA, 2016; p. 240. [Google Scholar]
- Rincon, I.T.; Carruyo, A.R.; Andrade, C.; Helene, P.R.; Dias, J. Manual de Inspeccion, Evaluacion y Diagnostico de Corrosion en Estructuras de Hormigon Armado; Editorial Venezolana: Venezuela, 1997; ISBN 980-296-541-3. [Google Scholar]
- Ávila, J.; Genescá, J. Más allá de la Herrumbre II. La Lucha Contra la Corrosión; FCE-Fondo de Cultura Económica: Mexico City, Mexico, 1995; ISBN 968-16-3153-6. [Google Scholar]
- Wilson, K.; Jawed, M.; Ngala, V. The selection and use of cathodic protection systems for the repair of reinforced concrete structures. Constr. Build. Mater. 2013, 39, 19–25. [Google Scholar] [CrossRef]
- Chess, P.M.; Broomfield, J.P. (Eds.) Cathodic Protection of Steel in Concrete; Routledge, T&F: London, UK, 2005; ISBN 0203223039. [Google Scholar]
- Vercesi, G.P.; Rolewicz, J.; Hinden, J.; Branch, G. Characterization of DSA-type oxygen evolving electrodes. Choice of base metal. Thermochim. Acta 1991, 176, 31–47. [Google Scholar] [CrossRef]
- Devilliers, D.; Groult, H.; Pouilleau, J.; Mahe, E. Electrochemical behaviour of platinum-coated Ta/Ta2O5 electrodes. Electrochim. Acta 1999, 44, 2307–2315. [Google Scholar]
- Yan, Z.; Li, G.; Wang, J.; Zhang, Z.; Feng, Z.; Tang, M.; Zhang, R. Electrocatalytic study of IrO2-Ta2O5 coated anodes with pretreated titanium substrates. J. Alloys Compd. 2016, 680, 60–66. [Google Scholar] [CrossRef]
- Xu, L.; Xin, Y.; Wang, J. A comparative study on IrO2-Ta2O5 coated titanium electrodes prepared with different methods. Electrochim. Acta 2009, 54, 1820–1825. [Google Scholar] [CrossRef]
- Huang, C.A.; Yang, S.W.; Chen, C.Z.; Hsu, F.Y. Electrochemical behavior of IrO2-Ta2O5/Ti anodes prepared with different surface pretreatments of Ti substrate. Surf. Coat. Technol. 2017, 320, 270–278. [Google Scholar] [CrossRef]
- Krýsa, J.; Kule, L.; Mráz, R.; Rousar, I. Effect of coating thickness and surface treatment of titanium on the properties of IrO2-Ta2O5 anodes. J. Appl. Electrochem. 1996, 26, 999–1005. [Google Scholar] [CrossRef]
- Morimitsu, M.; Otogawa, R.; Matsunaga, M. Effects of cathodizing on the morphology and composition. Electrochim. Acta 2000, 46, 401–406. [Google Scholar] [CrossRef]
- Yi, Z.; Kangning, C.; Wei, W.; Wang, J.; Lee, S. Effect of IrO2 loading on RuO2-IrO2-TiO2 anodes: A study of microstructure and working life for the chlorine evolution reaction. Ceram. Int. 2007, 33, 1087–1091. [Google Scholar] [CrossRef]
- Yan, Z.; Zhao, Y.; Zhang, Z.; Li, G.; Li, H.; Wang, J.; Feng, Z.; Tang, M.; Yuan, X.; Zhang, R.; et al. A study on the performance of IrO2-Ta2O5 coated anodes with surface treated Ti substrates. Electrochim. Acta 2015, 157, 345–350. [Google Scholar] [CrossRef]
- Trasatti, S.; Buzzanca, G. Ruthenium dioxide: A new interesting electrode material. Solid state structure and electrochemical behaviour. J. Electroanal. Chem. 1971, 29, 4–8. [Google Scholar] [CrossRef]
- Bocca, C.; Barbucci, A.; Delucchi, M.; Cerisola, G. Nickel-Cobalt oxide-coated electrodes: Influence of the preparation technique on oxygen evolution reaction (OER) in an alkaline solution. Int. J. Hydrogen Energy 1999, 24, 21–26. [Google Scholar] [CrossRef]
- Panić, V.V.; Nikolić, B.Ž. Sol-gel prepared active ternary oxide coating on titanium in cathodic protection. J. Serb. Chem. Soc. 2007, 72, 1393–1402. [Google Scholar] [CrossRef]
- Li, X.; Walsh, F.C.; Pletcher, D. Nickel based electrocatalysts for oxygen evolution in high current density, alkaline water electrolysers. Phys. Chem. Chem. Phys. 2011, 13, 1162–1167. [Google Scholar] [CrossRef]
- Campillo, B.; Sebastian, P.J.; Gamboa, S.A.; Albarran, J.L.; Caballero, L.X. Electrodeposited Ni-Co-B alloy: Application in water electrolysis. Mater. Sci. Eng. C 2002, 19, 115–118. [Google Scholar] [CrossRef]
- Rodriguez, C.; Campillo, B.; Albarran, J.L.; Genesca, J.; Caballero, L.X.; Perez, R. Corrosion behavior of electrolytic NiCoB coatings. Corros. Rev. 1999, 17, 137–149. [Google Scholar] [CrossRef]
- Gamboa, S.A.; Gonzalez-Rodriguez, J.G.; Valenzuela, E.; Campillo, B.; Sebastian, P.J.; Reyes-Rojas, A. Evaluation of the corrosion resistance of Ni-Co-B coatings in simulated PEMFC environment. Electrochim. Acta 2006, 51, 4045–4051. [Google Scholar] [CrossRef]
- Astm, G. Standard Test Method for Conducting Potentiodynamic Polarization Resistance Measurements; ASTM International: West Conshohocken, PA, USA, 2014. [Google Scholar]
- Mixed Metal Oxide Anodes for Cathodic Protection Applications. Available online: www.telprocompanies.com › uploads › telpro_data_sheets_2014 (accessed on 25 February 2020).
- Jacob, W.R. Impressed current Anodes. Electrochem. Prot. 2010, 4.20, 2781–2800. [Google Scholar]
- Lee, J.-Y.; Kang, D.-K.; Lee, K.; Chang, D. An Investigation on the Electrochemical Characteristics of Ta2O5-IrO2 Anodes for the Application of Electrolysis Process. Mater. Sci. Appl. 2011, 2, 237–243. [Google Scholar]
- Comninellis, C.; Vercesi, G.P. Characterization of DSA-Type electrodes: Choice of a coating. J. Appl. Electrochem. 1991, 21, 335–345. [Google Scholar] [CrossRef]
- Bekish, Y.N.; Poznyak, S.K.; Tsybulskaya, L.S.; Gaevskaya, T.V.; Kukareko, V.A.; Mazanik, A.V. Electrodeposited Ni-Co-B Alloy Coatings: Preparation and Properties. J. Electrochem. Soc. 2014, 161, D620–D627. [Google Scholar] [CrossRef]
- Ren, Z.; Quan, S.; Gao, J.; Li, W.; Zhu, Y.; Liu, Y.; Chai, B.; Wang, Y. The electrocatalytic activity of IrO2-Ta2O5 anode materials and electrolyzed oxidizing water preparation and sterilization effect. RSC Adv. 2015, 5, 8778–8786. [Google Scholar] [CrossRef]
- Mattos-Costa, F.I.; de Lima-Neto, P.; Machado, S.A.S.; Avaca, L.A. Characterisation of surfaces modified by sol-gel derived RuxIr1−xO2 coatings for oxygen evolution in acid medium.pdf. Electrochim. Acta 1998, 44, 1515–1523. [Google Scholar] [CrossRef]
- Li, B.S.; Lin, A.; Gan, F.X. Preparation and electrocatalytic properties of Ti/IrO2-Ta2O5 anodes for oxygen evolution. Trans. Nonferr. Met. Soc. China (Engl. Ed.) 2006, 16, 1193–1199. [Google Scholar] [CrossRef]
- Trasatti, S. Electrocatalysis in the Anodic Evolution Oxygen and Chlorine. Electrochim. Acta 1984, 29, 1503–1512. [Google Scholar] [CrossRef]
- Carmona, J.; Garcés, P.; Climent, M.A. Efficiency of a conductive cement-based anodic system for the application of cathodic protection, cathodic prevention and electrochemical chloride extraction to control corrosion in reinforced concrete structures. Corros. Sci. 2015, 96, 102–111. [Google Scholar] [CrossRef]
- Draft International Standard ISO/DIS 12696 Cathodic protection of steel in concrete, CEN Parallel Processing. In CEN Parallel Processing; International Organization for Standardization: Geneva, Switzerland, 2009.
- Borja-Arco, E.; Sandoval, O.J.; Escalante-García, J.; Sandoval-González, A.; Sebastian, P.J. Microwave assisted synthesis of ruthenium electrocatalysts for oxygen reduction reaction in the presence and absence of aqueous methanol. Int. J. Hydrogen Energy 2011, 36, 103–110. [Google Scholar] [CrossRef]
- Gupta, S.; Patel, N.; Fernandes, R.; Kadrekar, R.; Dashora, A.; Yadav, A.K.; Bhattacharyya, D.; Jha, S.N.; Miotello, A.; Kothari, D.C. Co-Ni-B nanocatalyst for efficient hydrogen evolution reaction in wide pH range. Appl. Catal. B Environ. 2016, 192, 126–133. [Google Scholar] [CrossRef]
- Suen, N.T.; Hung, S.F.; Quan, Q.; Zhang, N.; Xu, Y.J.; Chen, H.M. Electrocatalysis for the oxygen evolution reaction: Recent development and future perspectives. Chem. Soc. Rev. 2017, 46, 337–365. [Google Scholar] [CrossRef]






| NiCoB/CS | Ni (%wt) | Co (%wt) | B (%wt) | Other (%wt) |
|---|---|---|---|---|
| 72 | 20 | 6 | 2 | |
| IrO2-Ta2O5/Ti | O (%wt) | Ti (%wt) | Ta (%wt) | Ir (%wt) |
| 55.71 | 9.65 | 9.38 | 25.24 |
| Coating Samples | Medium | CR (mm/year) |
|---|---|---|
| IrO2-Ta2O5/Ti | MAL | 3.9 (± 0.0006) × 10−2 |
| MNC | 1.2 (± 0.003) × 10−1 | |
| NiCoB/CS | MAL | 1.5 (± 0.005) × 10−2 |
| MNC | 4.9 (± 0.003) × 10−2 |
| Coating Samples | Medium | Ecorr V (Versus Ag/AgCl) |
|---|---|---|
| IrO2-Ta2O5/Ti | MAL | −1.41 (± 0.0006) × 10−1 |
| MNC | −1.52 (± 0.0003) × 10−1 | |
| NiCoB/CS | MAL | −3.24 (± 0.0006) × 10−1 |
| MNC | −4.54 (± 0.0006) × 10−1 |
| J0 (A cm−2) | ba (mV dec−1) | |||
|---|---|---|---|---|
| Material | MAL | MNC | MAL | MNC |
| NiCoB/CS | 1.1 (± 0.05) × 10−6 | 2.4 (± 0.05) × 10−6 | 117± 1.5 | 142 ± 8.2 |
| IrO2-Ta2O5/Ti | 1.9 (± 0.4) × 10−6 | 2.2 (± 0.5) × 10−6 | 97.6 ± 5.1 | 74.6 ± 2.2 |
© 2020 by the authors. Licensee MDPI, Basel, Switzerland. This article is an open access article distributed under the terms and conditions of the Creative Commons Attribution (CC BY) license (http://creativecommons.org/licenses/by/4.0/).
Share and Cite
López Miguel, A.; Pérez Quiroz, J.T.; Ortega-Borges, R.; Martínez Madrid, M.; Rendón Belmonte, M.; Salgado López, J.M.; Trejo, G.; Meas-Vong, Y. Comparative Study between NiCoB and IrO2-Ta2O5/Ti Anodes for Application in Impressed Current Cathodic Protection (ICCP). Coatings 2020, 10, 199. https://doi.org/10.3390/coatings10030199
López Miguel A, Pérez Quiroz JT, Ortega-Borges R, Martínez Madrid M, Rendón Belmonte M, Salgado López JM, Trejo G, Meas-Vong Y. Comparative Study between NiCoB and IrO2-Ta2O5/Ti Anodes for Application in Impressed Current Cathodic Protection (ICCP). Coatings. 2020; 10(3):199. https://doi.org/10.3390/coatings10030199
Chicago/Turabian StyleLópez Miguel, Abraham, José Trinidad Pérez Quiroz, Raúl Ortega-Borges, Miguel Martínez Madrid, Mariela Rendón Belmonte, Juan Manuel Salgado López, Gabriel Trejo, and Yunny Meas-Vong. 2020. "Comparative Study between NiCoB and IrO2-Ta2O5/Ti Anodes for Application in Impressed Current Cathodic Protection (ICCP)" Coatings 10, no. 3: 199. https://doi.org/10.3390/coatings10030199
APA StyleLópez Miguel, A., Pérez Quiroz, J. T., Ortega-Borges, R., Martínez Madrid, M., Rendón Belmonte, M., Salgado López, J. M., Trejo, G., & Meas-Vong, Y. (2020). Comparative Study between NiCoB and IrO2-Ta2O5/Ti Anodes for Application in Impressed Current Cathodic Protection (ICCP). Coatings, 10(3), 199. https://doi.org/10.3390/coatings10030199

