Acrylic Pressure-Sensitive Adhesive Reinforced with Aluminum Nitride and Its Thermal Properties: Effect of Surface Treatment and Particle Size
Abstract
1. Introduction
2. Materials and Methods
2.1. Materials Required
2.2. Surface Treatment of AlN Particles
2.3. Synthesis of PSA/AlN Composites
2.4. Characterization
3. Results
3.1. Physicochemical Properties
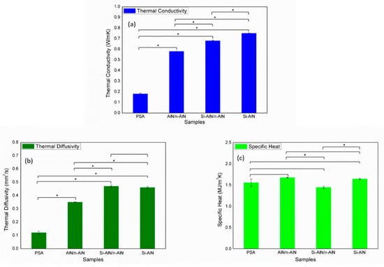
3.2. Thermal Properties
4. Conclusions
Author Contributions
Funding
Conflicts of Interest
References
- Elbreki, A.M.; Alghoul, M.A.; Sopian, K.; Hussein, T. Towards adopting passive heat dissipation approaches for temperature regulation of PV module as a sustainable solution. Renew. Sustain. Energy Rev. 2017, 69, 961–1017. [Google Scholar] [CrossRef]
- Otiaba, K.C.; Ekere, N.N.; Bhatti, R.S.; Mallik, S.; Alam, M.O.; Amalu, E.H. Thermal interface materials for automotive electronic control unit: Trends, technology and R&D challenges. Microelectron. Reliab. 2011, 51, 2031–2043. [Google Scholar]
- Ahmadi, Z. Nanostructured epoxy adhesives: A review. Prog. Org. Coat. 2019, 135, 449–453. [Google Scholar] [CrossRef]
- Li, Y.; Wong, C.P. Recent advances of conductive adhesives as a lead-free alternative in electronic packaging: Materials, processing, reliability and applications. Mater. Sci. Eng. R Rep. 2006, 51, 1–35. [Google Scholar] [CrossRef]
- Dastjerdi, Z.; Cranston, E.D.; Dubé, M.A. Pressure sensitive adhesive property modification using cellulose nanocrystals. Int. J. Adhes. Adhes. 2018, 81, 36–42. [Google Scholar] [CrossRef]
- Feldstein, M.M.; Dormidontova, E.E.; Khokhlov, A.R. Pressure sensitive adhesives based on interpolymer complexes. Prog. Polym. Sci. 2015, 42, 79–153. [Google Scholar] [CrossRef]
- Park, G.H.; Kim, K.T.; Ahn, Y.T.; Lee, H.; Jeong, H.M. The effects of graphene on the properties of acrylic pressure-sensitive adhesive. J. Ind. Eng. Chem. 2014, 20, 4108–4111. [Google Scholar] [CrossRef]
- Guerra, V.; Wan, C.; McNally, T. Thermal conductivity of 2D nano-structured boron nitride (BN) and its composites with polymers. Prog. Mater. Sci. 2019, 100, 170–186. [Google Scholar] [CrossRef]
- Mittal, G.; Rhee, K.Y.; Mišković-Stanković, V.; Hui, D. Reinforcements in multi-scale polymer composites: Processing, properties, and applications. Compos. Part B Eng. 2018, 138, 122–139. [Google Scholar] [CrossRef]
- Burger, N.; Laachachi, A.; Ferriol, M.; Lutz, M.; Toniazzo, V.; Ruch, D. Review of thermal conductivity in composites: Mechanisms, parameters and theory. Prog. Polym. Sci. 2016, 61, 1–28. [Google Scholar] [CrossRef]
- Fu, H.; Wang, Y.; Chen, W.; Zhou, W.; Xiao, J. A novel silanized CoFe2O4/fluorinated waterborne polyurethane pressure sensitive adhesive. Appl. Surf. Sci. 2015, 351, 1204–1212. [Google Scholar] [CrossRef]
- Chen, H.; Ginzburg, V.V.; Yang, J.; Yang, Y.; Liu, W.; Huang, Y.; Du, L.; Chen, B. Thermal conductivity of polymer-based composites: Fundamentals and applications. Prog. Polym. Sci. 2016, 59, 41–85. [Google Scholar] [CrossRef]
- Tessema, A.; Zhao, D.; Moll, J.; Xu, S.; Yang, R.; Li, C.; Kumar, S.K.; Kidane, A. Effect of filler loading, geometry, dispersion and temperature on thermal conductivity of polymer nanocomposites. Polym. Test. 2017, 57, 101–106. [Google Scholar] [CrossRef]
- Li, H.; Chen, W.; Xu, J.; Li, J.; Gan, L.; Chu, X.; Yao, Y.; He, Y.; Li, B.; Kang, F.; et al. Enhanced thermal conductivity by combined fillers in polymer composites. Thermochim. Acta 2019, 676, 198–204. [Google Scholar] [CrossRef]
- International Organization for Standardization. Plastics—Determination of Thermal Conductivity and Thermal Diffusivity—Part 2: Transient Plane Heat Source (hot disc) Method. (ISO standard no. ISO 22007-2). 2008. Available online: http://www.eyoungindustry.com/uploadfile/file/20151015/20151015144646_47745.pdf (accessed on 18 February 2020).
- Zhang, Y.; Binner, J. Hydrolysis process of a surface treated aluminum nitride powder—A FTIR study. J. Mater. Sci. Lett. 2002, 21, 803–805. [Google Scholar] [CrossRef]
- Lule, Z.; Kim, J. Surface Modification of Aluminum Nitride to Fabricate Thermally Conductive poly (Butylene Succinate) Nanocomposite. Polymers 2019, 11, 148. [Google Scholar] [CrossRef]
- Wu, S.-Y.; Huang, Y.-L.; Ma, C.-C.M.; Yuen, S.-M.; Teng, C.-C.; Yang, S.-Y. Mechanical, thermal and electrical properties of aluminum nitride/polyetherimide composites. Compos. Part A Appl. Sci. Manuf. 2011, 42, 1573–1583. [Google Scholar] [CrossRef]
- Mittal, G.; Rhee, K.Y.; Park, S.J. Processing and characterization of PMMA/PI composites reinforced with surface functionalized hexagonal boron nitride. Appl. Surf. Sci. 2017, 415, 49–54. [Google Scholar] [CrossRef]
- Mittal, G.; Rhee, K.; Park, S. The Effects of Cryomilling CNTs on the Thermal and Electrical Properties of CNT/PMMA Composites. Polymers 2016, 8, 169. [Google Scholar] [CrossRef]
- Gu, J.; Du, J.; Dang, J.; Geng, W.; Hu, S.; Zhang, Q. Thermal conductivities, mechanical and thermal properties of graphite nanoplatelets/polyphenylene sulfide composites. RSC Adv. 2014, 4, 22101–22105. [Google Scholar] [CrossRef]
- Kim, M.; Park, S.; Park, J. Effect of the Grafting Reaction of Aluminum Nitride on the Multi-Walled Carbon Nanotubes on the Thermal Properties of the Poly(phenylene sulfide) Composites. Polymers 2017, 9, 452. [Google Scholar] [CrossRef] [PubMed]
- Chiu, H.T.; Sukachonmakul, T.; Kuo, M.T.; Wang, Y.H.; Wattanakul, K. Surface modification of aluminum nitride by polysilazane and its polymer-derived amorphous silicon oxycarbide ceramic for the enhancement of thermal conductivity in silicone rubber composite. Appl. Surf. Sci. 2014, 292, 928–936. [Google Scholar] [CrossRef]
- Xu, C.; Miao, M.; Jiang, X.; Wang, X. Thermal conductive composites reinforced via advanced boron nitride nanomaterials. Compos. Commun. 2018, 10, 103–109. [Google Scholar] [CrossRef]
- Pan, C.; Kou, K.; Zhang, Y.; Li, Z.; Wu, G. Enhanced through-plane thermal conductivity of PTFE composites with hybrid fillers of hexagonal boron nitride platelets and aluminum nitride particles. Compos. Part B Eng. 2018, 153, 1–8. [Google Scholar] [CrossRef]
- Pan, C.; Kou, K.; Jia, Q.; Zhang, Y.; Wu, G.; Ji, T. Improved thermal conductivity and dielectric properties of hBN/PTFE composites via surface treatment by silane coupling agent. Compos. Part B Eng. 2017, 111, 83–90. [Google Scholar] [CrossRef]
- Wu, H.; Drzal, L.T. High thermally conductive graphite nanoplatelet/polyetherimide composite by precoating: Effect of percolation and particle size. Polym. Compos. 2013, 34, 2148–2153. [Google Scholar] [CrossRef]
- Gulotty, R.; Castellino, M.; Jagdale, P.; Tagliaferro, A.; Balandin, A.A. Effects of Functionalization on Thermal Properties of Single-Wall and Multi-Wall Carbon Nanotube–Polymer Nanocomposites. ACS Nano 2013, 7, 5114–5121. [Google Scholar] [CrossRef]
- Mittal, G.; Dhand, V.; Ryu, J.; Ryu, J.I.; Rhee, K.Y.; Kim, H.J.; Jung, D.H. Fabrication of Modified MMT/Glass/Vinylester Multiscale Composites and Their Mechanical Properties. J. Nanomater. 2015, 2015, 1–9. [Google Scholar] [CrossRef]







| No. | Sample Name | Resin (g) | Curing Agent (g) | Filler (g) | |
|---|---|---|---|---|---|
| µ | n | ||||
| 1. | PSA | 20 | 0.3 | – | – |
| 2. | µ-AlN/n-AlN/PSA | 20 | 0.3 | 27 | 9 |
| 3. | Si-µ-AlN/n-AlN/PSA | 20 | 0.3 | 37 | 3 |
| 4. | Si-µ-AlN/PSA | 20 | 0.3 | 40 | – |
| No. | Sample Name | Weight Loss (%) | ||
|---|---|---|---|---|
| I | II | III | ||
| 1. | PSA | – | 33.97 | 98.25 |
| 2. | µ-AlN/n-AlN/PSA | 3.25 | 15.12 | 35.53 |
| 3. | Si-µ-AlN/n-AlN/PSA | 4.56 | 15.83 | 37.97 |
| 4. | Si-µ-AlN/PSA | 2.162 | 13.48 | 32.13 |
| No. | Sample Name | Weight Loss (%) | Heat-Resistance Index (°C) | |
|---|---|---|---|---|
| T5 | T30 | |||
| 1. | PSA | 295.80 | 339.10 | 157.67 |
| 2. | µ-AlN/n-AlN/PSA | 297.24 | 428.21 | 184.15 |
| 3. | Si-µ-AlN/n-AlN/PSA | 287.19 | 415.83 | 178.54 |
| 4. | Si-µ-AlN/PSA | 304.41 | 485.14 | 202.29 |
© 2020 by the authors. Licensee MDPI, Basel, Switzerland. This article is an open access article distributed under the terms and conditions of the Creative Commons Attribution (CC BY) license (http://creativecommons.org/licenses/by/4.0/).
Share and Cite
Mittal, G.; Park, S.J.; Rhee, K.Y. Acrylic Pressure-Sensitive Adhesive Reinforced with Aluminum Nitride and Its Thermal Properties: Effect of Surface Treatment and Particle Size. Coatings 2020, 10, 188. https://doi.org/10.3390/coatings10020188
Mittal G, Park SJ, Rhee KY. Acrylic Pressure-Sensitive Adhesive Reinforced with Aluminum Nitride and Its Thermal Properties: Effect of Surface Treatment and Particle Size. Coatings. 2020; 10(2):188. https://doi.org/10.3390/coatings10020188
Chicago/Turabian StyleMittal, Garima, Soo Jin Park, and Kyong Yop Rhee. 2020. "Acrylic Pressure-Sensitive Adhesive Reinforced with Aluminum Nitride and Its Thermal Properties: Effect of Surface Treatment and Particle Size" Coatings 10, no. 2: 188. https://doi.org/10.3390/coatings10020188
APA StyleMittal, G., Park, S. J., & Rhee, K. Y. (2020). Acrylic Pressure-Sensitive Adhesive Reinforced with Aluminum Nitride and Its Thermal Properties: Effect of Surface Treatment and Particle Size. Coatings, 10(2), 188. https://doi.org/10.3390/coatings10020188

