Heat Transfer Effect on Viscoelastic Fluid Used as a Coating Material for Wire with Variable Viscosity
Abstract
1. Introduction
2. Modeling of Wire Coating
3. Temperature-Dependent Viscosity
3.1. Reynolds’ Model
3.2. Vogel’s Model
4. Solution Procedure via Fourth-Order Runge–Kutta Method
4.1. Reynolds’ Model
4.2. Vogel’s Model
5. Validation of the Method
6. Results and Discussion
7. Concluding Remarks
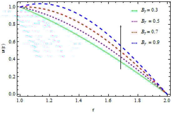
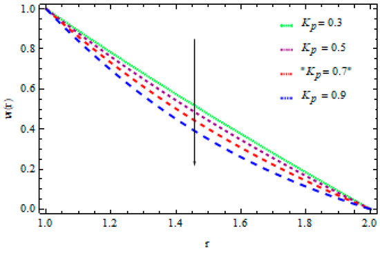
- An increase in fluid velocity behavior occurs as the values of increase, and a decrease in fluid velocity behavior occurs as the values of increase.
- The temperature distribution displays an increasing effect as the values of increase, while it shows a decreasing effect when the values of increase.
Author Contributions
Funding
Acknowledgments
Conflicts of Interest
References
- Nadeem, S.; Ahmad, S.; Muhammad, N. Cattaneo–Christov flux in the flow of a viscoelastic fluid in the presence of Newtonian heating. J. Mol. Liq. 2017, 237, 180–184. [Google Scholar] [CrossRef]
- Ijaz, S.; Iqbal, Z.; Maraj, E.N.; Nadeem, S. Investigation of Cu–CuO/blood mediated transportation in stenosed artery with unique features for theoretical outcomes of hemodynamics. J. Mol. Liq. 2018, 254, 421–432. [Google Scholar] [CrossRef]
- Abbas, N.; Saleem, S.; Nadeem, S.; Alderremy, A.A.; Khan, A.U. On stagnation point fow of a micro polar nanofluid past a circular cylinder with velocity and thermal slip. Results Phys. 2018, 9, 1224–1232. [Google Scholar] [CrossRef]
- Ijaz, S.; Nadeem, S. Transportation of nanoparticles investigation as a drug agent to attenuate the atherosclerotic lesion under the wall properties impact Chaos. Solitons Fractals 2018, 112, 52–65. [Google Scholar] [CrossRef]
- Tabassum, R.; Mehmood, R.; Nadeem, S. Impact of viscosity variation and micro rotation on oblique transport of Cu–water fluid. J. Colloid Interface Sci. 2017, 501, 304–310. [Google Scholar] [CrossRef]
- Nadeem, S.; Sadaf, H. Exploration of single wall carbon nanotubes for the peristaltic motion in a curved channel with variable viscosity. J. Braz. Soc. Mech. Sci. Eng. 2017, 39, 117–125. [Google Scholar] [CrossRef]
- Shahzadi, I.; Sadaf, H.; Nadeem, S.; Saleem, A. Bio-mathematical analysis for the peristaltic flow of single wall carbon nanotubes under the impact of variable viscosity and wall properties. Comput. Methods Programs Biomed. 2017, 139, 137–147. [Google Scholar] [CrossRef]
- Ijaz, S.; Shahzadi, I.; Nadeem, S.; Saleem, A. A clot model examination: With impulsion of nanoparticles under influence of variable viscosity and slip effects. Commun. Theor. Phys. 2017, 68, 667. [Google Scholar] [CrossRef]
- Kumam, P.; Shah, Z.; Dawar, A.; Rasheed, H.U.; Islam, S. Entropy generation in MHD radiative flow of CNTs Casson nanofluid in rotating channels with heat source/sink. Math. Probl. Eng. 2019, 2019, 9158093. [Google Scholar] [CrossRef]
- Ellahi, R.; Rahman, S.U.; Gulzar, M.M.; Nadeem, S.; Vafai, K. A mathematical study of non-Newtonian micropolar fluid in arterial blood flow through composite stenosis. Appl. Math. Inf. Sci. 2014, 8, 1567–1573. [Google Scholar] [CrossRef]
- Hayat, T.; Nadeem, S. Aspects of developed heat and mass flux models on 3D flow of Eyring–Powell fluid. Results Phys. 2017, 7, 3910–3917. [Google Scholar] [CrossRef]
- Hayat, T.; Nadeem, S. Flow of 3D Eyring–Powell fluid by utilizing Cattaneo–Christov heat flux model and chemical processes over an exponentially stretching surface. Results Phys. 2018, 8, 397–403. [Google Scholar] [CrossRef]
- Ijaz, S.; Nadeem, S. A balloon model examination with impulsion of Cu-nanoparticles as drug agent through stenosed tapered elastic artery. J. Appl. Fluid Mech. 2017, 10, 1773–1783. [Google Scholar] [CrossRef]
- Ijaz, S.; Nadeem, S. A biomedical solicitation examination of nanoparticles as drug agents to minimize the hemodynamics of a stenotic channel. Eur. Phys. J. Plus 2017, 132, 448. [Google Scholar] [CrossRef]
- Saleem, S.; Nadeem, S.; Sandeep, N. A mathematical analysis of time dependent flow on a rotating cone in a rheological fluid. Propuls. Power Res. 2017, 6, 233–241. [Google Scholar] [CrossRef]
- Mitsoulis, E. Fluid flow and heat transfer in wire coating: A review. Adv. Polym. Technol. 1986, 6, 467–487. [Google Scholar] [CrossRef]
- Bagley, E.B.; Storey, S.H. Share rates and velocities of flow of polymers in wire-covering dies. Wire Wire Prod. 1963, 38, 1104. [Google Scholar]
- Khan, N.A.; Sultan, F.; Khan, N.A. Heat and mass transfer of thermophoretic MHD flow of Powell–Eyring fluid over a vertical stretching sheet in the presence of chemical reaction and Joule heating. Int. J. Chem. React. Eng. 2015, 13, 37–49. [Google Scholar] [CrossRef]
- Mahanthesh, B.; Gireesha, B.J.; Gorla, R.S.R. Unsteady three dimensional MHD flow of a nano Eyring–Powell fluid past a convectively heated stretching sheet in the presence of thermal radiation, viscous dissipation and Joule heating. J. Assoc. Arab Univ. Basic Appl. Sci. 2017, 23, 75–84. [Google Scholar] [CrossRef]
- Khana, N.; Sultan, F. Homogeneous–heterogeneous reactions in an Eyring–Powell fluid over a stretching sheet in a porous medium. Spec. Top. Rev. Porous Media 2016, 7, 15–25. [Google Scholar] [CrossRef]
- Hayata, T.; Aslam, N.; Rafq, M.; Alsaadi, F.E. Hall and Joule heating effects on peristaltic flow of Powell–Eyring liquid in an inclined symmetric channel. Results Phys. 2017, 7, 518–528. [Google Scholar] [CrossRef]
- Sadaf, H.; Nadeem, S. Analysis of combined convective and viscous dissipation effects for peristaltic flow of rabinowitsch fluid model. J. Bionic Eng. 2017, 14, 182–190. [Google Scholar] [CrossRef]
- Ahmed, A.; Nadeem, S. Biomathematical study of time-dependent flow of a Carreau nanofluid through inclined catheterized arteries with overlapping stenosis. J. Cent. South Univ. 2017, 24, 2725–2744. [Google Scholar] [CrossRef]
- Nadeem, S. Biomedical theoretical investigation of blood mediated nanoparticles (Ag–Al2O3/blood) impact on hemodynamics of overlapped stenotic artery. J. Mol. Liq. 2017, 24, 809–819. [Google Scholar]
- Ahmed, A.; Nadeem, S. Effects of magnetohydrodynamics and hybrid nanoparticles on a micropolar fluid with 6-types of stenosis. Results Phys. 2017, 7, 4130–4139. [Google Scholar] [CrossRef]
- Khan, Z.; Rasheed, H.U.; Alkanhal, T.A.; Ullah, M.; Khan, I.; Tlili, I. Effect of magnetic field and heat source on upper-convected-maxwell fluid in a porous channel. Open Phys. 2018, 16, 917–928. [Google Scholar] [CrossRef]
- Rehman, F.U.; Nadeem, S.; Rehman, H.U.; Haq, R.U. Thermo physical analysis for three-dimensional MHD stagnation-point flow of nano-material influenced by an exponential stretching surface. Results Phys. 2018, 8, 316–323. [Google Scholar] [CrossRef]
- Muhammad, N.; Nadeem, S.; Mustafa, M.T. Impact of magnetic dipole on a thermally stratified ferrofluid past a stretch-able surface. Proc. Inst. Mech. Eng. Part E J. Process Mech. Eng. 2018, 1, 1989–1996. [Google Scholar]
- Sadaf, H.; Akbar, M.U.; Nadeem, S. Induced magnetic field analysis for the peristaltic transport of non-Newtonian nanofluid in an annulus. Math. Comput. Simul. 2018, 148, 16–36. [Google Scholar] [CrossRef]
- Nadeem, S.; Ahmad, S.; Muhammad, N.; Mustafa, M.T. Chemically reactive species in the flow of a Maxwell fluid. Results Phys. 2017, 7, 2607–2613. [Google Scholar] [CrossRef]
- Khan, Z.; Rasheed, H.U.; Ullah, M.; Gul, T.; Jan, A. Analytical and numerical solutions of Oldroyd 8-constant fluid in double-layer optical fiber coating. J. Coat. Technol. Res. 2019, 16, 235–248. [Google Scholar] [CrossRef]
- Rehman, A.U.; Mehmood, R.; Nadeem, S. Entropy analysis of radioactive rotating nanofluid with thermal slip. Appl. Therm. Eng. 2017, 1122, 832–840. [Google Scholar] [CrossRef]
- Muhammad, N.; Nadeem, S. Ferrite nanoparticles Ni-ZnFe2O4, Mn-ZnFe2O4 and Fe2O4 in the flow of ferromagnetic nanofluid. Eur. Phys. J. Plus 2017, 132, 312–321. [Google Scholar] [CrossRef]
- Ijaza, S.; Nadeem, S. Consequences of blood mediated nano transportation as drug agent to attenuate the atherosclerotic lesions with permeability impacts. J. Mol. Liq. 2018, 262, 565–575. [Google Scholar] [CrossRef]
- Khan, Z.; Tairan, N.; Mashwani, W.K.; Rasheed, H.U.; Shah, H.; Khan, W. MHD and slip effect on two-immiscible third grade fluid on thin film flow over a vertical moving belt. Open Phys. 2019, 17, 575–586. [Google Scholar] [CrossRef]
- Rashid, M.; Shahzadi, I.; Nadeem, S. Corrugated walls analysis in micro channels through porous medium under electromagnetohydrodynamic (EMHD) effects. Results Phys. 2018, 9, 171–182. [Google Scholar] [CrossRef]
- Akbar, N.S. Double-diffusive natural convective peristaltic Prandtl flow in a porous channel saturated with a nanofluid. Heat Transf. Res. 2017, 48, 283–290. [Google Scholar] [CrossRef]
- Shahzadi, I.; Nadeem, S. Impinging of metallic nanoparticles along with the slip effects through a porous medium with MHD. J. Braz. Soc. Mech. Sci. Eng. 2017, 39, 2535–2560. [Google Scholar] [CrossRef]
- Rehman, F.U.; Nadeem, S. Heat transfer analysis for three-dimensional stagnation-point flow of water-based nanofluid over an exponentially stretching surface. J. Heat Transf. 2018, 140, 52401. [Google Scholar] [CrossRef]
- Khan, Z.; Rasheed, H.U.; Tlili, I.; Khan, I.; Abbas, T. Runge-Kutta 4th-order method analysis for viscoelastic Oldroyd 8-constant fuid used as coating material for wire with temperature dependent viscosity. Sci. Rep. 2018, 8, 14504. [Google Scholar] [CrossRef]
- Zeeshan, K.; Waqar, A.K.; Haroon Ur, R.; Ilyas, K.; Kottakkaran, S.N. Melting flow in wire coating of a third-grade fluid over a die using Reynolds’ and Vogel’s models with non-linear thermal radiation and joule heating. Materials 2019, 12, 3074. [Google Scholar] [CrossRef]
- Zeeshan, K.; Haroon Ur, R.; Alharbi, S.O.; Ilyas, K.; Tariq, A.; Dennis, L.C.C. Manufacturing of double layer optical fiber coating using phan-thien-tanner fluid as coating material. Coatings 2019, 9, 147. [Google Scholar] [CrossRef]
- Haroon Ur, R.; Zeeshan, K.; Saeed, I.; Ilyas, K.; Juan, L.G.G.; Waris, K. Investigation of two-dimensional viscoelastic fluid with nonuniform heat generation over permeable stretching sheet with slip condition. Complexity 2019, 2019, 3121896. [Google Scholar] [CrossRef]
- Zeeshan, K.; Muhammad, A.K.; Saeed, I.; Bilal, J.; Fawad, H.; Haroon Ur, R.; Waris, K. Analysis of magneto-hydrodynamics flow and heat transfer of a viscoelastic fluid through porous medium in wire coating analysis. Mathematics 2017, 5, 27. [Google Scholar] [CrossRef]
- Zeeshan, K.; Rehan, A.S.; Saeed, I.; Hamid, J.; Bilal, J.; Haroon Ur, R.; Aurangzeeb, K. MHD flow and heat transfer analysis in the wire coating process using elastic-viscous. Coatings 2017, 7, 15. [Google Scholar] [CrossRef]
- Haroon Ur, R.; Zeeshan, K.; Ilyas, K.; Dennis, L.C.C.; Kottakkaran, S.N. Numerical and analytical investigation of an unsteady thin film nanofluid flow over an angular surface. Processes 2019, 7, 486. [Google Scholar] [CrossRef]













| Numerical Solution | HAM Solution | BVPh2 | |
|---|---|---|---|
| 1.0 | |||
| 1.2 | |||
| 1.4 | |||
| 1.6 | |||
| 1.8 | |||
| 2.0 | 0.00000000000 | 0.00000000000 | 0.00000000000 |
| Numerical Solution | HAM Solution | BVPh2 | |
|---|---|---|---|
| 1.0 | 0.00000000000 | 0.00000000000 | 0.00000000000 |
| 1.2 | |||
| 1.4 | |||
| 1.6 | |||
| 1.8 | |||
| 2.0 | 1.00000000000 | 1.00000000000 | 1.00000000000 |
© 2020 by the authors. Licensee MDPI, Basel, Switzerland. This article is an open access article distributed under the terms and conditions of the Creative Commons Attribution (CC BY) license (http://creativecommons.org/licenses/by/4.0/).
Share and Cite
Khan, Z.; Rasheed, H.U.; Islam, S.; Noor, S.; Khan, I.; Abbas, T.; Khan, W.; Seikh, A.H.; Sherif, E.-S.M.; Nisar, K.S. Heat Transfer Effect on Viscoelastic Fluid Used as a Coating Material for Wire with Variable Viscosity. Coatings 2020, 10, 163. https://doi.org/10.3390/coatings10020163
Khan Z, Rasheed HU, Islam S, Noor S, Khan I, Abbas T, Khan W, Seikh AH, Sherif E-SM, Nisar KS. Heat Transfer Effect on Viscoelastic Fluid Used as a Coating Material for Wire with Variable Viscosity. Coatings. 2020; 10(2):163. https://doi.org/10.3390/coatings10020163
Chicago/Turabian StyleKhan, Zeeshan, Haroon Ur Rasheed, Saeed Islam, Sahib Noor, Ilyas Khan, Tariq Abbas, Waris Khan, Asiful H. Seikh, El-Sayed M. Sherif, and Kottakkaran Sooppy Nisar. 2020. "Heat Transfer Effect on Viscoelastic Fluid Used as a Coating Material for Wire with Variable Viscosity" Coatings 10, no. 2: 163. https://doi.org/10.3390/coatings10020163
APA StyleKhan, Z., Rasheed, H. U., Islam, S., Noor, S., Khan, I., Abbas, T., Khan, W., Seikh, A. H., Sherif, E.-S. M., & Nisar, K. S. (2020). Heat Transfer Effect on Viscoelastic Fluid Used as a Coating Material for Wire with Variable Viscosity. Coatings, 10(2), 163. https://doi.org/10.3390/coatings10020163

