Effect of Urethane Crosslinking by Blocked Isocyanates with Pyrazole-Based Blocking Agents on Rheological and Mechanical Performance of Clearcoats
Abstract
1. Introduction
2. Experimental Methods
2.1. Preparation of BIs with Pyrazole Derivatives
2.2. Formulation of Clearcoats Containing Pyrazole-Based BIs
2.3. Transition of Hydroxyl Groups in HFUMO by FT-IR
2.4. Real-Time Measurement of Crosslinking Behaviors of Clearcoats
2.5. Measurement of Surface Mechanical Properties of Fully Cured Films
3. Results and Discussion
3.1. FT-IR Analysis on Urethane Reaction of Clearcoats with Pyrazole-Based BIs
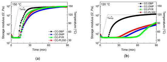
3.2. Real-Time Rheological Properties of Various Clearcoat Samples
3.3. Real-Time Oscillatory Pendulum Periods for Various Clearcoat Samples
3.4. Indentation Penetration Depths of Cured Clearcoat Films by NHT
3.5. Scratch Penetration Depths of Cured Clearcoat Films by NST
4. Conclusions
Author Contributions
Funding
Conflicts of Interest
References
- Doerre, M.; Hibbitts, L.; Patrick, G.; Akafuah, N.K. Advances in Automotive Conversion Coatings during Pretreatment of the Body Structure: A review. Coatings 2018, 8, 405. [Google Scholar] [CrossRef]
- Kim, B.R. VOC Emissions from Automotive Painting and their Control: A review. Environ. Eng. Res. 2011, 16, 1–9. [Google Scholar] [CrossRef]
- Rolph, M.S.; Markowska, A.L.J.; Warriner, C.N.; O’Reilly, R.K. Blocked Isocyanates: From Analytical and Experimental Considerations to Non-polyurethane Applications. Polym. Chem. 2016, 7, 7351–7364. [Google Scholar] [CrossRef]
- Akafuah, N.K.; Poozesh, S.; Salaimeh, A.; Patrick, G.; Lawler, K.; Saito, K. Evolution of the Automotive Body Coating Process—A review. Coatings 2016, 6, 24. [Google Scholar] [CrossRef]
- Fettis, G. Automotive Paints and Coatings, 2nd ed.; John Wiley & Sons: Hoboken, NJ, USA, 2008. [Google Scholar]
- Xu, Z.; Anyasodor, G.; Qin, Y. Painting of Aluminium Panels–State of the Art and Development Issues. MATEC Web Conf. 2015, 21, 05012. [Google Scholar] [CrossRef]
- Jardret, V.; Lucas, B.N.; Oliver, W.; Ramamurthy, A.C. Scratch Durability of Automotive Clear Coatings: A Quantitative, Reliable and Robust Methodology. J. Coat. Technol. 2000, 72, 79–88. [Google Scholar] [CrossRef]
- Gregorovich, B.V.; Hazan, I. Environmental Etch Performance, and Scratch and Mar of Automotive Clearcoats. Prog. Org. Coat. 1994, 24, 131–146. [Google Scholar] [CrossRef]
- Stevani, C.V.; de Faria, D.L.; Porto, J.S.; Trindade, D.J.; Bechara, E.J. Mechanism of Automotive Clearcoat Damage by Dragonfly Eggs Investigated by Surface Enhanced Raman Scattering. Polym. Degrad. Stabil. 2000, 68, 61–66. [Google Scholar] [CrossRef]
- Urban, M.W. Stratification, Stimuli-responsiveness, Self-healing, and Signaling in Polymer Networks. Prog. Polym. Sci. 2009, 34, 679–687. [Google Scholar] [CrossRef]
- Yoon, J.A.; Kamada, J.; Koynov, K.; Mohin, J.; Nicolay, R.; Zhang, Y.; Balazs, A.C.; Kowalewski, T.; Matyjaszewski, K. Self-Healing Polymer Films Based on Thiol–Disulfide Exchange Reactions and Self-Healing Kinetics Measured Using Atomic Force Microscopy. Macromolecules 2011, 45, 142–149. [Google Scholar] [CrossRef]
- Parkin, I.P.; Palgrave, R.G. Self-cleaning Coatings. J. Mater. Chem. 2005, 15, 1689–1695. [Google Scholar] [CrossRef]
- Seubert, C.M. The Future of Coatings in a World of Autonomous Vehicles. JCT CoatingsTech 2017, 14, 42–46. [Google Scholar]
- Li, Z.; Song, C.; Li, Q.; Xiang, X.; Yang, H.; Wang, X.; Gao, J. Hybrid Nanostructured Antireflection Coating by Self-Assembled Nanosphere Lithography. Coatings 2019, 9, 453. [Google Scholar] [CrossRef]
- Weinmann, D.; Dangayach, K.; Smith, C. Amine-functional Curatives for Low Temperature Cure Epoxy Coatings. J. Coat. Technol. 1996, 68, 29–38. [Google Scholar]
- Jung, K.I.; Kim, B.; Lee, D.G.; Lee, T.-H.; Choi, S.Y.; Kim, J.C.; Noh, S.M.; Park, Y.I.; Jung, H.W. Characteristics of Dual-curable Blocked Isocyanate with Thermal Radical Initiator for Low-temperature Curing of Automotive Coatings. Prog. Org. Coat. 2018, 125, 160–166. [Google Scholar] [CrossRef]
- Park, S.; Hwang, J.W.; Kim, K.N.; Lee, G.S.; Nam, J.H.; Noh, S.M.; Jung, H.W. Rheology and Curing Characteristics of Dual-curable Clearcoats with Hydroxyl Functionalized Urethane Methacrylate Oligomer: Effect of Blocked Isocyanate Thermal Crosslinkers. Korea-Aust. Rheol. J. 2014, 26, 159–167. [Google Scholar] [CrossRef]
- Cantor, B.; Grant, P.; Johnston, C. Automotive Engineering: Lightweight, Functional, and Novel Materials, 1st ed.; CRC Press: Boca Raton, FL, USA, 2008. [Google Scholar]
- Kim, D.; Lee, D.G.; Kim, J.C.; Lim, C.S.; Kong, N.S.; Kim, J.H.; Jung, H.W.; Noh, S.M.; Park, Y.I. Effect of Molecular Weight of Polyurethane Toughening Agent on Adhesive Strength and Rheological Characteristics of Automotive Structural Adhesives. Int. J. Adhes. Adhes. 2017, 74, 21–27. [Google Scholar] [CrossRef]
- Ghassemieh, E. Materials in Automotive Application, Atate of the Art and Prospects. In New Trends and Developments in Automotive Industry, 1st ed.; Chiaberge, M., Ed.; InTech: New York, NY, USA, 2011; Volume 3, pp. 365–394. [Google Scholar]
- Hwang, J.W.; Kim, K.N.; Lee, G.S.; Nam, J.H.; Noh, S.M.; Jung, H.W. Rheology and Curing Characteristics of Dual-curable Automotive Clearcoats using Thermal Radical Initiator Derived from O-imino-isourea and Photo-initiator. Prog. Org. Coat. 2013, 76, 1666–1673. [Google Scholar] [CrossRef]
- Noh, S.M.; Lee, J.W.; Nam, J.H.; Byun, K.H.; Park, J.M.; Jung, H.W. Dual-curing Behavior and Scratch Characteristics of Hydroxyl Functionalized Urethane Methacrylate Oligomer for Automotive Clearcoats. Prog. Org. Coat. 2012, 74, 257–269. [Google Scholar] [CrossRef]
- Seubert, C.M.; Nichols, M.E. Epoxy Thiol Photolatent Base Clearcoats: Curing and Formulation. J. Appl. Polym. Sci. 2010, 7, 615–622. [Google Scholar] [CrossRef]
- Chang, W.-H.; Scriven, R.L.; Peffer, J.R.; Porter, S., Jr. Advances in Polyurethane Coatings (1969 to early 1972). Ind. Eng. Chem. Product Res. Dev. 1973, 12, 278–288. [Google Scholar] [CrossRef]
- Sharmin, E.; Zafar, F. Polyurethane: An Introduction. In Polyurethane, 1st ed.; Zafar, F., Sharmin, E., Eds.; Intech: Rijeka, Croatia, 2012; pp. 3–6. [Google Scholar]
- Wicks, Z.W., Jr. Blocked Isocyanates. Prog. Org. Coat. 1975, 3, 73–99. [Google Scholar] [CrossRef]
- Wicks, D.A.; Wicks, Z.W., Jr. Blocked Isocyanates III: Part A. Mechanisms and Chemistry. Prog. Org. Coat. 1999, 36, 148–172. [Google Scholar] [CrossRef]
- Wicks, D.A.; Wicks, Z.W., Jr. Blocked isocyanates III: Part B: Uses and Applications of Blocked Isocyanates. Prog. Org. Coat. 2001, 41, 1–83. [Google Scholar] [CrossRef]
- Kothandaraman, H.; Nasar, A.S. The Thermal Dissociation of Phenol-blocked Toluene Diisocyanate Crosslinkers. Polymer 1993, 34, 610–615. [Google Scholar] [CrossRef]
- Kawase, T.; Peng, X.; Ikeno, K.; Sawada, H. Surface Modification of Glass by Oligomeric Fluoroalkylating Agents Having Oxime-blocked Isocyanate Groups. J. Adhes. Sci. Technol. 2001, 15, 1305–1322. [Google Scholar] [CrossRef]
- Gertzmann, R.; Gürtler, C. A Catalyst System for the Formation of Amides by Reaction of Carboxylic Acids with Blocked Isocyanates. Tetrahedron Lett. 2005, 46, 6659–6662. [Google Scholar] [CrossRef]
- Mühlebach, A. Pyrazoles—A Novel Class of Blocking Agents for Isocyanates. J. Polym. Sci. Pol. Chem. 1994, 32, 753–765. [Google Scholar] [CrossRef]
- De Aguirre, I.; Collot, J. Isocyanates Bloques: Etude Cinetique et Thermodynamique. Bull. Soc. Chim. Belg. 1989, 98, 19–30. [Google Scholar] [CrossRef]
- Iqbal, H.M.S.; Bhowmik, S.; Benedictus, R. Performance Evaluation of Polybenzimidazole Coating for Aerospace Application. Prog. Org. Coat. 2017, 105, 190–199. [Google Scholar] [CrossRef]
- Nasar, A.S.; Subramani, S.; Radhakrishnan, G. Synthesis and Properties of Imidazole-blocked Diisocyanates. Polym. Int. 1999, 48, 614–620. [Google Scholar] [CrossRef]
- Bode, S.; Enke, M.; Görls, H.; Hoeppener, S.; Weberskirch, R.; Hager, M.D.; Schubert, U.S. Blocked Isocyanates: An Efficient Tool for Post-polymerization Modification of Polymers. Polym. Chem. 2014, 5, 2574–2582. [Google Scholar] [CrossRef]
- Rolph, M.S.; Inam, M.; O’Reilly, R.K. The Application of Blocked Isocyanate Chemistry in the Development of Tunable Thermoresponsive Crosslinkers. Polym. Chem. 2017, 8, 7229–7239. [Google Scholar] [CrossRef]
- Hwang, J.W.; Kim, K.N.; Noh, S.M.; Jung, H.W. The Effect of Thermal Radical Initiator Derived from O-imino-isourea on Thermal Curing Characteristics and Properties of Automotive Clearcoats. J. Coat. Technol. Res. 2015, 12, 177–186. [Google Scholar] [CrossRef]
- Chiu, H.-T.; Cheng, M.-F.; Liu, H.-Y. The Analysis of Photocuring Behavior of Polyester Acrylate by Means of Differential Photo Calorimeter (DPC) and Rigid-body Pendulum Rheometer (RPT). Polym. Plast. Technol. Eng. 2007, 46, 199–205. [Google Scholar] [CrossRef]
- Oliver, W.C.; Pharr, G.M. An Improved Technique for Determining Hardness and Elastic Modulus using Load and Displacement Sensing Indentation Experiments. J. Mater. Res. 1992, 7, 1564–1583. [Google Scholar] [CrossRef]
- Bertrand-Lambotte, P.; Loubet, J.L.; Verpy, C.; Pavan, S. Nano-indentation, Scratching and Atomic Force Microscopy for Evaluating the Mar Resistance of Automotive Clearcoats: Study of the Ductile Scratches. Thin Solid Films 2001, 398, 306–312. [Google Scholar] [CrossRef]
- Lee, D.G.; Sung, S.; Oh, D.G.; Park, Y.I.; Lee, S.-H.; Kim, J.C.; Noh, S.M.; Jung, H.W. Application of Polycarbonate Diol Containing Hindered Urea to Polyurethane-based Clearcoats for Tuning of Scratch-healing Properties. J. Coat. Technol. Res. 2020, 17, 963–976. [Google Scholar] [CrossRef]
- Noh, S.M.; Lee, J.W.; Nam, J.H.; Park, J.M.; Jung, H.W. Analysis of Scratch Characteristics of Automotive Clearcoats Containing Silane Modified Blocked Isocyanates Via Carwash and Nano-scratch tests. Prog. Org. Coat. 2012, 74, 192–203. [Google Scholar] [CrossRef]








| Clearcoats | CC-DBP | CC-DMP | CC-PYR | CC-PL350 | |
|---|---|---|---|---|---|
| HFUMO (OH value = 125 KOH mg/g) | 0.250 g | ||||
| Blocked isocyanate (BI) | BI-DBP | 0.183 g | |||
| BI-DMP | 0.139 g | ||||
| BI-PYR | 0.124 g | ||||
| BI-PL350 | 0.196 g | ||||
| BYK 306 | 0.004 g | ||||
| HDDA | 0.050 g | ||||
| Total | 0.487 g | 0.443 g | 0.428 g | 0.5 g | |
© 2020 by the authors. Licensee MDPI, Basel, Switzerland. This article is an open access article distributed under the terms and conditions of the Creative Commons Attribution (CC BY) license (http://creativecommons.org/licenses/by/4.0/).
Share and Cite
June, Y.-G.; Jung, K.I.; Choi, M.; Lee, T.H.; Noh, S.M.; Jung, H.W. Effect of Urethane Crosslinking by Blocked Isocyanates with Pyrazole-Based Blocking Agents on Rheological and Mechanical Performance of Clearcoats. Coatings 2020, 10, 961. https://doi.org/10.3390/coatings10100961
June Y-G, Jung KI, Choi M, Lee TH, Noh SM, Jung HW. Effect of Urethane Crosslinking by Blocked Isocyanates with Pyrazole-Based Blocking Agents on Rheological and Mechanical Performance of Clearcoats. Coatings. 2020; 10(10):961. https://doi.org/10.3390/coatings10100961
Chicago/Turabian StyleJune, Young-Gun, Kevin Injoe Jung, Moonhyun Choi, Tae Hee Lee, Seung Man Noh, and Hyun Wook Jung. 2020. "Effect of Urethane Crosslinking by Blocked Isocyanates with Pyrazole-Based Blocking Agents on Rheological and Mechanical Performance of Clearcoats" Coatings 10, no. 10: 961. https://doi.org/10.3390/coatings10100961
APA StyleJune, Y.-G., Jung, K. I., Choi, M., Lee, T. H., Noh, S. M., & Jung, H. W. (2020). Effect of Urethane Crosslinking by Blocked Isocyanates with Pyrazole-Based Blocking Agents on Rheological and Mechanical Performance of Clearcoats. Coatings, 10(10), 961. https://doi.org/10.3390/coatings10100961

