Application of Infrared Spectroscopy in Prediction of Asphalt Aging Time History and Fatigue Life
Abstract
1. Introduction
2. Test Methods
2.1. Rolling Thin-Film Oven Test (RTFOT)
2.2. Infrared Spectrum Acquisition
2.3. Multiple Stress Creep Recovery (MSCR) Test
3. Results and Analysis
3.1. Infrared Spectrum Analysis of Aged Asphalt
3.1.1. Qualitative Analysis
3.1.2. Quantitative Analysis
3.2. MSCR Test Results and Analysis of Aged Asphalt
3.3. Correlation Analysis between Functional Group Index and MSCR Test Results
3.4. Establishment and Verification of Prediction Model of Asphalt Aging Time
3.4.1. Model Establishment
3.4.2. Model Validation
3.5. Fatigue Life Analysis of Aging Asphalt Based on Infrared Spectroscopy
3.5.1. Establishment of Relationship Model between Fatigue Life and Aging Time of Asphalt
3.5.2. Correlation Analysis between Comprehensive Index F and Fatigue Life
4. Discussion
5. Conclusions
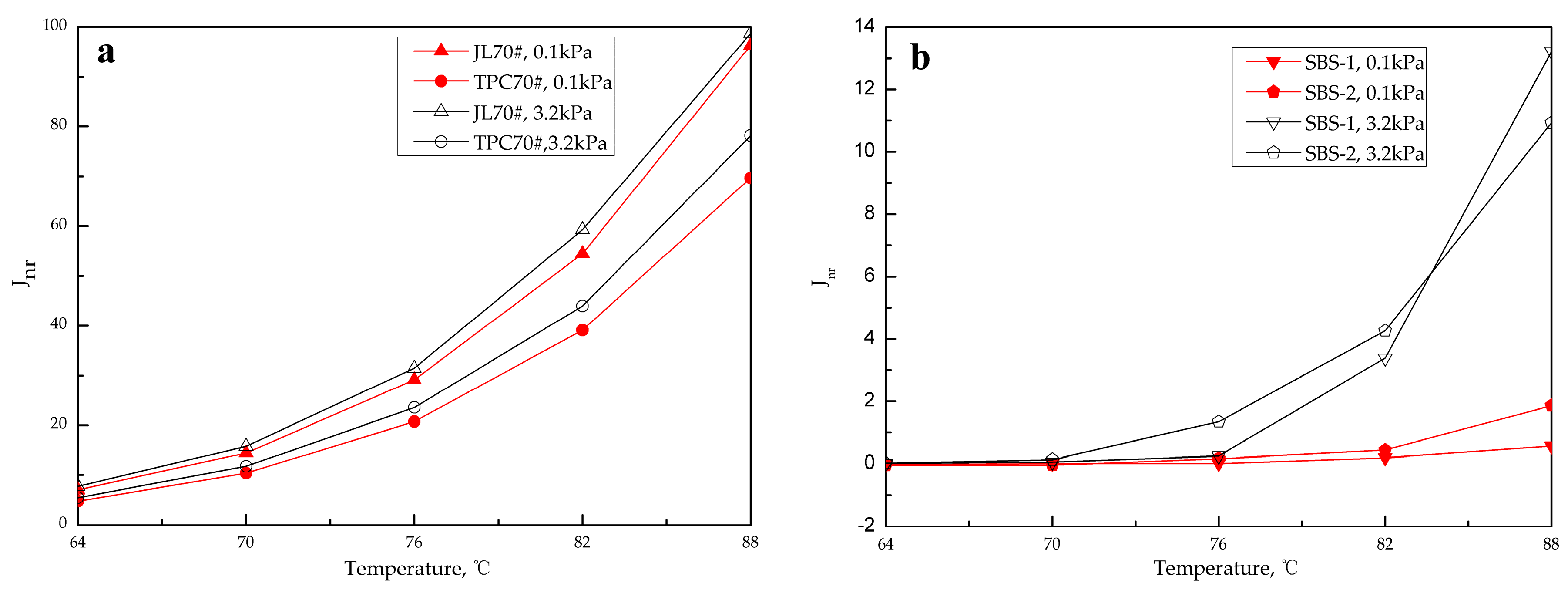
- After the asphalt is aged, its recovery rate R increases, and the high-temperature resistance to deformation is enhanced. The high-temperature resistance to deformation of four types of asphalt are ranked as follows: SBS-2 > SBS-1 > TPC70# > JL70#. The recovery rate R and the functional group index showed a multivariate linear correlation and a high degree of correlation. Figure 8 shows that the data points of the recovery rate R predicted by the five characteristic functional group indices are all located near the straight line of y = x, indicating the aging based on the functional group index. The prediction model of the asphalt recovery rate R has good reliability and can achieve rapid prediction of aging asphalt high-temperature resistance to deformation to a certain extent.
- The PCA method was used to determine two principal component factors, namely the oxidation factor and component change factor, both of which can be used to characterize the aging degree of asphalt. The asphalt aging time prediction model based on the principal component comprehensive evaluation index F has a certain degree of reliability, indicating that the asphalt infrared spectroscopy can quickly predict its aging time.
- Taking NRDEC as the fatigue life evaluation index, the fatigue life rankings of the four types of asphalt are: SBS-1 > SBS-2 > JL70# > TPC70#, and NRDEC is exponentially correlated with the aging time—the correlation (squared) reaches 0.86. The fatigue life of aging asphalt is positively correlated with the comprehensive index F of asphalt, and the correlation degree R2 is 0.85, i.e., the comprehensive index F of asphalt increases when its fatigue life also increases; therefore, it is feasible to use infrared spectroscopy to predict the aging time and fatigue life of asphalt, and it can provide a rapid and non-destructive prediction method for the practical application of asphalt.
Supplementary Materials
Author Contributions
Funding
Acknowledgments
Conflicts of Interest
References
- Hou, X.; Lv, S.; Chen, Z.; Xiao, F. Applications of fourier transform infrared spectroscopy technologies on asphalt materials. Measurement 2018, 121, 304–316. [Google Scholar] [CrossRef]
- Kleizienė, R.; Panasenkienė, M.; Vaitkus, A. Effect of Aging on Chemical Composition and Rheological Properties of Neat and Modified Bitumen. Materials 2019, 12, 4066. [Google Scholar] [CrossRef] [PubMed]
- Chu, X.L.; Xu, Y.P.; Lu, W.Z. Research and application progress of chemometrics for near infrared spectroscopy. Anal. Chem. 2008, 5, 702–709. [Google Scholar]
- Zhang, Z.Y.; Shen, J.N.; Shi, P.C.; Zhu, H. Micro-mechanism of asphalt aging based on nano-mechanics and functional groups. Highw. Traffic Sci. Tech. 2017, 34, 19–27. [Google Scholar]
- Li, P.; Nian, T.F.; Wei, D.B.; Lin, M. FTIR quantitative analysis method and new exploration of rheological parameters of aged asphalt. J. Huazhong Univ. Sci. Tech. Nat. Sci. Ed. 2018, 46, 34–39. [Google Scholar]
- Wang, Y.B.; Luo, A.L.; Lu, W.Z.; Yuan, H.F. Rapid determination of wax content in asphalt by near infrared analysis. Acta Petrolei. Sinica Pet. Eng. 2001, 3, 68–72. [Google Scholar]
- Tang, J.Q. Research on Rapid Identification and Analysis of Asphalt Materials. Master’s Thesis, Beijing University of Chemical Technology, Beijing, China, 2015. [Google Scholar]
- Wang, Y.J.; Chen, Q.T.; Zhao, W. Study on Rapid Detection of Asphalt Properties by Attenuated Total Reflection Infrared Spectroscopy. Highw. Traffic Tech. Appl. Tech. Ed. 2016, 12, 74–77. [Google Scholar]
- Nivitha, M.R.; Prasad, E.; Krishnan, J.M. Aging in modified bitumen using FTIR spectroscopy. Int. J. Pavement Eng. 2016, 17, 565–577. [Google Scholar] [CrossRef]
- Ye, Y.F.; Zhen, Y.; Zhang, X.R.; Wu, H.N. Study on rapid detection method of asphalt penetration. Pet. Ref. Chem. Ind. 2014, 6, 13–16. [Google Scholar]
- Weigel, S.; Stephan, D. The prediction of bitumen properties based on FTIR and multivariate analysis methods. Fuel 2017, 208, 655–661. [Google Scholar] [CrossRef]
- Hao, P.L. Evaluation and Analysis of Aging Detection of Asphalt Mixture for Road Use. North. Trans. 2015, 7, 71–73. [Google Scholar]
- Weigel, S.; Stephan, D. Bitumen Characterization with Fourier Transform Infrared Spectroscopy and Multivariate Evaluation: Prediction of Various Physical and Chemical Parameters. Energy Fuels 2018, 32, 10437–10442. [Google Scholar] [CrossRef]
- Zeng, M.; Pan, H.; Zhao, Y.; Tian, W. Evaluation of asphalt binder containing castor oil-based bioasphalt using conventional tests. Constr. Build. Mater. 2016, 126, 537–543. [Google Scholar] [CrossRef]
- Siddiqui, M.; Ali, M. Studies on the aging behavior of the Arabian asphalts. Fuel 1999, 78, 1005–1015. [Google Scholar] [CrossRef]
- Lin, L.; Li, X.L.; Zheng, G.Y.; Zhang, L.Q. New discussion on the relationship between aging performance of petroleum asphalt and its chemical composition. Mater. Guide 2013, 27, 123–126. [Google Scholar]
- Ma, Z. Performance evaluation of sulfur modified asphalt based on DSR test. Traffic Sci. Eng. 2017, 33, 23–26. [Google Scholar]
- Huo, Y.; Zhu, J.; Li, J.; Li, G.; Li, H. An active La/TiO2 photocatalyst prepared by ultrasonication-assisted sol-gel method followed by treatment under supercritical conditions. J. Mol. Catal. Chem. 2007, 278, 237–243. [Google Scholar] [CrossRef]
- JTGE20-2011. Testing Regulations for Asphalt and Asphalt Mixtures of Highway Engineering; Highway Research Institute of the Ministry of Communications: Beijing, China, 2011. [Google Scholar]
- ASTM D7405-20. Standard Test Method for Multiple Stress Creep and Recovery (MSCR) of Asphalt Binder Using a Dynamic Shear Rheometer; ASTM International: West Conshohocken, PA, USA, 2020. [Google Scholar] [CrossRef]
- Bahia, H.U.; Hanson, D.I.; Zeng, M.; Zhai, H.; Khatri, M.A.; Anderson, R.M. Characterization of Modified Asphalt Binders in Superpave Mix Design; NCHRP Report 459; Transportation Research Board, National Research Council: Washington, DC, USA, 2001. [Google Scholar]
- Lamontagne, J.; Dumas, P.; Mouillet, V.; Kister, J. Comparison by Fourier transform infrared (FTIR) spectroscopy of different ageing techniques: Application to road bitumens. Fuel 2001, 80, 483–488. [Google Scholar] [CrossRef]
- Zhang, B.L. Study on Asphalt Structure Characterization Based on Infrared Spectroscopy. Master’s Thesis, Wuhan University of Technology, Wuhan, China, 2014. [Google Scholar]
- Yao, H.; Dai, Q.; You, Z. Fourier Transform Infrared Spectroscopy characterization of aging-related properties of original and nano-modified asphalt binders. Constr. Build. Mater. 2015, 101, 1078–1087. [Google Scholar] [CrossRef]
- Zhang, D.; Zhang, H.; Shi, C. Investigation of aging performance of SBS modified asphalt with various aging methods. Constr. Build. Mater. 2017, 145, 445–451. [Google Scholar] [CrossRef]
- Yut, I.; Zofka, A. Correlation between rheology and chemical composition of aged polymer-modified asphalts. Constr. Build. Mater. 2014, 62, 109–117. [Google Scholar] [CrossRef]
- Gobrecht, A.; Bendoula, R.; Roger, J.M.; Bellon-Maurel, V. Combining linear polarization spectroscopy and the representative layer theory to measure the beer–lambert law absorbance of highly scattering materials. Anal. Chim. Acta 2015, 853, 486–494. [Google Scholar] [CrossRef] [PubMed]
- Chen, Y.D.; Tu, J.; Zhang, B.; Ding, H. Study on the influencing factors of SBS modified asphalt by infrared spectroscopy. Pet. Asphalt. 2014, 28, 67–72. [Google Scholar]
- Liu, B.; Shen, J.N.; Shi, P.C. Nano-scale microscopic characteristics and functional group properties of aged asphalt. Highw. Traffic Sci. Tech. 2016, 33, 6–13. [Google Scholar]
- Hofko, B.; Porot, L.; Cannone, A.F.; Poulikakos, L.; Huber, L.; Lu, X.; Mollenhauer, K.; Grothe, H. FTIR spectral analysis of bituminous binders: Reproducibility and impact of ageing temperature. Mater. Struct. 2018, 51, 45. [Google Scholar] [CrossRef]
- Song, Z.F.; Wang, J.; Li, J. Levenberg-Marquardt Algorithm for Orthogonal Fitting of Transition Curve. J. Southwest Jiaotong Univ. 2020, 55, 144–149. [Google Scholar]
- George, D.; Mallery, P. IBM SPSS Statistics 23 Step by Step: A Simple Guide and Reference; Routledge: New York, NY, USA, 2016. [Google Scholar]
- Lu, W.Z. Modern Near Infrared Spectroscopy, 2nd ed.; Sinopec Press: Beijing, China, 2007. [Google Scholar]
- Luo, R.; Xu, Y.; Liu, H.Q.; Zhang, D.R.; Feng, G.L. Rheological mechanical properties of DCLR modified asphalt. China J. Highw. Trans. 2018, 31, 165–171. [Google Scholar]
- Zhou, X.L.; Yang, Y.M.; Guan, J.X.; Yan, Y. Prediction of asphalt aging time history based on infrared spectrum. Sino-Foreign Highw. 2020, 40, 218–223. [Google Scholar]
- Qiu, L.L. Study on Aging and Regeneration Mechanism of SBS Modified Asphalt. Master’s Thesis, Dalian University of Technology, Dalian, China, 2012. [Google Scholar]
- Zhao, Y.L.; Gu, F.; Huang, X.M. Analysis of aging characteristics of SBS modified asphalt based on FTIR. J. Build. Mater. 2011, 14, 620–623. [Google Scholar]
- Pang, L. Study on UV Aging Characteristics of Asphalt. Ph.D. Thesis, Wuhan University of Technology, Wuhan, China, 2008. [Google Scholar]
- Zhang, F.; Yu, G.Y.; Han, J. The Effects of thermal oxidative aging on dynamic viscosity, TG/DTG, DTA and FTIR of SBS-and SBS sulfur-modified asphalts. Constr. Build. Mater. 2011, 25, 129–137. [Google Scholar] [CrossRef]















© 2020 by the authors. Licensee MDPI, Basel, Switzerland. This article is an open access article distributed under the terms and conditions of the Creative Commons Attribution (CC BY) license (http://creativecommons.org/licenses/by/4.0/).
Share and Cite
Yan, Y.; Yang, Y.; Ran, M.; Zhou, X.; Zou, L.; Guo, M. Application of Infrared Spectroscopy in Prediction of Asphalt Aging Time History and Fatigue Life. Coatings 2020, 10, 959. https://doi.org/10.3390/coatings10100959
Yan Y, Yang Y, Ran M, Zhou X, Zou L, Guo M. Application of Infrared Spectroscopy in Prediction of Asphalt Aging Time History and Fatigue Life. Coatings. 2020; 10(10):959. https://doi.org/10.3390/coatings10100959
Chicago/Turabian StyleYan, Yuan, Yanmei Yang, Maoping Ran, Xinglin Zhou, Lanlin Zou, and Minrui Guo. 2020. "Application of Infrared Spectroscopy in Prediction of Asphalt Aging Time History and Fatigue Life" Coatings 10, no. 10: 959. https://doi.org/10.3390/coatings10100959
APA StyleYan, Y., Yang, Y., Ran, M., Zhou, X., Zou, L., & Guo, M. (2020). Application of Infrared Spectroscopy in Prediction of Asphalt Aging Time History and Fatigue Life. Coatings, 10(10), 959. https://doi.org/10.3390/coatings10100959
