Next Article in Journal
Sensitivity Analysis of Rotor/Stator Interactions Accounting for Wear and Thermal Effects within Low- and High-Pressure Compressor Stages
Next Article in Special Issue
Semiconducting p-Type Copper Iron Oxide Thin Films Deposited by Hybrid Reactive-HiPIMS + ECWR and Reactive-HiPIMS Magnetron Plasma System
Previous Article in Journal
Corrosion and Wear Resistance of Fe-Based Amorphous Coatings
Previous Article in Special Issue
Micro-Patterning of Magnetron Sputtered Titanium Dioxide Coatings and Their Efficiency for Photocatalytic Applications
 
 
Font Type:
Arial Georgia Verdana
Font Size:
Aa Aa Aa
Line Spacing:
Column Width:
Background:
Article

Enhanced Photoelectrochemical Properties from Mo-Doped TiO2 Nanotube Arrays Film

Department of Materials Science, Fudan University, Shanghai 200433, China
*
Author to whom correspondence should be addressed.
These authors contributed equally to this work.
Coatings 2020, 10(1), 75; https://doi.org/10.3390/coatings10010075
Submission received: 30 December 2019 / Revised: 10 January 2020 / Accepted: 13 January 2020 / Published: 15 January 2020
(This article belongs to the Special Issue Photocatalytic Thin Films)

Abstract

Mo-doped TiO2 nanotube arrays are prepared successfully by a combined method of direct current (DC) magnetron sputtering and anodic oxidation. The doping amount of Mo can be modified by changing the number of molybdenum blocks on the Ti target while a Ti–Mo alloy film is prepared by magnetron sputtering on a metal Ti substrate, following a Mo-doped TiO2 nanotube array grown by anodization. Morphology test shows that the doping of Mo could inhibit the phase transition and growth of crystal of TiO2. X-ray photoelectron spectroscopy (XPS) results show that Mo has successfully been embedded in the TiO2 crystal lattice and mainly exists in the valence states of Mo6+. Mo-doping samples show slightly increased visible light absorption as the red shift of TiO2 absorption edge with the band gap dropping from 3.24 to 3.16 eV with 0.5 at.% Mo doping. The enhanced photocurrent is demonstrated for a 0.5 at.% Mo-doped TiO2 electrode. Through photoelectric performance testing under UV-visible light irradiation, the nanotube array film with a Mo-doped content of 0.5% produced the maximum photocurrent density, which is about four times the undoped TiO2 nanotube array film, exhibiting a considerable photoelectric effect gain. The controllable Mo doping TiO2 nanotube array film prepared by this combining technique is expected as a promising material for efficient applications in photoelectric conversion.

1. Introduction

The efficient utilization of solar energy occupies the essential position for addressing energy and environmental conflicts. To achieve the optimized conversion of solar energy, an appropriate semiconductor, such as TiO2, NiO, ZnO, CdS, or Fe2O3, among others [1], should be used as a photocatalyst. TiO2 has attracted increasing attention due to its chemical stability, environmental friendliness, and simple preparation [2]. Rutile TiO2 photoelectrode can split H2O into H2 and O2 with a volume ratio of 2:1 under the action of near-ultraviolet light (~380 nm) [3]. However, the wide band gap of TiO2 is 3.2 eV for anatase and 3.0 eV for rutile, respectively. The response spectrum is mainly in the ultraviolet region and the photogenerated electron-hole pair has high recombination probability, which limits the practical application of TiO2 [4].
So far, it is found that TiO2 doped with metal or non-metal elements can improve its absorption of visible light resulting in the increasing yield of photogenerated electron-hole pairs [5,6,7]. Non-metal doped TiO2 is mainly acquired by non-metal atoms substituting the oxygen atoms in the crystal lattice or fitting into the interstitial sites [8,9]. Metal-doped TiO2 with metal ions introduced into the TiO2 crystal lattice has the advantages of the formation of defects which inhibit the recombination of photo-generated carriers, and also bring impurity levels for regulating the energy band structure [5]. Recently, the doping of transition metal elements such as Mo [10], Fe [11], Mn [12], Cr [13], V [14], and Ni [15] have been investigated for the purpose of enhancing the photocatalytic efficiency of TiO2. Wu et al. [11] prepared Fe-TiO2 nanotubes with the ultrasonic impregnation-calcination method. It was found that some of the Fe3+ ions entered into the TiO2 lattice, and the absorption capacity of visible light of Fe-doped TiO2 nanotube arrays gradually increases as the doping amount increases. Patle et al. [16] reported an one-step co-precipitation method of synthesizing TiO2 nanoparticles with Mn2+, Cu2+, and Fe2+, and assembling dye-sensitized solar cells (DSSCs) using doped-TiO2 nanoparticles as photoanode. Compared with TiO2 photoanode materials without Cu2+ and Fe2+ doping, the incorporation of Mn2+ can effectively increase the light conversion efficiency of TiO2. Avansi et al. [17] synthesized V-doped TiO2 nanostructures and observed single-crystalline anatase phase despite the different amounts of V ions. Li et al. [15] reported a novel Ni-doped TiO2 inverse opal photonic microarray (IOPM) structure photocatalyst and Ni doping could increase the visible light absorption. Recent studies indicate that the radius of Mo6+ is similar to that of Ti4+, thus, compared with other transition metal elements, Mo can effectively replace Ti4+ in TiO2 crystal lattice [18,19]. The doping donates a contribution to redshift as the absorption edge moving towards the region of visible light and improve the light response under both ultraviolet and visible light as well, enhancing the photoelectrochemical activity of TiO2 [7,18]. Wang et al. [20] prepared Mo-doped TiO2 nanoparticles through the sol-gel method, where the band gap of TiO2 can be reduced from 3.19 to 3.05 eV with an increase in doping concentration, and the photocatalytic ability of TiO2 nanoparticles reached the best level at 2.0 at.% Mo doping. Huang et al. [7] studied the effects of annealing temperature and Mo doping concentration on crystalline phase, grain size, lattice distortion, and photoresponse, which indicates most doped Mo6+ ions replace Ti4+ in the TiO2, and the grain growth and phase transformation of TiO2 are suppressed, resulting in the distortion of the TiO2 crystal lattice. Liao et al. [21] found that doping with Mo in a sol-gel method can improve the electrochemical performance of TiO2. This is mainly due to the induction of electrons in the conduction band, as well as oxygen defects including vacancies in the band gap increasing the conductivity. Studies listed above show that Mo-doped TiO2 has the potential development of promising photocatalytic properties under UV/visible light, and it is very meaningful to optimize the doping amount in a simple and controllable way.
However, recent works on controllable Mo doping TiO2 by the sol-gel method often resulted in nanoparticles rather than nanotubes [7], and other works on TiO2 nanotubes doping are often achieved with a surface modified or deposited with metal particles [22], which cannot guarantee the overall doping of the nanotubes as well as the precise control of the doping content. Hence, the growing of TiO2 nanotubes array with flexible Mo doping still requires exploration.
Pure TiO2 nanotubes are generally fabricated by anodization in F-based electrolyte (pH < 5), uniformly grown atop the supporting titanium metal foil substrates, during which, however, the overall doping of nanotubes can hardly be achieved, and the component controllability is difficult to reach even under various chemical methods. Therefore, the initial doping modification of pure Ti substrates is of great necessity in order to fabricate a Mo-doped nanotube array through the Ti–Mo alloy film.
In our experiment, Mo-doped TiO2 was prepared by combining a magnetron sputtering and anodic oxidation method. We creatively proposed a magnetron sputtering technique to fulfill adjustable dose of Ti–Mo thin films through regulating the atomic ratio of target materials. Then, Mo-doped TiO2 nanotube arrays were prepared by oxidizing Ti–Mo alloy films. The enhanced photoelectrochemical performance was demonstrated for the Mo-TiO2 nanotubes as photoelectrode. This combination of magnetron sputtering and electrochemical oxidation method of preparing doped TiO2 with nanotubular morphology aligned perpendicular to the surface of substrates provides some advantages for carrier transport performance among nanotubes as well as between the interfaces of semiconductor and the metal substrate resulting in accelerated separation of photogenerated carriers.

2. Experimental Section

Ti–Mo alloy films were physically deposited on titanium foils at room temperature in a DC magnetron vacuum deposition machine (SY-500, Beijing Shengdeyu Vacuum Technology Co., Beijing, China). Before sputtering, titanium foils (0.1 mm thickness, 99.6% purity) were ultrasonically cleaned with acetone, ethanol, and deionized water sequentially, then chemically etched by dipping in a mixture solution of HF (40%), HNO3 (65%), and deionized water (1:4:5 in volume) for 1 min (30 seconds on each side), rinsed with deionized water and dried by N2. Four Ti targets (99.99%, Alluter, Shenzhen, China) embedded with different amounts of Mo (0%, 0.25%, 0.5%, 1.0%) were also prepared beforehand, regulated by attaching several Mo cubes (2 mm × 2 mm × 2 mm) to different symmetric areas on the sputtering ring of Ti target so as to control the Mo content in each target. It should be noted that the content of Mo is supposed to be accurately confirmed or calibrated due to the deviation of sputtering yields to some extent. Before sputtering, the vacuum pressure inside the cavity reached 2.5 × 10−3 Pa and each sputtering process lasted 40 min, in a pressure of 0.5 Pa (Ar (100%)) with a power of 200 W. The as-prepared Ti–Mo film owed a thickness of 300 nm at least.
The preparation of Mo-doped TiO2 nanotube arrays by anodization method could be widely found [23]. Briefly, we performed it with the Ti foils (deposited with Ti–Mo alloy films on the top) as the working electrode and a graphite sheet as the counter electrode bathing in a 0.5 wt.% HF solution anodized for 40 min under a voltage of 20 V with DC power. The as-prepared samples were quickly rinsed in pure water afterwards, dried with an air stream, and annealed at 500 °C for 2 h under ambient conditions. The fabricated TiO2 nanotube array is observed with an approximate length of 300 nm, which indicates that Ti–Mo film deposited on the Ti substrate is not completely etched. The content of Mo doped TiO2 is controlled by the number of Mo cubes used in magnetron sputtering, marked as Mo1.0 (1.0 at.% Mo), Mo0.5 (0.5 at.% Mo), Mo0.25 (0.25 at.% Mo), and Mo0 (0 at.% Mo), respectively.
Figure 1 gives a brief illustration of the preparation of Mo-doped TiO2 nanotube arrays in this study.
The details of measurement can be found elsewhere [24].

3. Results and Discussion

The morphology of the pure TiO2 and Mo-doped TiO2 nanotube arrays was characterized by scanning electron microscope (SEM, XL30FEG, Philips, Eindhoven, The Netherlands) as shown in Figure 2. This illustrates that the TiO2 nanotube arrays with an observed hollow structure were successfully fabricated by the controllable one-step anodization procedure. A top view of TiO2 nanotubes with different Mo doping concentrations is shown as Figure 2A–H. Uniformly ordered and vertically grown Mo doped TiO2 nanotubes with an approximately inner diameter of 80 nm and a wall thickness of around 10 nm were formed from Ti–Mo film on Ti substrates, while the undoped TiO2 nanotube array grew with an inner diameter range of 50–100 nm and a thickness of 25 nm. It can be predicted that when the content of Mo doping gradually decreases, the degree of damage to the hollow structure of the nanotube will be correspondingly reduced. In addition, the center spacing of adjacent nanotubes increases with the decrease of Mo doping content, which indicates that the arrangement density of nanotube array increases with the decrease of Mo doping content. By comparison, it is possible that Mo doping content governs the destruction of the TiO2 nanotube structure and the introduction of impurities and defects in the film prepared by magnetron sputtering [8].
As in Figure 3, all diffraction peaks in the X-ray diffraction (XRD, D8 Advance, Bruker, Ricoh, Japan) spectra were ascribed to TiO2 and the Ti substrate [23], indicating that the fabricated TiO2 nanotube film were relatively thin and the Ti–Mo nanotubes film was intensely bonded to the substrate. After annealing treatment, TiO2 and Mo-doped TiO2 samples appeared at positions of 25.3°, 37.9°, and 38.9° corresponding to the anatase TiO2 (101), (004), and (112) crystal plane diffraction peaks. The XRD peaks at 2θ = 27.6° (110) were often taken as the characteristic peaks of rutile crystal phase [7,25]. When the Mo doping content is reduced from 1.0% to 0%, the number of diffraction peaks of the film changes relatively, among which the film with Mo content of 0.5% shows the largest number of characteristic peaks appearing at the position of 27.5°, 44.2°, and 64.3°, corresponding to the rutile phases (110), (210), and (310), as well as the position of the 25.2° and 37.9° corresponding to anatase phase (101) and (004), respectively [25]. In numerical terms, the ionic radius of Ti4+ (0.068 nm) is very close to the ionic radius of Mo6+ (0.062 nm), and when the amount of doping is not too high (0.5 at.%), most of Mo6+ ions replace Ti4+ as substitutional impurities. In the case of heavy doping (1.0 at.%), excess Mo enters the lattice only in the form of interstitial atoms, which aggravates the lattice deformation and suppresses grain growth [26]. Some researchers suggest that the doping of Mo inhibits growth of crystals due to induced structure defects and hinders the transformation from anatase to rutile of TiO2 at the same time [7,27].
The XPS (PHI-5000C, Perkin Elmer, Hyman, Germany) survey spectra of TiO2 and Mo-TiO2 nanotube arrays were measured. Figure 4A presents the full-scale XPS spectra of the TiO2 (curve a) and Mo-TiO2 nanotube arrays (curve b and c). The electron binding energies of all elements were calibrated against the contaminated C 1s level (284.6 eV). The existence of the peaks of C 1s, O 1s, and Ti 2p can be recognized in all samples, whereas the signature peaks of Mo emerged in the Mo-doped TiO2 nanotube arrays. The peak of C 1s at 284.6 eV may be due to carbon contamination in the air or carbon introduced during sample preparation. With the elevation of Mo doping concentration, the intensity of the characteristic peak of Mo is gradually increased, indicating increased Mo doping into the TiO2 crystal lattice, which is consistent with the XRD results. From Figure 4B, the characteristic peaks of Ti 2p3/2 and Ti 2p1/2 of 0.5 at.% Mo-doped TiO2 are located at 458.2 and 463.9 eV, respectively, demonstrating the presence of Ti4+ in the crystal. A new Ti 2p peak appears at 460.1 eV, which can be attributed to the small amount of Ti3+ present in TiO2 [28]. Figure 4C shows the O 1s XPS spectrum of 0.5 at.% Mo-doped TiO2, which can be divided into two peaks. The higher peak at 529.4 eV is due to O2− in the TiO2 lattice, and the lower peak at 531.3 eV is attributed to the surface hydroxyl group or adsorbed oxygen [7,21]. Hydroxyl groups help photodegradation reactions for acting as compound adsorption sites and traps of photogenerated holes producing hydroxyl radicals, which decompose organics directly [19].
Mo 3d3/2 and 3d5/2 peaks of the 0.5 at.% Mo-doped TiO2 sample are presented in Figure 4D. It can be seen that the peaks observed at 232.5 and 235.7 eV are Mo 3d5/2 and Mo 3d3/2 of Mo6+, while the peaks at 231.9 and 235.0 eV are Mo 3d5/2 and Mo 3d3/2 of Mo5+ [29]. These characteristic peaks are attributed to Mo–O bonds, revealing the successful incorporation of Mo into the TiO2 lattice. Obtaining from the ratio of peak area, the atomic proportion of Mo6+ and Mo5+ would be 72.6% and 27.4%. This indicates Mo6+ is the main dopant form in TiO2 crystals while Mo6+ can improve the electronic conductivity of TiO2 photoanode [21], which would be beneficial to the electrochemical properties of the Mo-doped TiO2 anodes in this work.
The elemental composition of the nanotube array film can be analyzed by X-ray energy spectroscopy (EDS, XL30FEG, Philips, Eindhoven, The Netherlands). Figure 5A–D shows the EDS spectra of TiO2 with Mo doping contents of 1.0%, 0.50%, 0.25%, and 0%, respectively. Since the film sample for the EDS test is based on Ti metal sheet with an abundant number of Ti atoms in the test area, the EDS spectrum of all test samples include a strong Ti characteristic excitation energy peak at 4.51 keV. The peak simultaneously appearing at 0.523 keV is caused by the transition of the L-layer electrons to the K-layer in the O atom, providing further proof of the Ti–O atomic composition as TiO2. In addition, the Mo characteristic peaks with different intensities appear at 2.29 keV correspond to the X-rays energy radiating from the M-layer electrons transmitting to the L-layer in the Mo atom.
In order to calibrate the atomic percentage of Mo atoms in the TiO2 nanotubes, the percentage of Mo atoms in the TiO2 nanotube array film can be calculated based on the O atomic percentage. The calculated data by this method are shown in Table 1. As shown in the figure, the four samples, Mo1.0, Mo0.5, Mo0.25, and Mo0, corresponding to the test Mo doping contents are 0.64%, 0.31%, 0.16%, and 0%. Meanwhile, the percentage of Mo atoms in Mo1.0, Mo0.5, and Mo0.25 samples are 0.99%, 0.47%, and 0.22% based on EDS analysis and calibration calculation (calculated by TiO2 stoichiometry based on O atomic percentage), which is close to the theoretical doping content.
The specific calibration calculation mentioned above is carried out by listed equations, where we define the content of Ti accounting for half of the content of O as the atom ratio of TiO2 since the testing result of Ti content deviates from the accurate measurement due to the extra Titanium from the substrate:
C Ti = 1 2 C O
C Mo , calibrated = C Mo C O + C Ti + C Mo
C O , calibrated = C O C O + C Ti + C Mo
C Ti , calibrated = C Ti C O + C Ti + C Mo
where C Ti represents the content of Ti calculated by the ideal atomic ratio of TiO2, CO is original content data of O, and CMo is original content of Mo. CMo,calibrated, CO,calibrated and CTi,calibrated are the calibrated data after calculation.
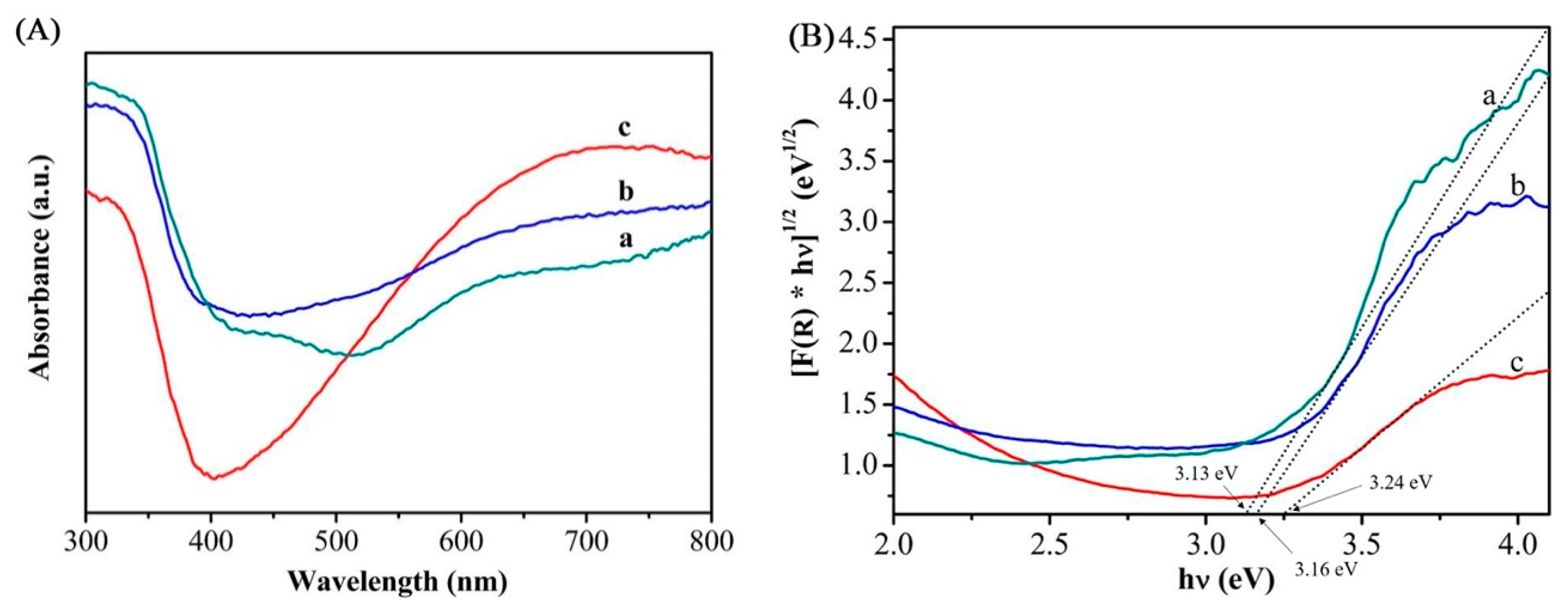
UV-visible diffuse reflectance spectroscopy (UV-Vis DRS) was performed to study the light response abilities of the TiO2 and Mo-doped TiO2 nanotube arrays. Shown in Figure 6 are the UV-Vis DRS curves (A) and Tauc plots (B) of the nanotube samples with different Mo doping contents of 1.0% (a), 0.50% (b), and 0% (c). In general, the UV absorbance of nanotubes and the redshift of absorption edge intensified with the increase of Mo dopant concentration. However, in visible light range (λ = 380–780 nm), the light absorption integral area changes with an initial climb in nanotube array film followed by a decrease as the heavier Mo doping, probably due to the excessive Mo doping content, causing the destruction of nanotubes and the reduction in the arrangement density of the nanotubes, reducing the specific surface area of the whole nanotube array film, and resulting in a decrease in light absorption. Theoretically, by offering more valence electrons easily photo-incited and converting to free carriers, Mo doping with low concentration introduces a donor level below the conduction band of TiO2, resulting in a narrower band gap [7]. The shifted band gap can be evaluated from the absorption spectrum by the Tauc method [26,30]. The estimated band gap of undoped TiO2 is 3.24 eV, agreeing with the typical value of intrinsic pure TiO2 [20]. Sample Mo0.5 induces a distinct bang gap drop to 3.16 eV, i.e., hence the light response wavelength moves to UV and visible light region (~392 nm). When the Mo doping content increased from 0.5% to 1.0%, the band gap decreased from 3.16 to 3.13 eV, which corresponded to the same slight redshift as well. Above all, it is notable that, for 0.5 at.% Mo-TiO2, the light response to both UV and visible irradiation are consistently more sensitive among other doping contents. Therefore, it can be concluded that band-gap engineering could be effectively performed by searching an appropriate doping amount of Mo-TiO2 nanotube arrays. The effective red shift of absorption band gap and the evidently enhanced light absorption under UV-visible irradiation are beneficial to the photoelectrochemical efficiency of Mo-TiO2 nanotube arrays.
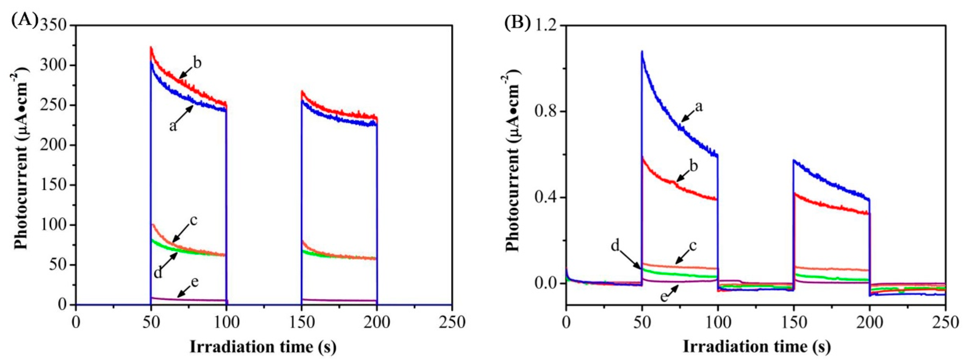
So as to further study the photoelectrochemical performance, the test was carried out in a dark manner (obscuring the xenon lamp) with the xenon lamp illuminating the sample at intervals, and a standard three-electrode electrochemical cell with Pt wire as counter electrode, saturated calomel electrode (SCE) as reference electrode, as well as TiO2 and Mo-doped TiO2 nanotube arrays as working electrodes were set for the photoelectrochemical measurements. Notably, the photocurrent responses to illumination were prompt in all the samples, as shown in Figure 7. When the doping concentration of Mo reaches 0.5 at.%, the transient photocurrents of Mo-doped TiO2 nanotubes under visible and ultraviolet visible light were 0.45 and 237.7 μA·cm−2, respectively. Compared with TiO2 nanotube arrays electrode (curve a), the photocurrents for 0.5 at.% Mo-doped TiO2 nanotube arrays electrode (curve b)increased 5.8 and 4.1 times, respectively, as shown in Figure 7A,B. Furthermore, as the doping concentration increases, the photocurrent density initially rises rapidly followed by a drop due to the distortion and imperfections of the lattice. We report that when the doping content of Mo is 0.5 at.%, the photocurrent density of the film under UV-visible light reaches maximum, and the photocurrent density under visible light is relatively enhanced and stable. The enhanced photoelectrochemical performance of Mo-TiO2 nanotube arrays could be attributed to the synergistic effect between Mo6+ ions and the narrowed band gap by Mo-doping. Mo6+ ions replacing Ti4+ in the lattice act as electron traps to promote the separation of photogenerated carriers [20]. Meanwhile, according to the analysis of XPS, there should be surface hydroxyl groups or adsorbed oxygen (oxygen vacancies) on the surface of Mo-doped TiO2, which may trap the photoexcited electrons to increase the separation efficiency of electron-hole pairs [24]. However, as the content of Mo continued to rise, the photoelectrochemical performance degraded, resulting from a severe recombination rate caused by excessive lattice impurities as recombination centers. Also, the design of nanotubular structure combing with Mo-doping undoubtedly induces significant progress in photocurrent intensity.

4. Conclusions

In conclusion, we propose a simple method to prepare thin film MoTiO2 nanotube arrays successfully by combining magnetron sputtering and anodic oxidation techniques. The flexible dose of Mo doping is achieved by changing the number of Mo blocks on the sputtering target. Morphology testing showed that the doping of Mo could inhibit the phase transition as well as the growth of the crystal and destroy the morphology of nanotubes to some extent. XPS results show that Mo is successfully embedded in the TiO2 crystal lattice and mainly exists in the valence states of Mo6+ and Mo5+. The content of each valence state is 72.6% and 27.4%, respectively, indicating that the main valence of Mo in the TiO2 lattice is Mo6+. Mo doping makes the TiO2 absorption edge red shift and the light absorption increase obviously. The band gap of undoped TiO2 is 3.24 eV, and the band gap is 3.16 eV when the doping concentration is 0.5 at.%, and decreases to 3.14 eV at 1.0 at.% doping concentration. With Mo doping content reaching 0.5 at.%, the photo-generated current density demonstrates a remarkable growth of 300% under UV light (compared to pure TiO2 nanotube arrays films) as well as appreciable stability and photoelectric conversion efficiency under visible light. This work provides a new strategy improving the photoelectrochemical performance of metal-doped TiO2 nanomaterial.

Author Contributions

Conceptualization, J.L. and J.S.; methodology, Z.L.; validation, D.X., J.L. and Z.L.; formal analysis, D.X. and J.L.; writing—original draft preparation, D.X. and J.S.; writing—review and editing, Y.Y., D.X. and J.S. All authors have read and agreed to the published version of the manuscript.

Funding

This work was supported by the Natural Science Foundation of China (No. 61671155).

Acknowledgments

The author thanks Department of Materials Science in Fudan University for the magnetron sputtering equipment and Xiaoli Cui for anodization experimental guidance as well as Xiangyin Lu for anodization device.

Conflicts of Interest

The authors declare no conflict of interest.

References

  1. Qiu, W.T.; Huang, Y.C.; Wang, Z.L.; Xiao, S.; Ji, H.B.; Tong, Y.X. Effective strategies towards high-performance photoanodes for photoelectrochemical water splitting. Acta Phys. Chim. Sin. 2017, 33, 801–802. [Google Scholar]
  2. Su, T.; Shao, Q.; Qin, Z.; Guo, Z.; Wu, Z. Role of interfaces in two-dimensional photocatalyst for water splitting. ACS Catal. 2018, 8, 2253–2276. [Google Scholar] [CrossRef]
  3. Cho, S.; Jang, J.-W.; Lee, K.-H.; Lee, J.S. Research update: Strategies for efficient photoelectrochemical water splitting using metal oxide photoanodes. APL Mater. 2014, 2, 10703. [Google Scholar] [CrossRef]
  4. Lan, Y.; Lu, Y.; Ren, Z. Mini review on photocatalysis of titanium dioxide nanoparticles and their solar applications. Nano Energy 2013, 2, 1031–1045. [Google Scholar] [CrossRef]
  5. Yadav, S.; Jaiswar, G. Review on undoped/doped TiO2 nanomaterial; synthesis and photocatalytic and antimicrobial activity. J. Chin. Chem. Soc. 2017, 64, 103–116. [Google Scholar] [CrossRef]
  6. Sun, M.; Song, P.; Li, J.; Cui, X. Preparation, characterization and applications of novel carbon and nitrogen codoped TiO2 nanoparticles from annealing TiN under CO atmosphere. Mater. Res. Bull. 2013, 48, 4271–4276. [Google Scholar] [CrossRef]
  7. Huang, J.-G.; Guo, X.-T.; Wang, B.; Li, L.-Y.; Zhao, M.-X.; Dong, L.-L.; Liu, X.-J.; Huang, Y.-T. Synthesis and Photocatalytic Activity of Mo-Doped TiO2 Nanoparticles. J. Spectrosc. 2015, 2015, 1–8. [Google Scholar] [CrossRef]
  8. Zhu, L.; Cui, X.; Shen, J.; Yang, X.; Zhang, Z. Visible light photoelectrochemical response of carbon-doped TiO2 thin films prepared by DC reactive magnetron sputtering. Acta Phys. Chim. Sin. 2007, 23, 1662–1666. [Google Scholar] [CrossRef]
  9. Sun, M.; Zhang, X.; Li, J.; Cui, X.; Sun, D.; Lin, Y. Thermal formation of silicon-doped TiO2 thin films with enhanced visible light photoelectrochemical response. Electrochem. Commun. 2012, 16, 26–29. [Google Scholar] [CrossRef]
  10. Luo, S.-Y.; Yan, B.-X.; Shen, J. Intense photocurrent from Mo-doped TiO2 film with depletion layer array. ACS Appl. Mater. Interfaces 2014, 6, 8942–8946. [Google Scholar] [CrossRef]
  11. Wu, Q.; Ouyang, J.; Xie, K.; Sun, L.; Wang, M.; Lin, C. Ultrasound-assisted synthesis and visible-light-driven photocatalytic activity of Fe-incorporated TiO2 nanotube array photocatalysts. J. Hazard. Mater. 2012, 199, 410–417. [Google Scholar] [CrossRef] [PubMed]
  12. Guo, M.; Gao, Y.; Shao, G. Complex doping chemistry owing to Mn incorporation in nanocrystalline anatase TiO2 powders. Phys. Chem. Chem. Phys. 2016, 18, 2818–2829. [Google Scholar] [CrossRef] [PubMed]
  13. Momeni, M.M. Dye-sensitized solar cells based on Cr-doped TiO2 nanotube photoanodes. Rare Metals 2017, 36, 865–871. [Google Scholar] [CrossRef]
  14. Wang, P.; Guo, R.-T. The promotion effect of copper doping on the potassium resistance of V/TiO2 catalyst for selective catalytic reduction of NO with NH3. Chem. Pap. 2017, 71, 2253–2259. [Google Scholar] [CrossRef]
  15. Li, X.; Wu, Y.; Shen, Y.; Sun, Y.; Yang, Y.; Xie, A. A novel bifunctional Ni-doped TiO2 inverse opal with enhanced SERS performance and excellent photocatalytic activity. Appl. Surf. Sci. 2018, 427, 739–744. [Google Scholar] [CrossRef]
  16. Patle, L.B.; Huse, V.R.; Chaudhari, A.L. Band edge movement and structural modifications in transition metal doped TiO2 nanocrystals for the application of DSSC. Mater. Res. Express 2017, 4, 105045. [Google Scholar] [CrossRef]
  17. Avansi, W.; Arenal, R.; De Mendonça, V.R.; Ribeiro, C.; Longo, E. Vanadium-doped TiO2 anatase nanostructures: The role of V in solid solution formation and its effect on the optical properties. Cryst. Eng. Comm. 2014, 16, 5021–5027. [Google Scholar] [CrossRef]
  18. Luo, S.Y.; Yan, B.X.; Shen, J. Enhancement of photoelectric and photocatalytic activities: Mo doped TiO2 thin films deposited by sputtering. Thin Solid Films 2012, 522, 361–365. [Google Scholar] [CrossRef]
  19. Avilés-García, O.; Espino-Valencia, J.; Romero, R.; Rico-Cerda, J.L.; Arroyo-Albiter, M.; Natividad, R. W and Mo doped TiO2: Synthesis, characterization and photocatalytic activity. Fuel 2017, 198, 31–41. [Google Scholar] [CrossRef]
  20. Wang, S.; Bai, L.; Sun, H.; Jiang, Q.; Lian, J. Structure and photocatalytic property of Mo-doped TiO2 nanoparticles. Powder Technol. 2013, 244, 9–15. [Google Scholar] [CrossRef]
  21. Liao, H.; Xie, L.; Zhang, Y.; Qiu, X.; Li, S.; Huang, Z.; Hou, H.; Ji, X. Mo-doped gray anatase TiO2: Lattice expansion for enhanced sodium storage. Electrochim. Acta 2016, 219, 227–234. [Google Scholar] [CrossRef]
  22. Xu, G.; Liu, H.; Wang, J.; Lv, J.; Zheng, Z.; Wu, Y. Photoelectrochemical performances and potential applications of TiO2 nanotube arrays modified with Ag and Pt nanoparticles. Electrochim. Acta 2014, 121, 194–202. [Google Scholar] [CrossRef]
  23. Li, Z.; Cui, X.; Hao, H.; Lu, M.; Lin, Y. Enhanced photoelectrochemical water splitting from Si quantum dots/TiO2 nanotube arrays composite electrodes. Mater. Res. Bull. 2015, 66, 9–15. [Google Scholar] [CrossRef]
  24. Li, Z.; Chen, Y.; Shen, J.; Cui, X. Facile synthesis of a heterogeneous Li2TiO3/TiO2 nanocomposite with enhanced photoelectrochemical water splitting. New J. Chem. 2017, 41, 6305–6314. [Google Scholar] [CrossRef]
  25. Zhang, T.; Yu, B.; Wang, D.; Zhou, F. Molybdenum-doped and anatase/rutile mixed-phase TiO2 nanotube photoelectrode for high photoelectrochemical performance. J. Power Sources 2015, 281, 411–416. [Google Scholar] [CrossRef]
  26. Cui, M.; Pan, S.; Tang, Z.; Chen, X.; Qiao, X.; Xu, Q. Physiochemical properties of n-n heterostructured TiO2/Mo-TiO2 composites and their photocatalytic degradation of gaseous toluene. Chem. Speciat. Bioavailab. 2017, 29, 60–69. [Google Scholar] [CrossRef]
  27. Bhattacharyya, K.; Majeed, J.; Dey, K.K.; Ayyub, P.; Tyagi, A.K.; Bharadwaj, S.R. Effect of Mo-incorporation in the TiO2 lattice: A mechanistic basis for photocatalytic dye degradation. J. Phys. Chem. C 2014, 118, 15946–15962. [Google Scholar] [CrossRef]
  28. Lee, J.; Li, Z.; Zhu, L.Z.; Xie, S.H.; Cui, X.L. Ti3+ self-doped TiO2 via facile catalytic reduction over Al(acac)3 with enhanced photoelectrochemical and photocatalytic activities. Appl. Catal. B Environ. 2018, 224, 715–724. [Google Scholar] [CrossRef]
  29. Tan, K.; Zhang, H.; Xie, C.; Zheng, H.; Gu, Y.; Zhang, W. Visible-light absorption and photocatalytic activity in molybdenum- and nitrogen-codoped TiO2. Catal. Commun. 2010, 11, 331–335. [Google Scholar] [CrossRef]
  30. Zhang, Z.P.; Yu, B.; Fan, H.B.; Zheng, X.L.; Yao, H.B. Visible-light photocatalytic properties of Mo–C codoped anatase TiO2 films prepared by magnetron sputtering. J. Phys. Chem. Solids 2015, 87, 53–57. [Google Scholar]
Figure 1. Schematic diagram of Mo-doped TiO2 nanotube arrays preparation.
Figure 1. Schematic diagram of Mo-doped TiO2 nanotube arrays preparation.
Coatings 10 00075 g001
Figure 2. SEM images of Mo-TiO2 nanotube array films (A) and (B): samples with Mo-doped concentration of 1.0%; (C) and (D): samples with Mo-doped concentration of 0.5%; (E) and (F): samples with Mo-doped concentration of 0.25%; (G) and (H): samples with Mo-doped concentration of 0%.
Figure 2. SEM images of Mo-TiO2 nanotube array films (A) and (B): samples with Mo-doped concentration of 1.0%; (C) and (D): samples with Mo-doped concentration of 0.5%; (E) and (F): samples with Mo-doped concentration of 0.25%; (G) and (H): samples with Mo-doped concentration of 0%.
Coatings 10 00075 g002
Figure 3. XRD patterns of Mo-doped TiO2-nanotube films with following different contents of Mo (A) Mo1.0, (B) Mo0.5, (C) Mo0.25, (D) Mo0; A: anatase, R: rutile, Ti: crystalline phase of Ti.
Figure 3. XRD patterns of Mo-doped TiO2-nanotube films with following different contents of Mo (A) Mo1.0, (B) Mo0.5, (C) Mo0.25, (D) Mo0; A: anatase, R: rutile, Ti: crystalline phase of Ti.
Coatings 10 00075 g003
Figure 4. Wide-survey XPS spectra (A) of TiO2 (a-Mo0) and Mo-doped TiO2 nanotube arrays (b-Mo0.5, c-Mo1.0), the high-resolution XPS scan of Ti 2p (B), O 1s (C) and Mo 3d (D) of 0.5 at.% Mo-doped TiO2 nanotube arrays (b-Mo0.5).
Figure 4. Wide-survey XPS spectra (A) of TiO2 (a-Mo0) and Mo-doped TiO2 nanotube arrays (b-Mo0.5, c-Mo1.0), the high-resolution XPS scan of Ti 2p (B), O 1s (C) and Mo 3d (D) of 0.5 at.% Mo-doped TiO2 nanotube arrays (b-Mo0.5).
Coatings 10 00075 g004
Figure 5. EDS spectra of Mo-TiO2 nanotube array films with nominal Mo-doped concentration of (A) 1.0%, (B) 0.50%, (C) 0.25% and (D) 0%.
Figure 5. EDS spectra of Mo-TiO2 nanotube array films with nominal Mo-doped concentration of (A) 1.0%, (B) 0.50%, (C) 0.25% and (D) 0%.
Coatings 10 00075 g005
Figure 6. (A)UV-Vis DRS and (B) (αhν)1/2 vs. hν plots of Mo-TiO2 nanotube array films with different Mo-doped concentration: (a) Mo1.0, (b) Mo0.5 and (c) Mo0, where α denotes absorption coefficient, hν is the photon energy.
Figure 6. (A)UV-Vis DRS and (B) (αhν)1/2 vs. hν plots of Mo-TiO2 nanotube array films with different Mo-doped concentration: (a) Mo1.0, (b) Mo0.5 and (c) Mo0, where α denotes absorption coefficient, hν is the photon energy.
Coatings 10 00075 g006
Figure 7. (A)Photocurrent density curves under UV-Vis light irradiation of Mo-TiO2 nanotube array films with different Mo concentrations: (a) Mo1.0, (b) Mo0.5, (c) Mo0.25, (d) Mo0 and (e) Mo–Ti thin film. (B) Photocurrent density curves under visible light irradiation of Mo-TiO2 nanotube array films with different Mo concentrations: (a) Mo1.0, (b) Mo0.5, (c) Mo0.25, (d) Mo0 and (e) Mo–Ti thin film.
Figure 7. (A)Photocurrent density curves under UV-Vis light irradiation of Mo-TiO2 nanotube array films with different Mo concentrations: (a) Mo1.0, (b) Mo0.5, (c) Mo0.25, (d) Mo0 and (e) Mo–Ti thin film. (B) Photocurrent density curves under visible light irradiation of Mo-TiO2 nanotube array films with different Mo concentrations: (a) Mo1.0, (b) Mo0.5, (c) Mo0.25, (d) Mo0 and (e) Mo–Ti thin film.
Coatings 10 00075 g007
Table 1. The atomic percentages of element in various Mo-doped TiO2 nanotube array films.
Table 1. The atomic percentages of element in various Mo-doped TiO2 nanotube array films.
SampleMo Doping ContentContents of Elements
(EDS Original Data)
Contents of Elements
(Calibrated)
O (at.%)Mo (at.%)Ti (at.%)O (at.%)Mo (at.%)Ti (at.%)
Mo1.01.00%42.580.6456.7766.010.9933.00
Mo0.50.50%43.520.3156.1766.350.4733.18
Mo0.250.25%47.550.1652.2966.520.2233.26
Mo00.00%42.100.0057.9066.670.0033.33

Share and Cite

MDPI and ACS Style

Xue, D.; Luo, J.; Li, Z.; Yin, Y.; Shen, J. Enhanced Photoelectrochemical Properties from Mo-Doped TiO2 Nanotube Arrays Film. Coatings 2020, 10, 75. https://doi.org/10.3390/coatings10010075

AMA Style

Xue D, Luo J, Li Z, Yin Y, Shen J. Enhanced Photoelectrochemical Properties from Mo-Doped TiO2 Nanotube Arrays Film. Coatings. 2020; 10(1):75. https://doi.org/10.3390/coatings10010075

Chicago/Turabian Style

Xue, Danni, Jie Luo, Zhong Li, Yanlin Yin, and Jie Shen. 2020. "Enhanced Photoelectrochemical Properties from Mo-Doped TiO2 Nanotube Arrays Film" Coatings 10, no. 1: 75. https://doi.org/10.3390/coatings10010075

APA Style

Xue, D., Luo, J., Li, Z., Yin, Y., & Shen, J. (2020). Enhanced Photoelectrochemical Properties from Mo-Doped TiO2 Nanotube Arrays Film. Coatings, 10(1), 75. https://doi.org/10.3390/coatings10010075

Note that from the first issue of 2016, this journal uses article numbers instead of page numbers. See further details here.

Article Metrics

Back to TopTop