Nonlinear Dynamic Characteristic Analysis of a Coated Gear Transmission System
Abstract
1. Introduction
2. Nonlinear Dynamic Model
3. Calculation of Time Varying Mesh Stiffness
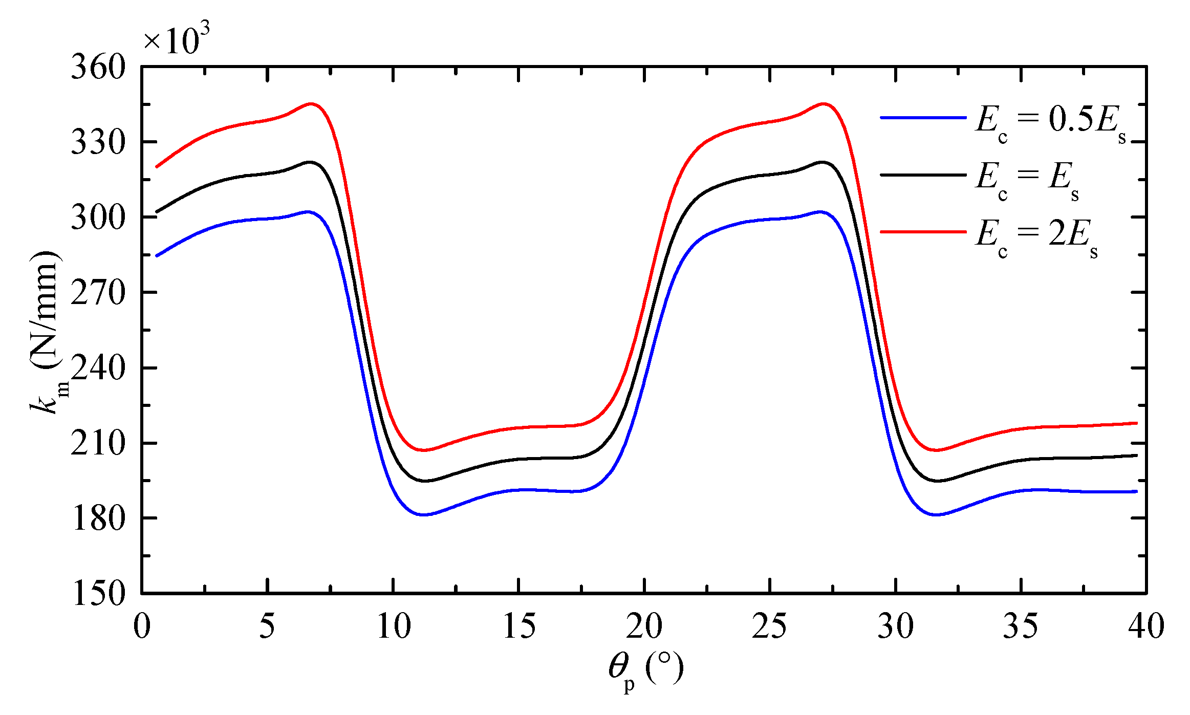
4. Analysis of the Nonlinear Dynamic Responses
5. Conclusions
Author Contributions
Funding
Acknowledgments
Conflicts of Interest
Nomenclature
| half of total gear backlash | mass of pinion | ||
| radial damping in x direction of pinion | mass of gear | ||
| radial damping in y direction of pinion | base circle radius of pinion | ||
| radial damping in x direction of gear | base circle radius of gear | ||
| radial damping in y direction of gear | translational displacement of pinion along OLOA | ||
| mesh damping | translational displacement of pinion along LOA | ||
| STE | translational displacement of gear along OLOA | ||
| amplitude of STE | translational displacement of gear along LOA | ||
| time | angular displacement of pinion | ||
| drive torque applied on pinion | angular displacement of gear | ||
| brake torque applied on gear | tooth number of pinion | ||
| friction force of ith tooth pair on pinion | tooth number of gear | ||
| friction force of ith tooth pair on gear | direction coefficient of tooth friction | ||
| meshing force of ith tooth pair on pinion | COF of gear pair | ||
| meshing force of ith tooth pair on gear | pressure angle at pitch point | ||
| nonlinear displacement function | involute outspread angle at point j | ||
| moment of inertia of pinion | minimal angular deflection of pinion | ||
| moment of inertia of gear | phase angle of STE | ||
| radial stiffness in x direction of pinion | angular speed of pinion | ||
| radial stiffness in y direction of gear | angular speed of gear | ||
| radial stiffness in x direction of pinion | fundamental frequency of STE | ||
| radial stiffness in y direction of gear | substrate elastic modulus | ||
| time-varying mesh stiffness | coating elastic modulus | ||
| integral average stiffness | tooth face width | ||
| friction arm of pinion with ith tooth pair | DTE | ||
| friction arm of gear with ith tooth pair | damping ratio |
References
- Feng, L.; Wang, Z.; Shen, W. Effects of complex graphite-like carbon coating on gear vibration noise. Results Phys. 2019, 12, 1495–1499. [Google Scholar] [CrossRef]
- Liu, H.; Liu, H.; Zhu, C.; Wei, P.; Tang, J. Tribological behavior of coated spur gear pairs with tooth surface roughness. Friction 2019, 7, 117–128. [Google Scholar] [CrossRef]
- Bobzin, K.; Brögelmann, T.; Stahl, K.; Stemplinger, J.P.; Mayer, J.; Hinterstoißer, M. Influence of wetting and thermophysical properties of diamond-like carbon coatings on the frictional behavior in automobile gearboxes under elasto-hydrodynamic lubrication. Surf. Coat. Technol. 2015, 284, 290–301. [Google Scholar] [CrossRef]
- Yi, Y.; Huang, K.; Xiong, Y.; Sang, M. Nonlinear dynamic modelling and analysis for a spur gear system with time-varying pressure angle and gear backlash. Mech. Syst. Signal Process. 2019, 132, 18–34. [Google Scholar] [CrossRef]
- Wang, J.; Zhang, J.; Yao, Z.; Yang, X.; Sun, R.; Zhao, Y. Nonlinear characteristics of a multi-degree-of-freedom spur gear system with bending-torsional coupling vibration. Mech. Syst. Signal Process. 2019, 121, 810–827. [Google Scholar] [CrossRef]
- Wang, J.; He, G.; Zhang, J.; Zhao, Y.; Yao, Y. Nonlinear dynamics analysis of the spur gear system for railway locomotive. Mech. Syst. Signal Process. 2017, 85, 41–55. [Google Scholar] [CrossRef]
- Liu, L.; Xiong, Y.P. Dynamic characteristics of torus involute gear drive. J. Braz. Soc. Mech. Sci. Eng. 2017, 39, 3807–3819. [Google Scholar] [CrossRef]
- Liu, F.; Jiang, H.; Yu, X. Dynamic behavior analysis of spur gears with constant & variable excitations considering sliding friction influence. J. Mech. Sci. Technol. 2016, 30, 5363–5370. [Google Scholar]
- Ma, H.; Pang, X.; Zeng, J.; Wang, Q.; Wen, B. Effects of gear crack propagation paths on vibration responses of the perforated gear system. Mech. Syst. Signal Process. 2015, 62, 113–128. [Google Scholar] [CrossRef]
- Marafona, J.D.; Marques, P.M.; Martins, R.C.; Seabra, J.H. Towards constant mesh stiffness helical gears: The influence of integer overlap ratios. Mech. Mach. Theory 2019, 136, 141–161. [Google Scholar] [CrossRef]
- Zhou, X.; Shao, Y.; Lei, Y.; Zuo, M. Time-varying meshing stiffness calculation and vibration analysis for a 16dof dynamic model with linear crack growth in a pinion. J. Vib. Acoust. 2011, 134. [Google Scholar] [CrossRef]
- ISO Standard 6336-1: Calculation of Load Capacity of Spur and Helical Gears—Part 1: Basic Principles, Introduction and General Influence Factors; The international organization for standardization: Geneva, Switzerland, 2019.
- Chaari, F.; Fakhfakh, T.; Haddar, M. Analytical modelling of spur gear tooth crack and influence on gearmesh stiffness. Eur. J. Mech. Solids 2009, 28, 461–468. [Google Scholar] [CrossRef]
- Chang, L.; Liu, G.; Wu, L. A robust model for determining the mesh stiffness of cylindrical gears. Mech. Mach. Theory 2015, 87, 93–114. [Google Scholar] [CrossRef]
- Howard, I.; Jia, S.; Wang, J. The dynamic modelling of a spur gear in mesh including friction and a crack. Mech. Syst. Signal Process. 2001, 15, 831–853. [Google Scholar] [CrossRef]
- Ma, H.; Li, Z.; Feng, M.; Feng, R.; Wen, B. Time-varying mesh stiffness calculation of spur gears with spalling defect. Eng. Fail. Anal. 2016, 66, 166–176. [Google Scholar] [CrossRef]
- Wan, Z.; Cao, H.; Zi, Y.; He, W.; He, Z. An improved time-varying mesh stiffness algorithm and dynamic modeling of gear-rotor system with tooth root crack. Eng. Fail. Anal. 2014, 42, 157–177. [Google Scholar] [CrossRef]
- Liang, X.; Zhang, H.; Zuo, M.J.; Qin, Y. Three new models for evaluation of standard involute spur gear mesh stiffness. Mech. Syst. Signal Process. 2018, 101, 424–434. [Google Scholar] [CrossRef]
- De Souza, S.L.; Caldas, I.L.; Viana, R.L.; Balthazar, J.M. Sudden changes in chaotic attractors and transient basins in a model for rattling in gearboxes. Chaos Solitons Fractals 2004, 21, 763–772. [Google Scholar] [CrossRef]
- Wei, J.; Gao, P.; Hu, X.; Sun, W.; Zeng, J. Effects of dynamic transmission errors and vibration stability in helical gears. J. Mech. Sci. Technol. 2014, 28, 2253–2262. [Google Scholar] [CrossRef]
- Omar, F.K.; Moustafa, K.A.; Emam, S. Mathematical modeling of gearbox including defects with experimental verification. J. Vib. Control 2012, 18, 1310–1321. [Google Scholar] [CrossRef]
- Parey, A.; El Badaoui, M.; Guillet, F.; Tandon, N. Dynamic modelling of spur gear pair and application of empirical mode decomposition-based statistical analysis for early detection of localized tooth defect. J. Sound Vib. 2006, 294, 547–561. [Google Scholar] [CrossRef]
- Mohammed, O.D.; Rantatalo, M.; Aidanpää, J.O. Dynamic modelling of a one-stage spur gear system and vibration-based tooth crack detection analysis. Mech. Syst. Signal Process. 2015, 54, 293–305. [Google Scholar] [CrossRef]
- Xiao, Y.Y.; Zou, M.J.; Shi, W.K.; Kang, M.L. Analysis of the surface/interface damage evolution behavior of a coating–substrate system under heavy-load elastohydrodynamic lubrication. Coatings 2019, 9, 642. [Google Scholar] [CrossRef]
- Luo, Y.; Baddour, N.; Liang, M. Effects of gear center distance variation on time varying mesh stiffness of a spur gear pair. Eng. Fail. Anal. 2017, 75, 37–53. [Google Scholar] [CrossRef]
- Liu, F.; Theodossiades, S.; Bergman, L.; Vakakis, A.; McFarland, D. Analytical characterization of damping in gear teeth dynamics under hydrodynamic conditions. Mech. Mach. Theory 2015, 94, 141–147. [Google Scholar] [CrossRef]
- Chen, Z.G.; Shao, Y.M.; Lim, T.C. Non-linear dynamic simulation of gear response under the idling condition. Int. J. Automot. Technol. 2012, 13, 541–552. [Google Scholar] [CrossRef]
- He, S.; Gunda, R.; Singh, R. Effect of sliding friction on the dynamics of spur gear pair with realistic time-varying stiffness. J. Sound Vib. 2007, 301, 927–949. [Google Scholar] [CrossRef]
- Kahraman, A.; Singh, R. Interactions between time-varying mesh stiffness and clearance non-linearities in a geared system. J. Sound Vib. 1991, 146, 135–156. [Google Scholar] [CrossRef]
- Amabili, M.; Rivola, A. Dynamic analysis of spur gear pairs: Steady-state response and stability of the sdof model with time-varying meshing damping. Mech. Syst. Signal Process. 1997, 11, 375–390. [Google Scholar] [CrossRef]
- Yang, Y.; Xia, W.; Han, J.; Song, Y.; Wang, J.; Dai, Y. Vibration analysis for tooth crack detection in a spur gear system with clearance nonlinearity. Int. J. Mech. Sci. 2019, 648–661. [Google Scholar] [CrossRef]
- Rübig, B.; Heim, D.; Forsich, C.; Dipolt, C.; Mueller, T.; Gebeshuber, A.; Kullmer, R.; Holecek, R.; Lugmair, C.; Krawinkler, M.; et al. Tribological behavior of thick DLC coatings under lubricated conditions. Surf. Coat. Technol. 2017, 314, 13–17. [Google Scholar] [CrossRef]
- Vetter, J. 60 years of DLC coatings: Historical highlights and technical review of cathodic arc processes to synthesize various DLC types, and their evolution for industrial applications. Surf. Coat. Technol. 2014, 257, 213–240. [Google Scholar] [CrossRef]
- Uflyand, I.E.; Zhinzhilo, V.A.; Burlakova, V.E. Metal-containing nanomaterials as lubricant additives: State-of-the-art and future development. Friction 2019, 7, 93–116. [Google Scholar] [CrossRef]
- Jiang, H.; Liu, F. Analytical models of mesh stiffness for cracked spur gears considering gear body deflection and dynamic simulation. Meccanica 2019, 54, 1889–1909. [Google Scholar] [CrossRef]
- Chen, Z.; Zhai, W.; Wang, K. Vibration feature evolution of locomotive with tooth root crack propagation of gear transmission system. Mech. Syst. Signal Process. 2019, 115, 29–44. [Google Scholar] [CrossRef]













| Parameter | Pinion | Gear |
|---|---|---|
| Tooth number | 16 | 24 |
| Modulus (mm) | 4.5 | 4.5 |
| Center distance (mm) | 91.5 | |
| Pressure angle (°) | 20 | |
| Tooth face width (mm) | 20 | |
| Profile shift | +0.853 | −0.5 |
| Addendum diameter (mm) | 88.77 | 112.50 |
| Contact ratio | 1.33 | |
| Parameter | 20CrMnTi Substrate | DLC Coating |
|---|---|---|
| Elastic modulus (GPa) | 210 | 105, 210, 420 |
| Poisson’s ratio | 0.3 | 0.3 |
| Parameter | Pinion | Gear |
|---|---|---|
| Mass (kg) | 0.676 | 1.084 |
| Moment of inertia (kg·m²) | 4.07 × 10−4 | 1.168 × 10−3 |
| Angular speed (rad/s) | 50π | 50π/1.5 |
| Torque (N·m) | 60 | 90 |
| Support stiffness (N/m) | 6.56 × 107 | 6.56 × 107 |
| Support damping (N·s/m) | 1.8 × 105 | 1.8 × 105 |
| Amplitude of static transmission error (STE) (μm) | 10 | |
| Backlash (μm) | 20 | |
| Damping ratio | 0.07 | |
© 2020 by the authors. Licensee MDPI, Basel, Switzerland. This article is an open access article distributed under the terms and conditions of the Creative Commons Attribution (CC BY) license (http://creativecommons.org/licenses/by/4.0/).
Share and Cite
Xiao, Y.; Fu, L.; Luo, J.; Shi, W.; Kang, M. Nonlinear Dynamic Characteristic Analysis of a Coated Gear Transmission System. Coatings 2020, 10, 39. https://doi.org/10.3390/coatings10010039
Xiao Y, Fu L, Luo J, Shi W, Kang M. Nonlinear Dynamic Characteristic Analysis of a Coated Gear Transmission System. Coatings. 2020; 10(1):39. https://doi.org/10.3390/coatings10010039
Chicago/Turabian StyleXiao, Yangyi, Liyang Fu, Jing Luo, Wankai Shi, and Minglin Kang. 2020. "Nonlinear Dynamic Characteristic Analysis of a Coated Gear Transmission System" Coatings 10, no. 1: 39. https://doi.org/10.3390/coatings10010039
APA StyleXiao, Y., Fu, L., Luo, J., Shi, W., & Kang, M. (2020). Nonlinear Dynamic Characteristic Analysis of a Coated Gear Transmission System. Coatings, 10(1), 39. https://doi.org/10.3390/coatings10010039

