A Review of the Clinical Pharmacokinetics of Polymyxin B
Abstract
:1. Introduction
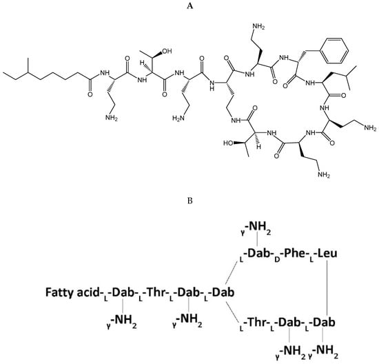
2. Chemistry
3. Assay Methods for Drug Quantification
4. Pharmacokinetics
4.1. Mechanisms for Nephrotoxicity
4.2. Population Pharmacokinetics (PK) Models
4.3. PK Parameter Estimates
4.4. Clinical Variables Affecting PK
4.5. Clinical Dosing Implications
5. Conclusions
Funding
Conflicts of Interest
References
- US Department of Health and Human Services, Centers for Disease Control and Prevention. Antibiotic Resistance Threats in the United States 2013. Available online: https://www.cdc.gov/drugresistance/pdf/ar-threats-2013-508.pdf (accessed on 3 January 2019).
- Falagas, M.E.; Kasiakou, S.K. Colistin: The revival of polymyxins for the management of multidrug-resistant gram-negative bacterial infections. Clin. Infect. Dis. 2005, 40, 1333–1341. [Google Scholar] [CrossRef]
- Storm, D.R.; Rosenthal, K.S.; Swanson, P.E. Polymyxin and related peptide antibiotics. Annu. Rev. Biochem. 1977, 46, 723–763. [Google Scholar] [CrossRef] [PubMed]
- Koch-Weser, J.; Sidel, V.W.; Federman, E.B.; Kanarek, P.; Finer, D.C.; Eaton, A.E. Adverse effects of sodium colistimethate. Manifestations and specific reaction rates during 317 courses of therapy. Ann. Intern. Med. 1970, 72, 857–868. [Google Scholar] [CrossRef] [PubMed]
- Tallgren, L.G.; Liewendahl, K.; Kuhlbaeck, B. The Therapeutic Success and Nephrotoxicity of Colistin in Acute and Chronic Nephropathies with Impaired Renal Function. Acta Med. Scand. 1965, 177, 717–728. [Google Scholar] [CrossRef] [PubMed]
- Baines, R.D., Jr.; Rifkind, D. Intravenous Administration of Sodium Colistimethate. JAMA 1964, 190, 278–281. [Google Scholar] [CrossRef] [PubMed]
- Fekety, F.R., Jr.; Norman, P.S.; Cluff, L.E. The treatment of gram-negative bacillary infections with colistin. The toxicity and efficacy of large doses in forty-eight patients. Ann. Intern. Med. 1962, 57, 214–229. [Google Scholar] [CrossRef]
- Olesen, S.; Madsen, P.O. Intravenous administration of sodium colistimethate in urinary tract infections. Curr. Ther. Res. Clin. Exp. 1967, 9, 283–287. [Google Scholar]
- Beringer, P. The clinical use of colistin in patients with cystic fibrosis. Curr. Opin. Pulm. Med. 2001, 7, 434–440. [Google Scholar] [CrossRef]
- Bedford Laboratories. U.S. Food and Drug Administration, Rockville, MD. Polymyxin B (package insert]. 2011. Available online: https://www.accessdata.fda.gov/drugsatfda_docs/label/2012/060716Orig1s020Lbl.pdf (accessed on 3 January 2019).
- Cai, Y.; Lee, W.; Kwa, A.L. Polymyxin B versus colistin: An update. Expert Rev. Anti Infect. Ther. 2015, 13, 1481–1497. [Google Scholar] [CrossRef]
- Phe, K.; Lee, Y.; McDaneld, P.M.; Prasad, N.; Yin, T.; Figueroa, D.A.; Musick, W.L.; Cottreau, J.M.; Hu, M.; Tam, V.H. In vitro assessment and multicenter cohort study of comparative nephrotoxicity rates associated with colistimethate versus polymyxin B therapy. Antimicrob. Agents Chemother. 2014, 58, 2740–2746. [Google Scholar] [CrossRef] [PubMed]
- Hancock, R.E. Peptide antibiotics. Lancet 1997, 349, 418–422. [Google Scholar] [CrossRef]
- Orwa, J.A.; Govaerts, C.; Busson, R.; Roets, E.; Van Schepdael, A.; Hoogmartens, J. Isolation and structural characterization of colistin components. J. Antibiot. (Tokyo) 2001, 54, 595–599. [Google Scholar] [CrossRef] [PubMed]
- Kwa, A.L.; Tam, V.H.; Falagas, M.E. Polymyxins: A review of the current status including recent developments. Ann. Acad. Med. Singapore 2008, 37, 870–883. [Google Scholar] [PubMed]
- Cheah, S.-E.; Li, J.; Bergen, P.J.; Nation, R.L. Polymyxin Pharmacokinetics and Pharmacodynamics. In Antibiotic Pharmacodynamics. Methods in Pharmacology and Toxicology; Rotschafer, J., Andes, D., Rodvold, K., Eds.; Humana Press: New York, NY, USA, 2016; pp. 221–260. [Google Scholar]
- Barnett, M.; Bushby, S.R.; Wilkinson, S. Sodium Sulphomethyl Derivatives of Polymyxins. Br. J. Pharmacol. Chemother. 1964, 23, 552–574. [Google Scholar] [CrossRef] [PubMed]
- Nation, R.L.; Li, J. Colistin in the 21st century. Curr. Opin. Infect. Dis. 2009, 22, 535–543. [Google Scholar] [CrossRef] [PubMed]
- Li, J.; Milne, R.W.; Nation, R.L.; Turnidge, J.D.; Coulthard, K.; Johnson, D.W. A simple method for the assay of colistin in human plasma, using pre-column derivatization with 9-fluorenylmethyl chloroformate in solid-phase extraction cartridges and reversed-phase high-performance liquid chromatography. J. Chromatogr. B Biomed. Sci. Appl. 2001, 761, 167–175. [Google Scholar] [CrossRef]
- Covelli, J.; Ruszaj, D.; Straubinger, R.; Li, J.; Rao, G.G. The development and validation of a simple liquid chromatography-tandem mass spectrometry method for polymyxin B1 and B2 quantification in different matrices. J. Chromatogr. B Anal. Technol. Biomed. Life Sci. 2017, 1065–1066, 112–118. [Google Scholar] [CrossRef] [PubMed]
- Thomas, T.A.; Broun, E.C.; Abildskov, K.M.; Kubin, C.J.; Horan, J.; Yin, M.T.; Cremers, S. High performance liquid chromatography-mass spectrometry assay for polymyxin B1 and B2 in human plasma. Ther. Drug. Monit. 2012, 34, 398–405. [Google Scholar] [CrossRef] [PubMed]
- He, J.; Gao, S.; Hu, M.; Chow, D.S.; Tam, V.H. A validated ultra-performance liquid chromatography-tandem mass spectrometry method for the quantification of polymyxin B in mouse serum and epithelial lining fluid: Application to pharmacokinetic studies. J. Antimicrob. Chemother. 2013, 68, 1104–1110. [Google Scholar] [CrossRef] [PubMed]
- Cheng, C.; Liu, S.; Xiao, D.; Hollembaek, J.; Yao, L.; Lin, J.; Hansel, S. LC-MS/MS method development and validation for the determination of polymyxins and vancomycin in rat plasma. J. Chromatogr. B Anal. Technol. Biomed. Life Sci. 2010, 878, 2831–2838. [Google Scholar] [CrossRef] [PubMed]
- Cheah, S.E.; Bulitta, J.B.; Li, J.; Nation, R.L. Development and validation of a liquid chromatography-mass spectrometry assay for polymyxin B in bacterial growth media. J. Pharm. Biomed. Anal. 2014, 92, 177–182. [Google Scholar] [CrossRef] [PubMed]
- Cao, G.; Ali, F.E.; Chiu, F.; Zavascki, A.P.; Nation, R.L.; Li, J. Development and validation of a reversed-phase high-performance liquid chromatography assay for polymyxin B in human plasma. J. Antimicrob. Chemother. 2008, 62, 1009–1014. [Google Scholar] [CrossRef] [PubMed]
- Hee, K.H.; Leaw, Y.K.J.; Ong, J.L.; Lee, L.S. Development and validation of liquid chromatography tandem mass spectrometry method quantitative determination of polymyxin B1, polymyxin B2, polymyxin B3 and isoleucine-polymyxin B1 in human plasma and its application in clinical studies. J. Pharm. Biomed. Anal. 2017, 140, 91–97. [Google Scholar] [CrossRef] [PubMed]
- Yun, B.; Azad, M.A.; Wang, J.; Nation, R.L.; Thompson, P.E.; Roberts, K.D.; Velkov, T.; Li, J. Imaging the distribution of polymyxins in the kidney. J. Antimicrob. Chemother. 2015, 70, 827–829. [Google Scholar] [CrossRef] [PubMed]
- Yoshino, N.; Endo, M.; Kanno, H.; Matsukawa, N.; Tsutsumi, R.; Takeshita, R.; Sato, S. Polymyxins as novel and safe mucosal adjuvants to induce humoral immune responses in mice. PLoS ONE 2013, 8, e61643. [Google Scholar] [CrossRef]
- Saita, T.; Yoshida, M.; Nakashima, M.; Matsunaga, H.; Fujito, H.; Mori, M. A highly sensitive ELISA for the quantification of polymyxin B sulfate in human serum. Biol. Pharm. Bull. 1999, 22, 1257–1261. [Google Scholar] [CrossRef]
- Meng, M.; Wang, L.; Liu, S.; Jaber, O.M.; Gao, L.; Chevrette, L.; Reuschel, S. Simultaneous quantitation of polymyxin B1, polymyxin B2 and polymyxin B1-1 in human plasma and treated human urine using solid phase extraction and liquid chromatography-tandem mass spectrometry. J. Chromatogr. B Anal. Technol. Biomed. Life Sci. 2016, 1012–1013, 23–36. [Google Scholar] [CrossRef]
- Kwa, A.L.; Abdelraouf, K.; Low, J.G.; Tam, V.H. Pharmacokinetics of polymyxin B in a patient with renal insufficiency: A case report. Clin. Infect. Dis. 2011, 52, 1280–1281. [Google Scholar] [CrossRef]
- Manchandani, P.; Thamlikitkul, V.; Dubrovskaya, Y.; Babic, J.T.; Lye, D.C.; Lee, L.S.; Tam, V.H. Population Pharmacokinetics of Polymyxin B. Clin. Pharmacol. Therapeut. 2018, 104, 534–538. [Google Scholar] [CrossRef]
- Miglis, C.; Rhodes, N.J.; Avedissian, S.N.; Kubin, C.J.; Yin, M.T.; Nelson, B.C.; Pai, M.P.; Scheetz, M.H. Population Pharmacokinetics of Polymyxin B in Acutely Ill Adult Patients. Antimicrob. Agents Chemother. 2018, 62. [Google Scholar] [CrossRef]
- Abdelraouf, K.; He, J.; Ledesma, K.R.; Hu, M.; Tam, V.H. Pharmacokinetics and renal disposition of polymyxin B in an animal model. Antimicrob. Agents Chemother. 2012, 56, 5724–5727. [Google Scholar] [CrossRef]
- Sandri, A.M.; Landersdorfer, C.B.; Jacob, J.; Boniatti, M.M.; Dalarosa, M.G.; Falci, D.R.; Behle, T.F.; Bordinhao, R.C.; Wang, J.; Forrest, A.; et al. Population pharmacokinetics of intravenous polymyxin B in critically ill patients: Implications for selection of dosage regimens. Clin. Infect. Dis. 2013, 57, 524–531. [Google Scholar] [CrossRef]
- Zavascki, A.P.; Goldani, L.Z.; Cao, G.; Superti, S.V.; Lutz, L.; Barth, A.L.; Ramos, F.; Boniatti, M.M.; Nation, R.L.; Li, J. Pharmacokinetics of intravenous polymyxin B in critically ill patients. Clin. Infect. Dis. 2008, 47, 1298–1304. [Google Scholar] [CrossRef] [PubMed]
- Manchandani, P.; Zhou, J.; Ledesma, K.R.; Truong, L.D.; Chow, D.S.; Eriksen, J.L.; Tam, V.H. Characterization of Polymyxin B Biodistribution and Disposition in an Animal Model. Antimicrob. Agents Chemother. 2016, 60, 1029–1034. [Google Scholar] [CrossRef] [PubMed]
- Zavascki, A.P.; Nation, R.L. Nephrotoxicity of Polymyxins: Is There Any Difference between Colistimethate and Polymyxin B? Antimicrob. Agents Chemother. 2017, 61. [Google Scholar] [CrossRef] [PubMed]
- Abdelraouf, K.; Chang, K.T.; Yin, T.; Hu, M.; Tam, V.H. Uptake of polymyxin B into renal cells. Antimicrob. Agents Chemother. 2014, 58, 4200–4202. [Google Scholar] [CrossRef]
- Moestrup, S.K.; Cui, S.; Vorum, H.; Bregengard, C.; Bjorn, S.E.; Norris, K.; Gliemann, J.; Christensen, E.I. Evidence that epithelial glycoprotein 330/megalin mediates uptake of polybasic drugs. J. Clin. Investig. 1995, 96, 1404–1413. [Google Scholar] [CrossRef]
- Christensen, E.I.; Nielsen, R. Role of megalin and cubilin in renal physiology and pathophysiology. Rev. Physiol. Biochem. Pharmacol. 2007, 158, 1–22. [Google Scholar]
- Manchandani, P.; Zhou, J.; Babic, J.T.; Ledesma, K.R.; Truong, L.D.; Tam, V.H. Role of Renal Drug Exposure in Polymyxin B-Induced Nephrotoxicity. Antimicrob. Agents Chemother. 2017, 61. [Google Scholar] [CrossRef] [PubMed]
- Avedissian, S.N.; Miglis, C.; Kubin, C.J.; Rhodes, N.J.; Yin, M.T.; Cremers, S.; Prickett, M.; Scheetz, M.H. Polymyxin B Pharmacokinetics in Adult Cystic Fibrosis Patients. Pharmacotherapy 2018, 38, 730–738. [Google Scholar] [CrossRef] [PubMed]
- Kwa, A.L.; Lim, T.P.; Low, J.G.; Hou, J.; Kurup, A.; Prince, R.A.; Tam, V.H. Pharmacokinetics of polymyxin B1 in patients with multidrug-resistant Gram-negative bacterial infections. Diagn. Microbiol. Infect. Dis. 2008, 60, 163–167. [Google Scholar] [CrossRef]
- Kubin, C.J.; Nelson, B.C.; Miglis, C.; Scheetz, M.H.; Rhodes, N.J.; Avedissian, S.N.; Cremers, S.; Yin, M.T. Population Pharmacokinetics of Intravenous Polymyxin B from Clinical Samples. Antimicrob. Agents Chemother. 2018, 62. [Google Scholar] [CrossRef]
- Sivanesan, S.; Roberts, K.; Wang, J.; Chea, S.E.; Thompson, P.E.; Li, J.; Nation, R.L.; Velkov, T. Pharmacokinetics of the Individual Major Components of Polymyxin B and Colistin in Rats. J. Nat. Prod. 2017, 80, 225–229. [Google Scholar] [CrossRef]
- Manchandani, P.; Dubrovskaya, Y.; Gao, S.; Tam, V.H. Comparative Pharmacokinetic Profiling of Different Polymyxin B Components. Antimicrob. Agents chemother. 2016, 60, 6980–6982. [Google Scholar] [CrossRef]
- Thamlikitkul, V.; Dubrovskaya, Y.; Manchandani, P.; Ngamprasertchai, T.; Boonyasiri, A.; Babic, J.T.; Tam, V.H. Dosing and Pharmacokinetics of Polymyxin B in Patients with Renal Insufficiency. Antimicrob. Agents Chemother. 2017, 61. [Google Scholar] [CrossRef] [PubMed]
- Onufrak, N.J.; Rao, G.G.; Forrest, A.; Pogue, J.M.; Scheetz, M.H.; Nation, R.L.; Li, J.; Kaye, K.S. Critical Need for Clarity in Polymyxin B Dosing. Antimicrob. Agents Chemother. 2017, 61. [Google Scholar] [CrossRef]
- ClinicalTrials.gov [Internet]. Bethesda (MD): National Library of Medicine (US). 2016 Feb 16. Identifier NCT02682355, Optimizing Clinical Use of Polymyxin B. Available online: https://clinicaltrials.gov/ct2/show/NCT02682355 (accessed on 3 January 2019).
- Tsuji, B.T.; Pogue, J.M.; Zavascki, A.P.; Paul, M.; Daikos, G.L.; Forrest, A.; Giacobbe, D.R.; Viscoli, C.; Giamarellou, H.; Karaiskos, I.; et al. International Consensus Guidelines for the Optimal Use of the Polymyxins: Endorsed by the American College of Clinical Pharmacy (ACCP), European Society of Clinical Microbiology and Infectious Diseases (ESCMID), Infectious Diseases Society of America (IDSA), International Society for Anti-infective Pharmacology (ISAP), Society of Critical Care Medicine (SCCM), and Society of Infectious Diseases Pharmacists (SIDP). Pharmacotherapy 2019, 39, 10–39. [Google Scholar] [CrossRef] [PubMed]
- Lakota, E.A.; Landersdorfer, C.B.; Nation, R.L.; Li, J.; Kaye, K.S.; Rao, G.G.; Forrest, A. Personalizing Polymyxin B Dosing Using an Adaptive Feedback Control Algorithm. Antimicrob. Agents Chemother. 2018, 62. [Google Scholar] [CrossRef] [PubMed]

| Study | Quantification Instrument/Method | Internal Standard | Precursor Ion → Product Ion Transitions (m/z) | Biomatrix | Solvents Utilized (Mobile Phases) |
|---|---|---|---|---|---|
| Cao et al. 2008 [25] | HPLC | N/A | PB1: 602.4, 401.9 PB2: 595.4, 397.2 | Human plasma | Acetonitrile/tetrahydrofuran/ water (50:25:25, v/v) |
| Cheng et al. 2010 [23] | LC-MS/MS | Fibrinopeptide B (human) | PB1: 602.5 → 241.2 PB2: 595.6 → 227.5 PE1: 578.5 → 227.2 PE2: 585.6 → 241.3 Fibrinopeptide B: 786.3 → 187.3 | Rat plasma | Acetonitrile with 0.1% FA, water with 0.1% FA |
| Thomas et al. 2012 [21] | LC-MS/MS | N/A | PB1: 602.6 → 241.1 PB2: 595.5 → 227.1 | Human Plasma | Acetonitrile, water with 0.1% FA |
| He et al. 2013 [22] | UPLC-MS/MS | Carbutamide | PB1: 402 → 101 PB2: 397 → 101 PB3: 398 → 101 Ile-PB1: 402 → 101 Carbutamide: 272 → 74 | Mouse Serum, ELF | Acetonitrile, water with 0.1% FA |
| Cheah et al. 2014 [24] | LCMS | Colistin in acetonitrile/water (50:50, v/v) | PB1: 401.85 PB2: 397.20 CA: 390.55 CB: 385.95 | Bacterial growth media | Acetonitrile, water with 0.1% FA |
| Meng et al. 2016 [30] | LC-MS/MS | CB-182,753 (proprietary semi-synthetic cyclic peptide) | PB1: 602.6 → 241.2 PB2: 595.9 → 227.2 PB1-1: 602.6 → 241.2 CB-182,753: 614.4 → 532.6 | Human plasma, urine | Acetonitrile with 1% FA in methanol (50:50), water with 0.1% FA, water/acetonitrile/methanol (10:45:45) |
| Covelli et al. 2017 [20] | LC-MS/MS | PE2 (i.e., Colistin B) | PB1: 402.3 → 100.9 PB2: 397.5 → 100.9 PE2: 386.2 → 100.9 | Human and rat plasma | Acetonitrile/methanol (50:50) with 0.5% FA and 0.01 TFA, water with 0.5% FA and 0.01% TFA |
| Hee et al. 2017 [26] | LC-MS/MS | N/A | PB1: 602.6 → 101.2 602.6 → 241.2 PB2: 595.6 → 101.2 595.6 → 227.2 PB3: 595.6 → 101.2 595.6 → 227.2 Ile-PB1: 602.6 → 101.2 602.6 → 241.2 | Human plasma | 90% Acetonitrile with 0.1FA, water with 0.1% FA and 0.1% TCA |
| Study | Program Utilized for PK Modeling | Compartmental Model | Number of Patients in the Model | Total Number of Polymyxin B Serum Levels Included in Model | Utilized Simulations | Patient Population Studied | Population Estimates of PK Parameters (means) | CV% of PK parameters (%) |
|---|---|---|---|---|---|---|---|---|
| Kwa et al. 2008 [44] | NPEM | 1 compartment | 9 | 19 | No | MDRGNO | Ke (h−1) = 0.051 CL (L/h) = 2.4 V1 (L) = 47.2 T ½ (h) = 13.6 | Ke#: 78.4 CL: n/a V1#: 60.8 T ½: n/a |
| Zavascki et al. 2008 [36] | PK Functions for Microsoft Excel | Non-compartmental analysis (PK Functions for Microsoft Excel) | 8 | 55* | No | Critically Ill | CL (mL/min/kg) = 0.50 V1 (mL/kg) = 137.8 | CL#: 40.5 V1#: 36.6 |
| Sandri et al. 2013 [35] | S-ADAPT | 2 compartments | 24 | ~192* | Yes | Critically Ill | CL (L/h/kg) = 0.0276 V1 (L/kg) = 0.0939 V2 (L/kg) = 0.330 CLic (L/h/Kg) = 0.146 | CL: 32.4 V1: 73.3 V2: 70.1 CLic: 50.4 |
| Thamlikitkul et al. 2017 [48] | ADAPT 5 | 2 Approaches 1 compartment 2 compartments | 19 | ~76* | No | Normal renal function and renal insufficiency | Only 2 compartment estimates shown CLNR (L/h) = 2.5 CLRI (L/h) = 2.0 (other PK parameters not listed) | CLNR#:16 CLRI#: 30 |
| Miglis et al. 2018 [33] | PMetrics | 2 compartments | 52 | 156 | Yes | Acutely Ill | CL (L/h) = 2.63 V1 (L) = 33.77 V2 (L) = 78.20 Q (L/h) = 2.32 | CL: 53.6 V1: 45.0 V2: 47.9 Q: 57.4 |
| Kubin et al. 2018 [45] | Monolix | 1 compartment | 43 | 134 | Yes | Acutely Ill | CL (L/h) = 2.37 V1 (L) = 34.4 | CL#: 41.5 V1#: 40.0 |
| Avedissian et al. 2018 [43] | PMetrics | 2 compartments with a Hill function | 9 | 31 | Yes | CF | CLmax (L/h) = 8.65 V1 (L) = 20.39 V2 (L) = 174.69 CLnr (L/h) = 0.07 Q (L/h) = 2.85 CrCL50 (mL/min) = 141.24 H = 7.84 | CLmax: 35.7 V1: 20.6 V2: 20.6 CLnr: 31.4 Q: 85.1 CrCL50: 25.6 H: 29.4 |
| Manchandani et al. 2018 [32] | ADAPT 5 | 1 compartment | 35 | 139 | Yes | Acutely Ill | CL (L/h) = 2.5 V1 (L) = 34.3 T ½ (h) = 10.1 | CL: 43.8 V1: 47.8 T ½: n/a |
© 2019 by the authors. Licensee MDPI, Basel, Switzerland. This article is an open access article distributed under the terms and conditions of the Creative Commons Attribution (CC BY) license (http://creativecommons.org/licenses/by/4.0/).
Share and Cite
Avedissian, S.N.; Liu, J.; Rhodes, N.J.; Lee, A.; Pais, G.M.; Hauser, A.R.; Scheetz, M.H. A Review of the Clinical Pharmacokinetics of Polymyxin B. Antibiotics 2019, 8, 31. https://doi.org/10.3390/antibiotics8010031
Avedissian SN, Liu J, Rhodes NJ, Lee A, Pais GM, Hauser AR, Scheetz MH. A Review of the Clinical Pharmacokinetics of Polymyxin B. Antibiotics. 2019; 8(1):31. https://doi.org/10.3390/antibiotics8010031
Chicago/Turabian StyleAvedissian, Sean N., Jiajun Liu, Nathaniel J. Rhodes, Andrew Lee, Gwendolyn M. Pais, Alan R. Hauser, and Marc H. Scheetz. 2019. "A Review of the Clinical Pharmacokinetics of Polymyxin B" Antibiotics 8, no. 1: 31. https://doi.org/10.3390/antibiotics8010031
APA StyleAvedissian, S. N., Liu, J., Rhodes, N. J., Lee, A., Pais, G. M., Hauser, A. R., & Scheetz, M. H. (2019). A Review of the Clinical Pharmacokinetics of Polymyxin B. Antibiotics, 8(1), 31. https://doi.org/10.3390/antibiotics8010031

