Advanced Biosensing Strategies for Last-Line Antibiotics Vancomycin, Colistin, Daptomycin and Meropenem: Comparative Analysis of Electrochemical and Optical Detection Methods
Abstract
1. Introduction
2. Results
2.1. Electrochemical Biosensor
2.1.1. Regeneration Tests
2.1.2. Matrix Effect of Plasma on Amperometric Measurements
2.1.3. Calibration Curves
2.2. Optical Measurements
2.2.1. Regeneration Tests
2.2.2. Calibration Curves
2.3. Surface Studies of the Chips
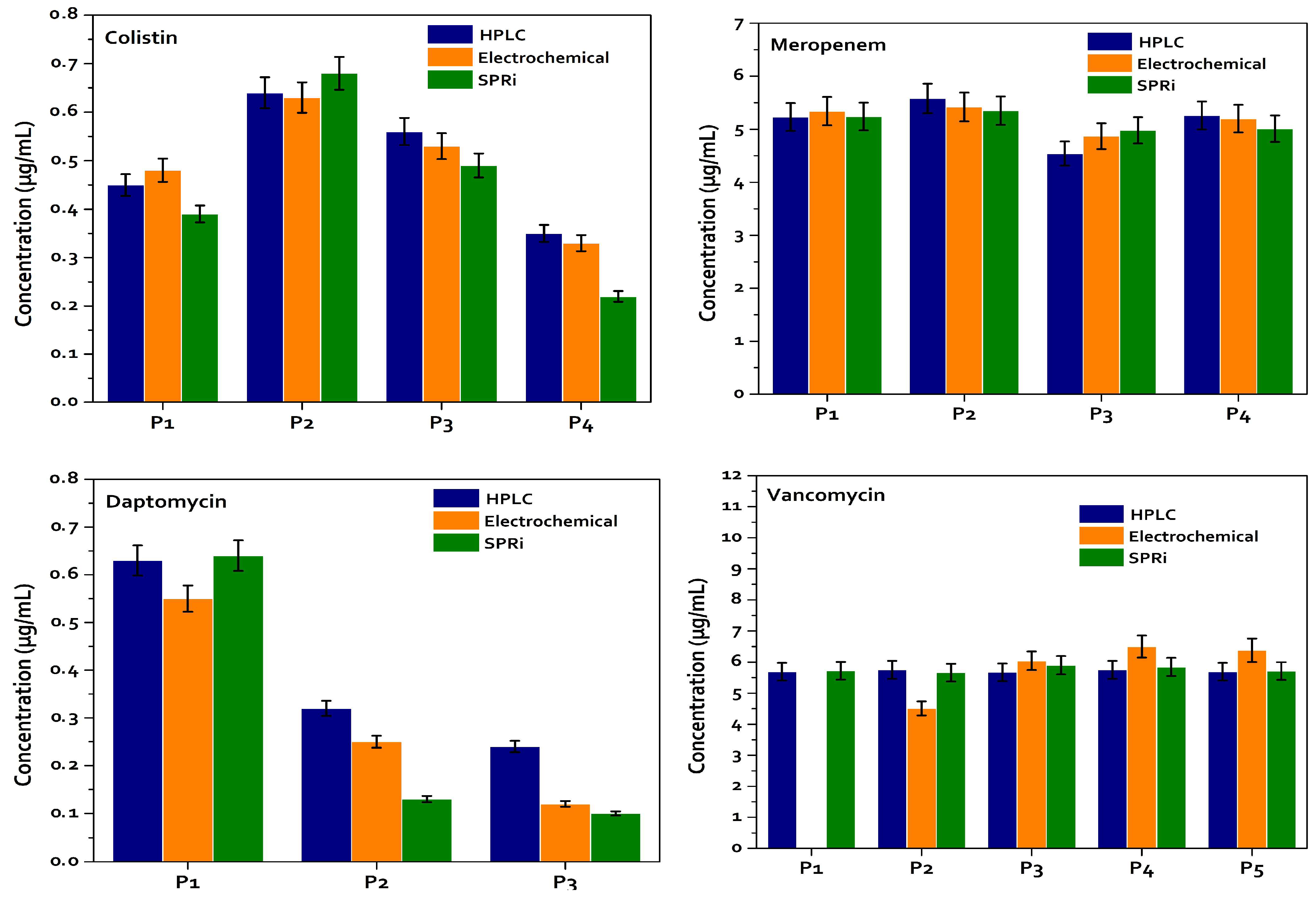
2.4. Comparison of Electrochemical and Optical Biosensor with HPLC
3. Discussion
3.1. Electrochemical Measurements
3.2. Optical Measurements
3.3. Comparison of Electrochemical and Optical Biosensors with HPLC
4. Materials and Methods
4.1. Chemicals and Immunochemicals
Buffer Solutions
4.2. General Instruments
4.2.1. Electrochemical Instrument
4.2.2. Optical Instrument
4.3. Electrochemical Biosensor-Based Measurement
4.3.1. Biofunctionalization Protocol Electrochemical Biosensor
EDC/NHS Biofunctionalization
DCC/NHS Biofunctionalization
4.3.2. Antibiotic Quantification Using Electrochemical Biosensor
4.4. Optical Biosensor-Based Measurement
4.4.1. SPRi Immobilization Protocol
4.4.2. Antibiotic Quantification Using Optical Biosensor
4.4.3. Matrix Effect of Plasma
4.5. Sensor Surface Characterization
4.6. Comparison of Electrochemical and Optical Biosensor Measurements with HPLC Analysis
4.6.1. HPLC Instrument
4.6.2. Quantification of Antibiotics Methodology
4.7. Characteristics of Patient Cohorts Used for Plasma Sample Collection
5. Conclusions
Supplementary Materials
Author Contributions
Funding
Institutional Review Board Statement
Informed Consent Statement
Data Availability Statement
Acknowledgments
Conflicts of Interest
References
- Lewis, K.J.C. The science of antibiotic discovery. Cell 2020, 181, 29–45. [Google Scholar] [CrossRef]
- Chinemerem Nwobodo, D.; Ugwu, M.C.; Oliseloke Anie, C.; Al-Ouqaili, M.T.; Chinedu Ikem, J.; Victor Chigozie, U.; Saki, M. Antibiotic resistance: The challenges and some emerging strategies for tackling a global menace. J. Clin. Lab. Anal. 2022, 36, e24655. [Google Scholar] [CrossRef] [PubMed]
- Larsson, D.; Flach, C.-F. Antibiotic resistance in the environment. Nat. Rev. Microbiol. 2022, 20, 257–269. [Google Scholar] [CrossRef] [PubMed]
- Tang, K.W.K.; Millar, B.C.; Moore, J.E. Antimicrobial resistance (AMR). Br. J. Biomed. Sci. 2023, 80, 11387. [Google Scholar] [CrossRef] [PubMed]
- Yang, Q.; Gao, Y.; Ke, J.; Show, P.L.; Ge, Y.; Liu, Y.; Guo, R.; Chen, J. Antibiotics: An overview on the environmental occurrence, toxicity, degradation, and removal methods. Bioengineered 2021, 12, 7376–7416. [Google Scholar] [CrossRef]
- Müller, M. Individualized medicine. In Clinical Pharmacology: Current Topics and Case Studies; Springer: Berlin, Germany, 2010; pp. 335–344. [Google Scholar]
- Ates, H.C.; Roberts, J.A.; Lipman, J.; Cass, A.E.; Urban, G.A.; Dincer, C. On-site therapeutic drug monitoring. Trends Biotechnol. 2020, 38, 1262–1277. [Google Scholar] [CrossRef]
- Garzón, V.; Pinacho, D.G.; Bustos, R.-H.; Garzón, G.; Bustamante, S. Optical biosensors for therapeutic drug monitoring. Biosensors 2019, 9, 132. [Google Scholar] [CrossRef]
- Myszka, D.G. Improving biosensor analysis. J. Mol. Recognit. 1999, 12, 279–284. [Google Scholar] [CrossRef]
- Chambers, J.P.; Arulanandam, B.P.; Matta, L.L.; Weis, A.; Valdes, J.J. Biosensor recognition elements. Curr. Issues Mol. Biol. 2008, 10, 1–12. [Google Scholar] [CrossRef]
- Pollap, A.; Kochana, J. Electrochemical immunosensors for antibiotic detection. Biosensors 2019, 9, 61. [Google Scholar] [CrossRef] [PubMed]
- Singh, A.; Sharma, A.; Ahmed, A.; Sundramoorthy, A.K.; Furukawa, H.; Arya, S.; Khosla, A. Recent advances in electrochemical biosensors: Applications, challenges, and future scope. Biosensors 2021, 11, 336. [Google Scholar] [CrossRef] [PubMed]
- Singh, B.; Bhat, A.; Dutta, L.; Pati, K.R.; Korpan, Y.; Dahiya, I. Electrochemical biosensors for the detection of antibiotics in milk: Recent trends and future perspectives. Biosensors 2023, 13, 867. [Google Scholar] [CrossRef] [PubMed]
- Rowe, A.A.; Miller, E.A.; Plaxco, K.W. Reagentless measurement of aminoglycoside antibiotics in blood serum via an electrochemical, ribonucleic acid aptamer-based biosensor. Anal. Chem. 2010, 82, 7090–7095. [Google Scholar] [CrossRef]
- Wang, J. Electrochemical biosensors: Towards point-of-care cancer diagnostics. Biosens. Bioelectron. 2006, 21, 1887–1892. [Google Scholar] [CrossRef]
- Ronkainen, N.J.; Halsall, H.B.; Heineman, W.R. Electrochemical biosensors. Chem. Soc. Rev. 2010, 39, 1747–1763. [Google Scholar] [CrossRef]
- Losoya-Leal, A.; Estevez, M.-C.; Martínez-Chapa, S.O.; Lechuga, L.M. Design of a surface plasmon resonance immunoassay for therapeutic drug monitoring of amikacin. Talanta 2015, 141, 253–258. [Google Scholar] [CrossRef]
- Singh, P. SPR biosensors: Historical perspectives and current challenges. Sens. Actuators B Chem. 2016, 229, 110–130. [Google Scholar] [CrossRef]
- Kumari, A.; Yadav, A.; Singh, O.; Sharan, P. A review of surface plasmon resonance (SPR) technology in biosensing: Innovations, applications and future trends. J. Opt. 2024, 1–9. [Google Scholar] [CrossRef]
- Yola, M.L.; Atar, N.; Eren, T. Determination of amikacin in human plasma by molecular imprinted SPR nanosensor. Sens. Actuators B Chem. 2014, 198, 70–76. [Google Scholar] [CrossRef]
- Li, S.; Zhou, L.; Wang, X.; Ren, R.; Li, H.; Mao, Y.; Liu, J.; Li, L.; Cao, Y. Antibody-based surface plasmon resonance sensor platform for monitoring amikacin drug concentrations in human serum samples. Spectrochim. Acta Part A Mol. Biomol. Spectrosc. 2025, 333, 125840. [Google Scholar] [CrossRef] [PubMed]
- Qi, M.; Lv, D.; Zhang, Y.; Wang, D.; Chen, X.; Zhu, Z.; Hong, Z.; Chai, Y.; Zhang, H.; Cao, Y. Development of a surface plasmon resonance biosensor for accurate and sensitive quantitation of small molecules in blood samples. J. Pharm. Anal. 2022, 12, 929–936. [Google Scholar] [CrossRef] [PubMed]
- Longo, U.G.; Candela, V.; Berton, A.; De Salvatore, S.; Fioravanti, S.; Giannone, L.; Marchetti, A.; De Marinis, M.G.; Denaro, V. Biosensors for detection of biochemical markers relevant to osteoarthritis. Biosensors 2021, 11, 31. [Google Scholar] [CrossRef] [PubMed]
- Garzon, V.; Salvador, J.-P.; Marco, M.-P.; G.-Pinacho, D.; Bustos, R.-H. Development and ELISA Characterization of Antibodies against the Colistin, Vancomycin, Daptomycin, and Meropenem: A Therapeutic Drug Monitoring Approach. Antibiotics 2024, 13, 600. [Google Scholar] [CrossRef]
- Sharma, S.; Byrne, H.; O’Kennedy, R. Antibodies and antibody-derived analytical biosensors. Essays Biochem. 2016, 60, 9–18. [Google Scholar] [CrossRef]
- Guillem, P.; Bustos, R.-H.; Garzon, V.; Munoz, A.; Juez, G. A low-cost electrochemical biosensor platform for C-reactive protein detection. Sens. Bio-Sens. Res. 2021, 31, 100402. [Google Scholar] [CrossRef]
- Kaja, K.; Chevalier, N.; Mariolle, D.; Bertin, F.; Feuillet, G.; Chabli, A. effects of experimental parameters on the work function measurement: A kelvin force microscopy study. In Proceedings of the AIP Conference Proceedings; American Institute of Physics: New York, NY, USA, 2009; pp. 224–228. [Google Scholar]
- Khan, M.Z.H. Effect of ITO surface properties on SAM modification: A review toward biosensor application. Cogent Eng. 2016, 3, 1170097. [Google Scholar] [CrossRef]
- Azimi, S.; Farahani, A.; Docoslis, A.; Vahdatifar, S. Developing an integrated microfluidic and miniaturized electrochemical biosensor for point of care determination of glucose in human plasma samples. Anal. Bioanal. Chem. 2021, 413, 1441–1452. [Google Scholar] [CrossRef]
- Andersson, K.; Areskoug, D.; Hardenborg, E. Exploring buffer space for molecular interactions. J. Mol. Recognit. 1999, 12, 310–315. [Google Scholar] [CrossRef]
- Bustos, R.H.; Zapata, C.; Esteban, E.; García, J.-C.; Jáuregui, E.; Jaimes, D. Label-free quantification of anti-TNF-α in patients treated with adalimumab using an optical biosensor. Sens. Actuators B Chem. 2018, 18, 691. [Google Scholar] [CrossRef]
- SPR-Pages. The Experiment. Available online: https://www.sprpages.nl/experiments (accessed on 13 January 2026).
- Goode, J.; Rushworth, J.; Millner, P. Biosensor regeneration: A review of common techniques and outcomes. Langmuir 2015, 31, 6267–6276. [Google Scholar] [CrossRef]
- Jia, Y.; Chen, S.; Wang, Q.; Li, J. Recent progress in biosensor regeneration techniques. Nanoscale 2024, 16, 2834–2846. [Google Scholar] [CrossRef] [PubMed]
- Castrillo, J.T. Desarrollo de un Biosensor de Resonancia de Plasmón Superficial Para la Determinación de Hormonas Pituitarias en Muestras Biológicas. Ph.D. Thesis, Universidad Autónoma de Madrid, Madrid, Spain, 2009. [Google Scholar]
- Salvador, J.P.; Marco, M.P. Amperometric biosensor for continuous monitoring Irgarol 1051 in sea water. Electroanalysis 2016, 28, 1833–1838. [Google Scholar] [CrossRef]
- Cetinkaya, A.; Yıldız, E.; Kaya, S.I.; Çorman, M.E.; Uzun, L.; Ozkan, S.A. A green synthesis route to develop molecularly imprinted electrochemical sensor for selective detection of vancomycin from aqueous and serum samples. Green Anal. Chem. 2022, 2, 100017. [Google Scholar] [CrossRef]
- Hadi, M.; Mollaei, T. Electroanalytical determination of vancomycin at a graphene-modified electrode: Comparison of electrochemical property between graphene, carbon nanotube, and carbon black. Electroanalysis 2019, 31, 1224–1228. [Google Scholar] [CrossRef]
- Gill, A.A.; Singh, S.; Agrawal, N.; Nate, Z.; Chiwunze, T.E.; Thapliyal, N.B.; Chauhan, R.; Karpoormath, R. A poly (acrylic acid)-modified copper-organic framework for electrochemical determination of vancomycin. Microchim. Acta 2020, 187, 79. [Google Scholar] [CrossRef]
- Kumar, H.; Valko, M.; Alomar, S.Y.; Alwasel, S.H.; Cruz-Martins, N.; Kuča, K.; Kumar, D. Electrochemical immunosensor for the detection of colistin in chicken liver. Biotech 2022, 12, 190. [Google Scholar] [CrossRef]
- Webster, T.A.; Sismaet, H.J.; Goluch, E.D. Electrochemically monitoring the antibiotic susceptibility of Pseudomonas aeruginosa biofilms. Analyst 2015, 140, 7195–7201. [Google Scholar] [CrossRef]
- Atta, M.Y.; Hegazy, M.A.; Mahmoud, A.M.; Ghoniem, N.S. Electrochemical Sensor for Meropenem Therapeutic Monitoring in Human Plasma Based on Carbon Nanotubes Modified Basal Pyrolytic Graphite Electrode. J. Electrochem. Soc. 2022, 169, 097504. [Google Scholar] [CrossRef]
- Attia, A.K.; Al-Ghobashy, M.A.; El-Sayed, G.M.; Kamal, S.M. Simultaneous determination of linezolid, meropenem and theophylline in plasma. Data Brief 2018, 21, 150–153. [Google Scholar] [CrossRef]
- Ozcelikay, G.; Kurbanoglu, S.; Yarman, A.; Scheller, F.W.; Ozkan, S.A. Au-Pt nanoparticles based molecularly imprinted nanosensor for electrochemical detection of the lipopeptide antibiotic drug Daptomycin. Sens. Actuators B Chem. 2020, 320, 128285. [Google Scholar] [CrossRef]
- Radi, A.-E.; Acero Sánchez, J.L.; Baldrich, E.; O’Sullivan, C.K. Reusable impedimetric aptasensor. Anal. Chem. 2005, 77, 6320–6323. [Google Scholar] [CrossRef] [PubMed]
- Tort, N.; Salvador, J.-P.; Marco, M.-P. Multiplexed immunoassay to detect anabolic androgenic steroids in human serum. Anal. Bioanal. Chem. 2012, 403, 1361–1371. [Google Scholar] [CrossRef] [PubMed]
- Salvador, J.-P.; Sánchez-Baeza, F.; Marco, M.-P. Simultaneous immunochemical detection of stanozolol and the main human metabolite, 3′-hydroxy-stanozolol, in urine and serum samples. Anal. Biochem. 2008, 376, 221–228. [Google Scholar] [CrossRef]
- Altintas, Z. Surface plasmon resonance based sensor for the detection of glycopeptide antibiotics in milk using rationally designed nanoMIPs. Sci. Rep. 2018, 8, 11222. [Google Scholar] [CrossRef]
- Rinken, T. Biosensors: Micro and Nanoscale Applications; BoD–Books on Demand: Hamburg, Germany, 2015. [Google Scholar]
- Schneider, E.K.; Huang, J.X.; Carbone, V.; Han, M.; Zhu, Y.; Nang, S.; Khoo, K.K.; Mak, J.; Cooper, M.A.; Li, J. Plasma protein binding structure–activity relationships related to the n-terminus of daptomycin. ACS Infect. Dis. 2017, 3, 249–258. [Google Scholar] [CrossRef]
- Kinouchi, H.; Onishi, M.; Kamimori, H. Lipid membrane-binding properties of daptomycin using surface plasmon resonance. Anal. Sci. 2013, 29, 297–301. [Google Scholar] [CrossRef]
- Gustavsson, E.; Degelaen, J.; Bjurling, P.; Sternesjö, Å. Determination of β-lactams in milk using a surface plasmon resonance-based biosensor. J. Agric. Food Chem. 2004, 52, 2791–2796. [Google Scholar] [CrossRef]
- Scott, I.M.; Kraft, L.J.; Parker, J.D.; Daniel, K.; Kustick, S.; Kennen, D.; McMurry, J. A Real Time Optical Biosensor Assay for Amoxicillin and Other β-Lactams in Water Samples. Ga. J. Sci. 2010, 68, 1. [Google Scholar]
- Topor, C.-V.; Puiu, M.; Bala, C. Strategies for surface design in surface plasmon resonance (SPR) sensing. Biosensors 2023, 13, 465. [Google Scholar] [CrossRef]
- Neumann, T.; Junker, H.; Schmidt, K.; Sekul, R. SPR-based fragment screening: Advantages and applications. Curr. Top. Med. Chem. 2007, 7, 1630–1642. [Google Scholar] [CrossRef] [PubMed]
- Bakker, E.; Telting-Diaz, M. Electrochemical sensors. Anal. Chem. 2002, 74, 2781–2800. [Google Scholar] [CrossRef] [PubMed]
- Puscasu, A.; Zanchetta, M.; Posocco, B.; Bunka, D.; Tartaggia, S.; Toffoli, G. Development and validation of a selective SPR aptasensor for the detection of anticancer drug irinotecan in human plasma samples. Anal. Bioanal. Chem. 2021, 413, 1225–1236. [Google Scholar] [CrossRef] [PubMed]
- Kazakevich, Y.V.; Lobrutto, R. HPLC for Pharmaceutical Scientists; John Wiley & Sons: Chichester, UK, 2007. [Google Scholar]
- Ghasemiyeh, P.; Vazin, A.; Zand, F.; Azadi, A.; Karimzadeh, I.; Mohammadi-Samani, S. A simple and validated HPLC method for vancomycin assay in plasma samples: The necessity of TDM center development in Southern Iran. Res. Pharm. Sci. 2020, 15, 529–540. [Google Scholar] [CrossRef]
- Papavasileiou, K.; Tsiasioti, A.; Tzanavaras, P.D.; Zacharis, C.K. HPLC determination of colistin in human urine using alkaline mobile phase combined with post-column derivatization: Validation using accuracy profiles. Molecules 2022, 27, 3489. [Google Scholar] [CrossRef]
- Zhang, N.; Xu, Y.; Liang, B.; Zeng, J.; Wang, R.; Cai, Y. A rapid and simple HPLC-MS/MS method for the quantitative determination of colistin for therapeutic drug monitoring in clinical practice. Drug Des. Dev. Ther. 2024, 18, 4877–4887. [Google Scholar] [CrossRef]
- Lin, J.; Pan, Q.; Wang, W.; Chen, S.; Wu, G.; Shen, M.; Ji, H. An ID-HPLC-MS/MS based candidate reference measurement procedure for the quantification of imipenem, meropenem and ertapenem in human plasma. J. Chromatogr. B 2025, 30, 124908. [Google Scholar] [CrossRef]
- Gü, S.; Reimer, A.; Vogl, H.; Spenke, S.; Dinges, H.-C.; Schubert, A.-K.; Eberhart, L.H. Determination of meropenem, ceftazidime and piperacillin levels in serum and meropenem in cerebrospinal fluid by liquid chromatography for routine quantification. J. Pharm. Pharmacol. Res. 2022, 6, 169–176. [Google Scholar] [CrossRef]
- Martens-Lobenhoffer, J.; Kielstein, J.T.; Oye, C.; Bode-Böger, S.M. Validated high performance liquid chromatography–UV detection method for the determination of daptomycin in human plasma. J. Chromatogr. B 2008, 875, 546–550. [Google Scholar] [CrossRef]
- Scarano, S.; Scuffi, C.; Mascini, M.; Minunni, M. Surface Plasmon Resonance imaging-based sensing for anti-bovine immunoglobulins detection in human milk and serum. Anal. Chim. Acta 2011, 707, 178–183. [Google Scholar] [CrossRef]
- Pacheco, T.; Bustos, R.-H.; González, D.; Garzón, V.; García, J.-C.; Ramírez, D. An approach to measuring colistin plasma levels regarding the treatment of multidrug-resistant bacterial infection. Antibiotics 2019, 8, 100. [Google Scholar] [CrossRef]
- European Medicine Agency. Q2 (R2) Validation of Analytical Procedures—Scientific Guideline. Available online: https://www.ema.europa.eu/en/ich-q2r2-validation-analytical-procedures-scientific-guideline (accessed on 10 October 2025).
- Sanabria, J.; Garzón, V.; Pacheco, T.; Avila, M.-P.; Garcia, J.-C.; Jaimes, D.; Torres, A.; Bustos, R.-H.; Escobar-Perez, J.; Abril, D. Estimation of the Difference in Colistin Plasma Levels in Critically Ill Patients with Favorable or Unfavorable Clinical Outcomes. Pharmaceutics 2021, 13, 1630. [Google Scholar] [CrossRef]
- Lima, T.d.M.; Seba, K.S.; Gonçalves, J.C.S.; Cardoso, F.L.L.; Estrela, R.d.C.E. A rapid and simple HPLC method for therapeutic monitoring of vancomycin. J. Chromatogr. Sci. 2018, 56, 115–121. [Google Scholar] [CrossRef]
- Mendez, A.S.; Steppe, M.; Schapoval, E.E. Validation of HPLC and UV spectrophotometric methods for the determination of meropenem in pharmaceutical dosage form. J. Pharm. Biomed. Anal. 2003, 33, 947–954. [Google Scholar] [CrossRef]
- Tobin, C.; Darville, J.; Lovering, A.; Macgowan, A. An HPLC assay for daptomycin in serum. J. Antimicrob. Chemother. 2008, 62, 1462–1463. [Google Scholar] [CrossRef]
- Milla, P.; Ferrari, F.; Muntoni, E.; Sartori, M.; Ronco, C.; Arpicco, S. Validation of a simple and economic HPLC-UV method for the simultaneous determination of vancomycin, meropenem, piperacillin and tazobactam in plasma samples. J. Chromatogr. B 2020, 1148, 122151. [Google Scholar] [CrossRef]









| Antibiotic | -Imin µA | -Imax µA | Slope | IC50 Diluted Plasma nM (µg/L) | IC50 Pure Plasma nM (µg/L) | LOD Diluted Plasma nM (µg/L) | LOD Pure Plasma nM (µg/L) |
|---|---|---|---|---|---|---|---|
| VAN | 0.118 | 1.551 | −0.296 | 2.41 (3.49) | 241 (349.2) | 0.011 (0.01) | 1.1 (1.59) |
| COL | 0.2629 | 0.859 | −1.508 | 4.71 (5.44) | 47.11 (54.4) | 0.18 (0.20) | 18 (20.70) |
| MER | 0.295 | 0.927 | −0.538 | 2.14 (0.82) | 214 (82.0) | 0.23 (0.08) | 23 (8.81) |
| DAP | 0.336 | 0.448 | −1.87 | 3.15 (5.10) | 31.52 (51.06) | 0.26 (0.42) | 26 (42.12) |
| VAN | COL | MER | DAP | |
|---|---|---|---|---|
| LOD | 19 ng/mL | 9 ng/mL | 12 ng/mL | 12.3 ng/mL |
| LOQ | 28 ng/mL | 21.3 ng/mL | 25 ng/mL | 25 ng/mL |
| Parameter | Electrochemical Biosensor | SPRi Biosensor |
|---|---|---|
| Time-to-result per 10 samples (sample preparation, measurement, and sensor regeneration) | 30 min | 20 min |
| Sample volume | 1000 µL | 200 µL |
| Cost per sample | 5 USD | 10 USD |
| Portability | The unlocked biosensor is a portable device, characterized by its compact design (20 × 10 × 5 cm), light weight (200 g) and autonomous operation with rechargeable battery. Its integrated electronics allows the immediate acquisition and visualization of data in a computer, which facilitates the realization of medicines in situ without the need for additional laboratory equipment. | The biosensor is not considered portable due to its dependence on a large optical system and the need for an external power supply which limits its use to our clinicians in situ. |
| Electrochemical Biosensor | SPRi Biosensor | |||||
|---|---|---|---|---|---|---|
| Sample | Ra | Rrms | Rmax | Ra | Rrms | Rmax |
| Control | 330.193 nm | 406.336 nm | 1.424 µm | 1.078 nm | 1.311 nm | 20.142 µm |
| Vancomycin | 340.720 nm | 415.393 nm | 1.166 µm | 1.541 nm | 4.751 nm | 170.061 µm |
| Daptomycin | 341.459 nm | 414.099 nm | 1.528 µm | 1.146 nm | 2.038 nm | 62.235 µm |
| Meropenem | 399.054 nm | 487.112 nm | 1.822 µm | 1.733 nm | 2.996 nm | 107.434 µm |
| Colistin | 406.975 nm | 507.535 nm | 1.483 µm | 1.623 nm | 2.450 nm | 115.157 µm |
| HPLC Conditions | VAN [69] | COL [68] | MER [70,72] | DAP [71] |
|---|---|---|---|---|
| Gradient | Isocratic program 88% 0.1 M phosphate buffer pH 7.0: 12% Acetonitrile | Gradient from 20 to 25% acetonitrile in 0.2 M phosphate buffer pH 6.5 | Isocratic program 90% 10 mM phosphate buffer pH 7.4: 10% acetonitrile | Isocratic program 70% 0.2 M phosphate buffer pH 6.5: 30% acetonitrile |
| Flow rate | 1.2 mL/min | 1.5 mL/min | ||
| Temperature | 25 °C | |||
| Analysis time | 10 min | |||
| Detection | UV a 240 nm | UV a 214 nm | UV a 300 nm | UV 220 nm |
| Column | Gemini C18, 5 μm, 150 × 4.6 mm | |||
| Injection volume | 99 µL | 10 µL | ||
| Sample treatment (Plasma) | Centrifuge 3000 rpm × 3 min. Supernatant. Dilution 1:1 in elution solvent | |||
Disclaimer/Publisher’s Note: The statements, opinions and data contained in all publications are solely those of the individual author(s) and contributor(s) and not of MDPI and/or the editor(s). MDPI and/or the editor(s) disclaim responsibility for any injury to people or property resulting from any ideas, methods, instructions or products referred to in the content. |
© 2026 by the authors. Licensee MDPI, Basel, Switzerland. This article is an open access article distributed under the terms and conditions of the Creative Commons Attribution (CC BY) license.
Share and Cite
Garzon, V.; G.-Pinacho, D.; Salvador, J.-P.; Marco, M.-P.; Bustos, R.-H. Advanced Biosensing Strategies for Last-Line Antibiotics Vancomycin, Colistin, Daptomycin and Meropenem: Comparative Analysis of Electrochemical and Optical Detection Methods. Antibiotics 2026, 15, 327. https://doi.org/10.3390/antibiotics15040327
Garzon V, G.-Pinacho D, Salvador J-P, Marco M-P, Bustos R-H. Advanced Biosensing Strategies for Last-Line Antibiotics Vancomycin, Colistin, Daptomycin and Meropenem: Comparative Analysis of Electrochemical and Optical Detection Methods. Antibiotics. 2026; 15(4):327. https://doi.org/10.3390/antibiotics15040327
Chicago/Turabian StyleGarzon, Vivian, Daniel G.-Pinacho, J.-Pablo Salvador, M.-Pilar Marco, and Rosa-Helena Bustos. 2026. "Advanced Biosensing Strategies for Last-Line Antibiotics Vancomycin, Colistin, Daptomycin and Meropenem: Comparative Analysis of Electrochemical and Optical Detection Methods" Antibiotics 15, no. 4: 327. https://doi.org/10.3390/antibiotics15040327
APA StyleGarzon, V., G.-Pinacho, D., Salvador, J.-P., Marco, M.-P., & Bustos, R.-H. (2026). Advanced Biosensing Strategies for Last-Line Antibiotics Vancomycin, Colistin, Daptomycin and Meropenem: Comparative Analysis of Electrochemical and Optical Detection Methods. Antibiotics, 15(4), 327. https://doi.org/10.3390/antibiotics15040327

