Revitalizing Trimethoprim/Sulfamethoxazole via Nanotechnology for Improved Pharmacokinetics and Antibacterial Efficacy
Abstract
1. Introduction
2. Results
2.1. Validation of the UPLC-MS/MS Analytical Method
2.2. Pharmacokinetics and Oral Bioavailability of TMP NPs/SMZ
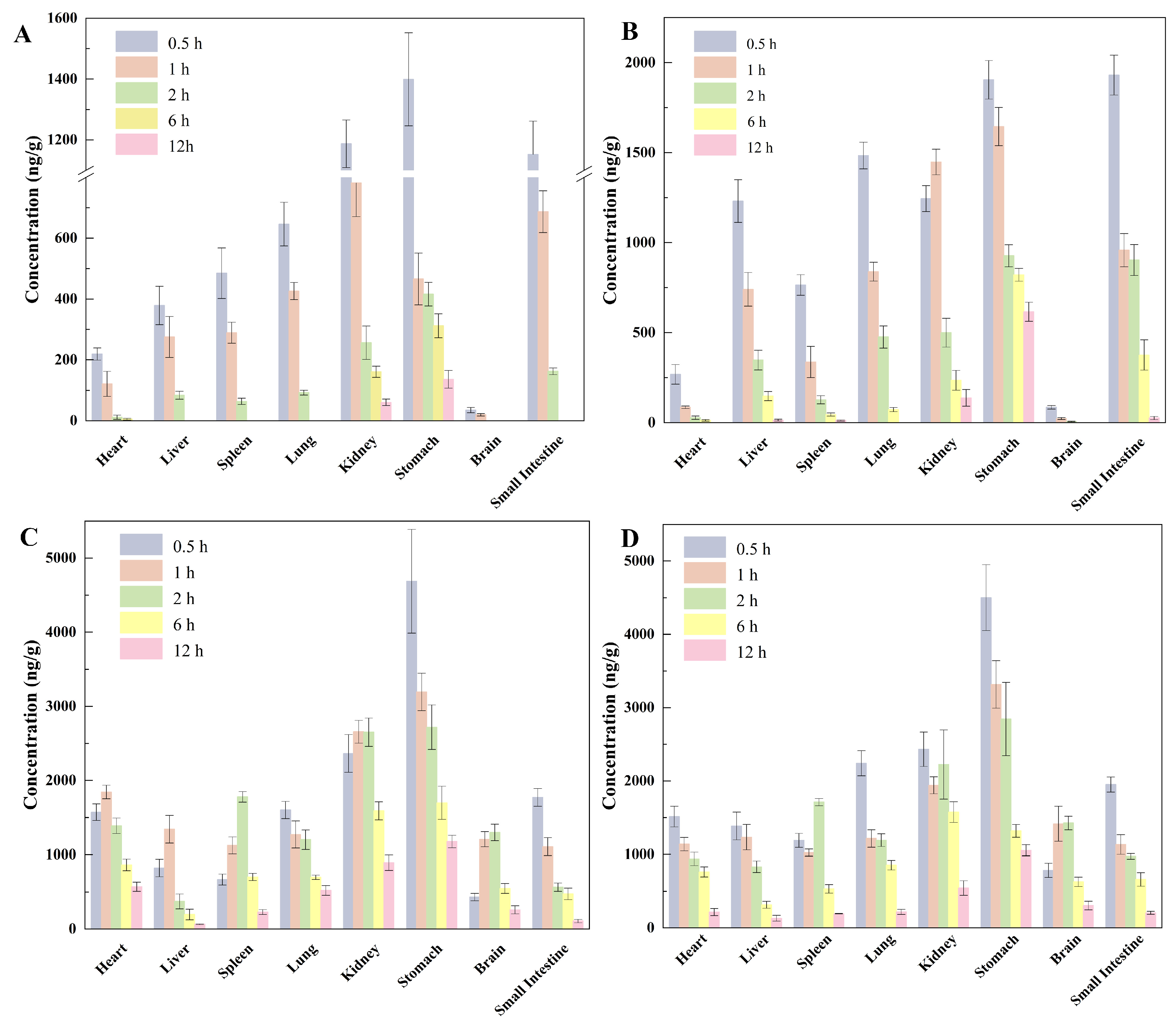
2.3. Tissue Distribution Characteristics of TMP NPs/SMZ
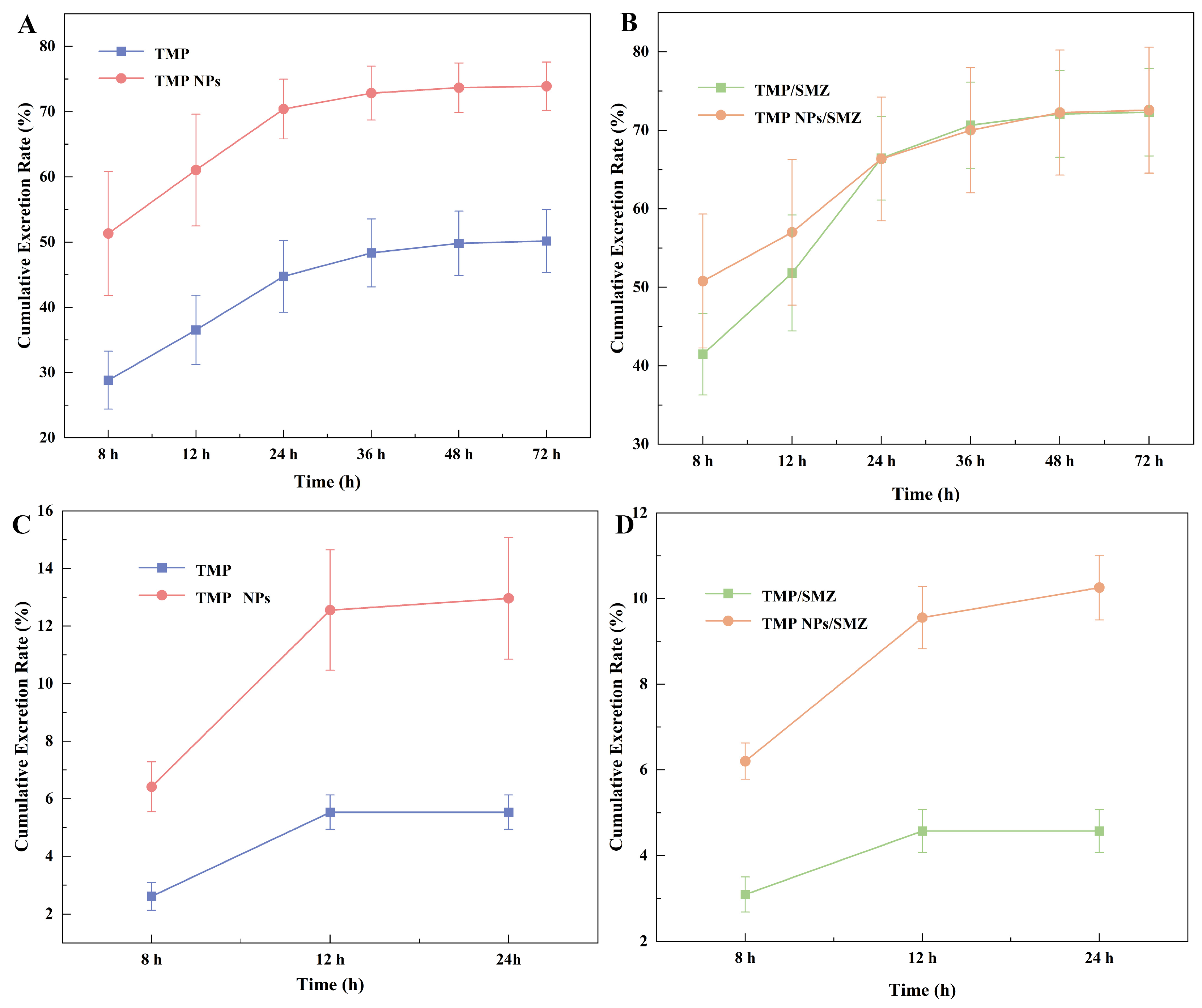
2.4. Urinary and Fecal Excretion Characteristics of TMP NPs/SMZ
2.5. In Vitro Antibacterial Activity Against E. coli and S. aureus
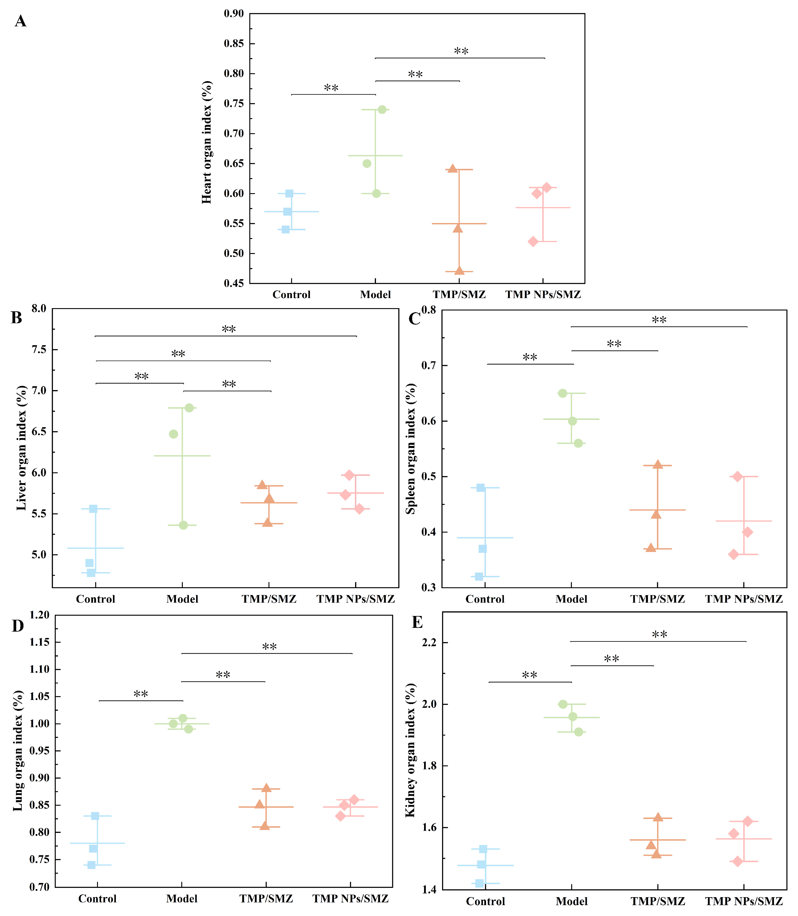
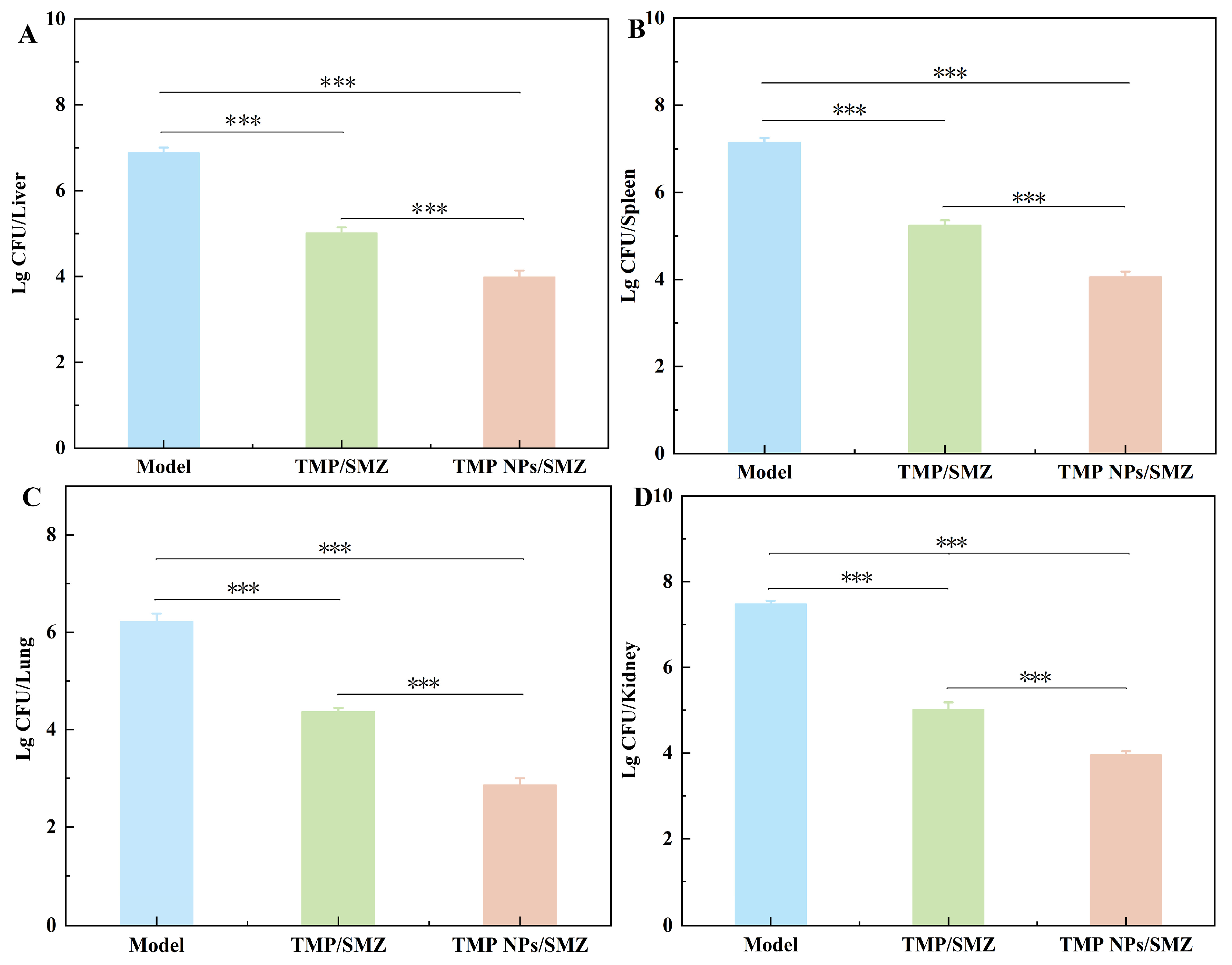
2.6. In Vivo Efficacy and Safety Against E. coli Infection
3. Discussion
4. Materials and Methods
4.1. Materials
4.2. Animals
4.3. Preparation of TMP NPs/SMZ
4.4. Ultra High Performance Liquid Chromatography–Tandem Mass Spectrometry (UPLC-MS/MS) Analysis
4.4.1. Instruments
4.4.2. Detection Conditions
4.5. Preparation of Oral Drug Formulations
4.6. Pharmacokinetics Evaluations
4.6.1. Oral Bioavailability
4.6.2. Tissue Distribution
4.6.3. Urinary and Fecal Excretion
4.7. Antimicrobial Activity Assays
4.7.1. Bacterial Culture
4.7.2. Minimum Inhibitory Concentration (MIC) Assays
4.7.3. Fractional Inhibitory Concentration Index (FICI) Study
4.7.4. Time–Kill Kinetics Assay
4.8. In Vivo Pharmacodynamics
4.8.1. Therapeutic Efficacy of Oral TMP NPs/SMZ Against Intraperitoneal E. coli Infection
4.8.2. Serum Biochemical Analysis
4.8.3. Assessment of Organ Coefficients
4.8.4. Quantification of Bacterial Burden in Organs
4.8.5. Histopathological Examination
4.9. Statistical Analysis
5. Conclusions
Supplementary Materials
Author Contributions
Funding
Institutional Review Board Statement
Informed Consent Statement
Data Availability Statement
Conflicts of Interest
References
- Huovinen, P.; Sundström, L.; Swedberg, G.; Sköld, O. Trimethoprim and Sulfonamide Resistance. Antimicrob. Agents Chemother. 1995, 39, 279–289. [Google Scholar] [CrossRef]
- Wilson, A.M.; Clark, A.B.; Cahn, T.; Chilvers, E.R.; Fraser, W.; Hammond, M.; Livermore, D.M.; Maher, T.M.; Parfrey, H.; Swart, A.M.; et al. Effect of Co-Trimoxazole (Trimethoprim-Sulfamethoxazole) vs Placebo on Death, Lung Transplant, or Hospital Admission in Patients With Moderate and Severe Idiopathic Pulmonary Fibrosis: The EME-TIPAC Randomized Clinical Trial. JAMA 2020, 324, 2282. [Google Scholar] [CrossRef]
- Eliopoulos, G.M.; Huovinen, P. Resistance to Trimethoprim-Sulfamethoxazole. Clin. Infect. Dis. 2001, 32, 1608–1614. [Google Scholar] [CrossRef]
- De Briyne, N.; Atkinson, J.; Borriello, S.P.; Pokludová, L. Antibiotics Used Most Commonly to Treat Animals in Europe. Vet. Rec. 2014, 175, 325. [Google Scholar] [CrossRef]
- Lan, L.-H.; Sun, B.-B.; Zuo, B.-X.-Z.; Chen, X.-Q.; Du, A.-F. Prevalence and Drug Resistance of Avian Eimeria Species in Broiler Chicken Farms of Zhejiang Province, China. Poult. Sci. 2017, 96, 2104–2109. [Google Scholar] [CrossRef]
- Tyers, M.; Wright, G.D. Drug Combinations: A Strategy to Extend the Life of Antibiotics in the 21st Century. Nat. Rev. Microbiol. 2019, 17, 141–155. [Google Scholar] [CrossRef]
- Li, J.; Wang, X.; Yu, D.; Zhoujin, Y.; Wang, K. Molecular Complexes of Drug Combinations: A Review of Cocrystals, Salts, Coamorphous Systems and Amorphous Solid Dispersions. Int. J. Pharm. 2023, 648, 123555. [Google Scholar] [CrossRef] [PubMed]
- Boulanger, M.; Taillandier, J.-F.; Henri, J.; Devreese, M.; De Baere, S.; Ferran, A.A.; Viel, A. Pharmacokinetic Modeling of Sulfamethoxazole-Trimethoprim and Sulfadiazine-Trimethoprim Combinations in Broilers. Poult. Sci. 2024, 103, 104200. [Google Scholar] [CrossRef] [PubMed]
- Ho, J.M.-W.; Juurlink, D.N. Considerations When Prescribing Trimethoprim-Sulfamethoxazole. Can. Med. Assoc. J. 2011, 183, 1851–1858. [Google Scholar] [CrossRef] [PubMed]
- Garnero, C.; Zoppi, A.; Genovese, D.; Longhi, M. Studies on Trimethoprim:Hydroxypropyl-β-Cyclodextrin: Aggregate and Complex Formation. Carbohydr. Res. 2010, 345, 2550–2556. [Google Scholar] [CrossRef]
- Zheng, Q.; Unruh, D.K.; Hutchins, K.M. Cocrystallization of Trimethoprim and Solubility Enhancement via Salt Formation. Cryst. Growth Des. 2021, 21, 1507–1517. [Google Scholar] [CrossRef]
- Arti, S.; Kaur, K.; Kaur, J.; Ghosh, T.K.; Banipal, T.S.; Banipal, P.K. Host-Guest Interaction of Trimethoprim Drug with Cyclodextrins in Aqueous Solutions: Calorimetric, Spectroscopic, Volumetric and Theoretical Approach. J. Mol. Liq. 2021, 329, 115431. [Google Scholar] [CrossRef]
- Zhou, Y.; Dai, G.; Xu, J.; Xu, W.; Li, B.; Chen, S.; Zhang, J. Enhancing the Solubility and Oral Bioavailability of Trimethoprim Through PEG-PLGA Nanoparticles: A Comprehensive Evaluation of In Vitro and In Vivo Performance. Pharmaceutics 2025, 17, 957. [Google Scholar] [CrossRef] [PubMed]
- Varvarà, P.; Calà, C.; Maida, C.M.; Giuffrè, M.; Mauro, N.; Cavallaro, G. Arginine-Rich Peptidomimetic Ampicillin/Gentamicin Conjugate To Tackle Nosocomial Biofilms: A Promising Strategy To Repurpose First-Line Antibiotics. ACS Infect. Dis. 2023, 9, 916–927. [Google Scholar] [CrossRef] [PubMed]
- Kumar, M.; Kulkarni, P.; Liu, S.; Chemuturi, N.; Shah, D.K. Nanoparticle Biodistribution Coefficients: A Quantitative Approach for Understanding the Tissue Distribution of Nanoparticles. Adv. Drug Deliv. Rev. 2023, 194, 114708. [Google Scholar] [CrossRef]
- Liang, J.; Zhao, D.-K.; Yin, H.-M.; Tian, T.-Y.; Kang, J.-K.; Shen, S.; Wang, J. Combinatorial Screening of Nanomedicines in Patient-Derived Cancer Organoids Facilitates Efficient Cancer Therapy. Nano Today 2025, 61, 102665. [Google Scholar] [CrossRef]
- ICH Harmonised Guideline. Bioanalytical Method Validation and Study Sample Analysis M10; ICH Harmonised Guideline: Geneva, Switzerland, 2022. [Google Scholar]
- Yang, Y.; Li, X.; Lin, J.; Bao, R. A Modified QuEChERS-Based UPLC-MS/MS Method for Rapid Determination of Multiple Antibiotics and Sedative Residues in Freshwater Fish. Food Chem. X 2024, 22, 101268. [Google Scholar] [CrossRef]
- Chien, S.-T.; Suydam, I.T.; Woodrow, K.A. Prodrug Approaches for the Development of a Long-Acting Drug Delivery Systems. Adv. Drug Deliv. Rev. 2023, 198, 114860. [Google Scholar] [CrossRef]
- Subramanian, D.A.; Langer, R.; Traverso, G. Mucus Interaction to Improve Gastrointestinal Retention and Pharmacokinetics of Orally Administered Nano-Drug Delivery Systems. J. Nanobiotechnol. 2022, 20, 362. [Google Scholar] [CrossRef]
- Vercelli, C.; Łebkowska-Wieruszewska, B.; Sartini, I.; Dessi, F.; Lisowski, A.; Poapolathep, A.; Giorgi, M. P18|Pharmacokinetics of Tiamulin in Geese after Single and Multiple Oral Administrations and Evaluation of Drug Effects on Resistance in Cloacal Flora. Vet. Pharm. Ther. 2023, 46, 94. [Google Scholar] [CrossRef]
- Guo, Y.; Guo, W.; Chen, H.; Sun, J.; Yin, Y. Mechanisms of Sepsis-Induced Acute Liver Injury: A Comprehensive Review. Front. Cell. Infect. Microbiol. 2025, 15, 1504223. [Google Scholar] [CrossRef]
- Xie, P.; Chen, J.; Xia, Y.; Lin, Z.; He, Y.; Cai, Z. Spatial Metabolomics Reveal Metabolic Alternations in the Injured Mice Kidneys Induced by Triclocarban Treatment. J. Pharm. Anal. 2024, 14, 101024. [Google Scholar] [CrossRef] [PubMed]
- Kesharwani, P.; Kumar, V.; Goh, K.W.; Gupta, G.; Alsayari, A.; Wahab, S.; Sahebkar, A. PEGylated PLGA Nanoparticles: Unlocking Advanced Strategies for Cancer Therapy. Mol. Cancer 2025, 24, 205. [Google Scholar] [CrossRef]
- Huang, S.-Y.; Yeh, N.-T.; Wang, T.-H.; Hsu, T.-C.; Chin, H.-Y.; Tzang, B.-S.; Chiang, W.-H. Onion-like Doxorubicin-Carrying Polymeric Nanomicelles with Tumor Acidity-Sensitive dePEGylation to Expose Positively-Charged Chitosan Shell for Enhanced Cancer Chemotherapy. Int. J. Biol. Macromol. 2023, 227, 925–937. [Google Scholar] [CrossRef] [PubMed]
- Wang, Z.; Ye, Q.; Yu, S.; Akhavan, B. Poly Ethylene Glycol (PEG)-Based Hydrogels for Drug Delivery in Cancer Therapy: A Comprehensive Review. Adv. Healthc. Mater. 2023, 12, 2300105. [Google Scholar] [CrossRef]
- Lin, X.; He, T.; Tang, R.; Li, Q.; Wu, N.; Zhou, Y.; He, H.; Wan, L.; Huang, J.; Jiang, Q.; et al. Biomimetic Nanoprobe-Augmented Triple Therapy with Photothermal, Sonodynamic and Checkpoint Blockade Inhibits Tumor Growth and Metastasis. J. Nanobiotechnol. 2022, 20, 80. [Google Scholar] [CrossRef] [PubMed]
- Zhang, W.; Gao, J.; Zhu, Q.; Zhang, M.; Ding, X.; Wang, X.; Hou, X.; Fan, W.; Ding, B.; Wu, X. Penetration and Distribution of PLGA Nanoparticles in the Human Skin Treated with Microneedles. Int. J. Pharm. 2010, 402, 205–212. [Google Scholar] [CrossRef]
- Semete, B.; Booysen, L.; Lemmer, Y.; Kalombo, L.; Katata, L.; Verschoor, J.; Swai, H.S. In Vivo Evaluation of the Biodistribution and Safety of PLGA Nanoparticles as Drug Delivery Systems. Nanomed. Nanotechnol. Biol. Med. 2010, 6, 662–671. [Google Scholar] [CrossRef]
- Tu, Y.-H.; Allen, L.V.; Fiorica, V.M.; Albers, D.D. Pharmacokinetics of Trimethoprim in the Rat. J. Pharm. Sci. 1989, 78, 556–560. [Google Scholar] [CrossRef]
- Su, C.; Liu, Y.; Li, R.; Wu, W.; Fawcett, J.P.; Gu, J. Absorption, Distribution, Metabolism and Excretion of the Biomaterials Used in Nanocarrier Drug Delivery Systems. Adv. Drug Deliv. Rev. 2019, 143, 97–114. [Google Scholar] [CrossRef]
- Kim, P.; Sanchez, A.M.; Penke, T.J.R.; Tuson, H.H.; Kime, J.C.; McKee, R.W.; Slone, W.L.; Conley, N.R.; McMillan, L.J.; Prybol, C.J.; et al. Safety, Pharmacokinetics, and Pharmacodynamics of LBP-EC01, a CRISPR-Cas3-Enhanced Bacteriophage Cocktail, in Uncomplicated Urinary Tract Infections Due to Escherichia Coli (ELIMINATE): The Randomised, Open-Label, First Part of a Two-Part Phase 2 Trial. Lancet Infect. Dis. 2024, 24, 1319–1332. [Google Scholar] [CrossRef]
- Amani, A.M.; Tayebi, L.; Vafa, E.; Azizli, M.J.; Abbasi, M.; Vaez, A.; Kamyab, H.; Simancas-Racines, D.; Chelliapan, S. Biomedical MXene-Polymer Nanocomposites: Advancing Photothermal Therapy, Antibacterial Action, and Smart Drug Delivery: A Review. Carbohydr. Polym. Technol. Appl. 2025, 10, 100863. [Google Scholar] [CrossRef]
- He, J.; Hong, M.; Xie, W.; Chen, Z.; Chen, D.; Xie, S. Progress and Prospects of Nanomaterials against Resistant Bacteria. J. Control. Release 2022, 351, 301–323. [Google Scholar] [CrossRef]
- Venkatesan, M.; Fruci, M.; Verellen, L.A.; Skarina, T.; Mesa, N.; Flick, R.; Pham, C.; Mahadevan, R.; Stogios, P.J.; Savchenko, A. Molecular Mechanism of Plasmid-Borne Resistance to Sulfonamide Antibiotics. Nat. Commun. 2023, 14, 4031. [Google Scholar] [CrossRef] [PubMed]
- Knappe, D.; Fritsche, S.; Alber, G.; Kohler, G.; Hoffmann, R.; Muller, U. Oncocin Derivative Onc72 Is Highly Active against Escherichia Coli in a Systemic Septicaemia Infection Mouse Model. J. Antimicrob. Chemother. 2012, 67, 2445–2451. [Google Scholar] [CrossRef]
- Zhang, Y.-N.; Poon, W.; Tavares, A.J.; McGilvray, I.D.; Chan, W.C.W. Nanoparticle–Liver Interactions: Cellular Uptake and Hepatobiliary Elimination. J. Control. Release 2016, 240, 332–348. [Google Scholar] [CrossRef]
- Dai, G.; Zhou, Y.; Xu, J.; Sun, K.; Li, H.; Wang, Q.; Li, B.; Zhou, X.; Zhang, J. Ultrasensitive Tracking of Dual Antiparasitics in Living Tissues: UPLC-MS/MS Reveals Synergistic Distribution of Oxyclozanide and Levamisole Hydrochloride. Anal. Chem. 2026, 98, 2882–2894. [Google Scholar] [CrossRef]
- Dong, B.; Peng, Y.; Wang, M.; Peng, C.; Li, X. The Compatibility Rationality of Sijunzi Decoction Based on Integrated Analysis of Tissue Distribution and Excretion Characteristics in Spleen Deficiency Syndrome Rats. J. Ethnopharmacol. 2024, 319, 117376. [Google Scholar] [CrossRef]
- Zhang, M.; Xin, Y.; Feng, K.; Yin, B.; Kan, Q.; Xiao, J.; Cao, Y.; Ho, C.-T.; Huang, Q. Comparative Analyses of Bioavailability, Biotransformation, and Excretion of Nobiletin in Lean and Obese Rats. J. Agric. Food Chem. 2020, 68, 10709–10718. [Google Scholar] [CrossRef] [PubMed]
- M100| Performance Standards for Antimicrobial Susceptibility Testing. Available online: https://clsi.org/shop/standards/m100/ (accessed on 26 December 2025).
- Mhlongo, J.T.; Waddad, A.Y.; Albericio, F.; De La Torre, B.G. Antimicrobial Peptide Synergies for Fighting Infectious Diseases. Adv. Sci. 2023, 10, 2300472. [Google Scholar] [CrossRef]
- Majumder, A.; Sarkar, C.; Das, I.; Sk, S.; Bandyopadhyay, S.; Mandal, S.; Bera, M. Design, Synthesis and Evaluation of a Series of Zinc(II) Complexes of Anthracene-Affixed Multifunctional Organic Assembly as Potential Antibacterial and Antibiofilm Agents against Methicillin-Resistant Staphylococcus aureus. ACS Appl. Mater. Interfaces 2023, 15, 22781–22804. [Google Scholar] [CrossRef]
- Li, C.; Yuan, L.; Zhang, X.; Zhang, A.; Pan, Y.; Wang, Y.; Qu, W.; Hao, H.; Algharib, S.A.; Chen, D.; et al. Core-Shell Nanosystems Designed for Effective Oral Delivery of Polypeptide Drugs. J. Control. Release 2022, 352, 540–555. [Google Scholar] [CrossRef] [PubMed]
- Hooper, L.V.; Macpherson, A.J. Immune Adaptations That Maintain Homeostasis with the Intestinal Microbiota. Nat. Rev. Immunol. 2010, 10, 159–169. [Google Scholar] [CrossRef] [PubMed]
- Burberry, A.; Zeng, M.Y.; Ding, L.; Wicks, I.; Inohara, N.; Morrison, S.J.; Núñez, G. Infection Mobilizes Hematopoietic Stem Cells through Cooperative NOD-like Receptor and Toll-like Receptor Signaling. Cell Host Microbe 2014, 15, 779–791. [Google Scholar] [CrossRef] [PubMed]








| Sample | Polarity | Precursor Ion (m/z) | Product Ion (m/z) | DP (V) | CE (V) | Retention Time (Minutes) |
|---|---|---|---|---|---|---|
| TMP | + | 291.1 | 261.1 */275.1 | 109/115 | 35/36 | 4.94 |
| OMP | + | 275.1 | 259.1 */231.1 | 58/60 | 35/34 | 5.32 |
| SMZ | + | 253.9 | 155.8 */108.0 | 70 | 23/35 | 5.92 |
| SMM | + | 278.9 | 185.8 */155.9 | 80 | 27 | 5.01 |
| Biological Matrices | Calibration Curve | R2 | Linear Range (ng/mL) | LOQ | LOD |
|---|---|---|---|---|---|
| Plasma | Y = 0.00738X + 0.05602 | 0.99481 | 1–200 | 1 | 0.5 |
| Heart | Y = 0.00470X + 0.04737 | 0.99153 | 4–200 | 4 | 2 |
| Liver | Y = 0.00684X + 0.05980 | 0.99692 | 4–200 | 4 | 2 |
| Spleen | Y = 0.00658X + 0.06348 | 0.99779 | 4–200 | 4 | 2 |
| Lung | Y = 0.00492X + 0.06580 | 0.99792 | 4–200 | 4 | 2 |
| Kidney | Y = 0.00625X + 0.04123 | 0.99654 | 4–200 | 4 | 2 |
| Stomach | Y = 0.00435X + 0.05215 | 0.99188 | 4–200 | 4 | 2 |
| Brain | Y = 0.00518X − 0.00350 | 0.99321 | 4–200 | 4 | 2 |
| Small Intestine | Y = 0.00610X + 0.02367 | 0.99590 | 4–200 | 4 | 2 |
| Urine | Y = 0.00764X − 0.01243 | 0.99742 | 1–200 | 1 | 0.5 |
| Feces | Y = 0.00488X + 0.06853 | 0.99265 | 4–200 | 4 | 2 |
| Biological Matrices | Calibration Curve | R2 | Linear Range (ng/mL) | LOQ | LOD |
|---|---|---|---|---|---|
| Plasma | Y = 0.00837X + 0.18049 | 0.99673 | 20–1000 | 20 | 5 |
| Heart | Y = 0.00843X + 0.21111 | 0.99190 | 20–1000 | 20 | 5 |
| Liver | Y = 0.00971X + 0.13288 | 0.99431 | 20–1000 | 20 | 5 |
| Spleen | Y = 0.01382X + 0.07056 | 0.99935 | 20–1000 | 20 | 5 |
| Lung | Y = 0.01368X + 0.08146 | 0.99865 | 20–1000 | 20 | 5 |
| Kidney | Y = 0.01245X + 0.09212 | 0.99782 | 20–1000 | 20 | 5 |
| Stomach | Y = 0.00986X − 0.00428 | 0.99478 | 20–1000 | 20 | 5 |
| Brain | Y = 0.00912X − 0.01541 | 0.99564 | 20–1000 | 20 | 5 |
| Small Intestine | Y = 0.01305X + 0.06545 | 0.99901 | 20–1000 | 20 | 5 |
| Urine | Y = 0.01058X + 0.14520 | 0.99321 | 20–1000 | 20 | 5 |
| Feces | Y = 0.01134X + 0.08765 | 0.99645 | 20–1000 | 20 | 5 |
| Parameter | Unit | TMP/SMZ | TMP NPs/SMZ |
|---|---|---|---|
| AUC0–t | h·ng/mL | 1648.33 ± 382.74 | 2922.17 ± 529.81 ** |
| AUC0–∞ | h·ng/mL | 1672.00 ± 389.30 | 3227.83 ± 623.52 ** |
| Cmax | ng/mL | 526.32 ± 61.46 | 604.69 ± 50.80 |
| Tmax | h | 1.33 ± 0.52 | 0.83 ± 0.26 |
| t1/2 | h | 0.98 ± 0.13 | 3.30 ± 0.95 ** |
| MRT | h | 2.21 ± 0.25 | 3.85 ± 0.50 ** |
| Vz | L/kg | 17.33 ± 3.49 | 29.46 ± 6.59 ** |
| CL | L/h/kg | 12.48 ± 2.77 | 6.44 ± 1.56 ** |
| F (%) | / | / | 193.05% |
| Parameter | Unit | TMP/SMZ | TMP NPs/SMZ |
|---|---|---|---|
| AUC0–t | h·ng/mL | 104,992.83 ± 23,262.03 | 110,182.50 ± 23,766.20 |
| AUC0–∞ | h·ng/mL | 107,316.00 ± 23,117.41 | 111,545.33 ± 23,794.96 |
| Cmax | ng/mL | 6140.73 ± 654.67 | 6166.84 ± 629.46 |
| Tmax | h | 5 ± 1.10 | 5 ± 1.10 |
| t1/2 | h | 9.44 ± 2.40 | 9.97 ± 0.88 |
| MRT | h | 14.99 ± 2.24 | 16.58 ± 2.54 |
| Vz | L/kg | 12.86 ± 3.00 | 13.15 ± 1.79 |
| CL | L/h/kg | 0.97 ± 0.23 | 0.93 ± 0.21 |
| F (%) | / | / | 105% |
| Matrix | Time Interval (h) | Cumulative Excretion Rate ( ± s,%) | |
|---|---|---|---|
| TMP/SMZ | TMP NPs/SMZ | ||
| Urine | 0–4 | - | - |
| 4–8 | 28.83 ± 4.44 | 51.32 ± 9.50 | |
| 8–12 | 36.54 ± 5.31 | 61.05 ± 8.56 | |
| 12–24 | 44.76 ± 5.53 | 70.39 ± 4.57 | |
| 24–36 | 48.35 ± 5.22 | 72.85 ± 4.13 | |
| 36–48 | 49.82 ± 4.93 | 73.67 ± 3.79 | |
| 48–72 | 50.17 ± 4.85 | 73.89 ± 3.71 | |
| Feces | 0–4 | - | - |
| 4–8 | 2.61 ± 0.49 | 6.42 ± 0.87 | |
| 8–12 | 5.53 ± 0.60 | 12.55 ± 2.09 | |
| 12–24 | - | 12.96 ± 2.11 | |
| 24–36 | - | - | |
| Matrix | Time Interval (h) | Cumulative Excretion Rate ( ± s,%) | |
|---|---|---|---|
| TMP/SMZ | TMP NPs/SMZ | ||
| Urine | 0–4 | - | - |
| 4–8 | 41.47 ± 5.20 | 50.80 ± 8.54 | |
| 8–12 | 51.82 ± 7.39 | 57.02 ± 9.28 | |
| 12–24 | 66.46 ± 5.34 | 66.37 ± 7.88 | |
| 24–36 | 70.65 ± 5.50 | 70.02 ± 7.96 | |
| 36–48 | 72.08 ± 5.52 | 72.27 ± 7.95 | |
| 48–72 | 72.32 ± 5.57 | 72.58 ± 8.03 | |
| Feces | 0–4 | - | - |
| 4–8 | 3.09 ± 0.41 | 6.20 ± 0.43 | |
| 8–12 | 4.57 ± 0.50 | 9.56 ± 0.73 | |
| 12–24 | - | 10.26 ± 0.75 | |
| 24–36 | - | - | |
| Strains | SMZ | TMP | TMP NPs | TMP/SMZ | TMP NPs/SMZ |
|---|---|---|---|---|---|
| E. coli | 256 | 1 | 0.5 | 2.5/0.5 | 0.625/0.125 |
| S. aureus | 256 | 8 | 2 | 2.5/0.5 | 0.625/0.125 |
| Strains | TMP/SMZ | TMP NPs/SMZ | ||
|---|---|---|---|---|
| FICI | Interaction Type | FICI | Interaction Type | |
| E. coli | 0.375 | Synergistic effect | 0.3125 | Synergistic effect |
| S. aureus | 0.5625 | Additive effect | 0.5 | Synergistic effect |
| Detection Index | Unit | Blank Control | Model | TMP/SMZ | TMP NPs/SMZ |
|---|---|---|---|---|---|
| ALP | U/L | 77.17 ± 7.87 | 84.50 ± 5.79 | 75 ± 11.87 | 72.83 ± 4.45 |
| ALB | g/L | 27.50 ± 2.25 | 31.87 ± 8.68 | 23.67 ± 1.74 | 24.15 ± 2.51 |
| TP | g/L | 59.08 ± 8.46 | 73.87 ± 17.58 * | 59.20 ± 1.95 | 60.73 ± 3.50 |
| ALT | U/L | 45.13 ± 9.76 | 106.98 ± 30.74 * | 81.80 ± 4.89 * | 43.77 ± 9.68 |
| AST | U/L | 148.72 ± 25.19 | 321.95 ± 169.29 * | 175.80 ± 16.74 | 143.90 ± 22.85 |
| CR | µmol/L | 14.05 ± 5.04 | 35.32 ± 8.36 * | 9.38 ± 3.02 | 9.68 ± 2.64 |
| TG | mmol/L | 1.01 ± 0.26 | 0.96 ± 0.12 | 1.27 ± 0.12 * | 1.23 ± 0.13 * |
Disclaimer/Publisher’s Note: The statements, opinions and data contained in all publications are solely those of the individual author(s) and contributor(s) and not of MDPI and/or the editor(s). MDPI and/or the editor(s) disclaim responsibility for any injury to people or property resulting from any ideas, methods, instructions or products referred to in the content. |
© 2026 by the authors. Licensee MDPI, Basel, Switzerland. This article is an open access article distributed under the terms and conditions of the Creative Commons Attribution (CC BY) license.
Share and Cite
Zhou, Y.; Xu, J.; Dai, G.; Li, B.; Wang, W.; Zhai, B.; Chen, S.; Zhang, J. Revitalizing Trimethoprim/Sulfamethoxazole via Nanotechnology for Improved Pharmacokinetics and Antibacterial Efficacy. Antibiotics 2026, 15, 283. https://doi.org/10.3390/antibiotics15030283
Zhou Y, Xu J, Dai G, Li B, Wang W, Zhai B, Chen S, Zhang J. Revitalizing Trimethoprim/Sulfamethoxazole via Nanotechnology for Improved Pharmacokinetics and Antibacterial Efficacy. Antibiotics. 2026; 15(3):283. https://doi.org/10.3390/antibiotics15030283
Chicago/Turabian StyleZhou, Yaxin, Jing Xu, Guonian Dai, Bing Li, Weiwei Wang, Bintao Zhai, Shulin Chen, and Jiyu Zhang. 2026. "Revitalizing Trimethoprim/Sulfamethoxazole via Nanotechnology for Improved Pharmacokinetics and Antibacterial Efficacy" Antibiotics 15, no. 3: 283. https://doi.org/10.3390/antibiotics15030283
APA StyleZhou, Y., Xu, J., Dai, G., Li, B., Wang, W., Zhai, B., Chen, S., & Zhang, J. (2026). Revitalizing Trimethoprim/Sulfamethoxazole via Nanotechnology for Improved Pharmacokinetics and Antibacterial Efficacy. Antibiotics, 15(3), 283. https://doi.org/10.3390/antibiotics15030283

