Structure–Activity Relationship and Biosafety of Linear Pentapeptide Analogs Derived from Battacin for Antimicrobial Development
Abstract
1. Introduction
2. Results
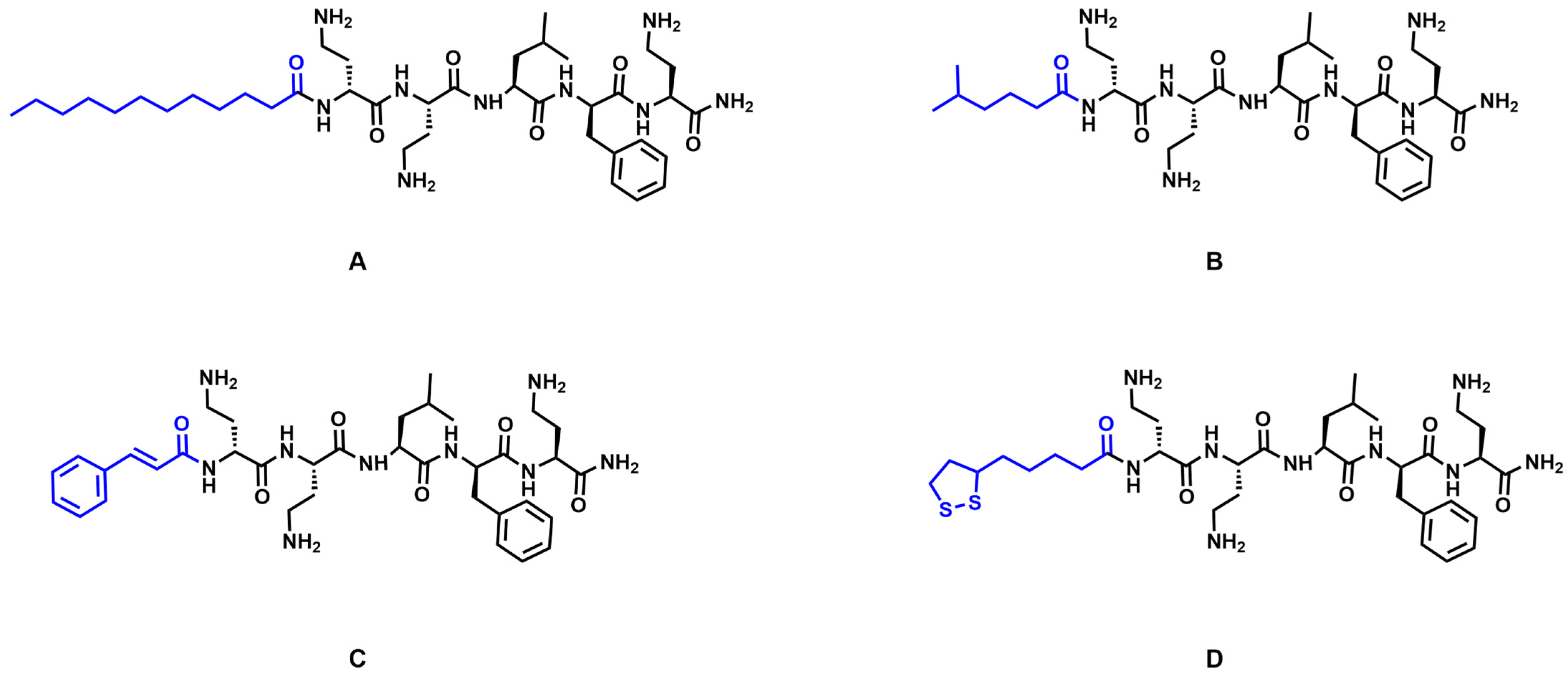
2.1. Peptide Synthesis and Characterization
2.2. Antimicrobial Activity
2.3. Hemolytic Activity
2.4. Cytotoxicity
2.5. Bactericidal Kinetics
2.6. Drug Resistance
2.7. Anti-Biofilm Activity
2.8. Antimicrobial Mechanisms of Peptides
2.8.1. Membrane Depolarization
2.8.2. Outer Membrane Permeability
2.8.3. SEM Observation
3. Discussion
4. Materials and Methods
4.1. Materials
4.2. Peptide Synthesis
4.3. Minimum Inhibitory Concentration (MIC) Experiment
4.4. Stability Assessment
4.5. Drug Resistance Test
4.6. Time-Kill Kinetics Test
4.7. Biofilm Resistance Measurement
4.8. Biocompatibility Assays
4.9. Outer Membrane Permeability Assay
4.10. Inner Membrane Potential Assay
5. Conclusions
Supplementary Materials
Author Contributions
Funding
Institutional Review Board Statement
Informed Consent Statement
Data Availability Statement
Conflicts of Interest
References
- Imran, M.; Das, K.R.; Naik, M.M. Co-selection of multi-antibiotic resistance in bacterial pathogens in metal and microplastic contaminated environments: An emerging health threat. Chemosphere 2019, 215, 846–857. [Google Scholar] [CrossRef]
- Marturano, J.E.; Lowery, T.J. ESKAPE Pathogens in Bloodstream Infections Are Associated with Higher Cost and Mortality but Can Be Predicted Using Diagnoses Upon Admission. Open Forum Infect. Dis. 2019, 6, ofz503. [Google Scholar] [CrossRef]
- Azucena, E.; Mobashery, S. Aminoglycoside-modifying enzymes: Mechanisms of catalytic processes and inhibition. Drug Resist. Updates 2001, 4, 106–117. [Google Scholar] [CrossRef]
- Yang, S.P.; Zhang, Y.L.; Wang, Y.L.; Qin, R.; Chen, Y.; Hu, H.; Liu, Z.; Hu, Y.; Hua, Q.; Wu, Y.K.; et al. A study of antibacterial activity and mechanism of potassium cinnamate intended as a natural preservative. LWT Food Sci. Technol. 2025, 215, 117237. [Google Scholar] [CrossRef]
- Mukhtar, T.A.; Koteva, K.P.; Wright, G.D. Chimeric streptogramin-tyrocidine antibiotics that overcome streptogramin resistance. Chem. Biol. 2005, 12, 229–235. [Google Scholar] [CrossRef] [PubMed]
- Darby, E.M.; Trampari, E.; Siasat, P.; Gaya, M.S.; Alav, I.; Webber, M.A.; Blair, J.M.A. Molecular mechanisms of antibiotic resistance revisited. Nat. Rev. Microbiol. 2023, 21, 280–295. [Google Scholar] [CrossRef]
- Miller, W.R.; Arias, C.A. ESKAPE pathogens: Antimicrobial resistance, epidemiology, clinical impact and therapeutics. Nat. Rev. Microbiol. 2024, 22, 598–616. [Google Scholar] [CrossRef]
- Browne, K.; Chakraborty, S.; Chen, R.X.; Willcox, M.D.P.; Black, D.S.; Walsh, W.R.; Kumar, N. A New Era of Antibiotics: The Clinical Potential of Antimicrobial Peptides. Int. J. Mol. Sci. 2020, 21, 21197047. [Google Scholar] [CrossRef]
- Magana, M.; Pushpanathan, M.; Santos, A.L.; Leanse, L.; Fernandez, M.; Ioannidis, A.; Giulianotti, M.A.; Apidianakis, Y.; Bradfute, S.; Ferguson, A.L.; et al. The value of antimicrobial peptides in the age of resistance. Lancet Infect. Dis. 2020, 20, E216–E230. [Google Scholar] [CrossRef]
- Jerala, R. Synthetic lipopeptides: A novel class of anti-infectives. Expert Opin. Investig. Drugs 2007, 16, 1159–1169. [Google Scholar] [CrossRef]
- Srinivas, N.; Jetter, P.; Ueberbacher, B.J.; Werneburg, M.; Zerbe, K.; Steinmann, J.; Van der Meijden, B.; Bernardini, F.; Lederer, A.; Dias, R.L.A.; et al. Peptidomimetic Antibiotics Target Outer-Membrane Biogenesis in Pseudomonas aeruginosa. Science 2010, 327, 1010–1013. [Google Scholar] [CrossRef] [PubMed]
- Qin, W.Q.; Liu, Y.F.; Zhou, L.; Liu, J.F.; Fei, D.; Xiang, K.H.; Yang, S.Z.; Gu, J.D.; Mu, B.Z. Genome mining, structural elucidation and surface-active property of a new lipopeptide from Bacillus subtilis. Microb. Cell Factories 2025, 24, 106. [Google Scholar] [CrossRef]
- Kumar, P.; Kizhakkedathu, J.N.; Straus, S.K. Antimicrobial Peptides: Diversity, Mechanism of Action and Strategies to Improve the Activity and Biocompatibility In Vivo. Biomolecules 2018, 8, 4. [Google Scholar] [CrossRef]
- Ting, D.S.J.; Beuerman, R.W.; Dua, H.S.; Lakshminarayanan, R.; Mohammed, I. Strategies in Translating the Therapeutic Potentials of Host Defense Peptides. Front. Immunol. 2020, 11, 983. [Google Scholar] [CrossRef]
- Gan, B.H.; Gaynord, J.; Rowe, S.M.; Deingruber, T.; Spring, D.R. The multifaceted nature of antimicrobial peptides: Current synthetic chemistry approaches and future directions. Chem. Soc. Rev. 2021, 50, 7820–7880. [Google Scholar] [CrossRef]
- Olivieri, C.; Bugli, F.; Menchinelli, G.; Veglia, G.; Buonocore, F.; Scapigliati, G.; Stocchi, V.; Ceccacci, F.; Papi, M.; Sanguinetti, M.; et al. Design and characterization of chionodracine-derived antimicrobial peptides with enhanced activity against drug-resistant human pathogens. RSC Adv. 2018, 8, 41331–41346. [Google Scholar] [CrossRef]
- Dawgul, M.A.; Greber, K.E.; Bartoszewska, S.; Baranska-Rybak, W.; Sawicki, W.; Kamysz, W. In Vitro Evaluation of Cytotoxicity and Permeation Study on Lysine- and Arginine-Based Lipopeptides with Proven Antimicrobial Activity. Molecules 2017, 22, 2173. [Google Scholar] [CrossRef]
- Qian, C.D.; Wu, X.C.; Teng, Y.; Zhao, W.P.; Li, O.; Fang, S.G.; Huang, Z.H.; Gao, H.C. Battacin (Octapeptin B5), a New Cyclic Lipopeptide Antibiotic from Paenibacillus tianmuensis Active Against Multidrug-Resistant Gram-Negative Bacteria. Antimicrob. Agents Chemother. 2012, 56, 1458–1465. [Google Scholar] [CrossRef] [PubMed]
- Zhong, C.; Liu, T.Q.; Gou, S.H.; He, Y.T.; Zhu, N.Y.; Zhu, Y.W.; Wang, L.; Liu, H.; Zhang, Y.; Yao, J.; et al. Design and synthesis of new N-terminal fatty acid modified-antimicrobial peptide analogues with potent in vitro biological activity. Eur. J. Med. Chem. 2019, 182, 111636. [Google Scholar] [CrossRef]
- Posa, L.; Tomek, P.; Lamba, S.; Sarojini, V.; Barker, D. Development of truncated Battacin antimicrobials featuring novel N-terminal fatty acids with an excellent safety profile. Bioorg. Med. Chem. Lett. 2023, 96, 129535. [Google Scholar] [CrossRef] [PubMed]
- Kihara, S.; De Zoysa, G.H.; Shahlori, R.; Vadakkedath, P.G.; Ryan, T.M.; Mata, J.P.; Sarojini, V.; McGillivray, D.J. Solution structure of linear battacin lipopeptides—The effect of lengthening fatty acid chain. Soft Matter 2019, 15, 7501–7508. [Google Scholar] [CrossRef]
- De Zoysa, G.H.; Cameron, A.J.; Hegde, V.V.; Raghothama, S.; Sarojini, V. Antimicrobial Peptides with Potential for Biofilm Eradication: Synthesis and Structure Activity Relationship Studies of Battacin Peptides. J. Med. Chem. 2015, 58, 625–639. [Google Scholar] [CrossRef]
- De Morais, M.C.; Lima, E.D.; Perez-Castillo, Y.; de Sousa, D.P. Synthetic Cinnamides and Cinnamates: Antimicrobial Activity, Mechanism of Action, and In Silico Study. Molecules 2023, 28, 1918. [Google Scholar] [CrossRef]
- Weber, M.; Steinle, H.; Golombek, S.; Hann, L.; Schlensak, C.; Wendel, H.P.; Avci-Adali, M. Blood-Contacting Biomaterials: In Vitro Evaluation of the Hemocompatibility. Front. Bioeng. Biotechnol. 2018, 6, 99. [Google Scholar] [CrossRef] [PubMed]
- Liu, H.Y.; Prentice, E.L.; Webber, M.A. Mechanisms of antimicrobial resistance in biofilms. Npj Antimicrob. Resist. 2024, 2, 27. [Google Scholar] [CrossRef]
- Nahum, Y.; Gross, N.; Cerrone, A.; Matous, K.; Nerenberg, R. Effect of biofilm physical characteristics on their susceptibility to antibiotics: Impacts of low-frequency ultrasound. Npj Biofilms Microbiomes 2024, 10, 70. [Google Scholar] [CrossRef] [PubMed]
- Aisenbrey, C.; Marquette, A.; Bechinger, B. The Mechanisms of Action of Cationic Antimicrobial Peptides Refined by Novel Concepts from Biophysical Investigations. In Antimicrobial Peptides: Basics for Clinical Application; Matsuzaki, K., Ed.; Advances in Experimental Medicine and Biology; Springer: Berlin/Heidelberg, Germany, 2019; Volume 1117, pp. 33–64. [Google Scholar]
- Steigenberger, J.; Verleysen, Y.; Geudens, N.; Martins, J.C.; Heerklotz, H. The Optimal Lipid Chain Length of a Membrane-Permeabilizing Lipopeptide Results from the Balance of Membrane Partitioning and Local Damage. Front. Microbiol. 2021, 12, 669709. [Google Scholar] [CrossRef]
- Greber, K.E.; Zielinska, J.; Nierzwicki, L.; Ciura, K.; Kawczak, P.; Nowakowska, J.; Baczek, T.; Sawicki, W. Are the short cationic lipopeptides bacterial membrane disruptors? Structure-Activity Relationship and molecular dynamic evaluation. Biochim. Biophys. Acta-Biomembr. 2019, 1861, 93–99. [Google Scholar] [CrossRef]
- Ong, Z.Y.; Wiradharma, N.; Yang, Y.Y. Strategies employed in the design and optimization of synthetic antimicrobial peptide amphiphiles with enhanced therapeutic potentials. Adv. Drug Deliv. Rev. 2014, 78, 28–45. [Google Scholar] [CrossRef] [PubMed]
- Pentlavalli, S.; Coulter, S.; Laverty, G. Peptide Nanomaterials for Drug Delivery Applications. Curr. Protein Pept. Sci. 2020, 21, 401–412. [Google Scholar] [CrossRef]
- Zhou, W.Y.; Du, Y.W.; Li, X.S.; Yao, C. Lipoic acid modified antimicrobial peptide with enhanced antimicrobial properties. Bioorg. Med. Chem. 2020, 28, 115682. [Google Scholar] [CrossRef]
- Grimsey, E.; Collis, D.W.P.; Mikut, R.; Hilpert, K. The effect of lipidation and glycosylation on short cationic antimicrobial peptides. Biochim. Biophys. Acta-Biomembr. 2020, 1862, 183195. [Google Scholar] [CrossRef] [PubMed]
- Lin, B.C.; Hung, A.D.; Singleton, W.; Darmawan, K.K.; Moses, R.; Yao, B.C.; Wu, H.K.; Barlow, A.; Marc-Antoine, S.; Sloan, A.J.; et al. The effect of tailing lipidation on the bioactivity of antimicrobial peptides and their aggregation tendency. Aggregate 2023, 4, e329. [Google Scholar] [CrossRef]
- Luo, Y.; Song, Y.Z. Mechanism of Antimicrobial Peptides: Antimicrobial, Anti-Inflammatory and Antibiofilm Activities. Int. J. Mol. Sci. 2021, 22, 1401. [Google Scholar] [CrossRef]
- Chen, C.R.H.; Starr, C.G.; Guha, S.; Wimley, W.C.; Ulmschneider, M.B.; Ulmschneider, J.P. Tuning of a Membrane-Perforating Antimicrobial Peptide to Selectively Target Membranes of Different Lipid Composition. J. Membr. Biol. 2021, 254, 75–96. [Google Scholar] [CrossRef] [PubMed]
- Sharma, P.; Sharma, S.; Joshi, S.; Barman, P.; Bhatt, A.; Maan, M.; Singla, N.; Rishi, P.; Ali, M.E.; Preet, S.; et al. Design, characterization and structure-function analysis of novel antimicrobial peptides based on the N-terminal CATH-2 fragment. Sci. Rep. 2022, 12, 12058. [Google Scholar] [CrossRef] [PubMed]
- Ciumac, D.; Gong, H.N.; Hu, X.Z.; Lu, J.R. Membrane targeting cationic antimicrobial peptides. J. Colloid Interface Sci. 2019, 537, 163–185. [Google Scholar] [CrossRef]
- Yang, H.Y.; Pan, F.; Wang, L.; Duan, B.C.; Gao, J.H.; Tian, W.L.; Lu, K. Hydrophobic group modification for constructing self-assembling antimicrobial peptide derivatives with superior antimicrobial performance. Chem. Eng. J. 2025, 512, 162645. [Google Scholar] [CrossRef]
- Hong, S.; Leroueil, P.R.; Majoros, I.J.; Orr, B.G.; Baker, J.R.; Holl, M.M.B. The binding avidity of a nanoparticle-based multivalent targeted drug delivery platform. Chem. Biol. 2007, 14, 107–115. [Google Scholar] [CrossRef]
- Zhao, J.S.; Ge, G.; Huang, Y.B.; Hou, Y.; Hu, S.Q. Butelase 1-Mediated Enzymatic Cyclization of Antimicrobial Peptides: Improvements on Stability and Bioactivity. J. Agric. Food Chem. 2022, 70, 15869–15878. [Google Scholar] [CrossRef]
- Henninot, A.; Collins, J.C.; Nuss, J.M. The Current State of Peptide Drug Discovery: Back to the Future? J. Med. Chem. 2018, 61, 1382–1414. [Google Scholar] [CrossRef]
- Bruckdorfer, T.; Marder, O.; Albericio, F. From production of peptides in milligram amounts for research to multi-tons quantities for drugs of the future. Curr. Pharm. Biotechnol. 2004, 5, 29–43. [Google Scholar] [CrossRef]
- Miao, X.K.; Zhou, T.X.; Zhang, J.Y.; Xu, J.J.; Guo, X.M.; Hu, H.; Zhang, X.W.; Hu, M.N.; Li, J.Y.; Yang, W.L.; et al. Enhanced cell selectivity of hybrid peptides with potential antimicrobial activity and immunomodulatory effect. Biochim. Biophys. Acta-Gen. Subj. 2020, 1864, 129532. [Google Scholar] [CrossRef] [PubMed]
- Zhong, C.; Gou, S.H.; Liu, T.Q.; Zhu, Y.W.; Zhu, N.Y.; Liu, H.; Zhang, Y.; Xie, J.Q.; Guo, X.M.; Ni, J.M. Study on the effects of different dimerization positions on biological activity of partial D-Amino acid substitution analogues of Anoplin. Microb. Pathog. 2020, 139, 103871. [Google Scholar] [CrossRef]
- Zou, J.; Wang, J.H.; Gao, L.Y.; Xue, W.J.; Zhu, J.Y.; Zhang, Y.; Gou, S.H.; Liu, H.; Zhong, C.; Ni, J.M. Ultra-short lipopeptides containing D-amino acid exhibiting excellent stability and antibacterial activity against Gram-positive bacteria. Eur. J. Med. Chem. 2025, 287, 117341, Corrigendum in Eur. J. Med. Chem. 2025, 289, 117448. https://doi.org/10.1016/j.ejmech.2025.117448. [Google Scholar] [CrossRef]
- Hussein, M.; Hu, X.H.; Paulin, O.K.A.; Crawford, S.; Zhou, Q.T.; Baker, M.; Schneider-Futschik, E.K.; Zhu, Y.; Li, J.; Velkov, T. Polymyxin B combinations with FDA-approved non-antibiotic phenothiazine drugs targeting multi-drug resistance of Gram-negative pathogens. Comput. Struct. Biotechnol. J. 2020, 18, 2247–2258. [Google Scholar] [CrossRef] [PubMed]
- Xu, L.; Shao, C.X.; Li, G.Y.; Shan, A.S.; Chou, S.L.; Wang, J.J.; Ma, Q.Q.; Dong, N. Conversion of Broad-Spectrum Antimicrobial Peptides into Species-Specific Antimicrobials Capable of Precisely Targeting Pathogenic Bacteria. Sci. Rep. 2020, 10, 944. [Google Scholar] [CrossRef] [PubMed]
- Hon, K.; Liu, S.; Camens, S.; Bouras, G.S.; Psaltis, A.J.; Wormald, P.J.; Vreugde, S. APTC-EC-2A: A Lytic Phage Targeting Multidrug Resistant E. coli Planktonic Cells and Biofilms. Microorganisms 2022, 10, 102. [Google Scholar] [CrossRef]
- Zhong, C.; Zhu, N.; Zhu, Y.; Liu, T.; Gou, S.; Xie, J.; Yao, J.; Ni, J. Antimicrobial peptides conjugated with fatty acids on the side chain of D-amino acid promises antimicrobial potency against multidrug-resistant bacteria. Eur. J. Pharm. Sci. 2020, 141, 105123. [Google Scholar] [CrossRef]
- Zhou, M.; Qian, Y.X.; Xie, J.Y.; Zhang, W.J.; Jiang, W.N.; Xiao, X.M.; Chen, S.; Dai, C.Z.; Cong, Z.H.; Ji, Z.M.; et al. Poly(2-Oxazoline)-Based Functional Peptide Mimics: Eradicating MRSA Infections and Persisters while Alleviating Antimicrobial Resistance. Angew. Chem. Int. Ed. 2020, 59, 6412–6419. [Google Scholar] [CrossRef]
- Hwang, D.; Kim, H.J. Mechanisms of Polymyxin Resistance in Acid-Adapted Enteroinvasive Escherichia coli NCCP 13719 Revealed by Transcriptomics. Microorganisms 2024, 12, 2549. [Google Scholar] [CrossRef] [PubMed]
- Urfer, M.; Bogdanovic, J.; Lo Monte, F.; Moehle, K.; Zerbe, K.; Omasits, U.; Ahrens, C.H.; Pessi, G.; Eberl, L.; Robinson, J.A. A Peptidomimetic Antibiotic Targets Outer Membrane Proteins and Disrupts Selectively the Outer Membrane in Escherichia coli. J. Biol. Chem. 2016, 291, 1921–1932. [Google Scholar] [CrossRef]
- Zhong, C.; Zhang, F.; Zhu, N.; Zhu, Y.; Yao, J.; Gou, S.; Xie, J.; Ni, J. Ultra-short lipopeptides against gram-positive bacteria while alleviating antimicrobial resistance. Eur. J. Med. Chem. 2021, 212, 113138. [Google Scholar] [CrossRef] [PubMed]
- Dong, H.B.; Che, Y.F.; Zhu, X.T.; Zhong, Y.; Lin, J.F.; Wang, J.; Du, W.H.; Song, T. Total Syntheses and Antibacterial Studies of Natural Isoflavones: Scandenone, Osajin, and 6,8-Diprenylgenistein. Molecules 2024, 29, 2574. [Google Scholar] [CrossRef] [PubMed]













| Peptides | MIC (μg/mL) | |||
|---|---|---|---|---|
| E. coli | S. aureus | MRSA | C. albicans | |
| C12-5 | 8 | 4 | 4 | 8 |
| MH-5 | 128 | 128 | 128 | 256 |
| CA-5 | 512 | 256 | 512 | 256 |
| LA-5 | 64 | 64 | 64 | 64 |
| cLA-5 | 4 | 4 | 4 | 8 |
| polymyxin B | 2 | 2 | 4 | 8 |
| Peptides | Control 1 | Salt 2 | Serum | ||||
|---|---|---|---|---|---|---|---|
| NaCl | KCl | MgCl2 | ZnCl2 | 3% | 10% | ||
| C12-5 | 8 | 4 | 4 | 8 | 16 | 4 | 4 |
| MH-5 | 128 | 128 | 128 | 128 | 256 | 128 | 256 |
| CA-5 | 512 | 512 | 512 | 512 | 512 | 512 | 512 |
| LA-5 | 64 | 64 | 64 | 64 | 64 | 64 | 64 |
| cLA-5 | 4 | 4 | 4 | 4 | 8 | 4 | 4 |
| polymyxin B | 2 | 2 | 4 | 4 | 16 | 4 | 4 |
| Peptides | Control 1 | Salt 2 | Serum | ||||
|---|---|---|---|---|---|---|---|
| NaCl | KCl | MgCl2 | ZnCl2 | 3% | 10% | ||
| C12-5 | 4 | 4 | 4 | 8 | 16 | 8 | 8 |
| MH-5 | 128 | 256 | 256 | 256 | 256 | 128 | 256 |
| CA-5 | 512 | 512 | 512 | 512 | 512 | 512 | 512 |
| LA-5 | 64 | 128 | 128 | 128 | 128 | 64 | 64 |
| cLA-5 | 4 | 4 | 4 | 8 | 8 | 4 | 4 |
| polymyxin B | 2 | 2 | 4 | 4 | 16 | 4 | 8 |
| Peptides | Hemolysis Rate 1 (%) Concentration (µg/mL) 1 | ||||||||
|---|---|---|---|---|---|---|---|---|---|
| 512 | 256 | 128 | 64 | 32 | 16 | 8 | 4 | 2 | |
| C12-5 | 34.56 | 23.65 | 9.13 | 3.89 | 4.43 | 3.11 | 2.76 | 1.23 | 0.36 |
| MH-5 | 5.12 | 2.55 | 1.76 | 1.64 | 1.2 | 0.93 | 0.72 | 0.62 | 0.43 |
| CA-5 | 4.7 | 3.56 | 2.8 | 2.05 | 1.89 | 0.91 | 0.5 | 0.34 | 0.30 |
| LA-5 | 22.35 | 12.91 | 9.62 | 8.87 | 7.62 | 2.53 | 2.89 | 1.60 | 0.72 |
| cLA-5 | 6.71 | 5.43 | 3.65 | 2.24 | 0.63 | 0.32 | 0.22 | 0.56 | 0.12 |
| polymyxin B | 25.38 | 14.38 | 8.70 | 7.03 | 3.01 | 3.01 | 2.01 | 0.32 | 0.11 |
| Peptides | Sequence | Purity (%) |
|---|---|---|
| C12-5 | C12-DDLFD-NH2 | 99.0% |
| MH-5 | MH-DDLFD-NH2 | 99.5% |
| CA-5 | CA-DDLFD-NH2 | 99.2% |
| LA-5 | LA-DDLFD-NH2 | 90.1% |
Disclaimer/Publisher’s Note: The statements, opinions and data contained in all publications are solely those of the individual author(s) and contributor(s) and not of MDPI and/or the editor(s). MDPI and/or the editor(s) disclaim responsibility for any injury to people or property resulting from any ideas, methods, instructions or products referred to in the content. |
© 2026 by the authors. Licensee MDPI, Basel, Switzerland. This article is an open access article distributed under the terms and conditions of the Creative Commons Attribution (CC BY) license.
Share and Cite
Sun, H.; Zhang, Y.; Gi, G.; Yao, C. Structure–Activity Relationship and Biosafety of Linear Pentapeptide Analogs Derived from Battacin for Antimicrobial Development. Antibiotics 2026, 15, 208. https://doi.org/10.3390/antibiotics15020208
Sun H, Zhang Y, Gi G, Yao C. Structure–Activity Relationship and Biosafety of Linear Pentapeptide Analogs Derived from Battacin for Antimicrobial Development. Antibiotics. 2026; 15(2):208. https://doi.org/10.3390/antibiotics15020208
Chicago/Turabian StyleSun, Haixin, Yujie Zhang, Guoqing Gi, and Chen Yao. 2026. "Structure–Activity Relationship and Biosafety of Linear Pentapeptide Analogs Derived from Battacin for Antimicrobial Development" Antibiotics 15, no. 2: 208. https://doi.org/10.3390/antibiotics15020208
APA StyleSun, H., Zhang, Y., Gi, G., & Yao, C. (2026). Structure–Activity Relationship and Biosafety of Linear Pentapeptide Analogs Derived from Battacin for Antimicrobial Development. Antibiotics, 15(2), 208. https://doi.org/10.3390/antibiotics15020208

