Unbound and Periprostatic Adipose Tissue Cefazolin Pharmacokinetics in Robotic-Assisted Radical Prostatectomy
Abstract
1. Introduction
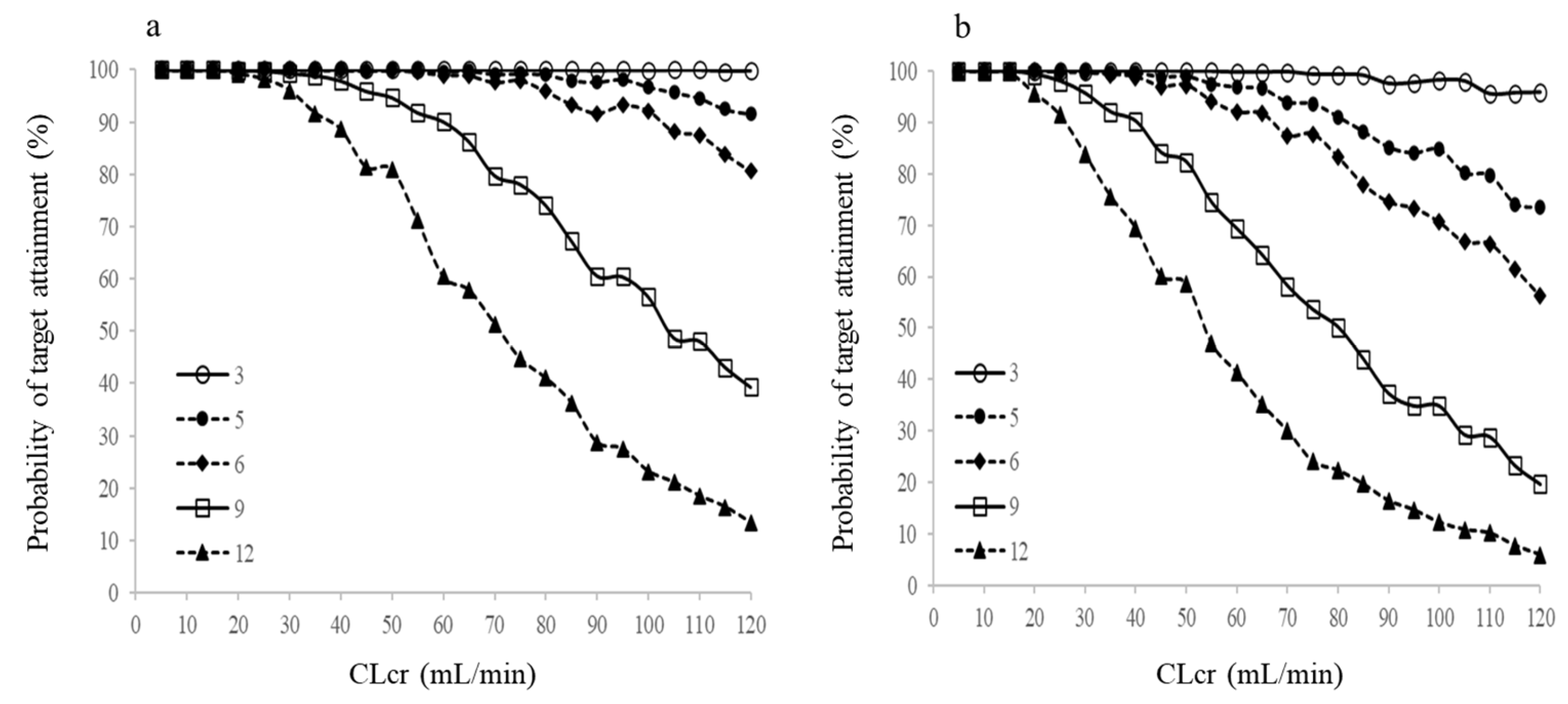
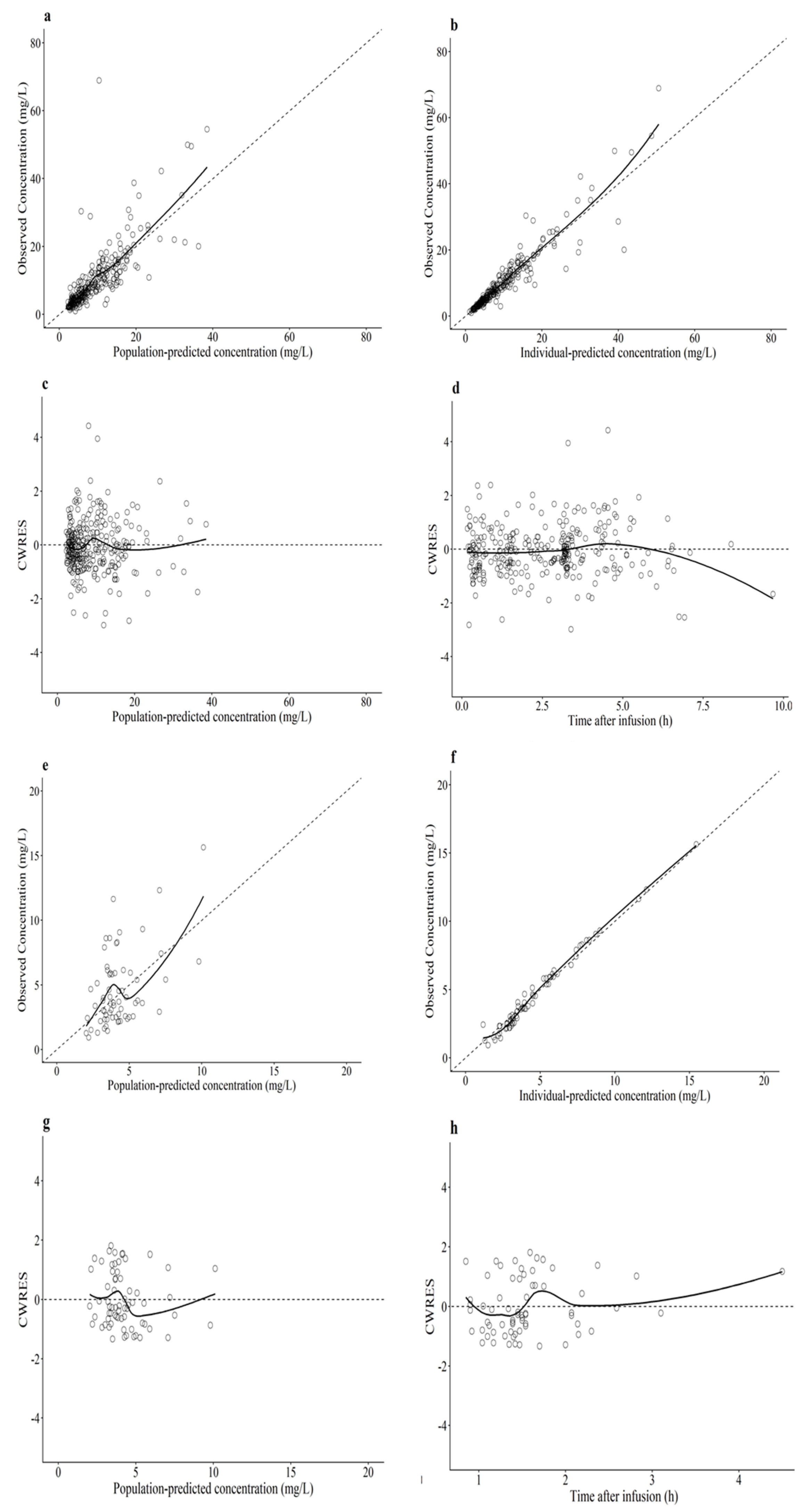
2. Results
3. Discussion
4. Materials and Methods
4.1. Study Design and Ethics
4.2. Measurement of Unbound and Periprostatic Adipose Tissue CFZ Concentrations
4.3. Population Pharmacokinetic Analysis
4.4. Pharmacodynamic Monte Carlo Simulations
5. Conclusions
Author Contributions
Funding
Institutional Review Board Statement
Informed Consent Statement
Data Availability Statement
Acknowledgments
Conflicts of Interest
Abbreviations
| CFZ | Cefazolin |
| CL | Unbound clearance |
| CLcr | Creatine clearance |
| CWRES | Conditional weighted residuals |
| df | Degrees of freedom |
| FOCE-I | First-order conditional estimation with interaction |
| FPA | Factor for periprostatic adipose tissues |
| MIC | Minimum inhibitory concentration |
| MSSA | Methicillin-susceptible Staphylococcus aureus |
| OFV | Objective function value |
| pc-VPC | Prediction-corrected visual predictive check |
| Q | Unbound intercompartmental clearance |
| RARP | Robotic-assisted radical prostatectomy |
| SSI | Surgical site infection |
| Vc | Unbound volume of distribution in the central compartment |
| Vp | Unbound volume of distribution in the peripheral compartment |
References
- Bray, F.; Laversanne, M.; Sung, H.; Ferlay, J.; Siegel, R.L.; Soerjomataram, I.; Jemal, A. Global cancer statistics 2022: GLOBOCAN estimates of incidence and mortality worldwide for 36 cancers in 185 countries. CA Cancer J. Clin. 2024, 74, 229–263. [Google Scholar] [CrossRef]
- Mottet, N.; van den Bergh, R.C.N.; Briers, E.; Van den Broeck, T.; Cumberbatch, M.G.; De Santis, M.; Fanti, S.; Fossati, N.; Gandaglia, G.; Gillessen, S.; et al. EAU-EANM-ESTRO-ESUR-SIOG guidelines on prostate cancer-2020 update. Part 1: Screening, diagnosis, and local treatment with curative intent. Eur. Urol. 2021, 79, 243–262. [Google Scholar] [CrossRef] [PubMed]
- Mangram, A.J.; Horan, T.C.; Pearson, M.L.; Silver, L.C.; Jarvis, W.R.; The Hospital Infection Control Practices Advisory Committee. Guideline for prevention of surgical site infection, 1999. Infect. Control Hosp. Epidemiol. 1999, 20, 247–280; quiz 279–280. [Google Scholar] [CrossRef]
- Shigemura, K.; Kamei, J.; Shigehara, K.; Nukaya, T.; Etani, T.; Togo, Y.; Yamamoto, S. Essential Japanese Guidelines for the Prevention of Perioperative Infections in the Urological Field: 2023 Edition. Int. J. Urol. 2025, 32, 621–632. [Google Scholar] [CrossRef] [PubMed]
- de Lissovoy, G.; Fraeman, K.; Hutchins, V.; Murphy, D.; Song, D.; Vaughn, B.B. Surgical Site Infection: Incidence and Impact on Hospital Utilization and Treatment Costs. Am. J. Infect. Control 2009, 37, 387–397. [Google Scholar] [CrossRef]
- Eljaaly, K.; Alshehri, S.; Erstad, B.L. Systematic review and meta-analysis of the safety of Antistaphylococcal Penicillins compared to cefazolin. Antimicrob. Agents Chemother. 2018, 62, 10–1128. [Google Scholar] [CrossRef]
- Ahmed, N.J.; Haseeb, A.; Alamer, A.; Almalki, Z.S.; Alahmari, A.K.; Khan, A.H. Meta-analysis of clinical trials comparing cefazolin to cefuroxime, ceftriaxone, and cefamandole for surgical site infection prevention. Antibiotics 2022, 11, 1543. [Google Scholar] [CrossRef]
- Calderwood, M.S.; Anderson, D.J.; Bratzler, D.W.; Dellinger, E.P.; Garcia-Houchins, S.; Maragakis, L.L.; Nyquist, A.-C.; Perkins, K.M.; Preas, M.A.; Saiman, L.; et al. Strategies to prevent surgical site infections in acute-care hospitals: 2022 update. Infect. Control Hosp. Epidemiol. 2023, 44, 695–720. [Google Scholar] [CrossRef]
- Kirby, W.M.M.; Regamey, C. Pharmacokinetics of cefazolin compared with four other cephalosporins. J. Infect. Dis. 1973, 128, S341–S346. [Google Scholar] [CrossRef]
- Craig, W.A.; Welling, P.G.; Jackson, T.C.; Kunin, C.M. Pharmacology of cefazolin and other cephalosporins in patients with renal insufficiency. J. Infect. Dis. 1973, 128, S347–S353. [Google Scholar] [CrossRef]
- Craig, W.A. Pharmacokinetic/pharmacodynamic parameters: Rationale for antibacterial dosing of mice and men. Clin. Infect. Dis. 1998, 26, 1–12. [Google Scholar] [CrossRef] [PubMed]
- Shigemura, K.; Yamamichi, F.; Nishimoto, K.; Kitagawa, K.; Fujisawa, M. Protocol for a comparison study of 1-day (single dose) versus 2-day prophylactic antibiotic administration in Holmium Laser enucleation of the prostate (HoLEP): A randomized controlled trial. F1000Research 2019, 8, 161. [Google Scholar] [CrossRef] [PubMed]
- Haga, N.; Ishida, H.; Ishiguro, T.; Kumamoto, K.; Ishibashi, K.; Tsuji, Y.; Miyazaki, T. A prospective randomized study to assess the optimal duration of intravenous antimicrobial prophylaxis in elective gastric cancer surgery. Int. Surg. 2012, 97, 169–176. [Google Scholar] [CrossRef] [PubMed]
- Klotz, U. Pharmacokinetics and drug metabolism in the elderly. Drug Metab. Rev. 2009, 41, 67–76. [Google Scholar] [CrossRef]
- Adembri, C.; Ristori, R.; Chelazzi, C.; Arrigucci, S.; Cassetta, M.I.; De Gaudio, A.R.; Novelli, A. Cefazolin bolus and continuous administration for elective cardiac surgery: Improved pharmacokinetic and pharmacodynamic parameters. J. Thorac. Cardiovasc. Surg. 2010, 140, 471–475. [Google Scholar] [CrossRef]
- Pevzner, L.; Swank, M.; Krepel, C.; Wing, D.A.; Chan, K.; Edmiston, C.E. Effects of maternal obesity on tissue concentrations of prophylactic cefazolin during cesarean delivery. Obstet. Gynecol. 2011, 117, 877–882. [Google Scholar] [CrossRef]
- Anlicoara, R.; Ferraz, Á.A.B.; da Coelho, P.K.; de Lima Filho, J.L.; Siqueira, L.T.; de Araújo, J.G.C.; Campos, J.M.; Ferraz, E.M. Antibiotic prophylaxis in bariatric surgery with continuous infusion of cefazolin: Determination of concentration in adipose tissue. Obes. Surg. 2014, 24, 1487–1491. [Google Scholar] [CrossRef]
- Hurtado, F.K.; Weber, B.; Derendorf, H.; Hochhaus, G.; Dalla Costa, T. Population pharmacokinetic modeling of the unbound levofloxacin concentrations in rat plasma and prostate tissue measured by microdialysis. Antimicrob. Agents Chemother. 2014, 58, 678–686. [Google Scholar] [CrossRef]
- Wittau, M.; Paschke, S.; Kurlbaum, M.; Scheele, J.; Ly, N.S.; Hemper, E.; Kornmann, M.; Henne-Bruns, D.; Bulitta, J.B. Population pharmacokinetics and target attainment of ertapenem in plasma and tissue assessed via microdialysis in morbidly obese patients after laparoscopic visceral surgery. Antimicrob. Agents Chemother. 2017, 61, 10-1128. [Google Scholar] [CrossRef]
- Sobels, A.; Lentjes, K.J.; Froeling, F.M.J.A.; van Nieuwkoop, C.; Wilms, E.B. Serum and prostatic tissue concentrations of cefazolin, ciprofloxacin and fosfomycin after prophylactic use for transurethral resection of the prostate. Antibiotics 2022, 12, 22. [Google Scholar] [CrossRef]
- Adam, D.; Hofstetter, A.G.; Reichart, B.; Schneider, C.; Wolff, H.; Koch, E. The diffusion of cefazedone into heart muscle, prostatic and skin tissue and into bile. Arzneimittelforschung 1979, 29, 1901–1906. [Google Scholar] [PubMed]
- Bausch, S.; Dräger, S.; Charitos-Fragkakis, P.; Egli, A.; Moser, S.; Hinic, V.; Kuehl, R.; Bassetti, S.; Siegemund, M.; Rentsch, K.M.; et al. Target attainment and population pharmacokinetics of cefazolin in patients with invasive Staphylococcus aureus infections: A prospective cohort study. Antibiotics 2024, 13, 928. [Google Scholar] [CrossRef] [PubMed]
- Chung, E.K.; Cheatham, S.C.; Healy, D.P.; Stock, A.H.; Utley, S.; Campion, M.; Murrey, T.; Gesenhues, A.M.; Jeffery, J.; Kays, M.B. Population pharmacokinetics and pharmacodynamics of cefazolin using total and unbound serum concentrations in patients with high body weight. Int. J. Antimicrob. Agents 2023, 61, 106751. [Google Scholar] [CrossRef] [PubMed]
- Komatsu, T.; Kawai, Y.; Takayama, Y.; Akamada, Y.; Kusume, E.; Ikeda, M.; Tsumura, H.; Ishii, D.; Iwamura, M.; Okamoto, H.; et al. Population pharmacokinetics and pharmacodynamic target attainment analysis of cefazolin using total and unbound serum concentration in patients with prostatectomy or nephrectomy. Antimicrob. Agents Chemother. 2024, 68, e00267-24. [Google Scholar] [CrossRef]
- Smyth, R.D.; Pfeffer, M.; Glick, A.; Van Harken, D.R.; Hottendorf, G.H. Clinical pharmacokinetics and safety of high doses of ceforanide (BL-S786R) and cefazolin. Antimicrob. Agents Chemother. 1979, 16, 615–621. [Google Scholar] [CrossRef]
- Ahlering, T.E.; Skarecky, D.; Lee, D.; Clayman, R.V. Successful transfer of open surgical skills to a laparoscopic environment using a robotic interface: Initial experience with laparoscopic radical prostatectomy. J. Urol. 2003, 170, 1738–1741. [Google Scholar] [CrossRef]
- Menon, M.; Tewari, A.; Baize, B.; Guillonneau, B.; Vallancien, G. Prospective comparison of radical retropubic prostatectomy and robot-assisted anatomic prostatectomy: The Vattikuti Urology Institute experience. Urology 2002, 60, 864–868. [Google Scholar] [CrossRef]
- Bratzler, D.W.; Dellinger, E.P.; Olsen, K.M.; Perl, T.M.; Auwaerter, P.G.; Bolon, M.K.; Fish, D.N.; Napolitano, L.M.; Sawyer, R.G.; Slain, D.; et al. Clinical practice guidelines for antimicrobial prophylaxis in surgery. Am. J. Health Syst. Pharm. 2013, 70, 195–283. [Google Scholar] [CrossRef]
- Tchaick, R.M.; Sá, M.P.B.O.; Figueira, F.R.d.M.; Paz, K.C.; Ferraz, Á.A.B.; Moraes, F.R.N. Cefazolin concentration in the mediastinal adipose tissue of patients undergoing cardiac surgery. Braz. J. Cardiovasc. Surg. 2017, 32, 239–244. [Google Scholar] [CrossRef]
- Asada, M.; Nagata, M.; Mizuno, T.; Uchida, T.; Kurashima, N.; Takahashi, H.; Makita, K.; Arai, H.; Echizen, H.; Yasuhara, M. Effects of cardiopulmonary bypass on the disposition of cefazolin in patients undergoing cardiothoracic surgery. Pharmacol. Res. Perspect. 2018, 6, e00440. [Google Scholar] [CrossRef]
- Lindbom, L.; Pihlgren, P.; Jonsson, N. PsN-Toolkit—A collection of computer intensive statistical methods for non-linear mixed effect modeling using NONMEM. Comput. Methods Programs Biomed. 2005, 79, 241–257. [Google Scholar] [CrossRef]
- Kaiki, Y.; Ohge, H.; Ikawa, K.; Uegami, S.; Watadani, Y.; Shigemoto, N.; Hirano, T.; Yoshimura, K.; Kitagawa, H.; Morikawa, N.; et al. Pharmacokinetics of cefmetazole in plasma, peritoneal fluid, peritoneum, and subcu-taneous adipose tissue of patients scheduled for lower gastrointestinal surgery: Dosing considerations based on site-specific pharmacodynamic target attainment. J. Infect. Chemother. 2023, 29, 309–315. [Google Scholar] [CrossRef]
- Naik, B.I.; Roger, C.; Ikeda, K.; Todorovic, M.S.; Wallis, S.C.; Lipman, J.; Roberts, J.A. Comparative total and unbound pharmacokinetics of cefazolin administered by bolus versus continuous infusion in patients undergoing major surgery: A randomized controlled trial. Br. J. Anaesth. 2017, 118, 876–882. [Google Scholar] [CrossRef]
- Yamamichi, F.; Shigemura, K.; Yamashita, M.; Tanaka, K.; Arakawa, S.; Fujisawa, M. Postoperative wound dealing and superficial surgical site infection in open radical prostatectomy. Int. Wound J. 2016, 13, 692–696. [Google Scholar] [CrossRef]
- Ueda, T.; Takesue, Y.; Matsumoto, T.; Tateda, K.; Kusachi, S.; Mikamo, H.; Sato, J.; Hanaki, H.; Mizuguchi, T.; Morikane, K.; et al. Change in antimicrobial susceptibility of pathogens isolated from surgical site infections over the past decade in Japanese nation-wide surveillance study. J. Infect. Chemother. 2021, 27, 931–939. [Google Scholar] [CrossRef]




| No. | Median (IQR) | |
|---|---|---|
| Number of patients | 67 | |
| Age (years) | 69 (63–73) | |
| Weight (kg) | 67.2 (60.4–74.2) | |
| Serum creatinine (mg/dL) | 0.92 (0.83–1.06) | |
| Creatinine clearance (mL/min) | 69 (60–88) | |
| Albumin (g/L) | 32 (30–34) | |
| Total bilirubin (µmol/L) | 17.1 (13.7–23.1) |
| Description | Parameter | Final Model | Bootstrap (n = 1000) | |||
|---|---|---|---|---|---|---|
| Estimate | RSE (%) | Median | Lower 2.5% | Upper 97.5% | ||
| Structural model parameters * | ||||||
| CL (L/h) = θ1 × (CLcr/69)θ2 | θ1 | 25.8 | 5.47 | 25.5 | 21.6 | 28.3 |
| θ2 | 0.735 | 19.46 | 0.738 | 0.459 | 1.066 | |
| Vc (L) = θ3 | θ3 | 44.3 | 10.18 | 44.6 | 32.2 | 52.5 |
| Q (L/h) = θ4 | θ4 | 44.0 | 11.84 | 43.2 | 35.6 | 65.1 |
| Vp (L) = θ5 | θ5 | 52.2 | 8.85 | 53.1 | 44.2 | 68.9 |
| FPA = θ6 | θ6 | 0.638 | 6.68 | 0.636 | 0.560 | 0.724 |
| Between-subject variability | ||||||
| ωCL (%) | 28.3 | 34.00 | 29.0 | 19.3 | 39.1 | |
| ωVc (%) | 52.9 | 51.11 | 50.7 | 25.0 | 77.7 | |
| ωVp (%) | 46.3 | 53.74 | 46.0 | 10.9 | 70.6 | |
| FPA | 45.0 | 16.04 | 44.4 | 37.3 | 51.1 | |
| Residual unidentified variability | ||||||
| εpro | 21.6 | 8.79 | 21.6 | 18.1 | 25.3 | |
Disclaimer/Publisher’s Note: The statements, opinions and data contained in all publications are solely those of the individual author(s) and contributor(s) and not of MDPI and/or the editor(s). MDPI and/or the editor(s) disclaim responsibility for any injury to people or property resulting from any ideas, methods, instructions or products referred to in the content. |
© 2026 by the authors. Licensee MDPI, Basel, Switzerland. This article is an open access article distributed under the terms and conditions of the Creative Commons Attribution (CC BY) license.
Share and Cite
Komatsu, T.; Takahashi, Y.; Takayama, Y.; Akamada, Y.; Ikeda, M.; Tsumura, H.; Ishii, D.; Matsumoto, K.; Iwamura, M.; Okamoto, H.; et al. Unbound and Periprostatic Adipose Tissue Cefazolin Pharmacokinetics in Robotic-Assisted Radical Prostatectomy. Antibiotics 2026, 15, 181. https://doi.org/10.3390/antibiotics15020181
Komatsu T, Takahashi Y, Takayama Y, Akamada Y, Ikeda M, Tsumura H, Ishii D, Matsumoto K, Iwamura M, Okamoto H, et al. Unbound and Periprostatic Adipose Tissue Cefazolin Pharmacokinetics in Robotic-Assisted Radical Prostatectomy. Antibiotics. 2026; 15(2):181. https://doi.org/10.3390/antibiotics15020181
Chicago/Turabian StyleKomatsu, Toshiaki, Yuki Takahashi, Yoko Takayama, Yuto Akamada, Masaomi Ikeda, Hideyasu Tsumura, Daisuke Ishii, Kazumasa Matsumoto, Masatsugu Iwamura, Hirotsugu Okamoto, and et al. 2026. "Unbound and Periprostatic Adipose Tissue Cefazolin Pharmacokinetics in Robotic-Assisted Radical Prostatectomy" Antibiotics 15, no. 2: 181. https://doi.org/10.3390/antibiotics15020181
APA StyleKomatsu, T., Takahashi, Y., Takayama, Y., Akamada, Y., Ikeda, M., Tsumura, H., Ishii, D., Matsumoto, K., Iwamura, M., Okamoto, H., Hanaki, H., & Otori, K. (2026). Unbound and Periprostatic Adipose Tissue Cefazolin Pharmacokinetics in Robotic-Assisted Radical Prostatectomy. Antibiotics, 15(2), 181. https://doi.org/10.3390/antibiotics15020181

