Pharmacogenetics and Pharmacokinetics of Moxifloxacin in MDR-TB Patients in Indonesia: Analysis for ABCB1 and SLCO1B1
Abstract
1. Introduction
2. Results
3. Discussion
4. Materials and Methods
4.1. Patients and Study Design
4.2. PG and PK Study
5. Conclusions
Author Contributions
Funding
Institutional Review Board Statement
Informed Consent Statement
Data Availability Statement
Acknowledgments
Conflicts of Interest
Abbreviations
| MDR-TB | Multidrug-resistant tuberculosis |
| PK | Pharmacokinetics |
| PG | Pharmacogenetics |
| BPaLM | Bedaquiline, pretomanid, linezolid, and moxifloxacin |
| DNA | Deoxyribonucleic acid |
| SNPs | Single-nucleotide polymorphisms |
| ABC | ATP-binding cassette |
| SLC | Solute carrier |
| P-gp | p-Glycoprotein |
| Cmax | The maximum concentration |
| Tmax | The time to reach the maximum concentration |
| AUC0–24 | Area under the plasma concentration |
| ABCB1 | ATP-Binding Cassette Subfamily B Member 1 |
| SLCO1B1 | Solute Carrier Organic Anion Transporter Family Member 1B1 |
| UGT1A1 | Uridine 5′-diphosphate-glucuronosyltransferase family 1 member A1 |
| LPA | Line probe assay |
| PCR | Polymerase chain reaction |
| HPLC | High-performance liquid chromatography |
| TEA | Triethanolamine |
| PDA | Photodiode array |
| CV | Coefficient of variation |
| BMI | Body mass index |
| ALT | Alanine aminotransferase |
| eGFR | Estimated glomerular filtration rate |
| PD | Pharmacodynamic |
| OATPs | Organic anion transporter polypeptides |
References
- World Health Organization. Global Tuberculosis Report 2022; WHO: Geneva, Switzerland, 2022. [Google Scholar]
- Kemenkes, R.I. Penatalaksanaan Tuberkulosis Resisten Obat di Indonesia; Kementerian Kesehatan RI: Jakarta, Indonesia, 2020.
- World Health Organization. WHO Consolidated Guidelines on Tuberculosis. Module 4: Treatment; Drug-Resistant Tuberculosis Treatment, 2022 Update; WHO: Geneva, Switzerland, 2022. [Google Scholar]
- FDA. Highlights of Prescribing Information. Avelox® (Moxifloxacin Hydrocloride); FDA: Silver Spring, MD, USA, 2016.
- Fàbrega, A.; Madurga, S.; Giralt, E.; Vila, J. Mechanism of action of and resistance to quinolones. Microb. Biotechnol. 2009, 2, 40–61. [Google Scholar] [CrossRef] [PubMed]
- Gumbo, T.; Angulo-Barturen, I.; Ferrer-Bazaga, S. Pharmacokinetic-Pharmacodynamic and Dose-Response Relationships of Antituberculosis Drugs: Recommendations and Standards for Industry and Academia. J. Infect. Dis. 2015, 211 (Suppl. 3), S96–S106. [Google Scholar] [CrossRef] [PubMed]
- Annisa, N.; Barliana, M.I.; Santoso, P.; Ruslami, R. Transporter and metabolizer gene polymorphisms affect fluoroquinolone pharmacokinetic parameters. Front. Pharmacol. 2022, 13, 1063413. [Google Scholar] [CrossRef]
- Weiner, M.; Gelfond, J.; Johnson-Pais, T.L.; Engle, M.; Peloquin, C.A.; Johnson, J.L.; Sizemore, E.E.; Mac Kenzie, W.R. Elevated plasma moxifloxacin concentrations and SLCO1B1 g.11187G>A polymorphism in adults with pulmonary tuberculosis. Antimicrob. Agents Chemother. 2018, 62, 1–11. [Google Scholar] [CrossRef] [PubMed]
- Shan, X.X.; Qiu, Y.; Xie, W.W.; Wu, R.R.; Yu, Y.; Wu, H.S.; Li, L.H. ABCB1 Gene Is Associated with Clinical Response to SNRIs in a Local Chinese Han Population. Front. Pharmacol. 2019, 10, 761. [Google Scholar] [CrossRef] [PubMed]
- Rychlik-Sych, M.; Barańska, M.; Dudarewicz, M.; Skrętkowicz, J.; Żebrowska, A.; Woźniacka, A.; Owczarek, J.; Orszulak-Michalak, D.; Waszczykowska, E. Haplotypes of ABCB1 1236C >T (rs1128503), 2677G >T/A (rs2032582), and 3435C >T (rs1045642) in patients with bullous pemphigoid. Arch. Dermatol. Res. 2018, 310, 515–522. [Google Scholar] [CrossRef]
- Naidoo, A.; Ramsuran, V.; Chirehwa, M.; Denti, P.; McIlleron, H.; Naidoo, K.; Yende-Zuma, N.; Singh, R.; Ngcapu, S.; Chaudhry, M.; et al. Effect of genetic variation in UGT1A and ABCB1 on moxifloxacin pharmacokinetics in South African patients with tuberculosis. Pharmacogenomics 2017, 19, 17–29. [Google Scholar] [CrossRef]
- Nijland, H.M.J.; Ruslami, R.; Suroto, A.J.; Burger, D.M.; Alisjahbana, B.; Van Crevel, R.; Aarnoutse, R.E. Rifampicin reduces plasma concentrations of moxifloxacin in patients with tuberculosis. Clin. Infect. Dis. 2007, 45, 1001–1007. [Google Scholar] [CrossRef]
- Ruslami, R.; Ganiem, A.R.; Dian, S.; Apriani, L.; Achmad, T.H.; van der Ven, A.J.; Borm, G.; Aarnoutse, R.E.; van Crevel, R. Intensified regimen containing rifampicin and moxifloxacin for tuberculous meningitis: An open-label, randomised controlled phase 2 trial. Lancet Infect. Dis. 2013, 13, 27–35. [Google Scholar] [CrossRef] [PubMed]
- Magis-Escurra, C.; Later-Nijland, H.M.J.; Alffenaar, J.W.C.; Broeders, J.; Burger, D.M.; Van Crevel, R.; Boeree, M.J.; Donders, A.R.T.; van Altena, R.; van Der Werf, T.S.; et al. Population pharmacokinetics and limited sampling strategy for first-line tuberculosis drugs and moxifloxacin. Int. J. Antimicrob. Agents 2014, 44, 229–234. [Google Scholar] [CrossRef] [PubMed]
- Soldin, O.P.; Mattison, D.R. Sex differences in pharmacokinetics and pharmacodynamics. Clin. Pharmacokinet. 2009, 48, 143–157. [Google Scholar] [CrossRef] [PubMed]
- Bebawy, M.; Chetty, M. Gender Differences in P-Glycoprotein Expression and Function: Effects on Drug Disposition and Outcome. Curr. Drug Metab. 2009, 10, 322–328. [Google Scholar] [CrossRef] [PubMed]
- Hou, W.Y.; Xu, S.F.; Zhu, Q.N.; Lu, Y.F.; Cheng, X.G.; Liu, J. Age- and sex-related differences of organic anion-transporting polypeptide gene expression in livers of rats. Toxicol. Appl. Pharmacol. 2014, 280, 370–377. [Google Scholar] [CrossRef] [PubMed]
- Sullivan, J.T.; Lettieri, J.T.; Liu, P.; Heller, A.H.; Watson, S.J. The influence of age and gender on the pharmacokinetics of moxifloxacin. Clin. Pharmacokinet. 2001, 40 (Suppl. 1), 11–18. [Google Scholar] [CrossRef]
- Chien, S.C.; Chow, A.T.; Natarajan, J.; Williams, R.R.; Wong, F.A.; Rogge, M.C.; Nayak, R.K. Absence of age and gender effects on the pharmacokinetics of a single 500-milligram oral dose of levofloxacin in healthy subjects, Antimicrob. Agents Chemother. 1997, 41, 1562–1565. [Google Scholar] [CrossRef]
- Hasunuma, T.; Tohkin, M.; Kaniwa, N.; Jang, I.J.; Yimin, C.; Kaneko, M.; Saito, Y.; Takeuchi, M.; Watanabe, H.; Yamazoe, Y.; et al. Absence of ethnic differences in the pharmacokinetics of moxifloxacin, simvastatin, and meloxicam among three East Asian populations and Caucasians. Br. J. Clin. Pharmacol. 2016, 81, 1078–1090. [Google Scholar] [CrossRef] [PubMed]



| (a) | ||
|---|---|---|
| Variable | PG Study (N = 204) | PK Study (N = 80) |
| Sex | ||
| Male | 150 (58.8) | 45 (56.3) |
| Age (years), median (min–max) | 39 (18–81) | 40 (18–66) |
| Body weight (kg), median (min–max) | 46.0 (29–84) | 44.5 (34–73) |
| BMI | ||
| Overweight | 9 (4.4) | 5 (6.3) |
| Normal | 84 (41.2) | 24 (30.0) |
| Underweight | 111 (54.4) | 51 (63.7) |
| Comorbidity | ||
| Diabetes mellitus | 44 (21.6) | 14 (17.5) |
| Hypertension | 14 (6.9) | 5 (6.3) |
| (b) | ||
| Variable | N = 80 | |
| Drug regimen | ||
| Injection containing | 11 (13.8) | |
| All oral | 69 (86.2) | |
| Moxifloxacin daily dose | ||
| 400 mg | 41 (51.2) | |
| 600 mg | 39 (48.8) | |
| Dose/body weight (mg/kg), median (min–max) | 10.3 (8.2–14.0) | |
| Time of taking medicine before sampling (hours), median (min–max) | 23 (11–27) | |
| Number of days taking medicine, median (min–max) | 31 (14–126) | |
| Taking with meal | ||
| Yes | 33 (41.3) | |
| Laboratory results | ||
| Albumin (g/dL), median (min–max) | 3.4 (2.2–4.6) | |
| Abnormal | 35 (43.7) | |
| Normal (3.5–5 g/dL) | 45 (56.3) | |
| ALT (U/L), median (min–max) | 25 (11–721) | |
| Low level | 4 (5.3) | |
| Normal level (14–59 U/L) | 63 (82.9) | |
| High level | 9 (11.8) | |
| eGFR (mL/min), median (min–max) | 110 (49–330) | |
| eGFR criteria, n (%) | n = 76 | |
| Abnormal | 1 (1.3) | |
| Normal (>60 mL/min) | 75 (98.7) | |
| Variable | PG Study N = 204 | PK Study N = 80 |
|---|---|---|
| ABCB1 rs2032582, n (%) | ||
| Genotype | ||
| GG | 85 (41.7) | 38 (47.5) |
| GT | 77 (37.7) | 34 (42.5) |
| TT | 26 (12.7) | 4 (5.0) |
| GA | 11 (5.4) | 2 (2.5) |
| AT | 5 (2.5) | 2 (2.5) |
| SLCO1B1 rs4149015, n (%) | ||
| Genotype | ||
| GG | 191 (93.6) | 73 (91.3) |
| GA | 13 (6.4) | 7 (8.7) |
| Variable | n | AUC0–24 (mg·h/L) | p-Value | Cmax (mg/L) | p-Value |
|---|---|---|---|---|---|
| All | 80 | 78.6 (12.0–656.8) | - | 6.1 (1.6–21.0) | - |
| Sex | |||||
| Male | 45 | 60.5 (12.0–387.6) | <0.001 * | 5.2 (41.6–21.0) | <0.001 * |
| Female | 35 | 110.0 (37.0–656.8) | 7.7 (3.2–20.9) | ||
| Age (year) | |||||
| 18–34 | 31 | 63.9 (12.0–339.4) | 0.049 * | 5.8 (1.6–20.9) | 0.359 |
| 35–49 | 30 | 78.0 (18.9–335.2) | 5.9 (3.1–18.9) | ||
| 50–66 | 19 | 111.5 (45.0–656.8) | 7.2 (3.3–21.0) | ||
| BMI | |||||
| Overweight | 5 | 84.1 (45.0–335.21) | 0.660 | 6.0 (3.3–18.9) | 0.815 |
| Normal | 24 | 88.1 (24.9–656.8) | 6.5 (3.1–17.5) | ||
| Underweight | 51 | 74.0 (12.0–387.6) | 6.0 (1.6–21.0) | ||
| Intake with meal | |||||
| Yes | 47 | 87.3 (12.0–387.6) | 0.154 | 6.7 (1.6–21.0) | 0.131 |
| No | 33 | 67.7 (17.4–656.8) | 5.5 (2.8–17.5) | ||
| Comorbidity | |||||
| DM status | |||||
| Yes | 14 | 113.2 (45.0–263.6) | 0.054 | 6.8 (3.3–15.4) | 0.457 |
| No | 66 | 72.7 (12.0–656.8) | 6.0 (1.6–21.0) | ||
| Hypertension | |||||
| Yes | 5 | 87.0 (46.4–656.8) | 0.765 | 5.2 (3.2–17.5) | 0.502 |
| No | 75 | 78.0 (12.0–387.6) | 6.2 (1.6–21.0) | ||
| Moxifloxacin dose | |||||
| 400 mg | 41 | 71.4 (17.4–339.4) | 0.262 | 5.7 (2.6–20.9) | 0.274 |
| 600 mg | 39 | 86.9 (12.0–656.8) | 6.6 (1.6–21.0) | ||
| Drug regimen | |||||
| Injection containing | 11 | 67.7 (37.0–108.7) | 0.501 | 4.4 (3.1–6.5) | 0.030 * |
| All oral | 69 | 80.5 (12.0–656.8) | 6.5 (1.6–21.0) | ||
| Dose per body weight ** | 80 | R = 0.3 | 0.004 * | R = 0.361 | 0.001 * |
| Variable | n | AUC0–24 (mg·h/L) | p-Value | Cmax (mg/L) | p-Value |
|---|---|---|---|---|---|
| Geometric Mean (Min–Max) | Geometric Mean (Min–Max) | ||||
| ABCB1 rs2032582 | |||||
| GG | 38 | 79.5 (12.0–656.8) | 0.883 | 6.1 (2.9–17.5) | 0.651 |
| GT | 34 | 80.5 (17.4–387.6) | 6.5 (1.6–21.0) | ||
| TT | 4 | 53.3 (37.0–77.6) | 4.3 (3.1–7.7) | ||
| GA | 2 | 72.2 (57.0–91.4) | 4.9 (4.1–5.9) | ||
| AT | 2 | 97.6 (28.0–339.4) | 7.4 (2.6–20.9) | ||
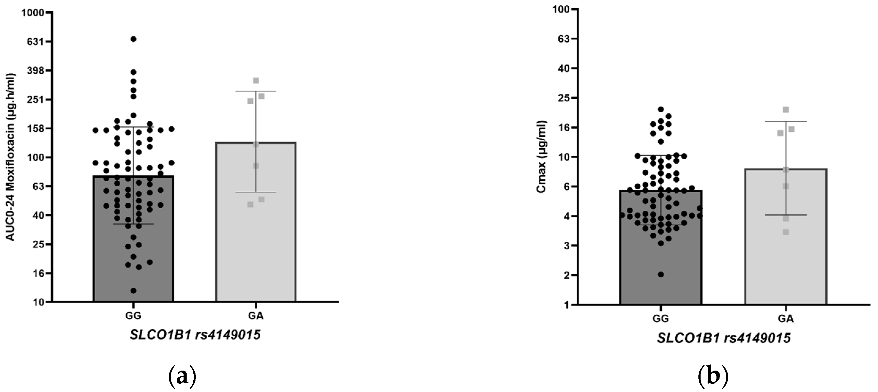
| SLCO1B1 rs4149015 | |||||
| GG | 73 | 75.0 (12.0–656.8) | 0.083 | 6.0 (1.6–21.0) | 0.064 |
| GA | 7 | 128.2 (47.2–339.4) | 8.4 (3.1–20.9) | ||
| Variable | Unstandardized Coefficients | Standardized Coefficients | p-Value | |
|---|---|---|---|---|
| B | Std. Error | Beta | ||
| Moxifloxacin AUC0–24 | ||||
| (Constant) | 0.927 | 0.274 | 0.001 * | |
| Female sex | 0.221 | 0.071 | 0.324 | 0.003 * |
| Age | 0.007 | 0.003 | 0.278 | 0.014 * |
| Dose per body weight (mg/kg) | 0.052 | 0.024 | 0.221 | 0.033 * |
| Dependent variable: Log AUC0–24 moxifloxacin, R2 = 0.282 Moxifloxacin Cmax | ||||
| (Constant) | −0.034 | 0.235 | 0.887 | |
| Female sex | 0.125 | 0.052 | 0.256 | 0.020 * |
| Dose per body weight (mg/kg) | 0.040 | 0.018 | 0.236 | 0.027 * |
| Dependent variable: Log Cmax, R2 = 0.180 | ||||
Disclaimer/Publisher’s Note: The statements, opinions and data contained in all publications are solely those of the individual author(s) and contributor(s) and not of MDPI and/or the editor(s). MDPI and/or the editor(s) disclaim responsibility for any injury to people or property resulting from any ideas, methods, instructions or products referred to in the content. |
© 2025 by the authors. Licensee MDPI, Basel, Switzerland. This article is an open access article distributed under the terms and conditions of the Creative Commons Attribution (CC BY) license (https://creativecommons.org/licenses/by/4.0/).
Share and Cite
Annisa, N.; Afifah, N.N.; Santoso, P.; Yunivita, V.; te Brake, L.H.M.; Aarnoutse, R.E.; Barliana, M.I.; Ruslami, R. Pharmacogenetics and Pharmacokinetics of Moxifloxacin in MDR-TB Patients in Indonesia: Analysis for ABCB1 and SLCO1B1. Antibiotics 2025, 14, 204. https://doi.org/10.3390/antibiotics14020204
Annisa N, Afifah NN, Santoso P, Yunivita V, te Brake LHM, Aarnoutse RE, Barliana MI, Ruslami R. Pharmacogenetics and Pharmacokinetics of Moxifloxacin in MDR-TB Patients in Indonesia: Analysis for ABCB1 and SLCO1B1. Antibiotics. 2025; 14(2):204. https://doi.org/10.3390/antibiotics14020204
Chicago/Turabian StyleAnnisa, Nurul, Nadiya N. Afifah, Prayudi Santoso, Vycke Yunivita, Lindsey H. M. te Brake, Rob E. Aarnoutse, Melisa I. Barliana, and Rovina Ruslami. 2025. "Pharmacogenetics and Pharmacokinetics of Moxifloxacin in MDR-TB Patients in Indonesia: Analysis for ABCB1 and SLCO1B1" Antibiotics 14, no. 2: 204. https://doi.org/10.3390/antibiotics14020204
APA StyleAnnisa, N., Afifah, N. N., Santoso, P., Yunivita, V., te Brake, L. H. M., Aarnoutse, R. E., Barliana, M. I., & Ruslami, R. (2025). Pharmacogenetics and Pharmacokinetics of Moxifloxacin in MDR-TB Patients in Indonesia: Analysis for ABCB1 and SLCO1B1. Antibiotics, 14(2), 204. https://doi.org/10.3390/antibiotics14020204

