FDA-Approved Antibacterials and Echinocandins
Abstract
1. Introduction
2. Antimicrobial Peptides (AMPs)
2.1. Gramicidin D (Neocidin)
2.2. Vancomycin (Vancocin)
2.3. Colistin (Coly-Mycin M)
2.4. Daptomycin (Cubicin)
2.5. Telavancin (Vibativ)
2.6. Dalbavancin (Dalvance)
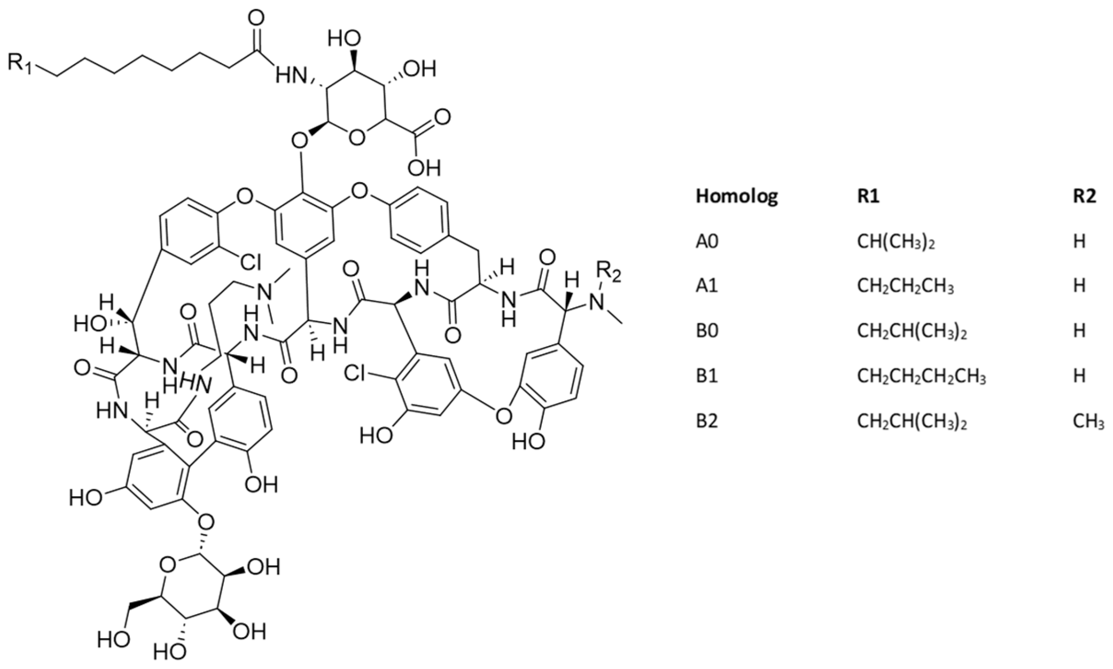
2.7. Oritavancin (Kimyrsa)
3. Echinocandins Analogs
3.1. Caspofungin (Cancidas)
3.2. Micafungin (Mycamine)
3.3. Anidulafungin (Eraxis)
3.4. Rezafungin (Rezzayo)
4. Model Architecture and Methodology
5. Conclusions
Funding
Institutional Review Board Statement
Informed Consent Statement
Data Availability Statement
Conflicts of Interest
References
- Al Shaer, D.; Al Musaimi, O.; Albericio, F.; de la Torre, B.G. 2023 FDA TIDES (Peptides and Oligonucleotides) Harvest. Pharmaceuticals 2024, 17, 243. [Google Scholar] [CrossRef]
- Al Musaimi, O. FDA’s stamp of approval: Unveiling peptide breakthroughs in cardiovascular diseases, ACE, HIV, CNS, and beyond. J. Pept. Sci. 2024, 30, e3627. [Google Scholar] [CrossRef]
- Al Musaimi, O. Peptide Therapeutics: Unveiling the Potential against Cancer—A Journey through 1989. Cancers 2024, 16, 1032. [Google Scholar] [CrossRef]
- de la Torre, B.G.; Albericio, F. The Pharmaceutical Industry in 2023: An Analysis of FDA Drug Approvals from the Perspective of Molecules. Molecules 2024, 29, 585. [Google Scholar] [CrossRef]
- Mullard, A. 2023 FDA approvals. Nat. Rev. 2024, 23, 88–95. [Google Scholar] [CrossRef]
- Wang, L.; Wang, N.; Zhang, W.; Cheng, X.; Yan, Z.; Shao, G.; Wang, X.; Wang, R.; Fu, C. Therapeutic peptides: Current applications and future directions. Signal Transduct. Target Ther. 2022, 7, 48. [Google Scholar] [CrossRef]
- Al Musaimi, O.; Lombardi, L.; Williams, D.R.; Albericio, F. Strategies for Improving Peptide Stability and Delivery. Pharmaceuticals 2022, 15, 1283. [Google Scholar] [CrossRef]
- Li, C.M.; Haratipour, P.; Lingeman, R.G.; Perry, J.J.P.; Gu, L.; Hickey, R.J.; Malkas, L.H. Novel Peptide Therapeutic Approaches for Cancer Treatment. Cells 2021, 10, 2908. [Google Scholar] [CrossRef]
- Ruseska, I.; Zimmer, A. Internalization mechanisms of cell-penetrating peptides. Beilstein J. Nanotechnol. 2020, 11, 101–123. [Google Scholar] [CrossRef]
- Lamers, C. Overcoming the shortcomings of peptide-based therapeutics. Future Drug Discov. 2022, 4, FDD75. [Google Scholar] [CrossRef]
- Derakhshankhah, H.; Jafari, S. Cell penetrating peptides: A concise review with emphasis on biomedical applications. Biomed. Pharmacother. 2018, 108, 1090–1096. [Google Scholar] [CrossRef]
- Al Musaimi, O.; Morse, S.V.; Lombardi, L.; Serban, S.; Basso, A.; Williams, D.R. Successful synthesis of a glial-specific blood–brain barrier shuttle peptide following a fragment condensation approach on a solid-phase resin. J. Pept. Sci. 2022, 29, e3448. [Google Scholar] [CrossRef]
- Rosenfeld, L. Insulin: Discovery and controversy. Clin. Chem. 2002, 48, 2270–2288. [Google Scholar] [CrossRef]
- Ferrazzano, L.; Catani, M.; Cavazzini, A.; Martelli, G.; Corbisiero, D.; Cantelmi, P.; Fantoni, T.; Mattellone, A.; De Luca, C.; Felletti, S.; et al. Sustainability in peptide chemistry: Current synthesis and purification technologies and future challenges. Green Chem. 2022, 24, 975–1020. [Google Scholar] [CrossRef]
- Sharma, A.; Kumar, A.; de la Torre, B.G.; Albericio, F. Liquid-Phase Peptide Synthesis (LPPS): A Third Wave for the Preparation of Peptides. Chem. Rev. 2022, 122, 13516–13546. [Google Scholar] [CrossRef]
- Unveiling the Phenomenal Rise of Peptide Therapeutics: A Whopping 10.8% CAGR Propels Market Value to US$ 106.0 Billion by 2033. 2023. Available online: https://www.pharmiweb.com/press-release/2023-07-25/unveiling-the-phenomenal-rise-of-peptide-therapeutics-a-whopping-108-cagr-propels-market-value-to (accessed on 20 January 2025).
- de la Torre, B.G.; Albericio, F. The Pharmaceutical Industry in 2024: An Analysis of the FDA Drug Approvals from the Perspective of Molecules. Molecules 2025, 30, 482. [Google Scholar] [CrossRef]
- Cao, H.; Ke, T.; Liu, R.; Yu, J.; Dong, C.; Cheng, M.; Huang, J.; Liu, S. Identification of a Novel Proline-Rich Antimicrobial Peptide from Brassica napus. PLoS ONE 2015, 10, e0137414. [Google Scholar] [CrossRef]
- Imler, J.L.; Bulet, P. Antimicrobial peptides in Drosophila: Structures, activities and gene regulation. Chem. Immunol. Allergy 2005, 86, 1–21. [Google Scholar] [CrossRef]
- McMillan, K.A.M.; Coombs, M.R.P. Review: Examining the Natural Role of Amphibian Antimicrobial Peptide Magainin. Molecules 2020, 25, 5436. [Google Scholar] [CrossRef]
- Satchanska, G.; Davidova, S.; Gergova, A. Diversity and Mechanisms of Action of Plant, Animal, and Human Antimicrobial Peptides. Antibiotics 2024, 13, 202. [Google Scholar] [CrossRef]
- Sethi, N. Antimicrobial Peptides Small Molecules as Antibiotics Substitute, in Emerging Modalities in Mitigation of Antimicrobial Resistance; Akhtar, N., Singh, K.S., Prerna, Goyal, D., Eds.; Springer International Publishing: Cham, Switzerland, 2022; pp. 261–289. [Google Scholar]
- Qureshi, A. A review on current status of antiviral peptides. Discov. Viruses 2025, 2, 3. [Google Scholar] [CrossRef]
- Willyard, C. The drug-resistant bacteria that pose the greatest health threats. Nature 2017, 543, 15. [Google Scholar] [CrossRef]
- Petty, N.K.; Ben Zakour, N.L.; Stanton-Cook, M.; Skippington, E.; Totsika, M.; Forde, B.M.; Phan, M.-D.; Gomes Moriel, D.; Peters, K.M.; Davies, M.; et al. Global dissemination of a multidrug resistant Escherichia coli clone. Proc. Natl. Acad. Sci. USA 2014, 111, 5694–5699. [Google Scholar] [CrossRef]
- Jaradat, D.s.M.M.; Saleh, K.K.Y.; Za’arir, B.H.M.; Arafat, T.; Alzoubi, K.H.; Al-Taweel, S.A.; Mallah, E.; Haddad, M.A.; Haimur, B.A.K. Correction to: Solid-Phase Synthesis and Antibacterial Activity of an Artificial Cyclic Peptide Containing Two Disulfide Bridges. Int. J. Pept. Res. Ther. 2019, 25, 1103. [Google Scholar] [CrossRef]
- Jaradat, D.s.M.M.; Al-Karablieh, N.; Zaarer, B.H.M.; Li, W.; Saleh, K.K.Y.; Rasras, A.J.; Abu-Romman, S.; O’Brien-Simpson, N.M.; Wade, J.D. Human glucose-dependent insulinotropic polypeptide (GIP) is an antimicrobial adjuvant re-sensitising multidrug-resistant Gram-negative bacteria. Biol. Chem. 2021, 402, 513–524. [Google Scholar] [CrossRef]
- Gorr, S.-U.; Abdolhosseini, M. Antimicrobial peptides and periodontal disease. J. Clin. Periodontol. 2011, 38 (Suppl. S11), 126–141. [Google Scholar] [CrossRef]
- Glukhov, E.; Stark, M.; Burrows, L.L.; Deber, C.M. Basis for selectivity of cationic antimicrobial peptides for bacterial versus mammalian membranes. J. Biol. Chem. 2005, 280, 33960–33967. [Google Scholar] [CrossRef]
- Ebenhan, T.; Gheysens, O.; Kruger, H.G.; Zeevaart, J.R.; Sathekge, M.M. Antimicrobial Peptides: Their Role as Infection-Selective Tracers for Molecular Imaging. Biomed. Res. Int. 2014, 2014, 867381. [Google Scholar] [CrossRef]
- Zhang, Q.-Y.; Yan, Z.-B.; Meng, Y.-M.; Hong, X.-Y.; Shao, G.; Ma, J.-J.; Cheng, X.-R.; Liu, J.; Kang, J.; Fu, C.-Y. Antimicrobial peptides: Mechanism of action, activity and clinical potential. Mil. Med. Res. 2021, 8, 48. [Google Scholar] [CrossRef]
- Tummanapalli, S.S.; Willcox, M.D. Antimicrobial resistance of ocular microbes and the role of antimicrobial peptides. Clin. Exp. Optom. 2021, 104, 295–307. [Google Scholar] [CrossRef]
- Bechinger, B.; Gorr, S.U. Antimicrobial Peptides: Mechanisms of Action and Resistance. J. Dent. Res. 2017, 96, 254–260. [Google Scholar] [CrossRef]
- Butler, M.S.; Hansford, K.A.; Blaskovich, M.A.T.; Halai, R.; Cooper, M.A. Glycopeptide antibiotics: Back to the future. J. Antibiot. 2014, 67, 631–644. [Google Scholar] [CrossRef]
- Asif, F.; Zaman, S.U.; Arnab, M.K.H.; Hasan, M.; Islam, M.M. Antimicrobial peptides as therapeutics: Confronting delivery challenges to optimize efficacy. Microbe 2024, 2, 100051. [Google Scholar] [CrossRef]
- Cresti, L.; Cappello, G.; Pini, A. Antimicrobial Peptides towards Clinical Application-A Long History to Be Concluded. Int. J. Mol. Sci. 2024, 25, 4870. [Google Scholar] [CrossRef]
- Hancock, E.W.R.; Patrzykat, A. Clinical Development of Cationic Antimicrobial Peptides: From Natural to Novel Antibiotics. Curr. Drug Targets Infect. Disord. 2002, 2, 79–83. [Google Scholar] [CrossRef]
- Huan, Y.; Kong, Q.; Mou, H.; Yi, H. Antimicrobial Peptides: Classification, Design, Application and Research Progress in Multiple Fields. Front. Microbiol. 2020, 11, 582779. [Google Scholar] [CrossRef]
- Enninful, G.N.; Kuppusamy, R.; Tiburu, E.K.; Kumar, N.; Willcox, M.D.P. Non-canonical amino acid bioincorporation into antimicrobial peptides and its challenges. J. Pept. Sci. 2024, 30, e3560. [Google Scholar] [CrossRef]
- Hotchkiss, R.D.; Dubos, R.J. The isolation of Bactericidal Substances from Cultures of Bacillus Brevis. J. Biol. Chem. 1941, 141, 155–162. [Google Scholar] [CrossRef]
- Chen, C.H.; Lu, T.K. Development and Challenges of Antimicrobial Peptides for Therapeutic Applications. Antibiotics 2020, 9, 24. [Google Scholar] [CrossRef]
- Dubos, R.J. Studies on a bactericidal agent extracted from a soil bacillus: I. preparation of the agent. its activity in vitro. J. Exp. Med. 1939, 70, 1–10. [Google Scholar] [CrossRef]
- Sarges, R.; Witkop, B.; Gramicidin, A., IV. Primary Sequence of Valine and Isoleucine Gramicidin A. J. Am. Chem. Soc. 1964, 86, 1862–1863. [Google Scholar] [CrossRef]
- Meikle, T.G.; Conn, C.E.; Separovic, F.; Drummond, C.J. Exploring the structural relationship between encapsulated antimicrobial peptides and the bilayer membrane mimetic lipidic cubic phase: Studies with gramicidin A′. RSC Adv. 2016, 6, 68685–68694. [Google Scholar] [CrossRef]
- Vancomycin Drug Label. Available online: https://www.accessdata.fda.gov/drugsatfda_docs/label/2023/210274s000lbl.pdf (accessed on 20 January 2025).
- Rhouma, M.; Beaudry, F.; Thériault, W.; Letellier, A. Colistin in Pig Production: Chemistry, Mechanism of Antibacterial Action, Microbial Resistance Emergence, and One Health Perspectives. Front. Microbiol. 2016, 7, 1789. [Google Scholar] [CrossRef]
- Colistin Approval Letter and Drug Label. Available online: https://www.accessdata.fda.gov/drugsatfda_docs/label/2013/050108s030lbl.pdf (accessed on 20 January 2025).
- El-Sayed Ahmed, M.A.E.; Zhong, L.L.; Shen, C.; Yang, Y.; Doi, Y.; Tian, G.B. Colistin and its role in the Era of antibiotic resistance: An extended review (2000–2019). Emerg. Microbes Infect. 2020, 9, 868–885. [Google Scholar] [CrossRef]
- Polymyxin B Drug Label. Available online: https://www.accessdata.fda.gov/drugsatfda_docs/label/2012/060716s018lbl.pdf (accessed on 20 January 2025).
- Hover, B.M.; Kim, S.-H.; Katz, M.; Charlop-Powers, Z.; Owen, J.G.; Ternei, M.A.; Maniko, J.; Estrela, A.B.; Molina, H.; Park, S.; et al. Culture-independent discovery of the malacidins as calcium-dependent antibiotics with activity against multidrug-resistant Gram-positive pathogens. Nat. Microbiol. 2018, 3, 415–422. [Google Scholar] [CrossRef]
- Daptomycin Drug Label. Available online: https://www.accessdata.fda.gov/drugsatfda_docs/nda/2003/21-572_Cubicin_Prntlbl.pdf (accessed on 20 January 2025).
- Karas, J.A.; Carter, G.P.; Howden, B.P.; Turner, A.M.; Paulin, O.K.A.; Swarbrick, J.D.; Baker, M.A.; Li, J.; Velkov, T. Structure-Activity Relationships of Daptomycin Lipopeptides. J. Med. Chem. 2020, 63, 13266–13290. [Google Scholar] [CrossRef]
- Huang, H.W. DAPTOMYCIN, its membrane-active mechanism vs. that of other antimicrobial peptides. Biochim. Et Biophys. Acta (BBA) Biomembr. 2020, 1862, 183395. [Google Scholar] [CrossRef]
- Chen, Y.-F.; Sun, T.-L.; Sun, Y.; Huang, H.W. Interaction of Daptomycin with Lipid Bilayers: A Lipid Extracting Effect. Biochemistry 2014, 53, 5384–5392. [Google Scholar] [CrossRef]
- Daptomycin Approval Letter. Available online: https://www.accessdata.fda.gov/drugsatfda_docs/nda/2003/21-572_Cubicin_Approv.pdf (accessed on 20 January 2025).
- Telavancin Drug Label. Available online: https://www.accessdata.fda.gov/drugsatfda_docs/nda/2013/022407Orig1s000Lbl.pdf (accessed on 20 January 2025).
- Damodaran, S.E.; Madhan, S. Telavancin: A novel lipoglycopeptide antibiotic. J. Pharmacol. Pharmacother. 2011, 2, 135–137. [Google Scholar] [CrossRef]
- Telavancin Approval Letter. Available online: https://www.accessdata.fda.gov/drugsatfda_docs/nda/2013/022407Orig1s000Approv.pdf (accessed on 20 January 2025).
- Dalbavancin Drug Label. Available online: https://www.accessdata.fda.gov/drugsatfda_docs/nda/2014/021883Orig1s000Lbl.pdf (accessed on 20 January 2025).
- Cercenado, E. Antimicrobial spectrum of dalbavancin. Mechanism of action and in vitro activity against Gram-positive microorganisms. Enferm. Infecc. Microbiol. Clin. 2017, 35 (Suppl. S1), 9–14. [Google Scholar] [CrossRef]
- Dalbavancin Approval Letter. Available online: https://www.accessdata.fda.gov/drugsatfda_docs/nda/2014/021883Orig1s000Approv.pdf (accessed on 20 January 2025).
- Oritavancin Drug Label. Available online: https://www.accessdata.fda.gov/drugsatfda_docs/label/2021/206334s006lbl.pdf (accessed on 20 January 2025).
- Zhanel, G.G.; Schweizer, F.; Karlowsky, J.A. Oritavancin: Mechanism of action. Clin. Infect. Dis. 2012, 54 (Suppl. S3), S214–S219. [Google Scholar] [CrossRef]
- Oritavancin Approval Letter. Available online: https://www.accessdata.fda.gov/drugsatfda_docs/appletter/2021/214155Orig1s000ltr.pdf (accessed on 20 January 2025).
- Loh, B.S.; Ang, W.H. “Illuminating” Echinocandins’ Mechanism of Action. ACS Cent. Sci. 2020, 6, 1651–1653. [Google Scholar] [CrossRef]
- Szymański, M.; Chmielewska, S.; Czyżewska, U.; Malinowska, M.; Tylicki, A. Echinocandins—Structure, mechanism of action and use in antifungal therapy. Enzym. Inhib. Med. Chem. 2022, 37, 876–894. [Google Scholar] [CrossRef]
- Wiederhold, N.P.; Lewis, R.E. The echinocandin antifungals: An overview of the pharmacology, spectrum and clinical efficacy. Expert Opin. Investig. Drugs 2003, 12, 1313–1333. [Google Scholar] [CrossRef]
- Denning, D.W. Echinocandin antifungal drugs. Lancet 2003, 362, 1142–1151. [Google Scholar] [CrossRef]
- Odds, F.C.; Brown, A.J.; Gow, N.A. Antifungal agents: Mechanisms of action. Trends Microbiol. 2003, 11, 272–279. [Google Scholar] [CrossRef]
- Zaas, A.K.; Alexander, B.D. Echinocandins: Role in antifungal therapy, 2005. Expert Opin. Pharmacother. 2005, 6, 1657–1668. [Google Scholar] [CrossRef]
- Hüttel, W. Echinocandins: Structural diversity, biosynthesis, and development of antimycotics. Appl. Microbiol. Biotechnol. 2021, 105, 55–66. [Google Scholar] [CrossRef]
- Balkovec, J.M.; Hughes, D.L.; Masurekar, P.S.; Sable, C.A.; Schwartz, R.E.; Singh, S.B. Discovery and development of first in class antifungal caspofungin (CANCIDAS®)—A case study. Nat. Prod. Rep. 2014, 31, 15–34. [Google Scholar] [CrossRef]
- Caspofungin Drug Label. Available online: https://www.accessdata.fda.gov/drugsatfda_docs/nda/2001/21227_Cancidas_prntlbl.pdf (accessed on 20 January 2025).
- Kofla, G.; Ruhnke, M. Pharmacology and metabolism of anidulafungin, caspofungin and micafungin in the treatment of invasive candidosis: Review of the literature. Eur. J. Med. Res. 2011, 16, 159–166. [Google Scholar] [CrossRef]
- Caspofungin Approval Letter. Available online: https://www.accessdata.fda.gov/drugsatfda_docs/nda/2001/21227_Cancidas_Approv.pdf (accessed on 20 January 2025).
- Micafungin Drug Label. Available online: https://www.accessdata.fda.gov/drugsatfda_docs/nda/2005/21-506_Mycamine_Prntlbl.pdf (accessed on 20 January 2025).
- Jarvis, B.; Figgitt, D.P.; Scott, L.J. Micafungin. Drugs 2004, 64, 969–982, discussion 983–984. [Google Scholar] [CrossRef]
- Micafungin Approval Letter. Available online: https://www.accessdata.fda.gov/drugsatfda_docs/nda/2005/21-506_Mycamine_Approv.pdf (accessed on 20 January 2025).
- Anidulafungin Approval Letter. Available online: https://www.accessdata.fda.gov/drugsatfda_docs/nda/2006/21948s000_Eraxis_Approv.pdf (accessed on 20 January 2025).
- Anidulafungin Drug Label. Available online: https://www.accessdata.fda.gov/drugsatfda_docs/nda/2006/21948s000_Eraxis_ApprovBle.pdf (accessed on 20 January 2025).
- Rezzayo Drug Label. Available online: https://www.accessdata.fda.gov/drugsatfda_docs/label/2023/217417s000lbl.pdf (accessed on 20 January 2025).
- Syed, Y.Y. Rezafungin: First Approval. Drugs 2023, 83, 833–840. [Google Scholar] [CrossRef]
- Wang, G.; Li, X.; Wang, Z. APD3: The antimicrobial peptide database as a tool for research and education. Nucleic Acids Res. 2016, 44, D1087–D1093. [Google Scholar] [CrossRef]
- Jhong, J.H.; Yao, L.; Pang, Y.; Li, Z.; Chung, C.R.; Wang, R.; Li, S.; Li, W.; Luo, M.; Ma, R.; et al. dbAMP 2.0: Updated resource for antimicrobial peptides with an enhanced scanning method for genomic and proteomic data. Nucleic Acids Res. 2022, 50, D460–D470. [Google Scholar] [CrossRef]
- Zhao, X.; Wu, H.; Lu, H.; Li, G.; Huang, Q. LAMP: A Database Linking Antimicrobial Peptides. PLoS ONE 2013, 8, e66557. [Google Scholar] [CrossRef]
- Nagarajan, D.; Nagarajan, T.; Roy, N.; Kulkarni, O.; Ravichandran, S.; Mishra, M.; Chakravortty, D.; Chandra, N. Computational antimicrobial peptide design and evaluation against multidrug-resistant clinical isolates of bacteria. J. Biol. Chem. 2018, 293, 3492–3509. [Google Scholar] [CrossRef]
- David, L.; Brata, A.M.; Mogosan, C.; Pop, C.; Czako, Z.; Muresan, L.; Ismaiel, A.; Dumitrascu, D.I.; Leucuta, D.C.; Stanculete, M.F.; et al. Artificial Intelligence and Antibiotic Discovery. Antibiotics 2021, 10, 1376. [Google Scholar] [CrossRef]
- Zhao, J.; Liu, H.; Kang, L.; Gao, W.; Lu, Q.; Rao, Y.; Yue, Z. deep-AMPpred: A Deep Learning Method for Identifying Antimicrobial Peptides and Their Functional Activities. J. Chem. Inf. Model. 2025, 65, 997–1008. [Google Scholar] [CrossRef]
- Zevtera Drug Label. 2024. Available online: https://www.accessdata.fda.gov/drugsatfda_docs/label/2024/218275s000lbl.pdf (accessed on 20 January 2025).
- Al Musaimi, O. Lasso Peptides Realm: Insights and Applications. Peptides 2024, 182, 171317. [Google Scholar] [CrossRef]

















| Peptide (Trade Name) | Indication | Therapeutic Target | Route | FDA Approval Year |
|---|---|---|---|---|
| Common peptide structure | ||||
| Gramicidin D (Neocidin) | To treat infected surface wounds, and eye, nose, and throat infections | Bacterial membranes | Lotion or ointment | 1955 |
| Glycopeptides | ||||
| Vancomycin (Vancocin) | IV: to treat septicemia, infective endocarditis, skin and skin structure infections, bone infections, and lower respiratory tract infections Orally: to treat clostridioides difficile-associated diarrhea and enterocolitis caused by Staphylococcus aureus (including methicillin-resistant strains) | D-alanyl-D-alanine moieties | IV and orally | 1958 |
| Lipopeptides | ||||
| Colistin (Coly-Mycin M) | To treat infections due to MDR Gram-negative bacteria | Lipopolysaccharide (LPS) | IV | 1959 |
| Daptomycin (Cubicin) | For skin and skin structure infections caused by Gram-positive infections | Bacterial membranes | IV | 2003 |
| Lipoglycopeptides | ||||
| Telavancin (Vibativ) | To treat the following infections in adult patients: complicated skin and skin structure infections | D-alanyl-D-alanine moieties | IV | 2013 |
| Dalbavancin (Dalvance) | To treat acute bacterial skin and skin structure infections (ABSSSIs) | D-alanyl-D-alanine moieties | IV | 2014 |
| Oritavancin (Kimyrsa) | To treat adult patients with acute bacterial skin and skin structure infections | D-alanyl-D-alanine moieties | IV | 2015 |
| Peptide (Trade Name) | Indication | Therapeutic Target | Route | FDA Approval Year |
|---|---|---|---|---|
| Caspofungin (Cancidas) | To treat serious fungal infections | β-1,3-D-glucan synthase | IV | 2001 |
| Micafungin (Mycamine) | To help the body overcome serious fungus infections, such as candidemia | 2005 | ||
| Anidulafungin (Eraxis) | To treat patients with esophageal candidiasis | 2006 | ||
| Rezafungin (Rezzayo) | To treat patients 18 years of age or older who have limited or no alternative options for the treatment of candidemia and invasive candidiasis | 2023 |
Disclaimer/Publisher’s Note: The statements, opinions and data contained in all publications are solely those of the individual author(s) and contributor(s) and not of MDPI and/or the editor(s). MDPI and/or the editor(s) disclaim responsibility for any injury to people or property resulting from any ideas, methods, instructions or products referred to in the content. |
© 2025 by the author. Licensee MDPI, Basel, Switzerland. This article is an open access article distributed under the terms and conditions of the Creative Commons Attribution (CC BY) license (https://creativecommons.org/licenses/by/4.0/).
Share and Cite
Al Musaimi, O. FDA-Approved Antibacterials and Echinocandins. Antibiotics 2025, 14, 166. https://doi.org/10.3390/antibiotics14020166
Al Musaimi O. FDA-Approved Antibacterials and Echinocandins. Antibiotics. 2025; 14(2):166. https://doi.org/10.3390/antibiotics14020166
Chicago/Turabian StyleAl Musaimi, Othman. 2025. "FDA-Approved Antibacterials and Echinocandins" Antibiotics 14, no. 2: 166. https://doi.org/10.3390/antibiotics14020166
APA StyleAl Musaimi, O. (2025). FDA-Approved Antibacterials and Echinocandins. Antibiotics, 14(2), 166. https://doi.org/10.3390/antibiotics14020166
