Ceftazidime–Avibactam Resistance in Carbapenem-Resistant Klebsiella pneumoniae Bloodstream Infections: Risk Factors and Clinical Outcomes
Abstract
1. Introduction
2. Results
2.1. Cohort Characteristics
2.2. Antibiotic Susceptibility Results
2.3. Risk Factors for CAZ-AVI Resistance
2.4. Multivariate Analysis Results
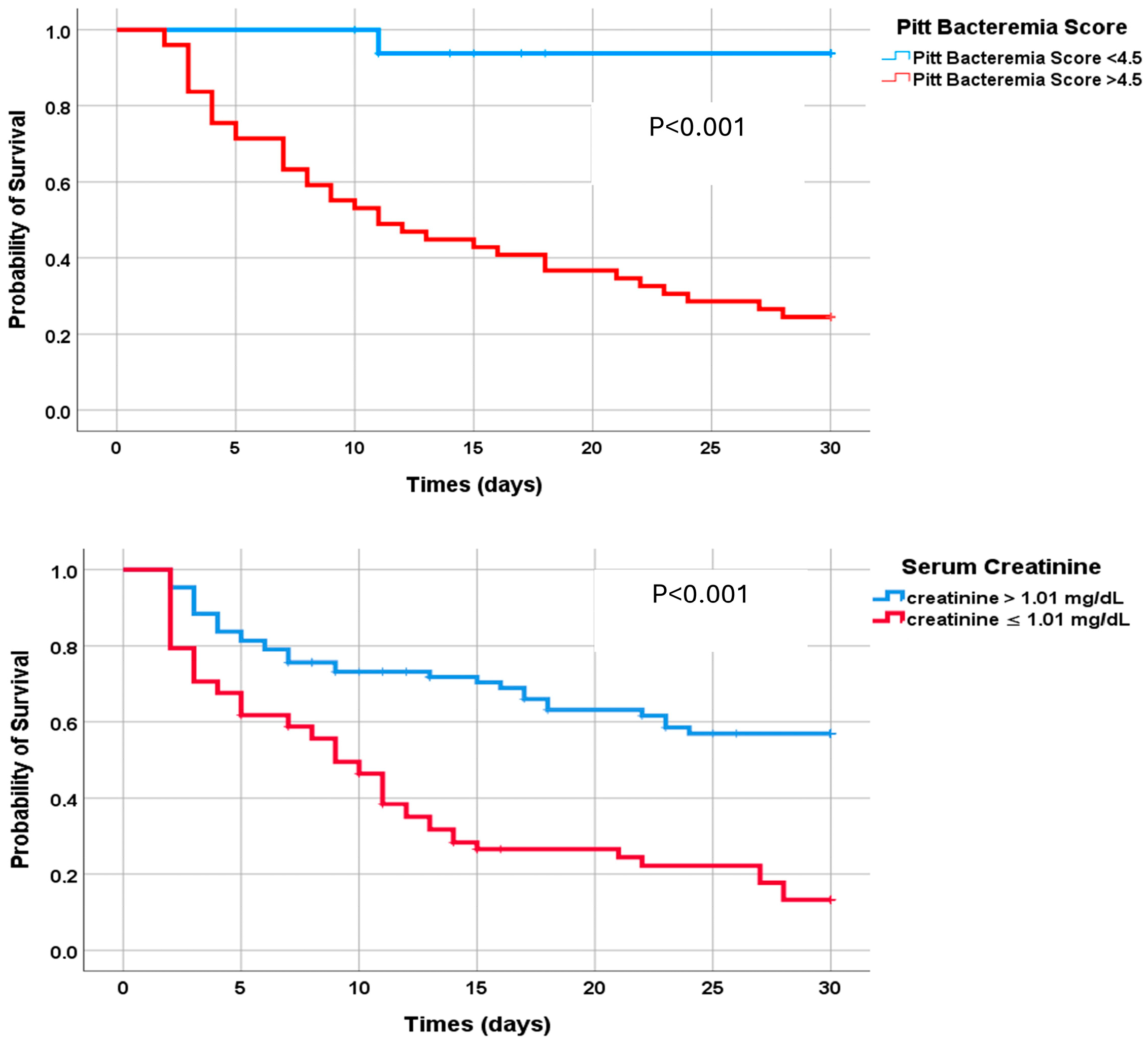
2.5. Mortality and Associated Factors
2.6. Multivariate Analysis Results (Mortality)
3. Discussion
4. Materials and Methods
4.1. Study Design and Patient Selection
4.2. Data Collection and Analysis
4.3. Inclusion and Exclusion Criteria
4.4. Microorganism Identification
4.5. Statistical Analysis
5. Conclusions
Author Contributions
Funding
Institutional Review Board Statement
Informed Consent Statement
Data Availability Statement
Conflicts of Interest
Appendix A
| Resistant (n = 66) | Susceptible (n = 88) | p | |
|---|---|---|---|
| Prior antibiotic used, n (%) | |||
| Carbapenem | 48 (72.7) | 72 (81.8) | 0.178 |
| Piperacillin/tazobactam | 32 (48.5) | 39 (44.3) | 0.608 |
| 3rd- and 4th-generation cephalosporins | 6 (9.1) | 10 (11.4) | 0.647 |
| Quinolones | 28 (42.4) | 20 (22.7) | 0.009 |
| Aminoglycoside | 10 (15.2) | 7 (8.0) | 0.125 |
| Colistin | 18 (27.3) | 14 (15.9) | 0.085 |
| Fosfomycin | 12 (18.2) | 4 (4.5) | 0.006 |
| Tigecycline | 30 (45.5) | 33 (37.5) | 0.320 |
| Survival (n = 28) | Death (n = 38) | p | |
|---|---|---|---|
| Prior antibiotic used, n (%) | |||
| Carbapenem | 20 (71.4) | 28 (73.7) | 0.839 |
| Piperacillin/tazobactam | 14 (50.0) | 18 (47.4) | 0.833 |
| 3rd- and 4th-generation cephalosporins | - | 6 (15.8) | 0.076 |
| Quinolones | 14 (50.0) | 14 (36.8) | 0.285 |
| Aminoglycoside | 4 (14.3) | 6 (15.8) | 0.866 |
| Colistin | 6 (21.4) | 12 (31.6) | 0.360 |
| Fosfomycin | 2 (7.1) | 10 (26.3) | 0.094 |
| Tigecycline | 10 (35.7) | 20 (52.6) | 0.173 |
| Pathogen-specific treatment (%) | |||
| Carbapenem | 16 (57.1) | 16 (42.1) | 0.227 |
| Aminoglycoside | 6 (21.4) | 14 (36.8) | 0.178 |
| Colistin | 16 (57.1) | 16 (42.1) | 0.227 |
| Fosfomycin | 10 (35.7) | 16 (42.1) | 0.599 |
| Tigecycline | 4 (14.3) | 8 (21.1) | 0.098 |
| Trimethoprim–sulfamethoxazole | 2 (7.1) | 4 (10.5) | 0.637 |
Appendix B

References
- Wang, M.; Earley, M.; Chen, L.; Hanson, B.M.; Yu, Y.; Liu, Z.; Salcedo, S.; Cober, E.; Li, L.; Kanj, S.S.; et al. Clinical outcomes and bacterial characteristics of carbapenem-resistant Klebsiella pneumoniae complex among patients from different global regions (CRACKLE-2): A prospective, multicentre, cohort study. Lancet Infect. Dis. 2022, 22, 401–412. [Google Scholar] [CrossRef] [PubMed]
- Sati, H.; Carrara, E.; Savoldi, A.; Hansen, P.; Garlasco, J.; Campagnaro, E.; Boccia, S.; Castillo-Polo, J.A.; Magrini, E.; Garcia-Vello, P.; et al. The WHO Bacterial Priority Pathogens List 2024: A prioritisation study to guide research, development, and public health strategies against antimicrobial resistance. Lancet Infect. Dis. 2025, 25, 1033–1043. [Google Scholar] [CrossRef]
- van Duin, D.; Arias, C.A.; Komarow, L.; Chen, L.; Hanson, B.M.; Weston, G.; Cober, E.; Garner, O.B.; Jacob, J.T.; Satlin, M.J.; et al. Molecular and clinical epidemiology of carbapenem-resistant Enterobacterales in the USA (CRACKLE-2): A prospective cohort study. Lancet Infect. Dis. 2020, 20, 731–741. [Google Scholar] [CrossRef]
- Karampatakis, T.; Tsergouli, K.; Behzadi, P. Carbapenem-Resistant Klebsiella pneumoniae: Virulence Factors, Molecular Epidemiology and Latest Updates in Treatment Options. Antibiotics 2023, 12, 234. [Google Scholar] [CrossRef]
- Tumbarello, M.; Raffaelli, F.; Giannella, M.; Mantengoli, E.; Mularoni, A.; Venditti, M.; De Rosa, F.G.; Sarmati, L.; Bassetti, M.; Brindicci, G.; et al. Ceftazidime-Avibactam Use for Klebsiella pneumoniae Carbapenemase–Producing K. pneumoniae Infections: A Retrospective Observational Multicenter Study. Clin. Infect. Dis. 2021, 73, 1664–1676. [Google Scholar] [CrossRef] [PubMed]
- Zhang, P.; Shi, Q.; Hu, H.; Hong, B.; Wu, X.; Du, X.; Akova, M.; Yu, Y. Emergence of ceftazidime/avibactam resistance in carbapenem-resistant Klebsiella pneumoniae in China. Clin. Microbiol. Infect. 2020, 26, 124.e1–124.e4. [Google Scholar] [CrossRef] [PubMed]
- Wang, Y.; Wang, J.; Wang, R.; Cai, Y. Resistance to ceftazidime–avibactam and underlying mechanisms. J. Glob. Antimicrob. Resist. 2020, 22, 18–27. [Google Scholar] [CrossRef]
- Dumlu, R.; Şahin, M.; Derin, O.; Gül, Ö.; Başgönül, S.; Zengin, R.; Arabacı, Ç.; Şimşek, F.; Gençer, S.; Kocagöz, A.S.; et al. Ceftazidime-Avibactam Versus Polymyxin-Based Combination Therapies: A Study on 30-Day Mortality in Carbapenem-Resistant Enterobacterales Bloodstream Infections in an OXA-48-Endemic Region. Antibiotics 2024, 13, 990. [Google Scholar] [CrossRef] [PubMed]
- Ahmed, F.; Abraham, B.; Kamal Saeed, N.; Mohamed Naser, H.; Sridharan, K. Retrospective Tertiary Care—Based Cohort Study on Clinical Characteristics and Outcomes of Ceftazidime—Avibactam—Resistant Carbapenem—Resistant Klebsiella pneumoniae Infections. Crit. Care Res. Pract. 2024, 2024, 3427972. [Google Scholar] [CrossRef]
- Campogiani, L.; Vitale, P.; Lodi, A.; Imeneo, A.; Fontana, C.; D’agostini, C.; Compagno, M.; Coppola, L.; Spalliera, I.; Malagnino, V.; et al. Resistance to Ceftazidime/Avibactam in Klebsiella pneumoniae KPC-Producing Isolates: A Real-Life Observational Study. Antibiotics 2023, 12, 820. [Google Scholar] [CrossRef]
- Shields, R.K.; Nguyen, M.H.; Chen, L.; Press, E.G.; Kreiswirth, B.N.; Clancy, C.J. Pneumonia and Renal Replacement Therapy Are Risk Factors for Ceftazidime-Avibactam Treatment Failures and Resistance among Patients with Carbapenem-Resistant Enterobacteriaceae Infections. Antimicrob. Agents Chemother. 2018, 62, e02497-17. [Google Scholar] [CrossRef]
- Genç, S.; Kolaylı, F.; Özçelik, E.Y. Molecular characterization of carbapenemase producing Klebsiella pneumoniae strains by multiplex PCR and PFGE methods: The first K. pneumoniae isolates co-producing OXA-48/KPC and KPC/NDM in Turkey. J. Infect. Chemother. 2022, 28, 192–198. [Google Scholar] [CrossRef]
- Fang, J.; Li, H.; Zhang, M.; Shi, G.; Liu, M.; Wang, Y.; Bian, X. Efficacy of Ceftazidime-Avibactam Versus Polymyxin B and Risk Factors Affecting Clinical Outcomes in Patients With Carbapenem-Resistant Klebsiella pneumoniae Infections a Retrospective Study. Front. Pharmacol. 2021, 12, 780940. [Google Scholar] [CrossRef] [PubMed]
- Di Bella, S.; Giacobbe, D.R.; Maraolo, A.E.; Viaggi, V.; Luzzati, R.; Bassetti, M.; Luzzaro, F.; Principe, L. Resistance to ceftazidime/avibactam in infections and colonisations by KPC-producing Enterobacterales: A systematic review of observational clinical studies. J. Glob. Antimicrob. Resist. 2021, 25, 268–281. [Google Scholar] [CrossRef]
- El-Kady, R.A.E.-H.; Elbaiomy, M.A.; Elnagar, R.M. Molecular Mechanisms Mediating Ceftazidime/Avibactam Resistance Amongst Carbapenem-Resistant Klebsiella pneumoniae Isolates from Cancer Patients. Infect. Drug Resist. 2022, 15, 5929–5940. [Google Scholar] [CrossRef]
- Chen, J.; Ma, H.; Huang, X.; Cui, Y.; Peng, W.; Zhu, F.; Ma, S.; Rao, M.; Zhang, P.; Yang, H.; et al. Risk factors and mortality of carbapenem-resistant Klebsiella pneumoniae bloodstream infection in a tertiary-care hospital in China: An eight-year retrospective study. Antimicrob. Resist. Infect. Control. 2022, 11, 161. [Google Scholar] [CrossRef]
- Corcione, S.; De Benedetto, I.; Shbaklo, N.; Torsello, G.; Lupia, T.; Bianco, G.; Cavallo, R.; Brazzi, L.; Montrucchio, G.; De Rosa, F.G. Ceftazidime-Avibactam (C/A) Resistant, Meropenem Sensitive KPC-Producing Klebsiella pneumoniae in ICU Setting: We Are What We Are Treated with? Int. J. Mol. Sci. 2023, 24, 4767. [Google Scholar] [CrossRef]
- Boattini, M.; Bianco, G.; Bastos, P.; Comini, S.; Corcione, S.; Almeida, A.; Costa, C.; De Rosa, F.G.; Cavallo, R. Prevalence and mortality of ceftazidime/avibactam-resistant KPC-producing Klebsiella pneumoniae bloodstream infections (2018–2022). Eur. J. Clin. Microbiol. Infect. Dis. 2023, 43, 155–166. [Google Scholar] [CrossRef]
- Liu, X.; Chu, Y.; Yue, H.; Huang, X.; Zhou, G. Risk factors for and clinical outcomes of ceftazidime-avibactam-resistant carbapenem-resistant Klebsiella pneumoniae nosocomial infections: A single-center retrospective study. Infection 2022, 50, 1147–1154. [Google Scholar] [CrossRef] [PubMed]
- Oliva, A.; Campogiani, L.; Savelloni, G.; Vitale, P.; Lodi, A.; Sacco, F.; Imeneo, A.; Volpicelli, L.; Polani, R.; Raponi, G.; et al. Clinical Characteristics and Outcome of Ceftazidime/Avibactam-Resistant Klebsiella pneumoniae Carbapenemase–Producing Klebsiella pneumoniae Infections: A Retrospective, Observational, 2-Center Clinical Study. Open Forum Infect. Dis. 2023, 10, ofad327. [Google Scholar] [CrossRef] [PubMed]
- Hu, Q.; Chen, J.; Sun, S.; Deng, S. Mortality-Related Risk Factors and Novel Antimicrobial Regimens for Carbapenem-Resistant Enterobacteriaceae Infections: A Systematic Review. Infect. Drug Resist. 2022, 15, 6907–6926. [Google Scholar] [CrossRef] [PubMed]
- Son, J.S.; Song, J.-H.; Ko, K.S.; Yeom, J.S.; Ki, H.K.; Kim, S.-W.; Chang, H.-H.; Ryu, S.Y.; Kim, Y.-S.; Jung, S.-I.; et al. Bloodstream Infections and Clinical Significance of Healthcare-associated Bacteremia: A Multicenter Surveillance Study in Korean Hospitals. J. Korean Med Sci. 2010, 25, 992–998. [Google Scholar] [CrossRef]
- Suh, S.H.; Kim, C.S.; Choi, J.S.; Bae, E.H.; Ma, S.K.; Kim, S.W. Acute Kidney Injury in Patients with Sepsis and Septic Shock: Risk Factors and Clinical Outcomes. Yonsei Med. J. 2013, 54, 965–972. [Google Scholar] [CrossRef] [PubMed]
- Oliva, A.; Volpicelli, L.; Gigante, A.; Di Nillo, M.; Trapani, S.; Viscido, A.; Sacco, F.; Mastroianni, C.M. Impact of renal-adjusted ceftazidime/avibactam in patients with KPC-producing Klebsiella pneumoniae bloodstream infection: A retrospective cohort study. JAC-Antimicrob. Resist. 2024, 6, dlae201. [Google Scholar] [CrossRef] [PubMed]




| Resistant (n = 66) | Susceptible (n = 88) | p | |
|---|---|---|---|
| Demographics | |||
| Age (y), median (IQR) | 73 (66–80) | 70 (63–82) | 0.591 |
| Gender (male), n (%) | 42 (63.6) | 44 (50.0) | 0.092 |
| Comorbidities, n (%) | |||
| Diabetes mellitus | 16 (24.2) | 22 (25.0) | 0.914 |
| Hypertension | 33 (50.0) | 36 (40.9) | 0.262 |
| COPD | 13 (19.7) | 20 (22.7) | 0.650 |
| Chronic kidney disease | 12 (18.2) | 13 (14.8) | 0.570 |
| Coronary artery disease | 25 (21.2) | 18 (20.5) | 0.909 |
| Chronic heart disease | 10 (15.2) | 6 (6.8) | 0.093 |
| Cerebrovascular disease | 20 (30.3) | 17 (19.3) | 0.114 |
| Immunosuppression | 16 (24.2) | 19 (21.6) | 0.698 |
| Malignancy | 16 (24.2) | 23 (26.1) | 0.789 |
| Concomitant infection, n (%) | |||
| Lung | 30 (45.5) | 34 (38.6) | 0.396 |
| Intra-abdominal | 10 (15.2) | 32 (36.4) | 0.003 |
| Catheter-related bloodstream | 18 (27.3) | 18 (20.5) | 0.322 |
| Urinary tract | 8 (12.1) | 7 (8.0) | 0.388 |
| Central nervous system | - | - | - |
| Invasive medical interventions in last month, n (%) | |||
| Central venous catheterization | 56 (84.8) | 64 (72.7) | 0.073 |
| Mechanical ventilation | 52 (78.8) | 60 (68.2) | 0.144 |
| Renal replacement therapy | 18 (27.3) | 21 (23.9) | 0.630 |
| Nasogastric catheterization | 51 (77.3) | 54 (61.4) | 0.055 |
| Urinary catheterization | 57 (86.4) | 73 (83.0) | 0.564 |
| Surgery | 18 (27.3) | 36 (40.9) | 0.079 |
| Laboratory result, median (IQR) | |||
| WBC count (×109/L) | 11.12 (7.11–17.56) | 11.28 (8.83–17.21) | 0.305 |
| Hemoglobin (g/dL) | 8.90 (8.38–9.90) | 9.25 (8.85–9.58) | 0.055 |
| Neutrophil count (109/L) | 8.99 (5.25–15.99) | 9.12 (6.77–14.56) | 0.535 |
| Lymphocyte count (109/L) | 0.97 (0.40–1.44) | 0.82 (0.47–1.69) | 0.901 |
| Platelet count (×109/L) | 194 (126–332) | 147 (100–266) | 0.082 |
| Albumin (g/L) | 26 (23–30) | 26 (23–30) | 0.816 |
| Blood urea nitrogen (mg/dL) | 35 (24–73) | 39 (21–60) | 0.379 |
| Creatinine (mg/dL) | 0.96 (0.68–1.81) | 0.92 (0.56–1.56) | 0.645 |
| Aspartate aminotransferase (U/L) | 28 (16–56) | 40 (23–76) | 0.057 |
| Alanine aminotransferase (U/L) | 29 (19–61) | 35 (23–75) | 0.357 |
| Total bilirubin (mg/dL) | 0.69 (0.31–1.80) | 0.80 (0.59–2.07) | 0.153 |
| C-reactive protein (mg/L) | 179 (134–268) | 178 (127–235) | 0.141 |
| Clinical severity at infection onset, mean ± SD | |||
| INCREMENT-CPE | 8.18 ± 4.13 | 8.36 ± 5.64 | 0.658 |
| Pitt bacteremia score | 7.23 ± 4.36 | 7.25 ± 4.72 | 0.816 |
| qSOFA | 1.90 ± 0.87 | 1.76 ± 1.14 | 0.715 |
| Charlson Comorbidity Index | 7.23 ± 3.04 | 5.74 ± 2.74 | 0.003 |
| Antimicrobial therapy, n (%) | |||
| Inappropriate targeted therapy | 24 (36.4) | 27 (30.7) | 0.458 |
| Inappropriate empirical therapy | 56 (84.8) | 71 (80.7) | 0.501 |
| 30-day mortality, n (%) | 38 (57.6) | 50 (56.8) | 0.925 |
| Length of hospital stay before CRKP infection (days), median (IQR) | 62 (38–141) | 30 (13–56) | <0.001 |
| Variables | Univariate | Multivariate | ||
|---|---|---|---|---|
| OR (95% CI) | p | OR (95% CI) | p | |
| Intra-abdominal infection | 0.31 (0.14–0.70) | 0.004 | 0.67 (0.25–1.84) | 0.442 |
| Charlson Comorbidity Index | 1.20 (1.07–1.35) | 0.003 | 1.271 (1.102–1.466) | 0.001 |
| Prior quinolone use | 2.51 (1.25–5.03) | 0.010 | 1.76 (0.77–4.03) | 0.180 |
| Prior fosfomycin use | 4.67 (1.43–15.22) | 0.011 | 1.90 (0.50–7.19) | 0.345 |
| Length of hospital stay prior to CRKP infection (days) | 1.010 (1.004–1.016) | 0.001 | 1.011 (1.004–1.018) | 0.003 |
| Survivors (n = 28) | Nonsurvivors (n = 38) | p | |
|---|---|---|---|
| Demographics | |||
| Age (y), median (IQR) | 71 (66–79) | 76 (66–80) | 0.298 |
| Gender (male), n (%) | 18 (64.3) | 24 (63.2) | 0.925 |
| Comorbidities, n (%) | |||
| Diabetes mellitus | 8 (28.6) | 8 (21.1) | 0.481 |
| Hypertension | 13 (846.4) | 20 (52.6) | 0.618 |
| COPD | 3 (10.7) | 10 (26.3) | 0.115 |
| Chronic kidney disease | 6 (21.4) | 6 (15.8) | 0.557 |
| Coronary artery disease | 6 (21.4) | 8 (21.1) | 0.971 |
| Chronic heart disease | 4 (14.3) | 6 (15.8) | 0.866 |
| Cerebrovascular disease | 10 (35.7) | 10 (26.3) | 0.412 |
| Immunosuppression | 4 (14.3) | 12 (31.6) | 0.105 |
| Malignancy | 4 (14.3) | 12 (31.6) | 0.105 |
| Concomitant infection, n (%) | |||
| Lung | 8 (28.6) | 22 (57.9) | 0.018 |
| Intra-abdominal | 6 (21.4) | 4 (10.5) | 0.222 |
| Catheter-related bloodstream | 9 (32.1) | 6 (15.8) | 0.117 |
| Urinary tract | 2 (7.1) | 6 (15.8) | 0.287 |
| Central nervous system | - | - | - |
| Invasive medical interventions in last month, n (%) | |||
| Central venous catheterization | 20 (71.4) | 36(94.7) | 0.009 |
| Mechanical ventilation | 18 (64.3) | 34 (89.5) | 0.013 |
| Renal replacement therapy | 6 (21.4) | 12 (31.6) | 0.360 |
| Nasogastric catheterization | 16 (57.1) | 35 (92.1) | 0.001 |
| Urinary catheterization | 22 (78.6) | 35 (92.1) | 0.113 |
| Surgery | 6 (21.4) | 12 (31.6) | 0.360 |
| Laboratory result, median (IQR) | |||
| WBC count (×109/L) | 8.64 (6.54–11.55) | 13.82 (8.23–18.17) | 0.009 |
| Hemoglobin (g/dL) | 9.20 (8.40–10.40) | 8.75 (8.28–9.80) | 0.725 |
| Neutrophil count (109/L) | 6.84 (4.49–10.72) | 10.89 (7.47–17.79) | 0.001 |
| Lymphocyte count (109/L) | 1.01 (0.58–1.42) | 0.90 (0.32–1.55) | 0.604 |
| Platelet count (×109/L) | 224 (183–337) | 158 (97–332) | 0.036 |
| Albumin (g/L) | 26 (22–31) | 26 (23–28) | 0.917 |
| Blood urea nitrogen (mg/dL) | 25 (20–47) | 38 (30–75) | 0.012 |
| Creatinine (mg/dL) | 0.70 (0.43–0.96) | 1.25 (0.82–2.11) | 0.001 |
| Aspartate aminotransferase (U/L) | 22 (16–47) | 45 (18–106) | 0.028 |
| Alanine aminotransferase (U/L) | 25 (19–44) | 40 (19–152) | 0.115 |
| Total bilirubin (mg/dL) | 0.49 (0.30–1.15) | 1.60 (0.58–2.74) | 0.001 |
| C-reactive protein (mg/L) | 239 (144–276) | 168 (118–255) | 0.099 |
| Clinical severity at infection onset, mean ± SD | |||
| INCREMENT-CPE | 5.79 ± 3.73 | 9.95 ± 3.48 | <0.001 |
| Pitt bacteremia score | 4.07 ± 4.27 | 9.55 ± 2.66 | <0.001 |
| qSOFA | 1.50 ± 1.00 | 2.21 ± 0.62 | 0.003 |
| Charlson Comorbidity Index | 7.11 ± 2.69 | 7.32 ± 3.30 | 0.845 |
| Antimicrobial therapy, n (%) | |||
| Inappropriate targeted therapy | 12 (42.9) | 12 (31.6) | 0.347 |
| Inappropriate empirical therapy | 23 (82.1) | 33 (86.8) | 0.425 |
| Variables | Univariate | Multivariate | ||
|---|---|---|---|---|
| OR (95% CI) | p | OR (95% CI) | p | |
| Lung | 2.92 (1.47–5.79) | 0.002 | 1.95 (0.77–4.97) | 0.154 |
| Central venous catheterization | 7.20 (1.39–37.23) | 0.019 | 0.53 (0.07–4.31) | 0.553 |
| Mechanical ventilation | 4.72 (1.29–17.20) | 0.019 | 0.26 (0.04–1.63) | 0.153 |
| Nasogastric catheterization | 8.75 (2.17–35.36) | 0.002 | 5.59 (1.02–30.65) | 0.061 |
| WBC count (×109/L) | 1.12 (1.02–1.23) | 0.014 | 1.04 (0.83–1.30) | 0.731 |
| Neutrophil count (109/L) | 1.14 (1.04–1.25) | 0.007 | 1.05 (0.83–1.32) | 0.676 |
| Platelet count (×109/L) | 0.97 (0.93–1.001) | 0.112 | ||
| Blood urea nitrogen (mg/dL) | 1.02 (0.99–1.04) | 0.107 | ||
| Creatinine (mg/dL) | 2.80 (1.22–6.40) | 0.015 | 1.95 (1.09–3.50) | 0.025 |
| Aspartate aminotransferase (U/L) | 1.01 (1.00–1.02) | 0.052 | ||
| Total biluribine (mg/dL) | 2.85 (1.41–5.75) | 0.003 | 1.16 (0.87–1.55) | 0.295 |
| INCREMENT-CPE | 1.35 (1.15–1.58) | <0.001 | 0.94 (0.79–1.12) | 0.499 |
| Pitt bacteremia score | 1.46 (1.23–1.74) | <0.001 | 1.38 (1.11–1.71) | 0.003 |
| qSOFA | 2.99 (1.46–6.14) | 0.003 | 1.33 (0.48–3.68) | 0.587 |
Disclaimer/Publisher’s Note: The statements, opinions and data contained in all publications are solely those of the individual author(s) and contributor(s) and not of MDPI and/or the editor(s). MDPI and/or the editor(s) disclaim responsibility for any injury to people or property resulting from any ideas, methods, instructions or products referred to in the content. |
© 2025 by the authors. Licensee MDPI, Basel, Switzerland. This article is an open access article distributed under the terms and conditions of the Creative Commons Attribution (CC BY) license (https://creativecommons.org/licenses/by/4.0/).
Share and Cite
Yanık, A.; Karaşahin, Ö. Ceftazidime–Avibactam Resistance in Carbapenem-Resistant Klebsiella pneumoniae Bloodstream Infections: Risk Factors and Clinical Outcomes. Antibiotics 2025, 14, 1085. https://doi.org/10.3390/antibiotics14111085
Yanık A, Karaşahin Ö. Ceftazidime–Avibactam Resistance in Carbapenem-Resistant Klebsiella pneumoniae Bloodstream Infections: Risk Factors and Clinical Outcomes. Antibiotics. 2025; 14(11):1085. https://doi.org/10.3390/antibiotics14111085
Chicago/Turabian StyleYanık, Ayten, and Ömer Karaşahin. 2025. "Ceftazidime–Avibactam Resistance in Carbapenem-Resistant Klebsiella pneumoniae Bloodstream Infections: Risk Factors and Clinical Outcomes" Antibiotics 14, no. 11: 1085. https://doi.org/10.3390/antibiotics14111085
APA StyleYanık, A., & Karaşahin, Ö. (2025). Ceftazidime–Avibactam Resistance in Carbapenem-Resistant Klebsiella pneumoniae Bloodstream Infections: Risk Factors and Clinical Outcomes. Antibiotics, 14(11), 1085. https://doi.org/10.3390/antibiotics14111085

