Rapid and Simple Morphological Assay for Determination of Susceptibility/Resistance to Combined Ciprofloxacin and Ampicillin, Independently, in Escherichia coli
Abstract
1. Introduction
2. Results
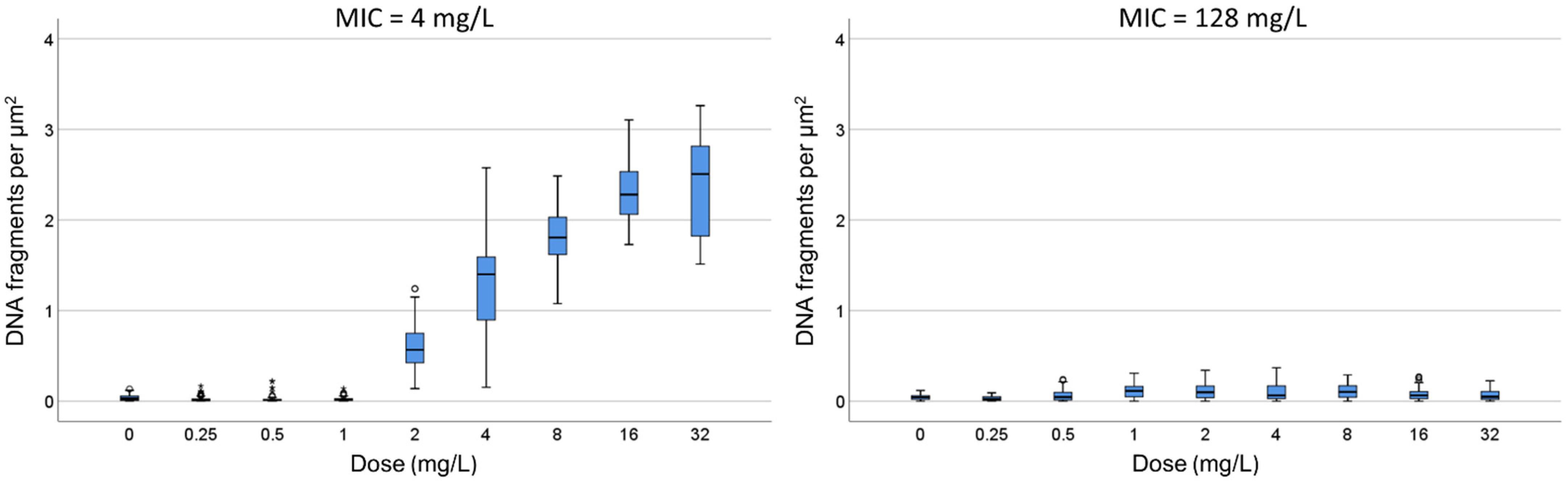
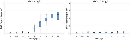
2.1. Dose-Response to Ciprofloxacin
2.2. Dose-Response to Ampicillin
2.3. Dose-Responses to Combined Ciprofloxacin and Ampicillin
2.4. Comparison with the Standard Antibiogram
3. Discussion
4. Materials and Methods
4.1. Bacterial Strains and Minimum Inhibitory Concentration (MIC) Determination
4.2. Technical Processing
4.3. Experiments
4.3.1. Dose-Response to Ciprofloxacin
4.3.2. Dose-Response to Ampicillin
4.3.3. Dose-Responses to Combined Ciprofloxacin and Ampicillin
4.3.4. Comparison with the Standard Antibiogram
4.4. Data Analysis
Supplementary Materials
Author Contributions
Funding
Institutional Review Board Statement
Informed Consent Statement
Data Availability Statement
Acknowledgments
Conflicts of Interest
References
- Peleg, A.Y.; Hooper, D.C. Hospital-acquired infections due to gram-negative bacteria. N. Engl. J. Med. 2010, 362, 1804–1813. [Google Scholar] [CrossRef] [PubMed] [PubMed Central]
- Progress on antibiotic resistance. Nature 2018, 562, 307. [CrossRef] [PubMed]
- Cassini, A.; Högberg, L.D.; Plachouras, D.; Quattrocchi, A.; Hoxha, A.; Simonsen, G.S.; Colomb-Cotinat, M.; Kretzschmar, M.E.; Devleesschauwer, B.; Cecchini, M.; et al. Attributable deaths and disability-adjusted life-years caused by infections with antibiotic-resistant bacteria in the EU and the European Economic Area in 2015: A population-level modelling analysis. Lancet Infect. Dis. 2019, 19, 56–66. [Google Scholar] [CrossRef] [PubMed] [PubMed Central]
- Davey, P.; Marwick, C.A.; Scott, C.L.; Charani, E.; McNeil, K.; Brown, E.; Gould, I.M.; Ramsay, C.R.; Michie, S. Interventions to improve antibiotic prescribing practices for hospital in patients. Cochrane Database Syst. Rev. 2017, 2, CD003543. [Google Scholar] [CrossRef] [PubMed] [PubMed Central]
- Jorgensen, J.H.; Ferraro, M.J. Antimicrobial susceptibility testing: A review of general principles and contemporary practices. Clin. Infect. Dis. 2009, 49, 1749–1755. [Google Scholar] [CrossRef] [PubMed]
- Khan, Z.A.; Siddiqui, M.F.; Park, S. Current and emerging methods of antibiotic susceptibility testing. Diagnostics 2019, 9, 49. [Google Scholar] [CrossRef] [PubMed] [PubMed Central]
- Maugeri, G.; Lychko, I.; Sobral, R.; Roque, A.C.A. Identification and antibiotic-susceptibility profiling of infectious bacterial agents: A review of current and future trends. Biotechnol. J. 2019, 14, e1700750. [Google Scholar] [CrossRef] [PubMed] [PubMed Central]
- Van Belkum, A.; Bachmann, T.T.; Lüdke, G.; Lisby, J.G.; Kahlmeter, G.; Mohess, A.; Becker, K.; Hays, J.P.; Woodford, N.; Mitsakakis, K.; et al. Developmental roadmap for antimicrobial susceptibility testing systems. Nat. Rev. Microbiol. 2019, 17, 51–62. [Google Scholar] [CrossRef] [PubMed] [PubMed Central]
- Datar, R.; Orenga, S.; Pogorelcnik, R.; Rochas, O.; Simner, P.J.; van Belkum, A. Recent Advances in Rapid Antimicrobial Susceptibility Testing. Clin. Chem. 2021, 68, 91–98. [Google Scholar] [CrossRef] [PubMed]
- Syal, K.; Mo, M.; Yu, H.; Iriya, R.; Jing, W.; Guodong, S.; Wang, S.; Grys, T.E.; Haydel, S.E.; Tao, N. Current and emerging techniques for antibiotic susceptibility tests. Theranostics 2017, 7, 1795–1805. [Google Scholar] [CrossRef] [PubMed] [PubMed Central]
- Baltekin, Ö.; Boucharin, A.; Tano, E.; Andersson, D.I.; Elf, J. Antibiotic susceptibility testing in less than 30 min using direct single-cell imaging. Proc. Natl. Acad. Sci. USA 2017, 114, 9170–9175. [Google Scholar] [CrossRef] [PubMed] [PubMed Central]
- Hayden, R.T.; Clinton, L.K.; Hewitt, C.; Koyamatsu, T.; Sun, Y.; Jamison, G.; Perkins, R.; Tang, L.; Pounds, S.; Bankowski, M.J. Rapid antimicrobial susceptibility testing using forward laser light scatter technology. J. Clin. Microbiol. 2016, 54, 2701–2706. [Google Scholar] [CrossRef] [PubMed] [PubMed Central]
- Pulido, M.R.; García-Quintanilla, M.; Martín-Peña, R.; Cisneros, J.M.; McConnell, M.J. Progress on the development of rapid methods for antimicrobial susceptibility testing. J. Antimicrob. Chemother. 2013, 68, 2710–2717. [Google Scholar] [CrossRef] [PubMed]
- Godin, M.; Delgado, F.F.; Son, S.; Grover, W.H.; Bryan, A.K.; Tzur, A.; Jorgensen, P.; Payer, K.; Grossman, A.D.; Kirschner, M.W.; et al. Using buoyant mass to measure the growth of single cells. Nat. Methods 2010, 7, 387–390. [Google Scholar] [CrossRef] [PubMed] [PubMed Central]
- Kinnunen, P.; McNaughton, B.H.; Albertson, T.; Sinn, I.; Mofakham, S.; Elbez, R.; Newton, D.W.; Hunt, A.; Kopelman, R. Self-assembled magnetic bead biosensor for measuring bacterial growth and antimicrobial susceptibility testing. Small 2012, 8, 2477–2482. [Google Scholar] [CrossRef] [PubMed] [PubMed Central]
- Kasas, S.; Malovichko, A.; Villalba, M.I.; Vela, M.E.; Yantorno, O.; Willaert, R.G. Nanomotion detection-based rapid antibiotic susceptibility testing. Antibiotics 2021, 10, 287. [Google Scholar] [CrossRef] [PubMed] [PubMed Central]
- Meile, S.; Kilcher, S.; Loessner, M.J.; Dunne, M. Reporter phage-based detection of bacterial pathogens: Design guidelines and recent developments. Viruses 2020, 12, 944. [Google Scholar] [CrossRef] [PubMed] [PubMed Central]
- Avesar, J.; Rosenfeld, D.; Truman-Rosentsvit, M.; Ben-Arye, T.; Geffen, Y.; Bercovici, M.; Levenberg, S. Rapid phenotypic antimicrobial susceptibility testing using nanoliter arrays. Proc. Natl. Acad. Sci. USA 2017, 114, E5787–E5795. [Google Scholar] [CrossRef] [PubMed] [PubMed Central]
- Hoettges, K.F.; Dale, J.W.; Hughes, M.P. Rapid determination of antibiotic resistance in E. coli using dielectrophoresis. Phys. Med. Biol. 2007, 52, 6001–6009. [Google Scholar] [CrossRef] [PubMed]
- Baldoni, D.; Hermann, H.; Frei, R.; Trampuz, A.; Steinhuber, A. Performance of microcalorimetry for early detection of methicillin resistance in clinical isolates of Staphylococcus aureus. J. Clin. Microbiol. 2009, 47, 774–776. [Google Scholar] [CrossRef] [PubMed] [PubMed Central]
- Alvarez-Barrientos, A.; Arroyo, J.; Cantón, R.; Nombela, C.; Sánchez-Pérez, M. Applications of flow cytometry to clinical microbiology. Clin. Microbiol. Rev. 2000, 13, 167–195. [Google Scholar] [CrossRef] [PubMed] [PubMed Central]
- Dunne, W.M., Jr.; Jaillard, M.; Rochas, O.; Van Belkum, A. Microbial genomics and antimicrobial susceptibility testing. Expert Rev. Mol. Diagn. 2017, 17, 257–269. [Google Scholar] [CrossRef] [PubMed]
- Tamayo, M.; Santiso, R.; Gosalvez, J.; Bou, G.; Fernández, J.L. Rapid assessment of the effect of ciprofloxacin on chromosomal DNA from Escherichia coli using an in situ DNA fragmentation assay. BMC Microbiol. 2009, 9, 69. [Google Scholar] [CrossRef] [PubMed] [PubMed Central]
- Santiso, R.; Tamayo, M.; Fernández, J.L.; del Carmen Fernández, M.; Molina, F.; Villanueva, R.; Gosálvez, J.; Bou, G. Rapid and simple determination of ciprofloxacin resistance in clinical strains of Escherichia coli. J. Clin. Microbiol. 2009, 47, 2593–2595. [Google Scholar] [CrossRef] [PubMed] [PubMed Central][Green Version]
- Santiso, R.; Tamayo, M.; Gosálvez, J.; Bou, G.; Fernández, M.d.C.; Fernández, J.L. A rapid in situ procedure for determination of bacterial susceptibility or resistance to antibiotics that inhibit peptidoglycan biosynthesis. BMC Microbiol. 2011, 11, 191. [Google Scholar] [CrossRef] [PubMed] [PubMed Central]
- Bou, G.; Otero, F.M.; Santiso, R.; Tamayo, M.; Fernández, M.d.C.; Tomás, M.; Gosálvez, J.; Fernández, J.L. Fast assessment of resistance to carbapenems and ciprofloxacin of clinical strains of Acinetobacter baumannii. J. Clin. Microbiol. 2012, 50, 3609–3613. [Google Scholar] [CrossRef] [PubMed] [PubMed Central]
- Tamayo, M.; Santiso, R.; Otero, F.; Bou, G.; Lepe, J.A.; McConnell, M.J.; Cisneros, J.M.; Gosálvez, J.; Fernández, J.L. Rapid determination of colistin resistance in clinical strains of Acinetobacter baumannii by use of the micromax assay. J. Clin. Microbiol. 2013, 51, 3675–3682. [Google Scholar] [CrossRef] [PubMed] [PubMed Central]
- The European Committee on Antimicrobial Susceptibility Testing. Breakpoint Tables for Interpretation of MICs and Zone Diameters. Version 14.0, 2024. Available online: http://www.eucast.org (accessed on 8 January 2024).
- Blair, J.M.; Webber, M.A.; Baylay, A.J.; Ogbolu, D.O.; Piddock, L.J. Molecular mechanisms of antibiotic resistance. Nat. Rev. Microbiol. 2015, 13, 42–51. [Google Scholar] [CrossRef] [PubMed]
- Georgopapadakou, N.H.; Bertasso, A. Effects of quinolones on nucleoid segregation in Escherichia coli. Antimicrob. Agents Chemother. 1991, 35, 2645–2648. [Google Scholar] [CrossRef] [PubMed] [PubMed Central][Green Version]
- Piccoli, L.; Guerrini, M.; Felici, A.; Marchetti, F. In vitro and in vivo synergy of levofloxacin or amikacin both in combination with ceftazidime against clinical isolates of Pseudomonas aeruginosa. J. Chemother. 2005, 17, 355–360. [Google Scholar] [CrossRef] [PubMed]
- Al-Hasan, M.N.; Wilson, J.W.; Lahr, B.D.; Thomsen, K.M.; Eckel-Passow, J.E.; Vetter, E.A.; Tleyjeh, I.M.; Baddour, L.M. Beta-lactam and fluoroquinolone combination antibiotic therapy for bacteremia caused by gram-negative bacilli. Antimicrob. Agents Chemother. 2009, 53, 1386–1394. [Google Scholar] [CrossRef] [PubMed] [PubMed Central]








Disclaimer/Publisher’s Note: The statements, opinions and data contained in all publications are solely those of the individual author(s) and contributor(s) and not of MDPI and/or the editor(s). MDPI and/or the editor(s) disclaim responsibility for any injury to people or property resulting from any ideas, methods, instructions or products referred to in the content. |
© 2024 by the authors. Licensee MDPI, Basel, Switzerland. This article is an open access article distributed under the terms and conditions of the Creative Commons Attribution (CC BY) license (https://creativecommons.org/licenses/by/4.0/).
Share and Cite
López, I.; Otero, F.; Fernández, M.d.C.; Bou, G.; Gosálvez, J.; Fernández, J.L. Rapid and Simple Morphological Assay for Determination of Susceptibility/Resistance to Combined Ciprofloxacin and Ampicillin, Independently, in Escherichia coli. Antibiotics 2024, 13, 676. https://doi.org/10.3390/antibiotics13070676
López I, Otero F, Fernández MdC, Bou G, Gosálvez J, Fernández JL. Rapid and Simple Morphological Assay for Determination of Susceptibility/Resistance to Combined Ciprofloxacin and Ampicillin, Independently, in Escherichia coli. Antibiotics. 2024; 13(7):676. https://doi.org/10.3390/antibiotics13070676
Chicago/Turabian StyleLópez, Isidoro, Fátima Otero, María del Carmen Fernández, Germán Bou, Jaime Gosálvez, and José Luis Fernández. 2024. "Rapid and Simple Morphological Assay for Determination of Susceptibility/Resistance to Combined Ciprofloxacin and Ampicillin, Independently, in Escherichia coli" Antibiotics 13, no. 7: 676. https://doi.org/10.3390/antibiotics13070676
APA StyleLópez, I., Otero, F., Fernández, M. d. C., Bou, G., Gosálvez, J., & Fernández, J. L. (2024). Rapid and Simple Morphological Assay for Determination of Susceptibility/Resistance to Combined Ciprofloxacin and Ampicillin, Independently, in Escherichia coli. Antibiotics, 13(7), 676. https://doi.org/10.3390/antibiotics13070676

