Abstract
Carbapenem-resistant Pseudomonas aeruginosa (P. aeruginosa) strains have become a global threat due to their remarkable capability to survive and disseminate successfully by the acquisition of resistance genes. As a result, the treatment strategies have been severely compromised. Due to the insufficient available data regarding P. aeruginosa resistance from Pakistan, we aimed to investigate the resistance mechanisms of 249 P. aeruginosa strains by antimicrobial susceptibility testing, polymerase chain reaction for the detection of carbapenemases, aminoglycoside resistance genes, extended-spectrum beta-lactamases (ESBLs), sequence typing and plasmid typing. Furthermore, we tested silver nanoparticles (AgNPs) to evaluate their in vitro sensitivity against antimicrobial-resistant P. aeruginosa strains. We observed higher resistance against antimicrobials in the general surgery ward, general medicine ward and wound samples. Phenotypic carbapenemase-producer strains comprised 80.7% (201/249) with 89.0% (179/201) demonstrating genes encoding carbapenemases: blaNDM-1 (32.96%), blaOXA48 (37.43%), blaIMP (7.26%), blaVIM (5.03%), blaKPC-2 (1.12%), blaNDM-1/blaOXA48 (13.97%), blaOXA-48/blaVIM (1.68%) and blaVIM/blaIMP (0.56%). Aminoglycoside-modifying enzyme genes and 16S rRNA methylase variants were detected in 43.8% (109/249) strains: aac(6′)-lb (12.8%), aac(3)-lla (12.0%), rmtB (21.1%), rmtC (11.0%), armA (12.8%), rmtD (4.6%), rmtF (6.4%), rmtB/aac(3)-lla (8.2%), rmtB/aac(6′)-lla (7.3%) and rmtB/armA (3.6%). In total, 43.0% (77/179) of the strains coharbored carbapenemases and aminoglycoside resistance genes with 83.1% resistant to at least 1 agent in 3 or more classes and 16.9% resistant to every class of antimicrobials tested. Thirteen sequence types (STs) were identified: ST235, ST277, ST234, ST170, ST381, ST175, ST1455, ST1963, ST313, ST207, ST664, ST357 and ST348. Plasmid replicon types IncFI, IncFII, IncA/C, IncL/M, IncN, IncX, IncR and IncFIIK and MOB types F11, F12, H121, P131 and P3 were detected. Meropenem/AgNPs and Amikacin/AgNPs showed enhanced antibacterial activity. We reported the coexistence of carbapenemases and aminoglycoside resistance genes among carbapenem-resistant P. aeruginosa with diverse clonal lineages from Pakistan. Furthermore, we highlighted AgNP’s potential role in handling future antimicrobial resistance concerns.
1. Introduction
Pseudomonas aeruginosa (P. aeruginosa) strains exhibit exceptional environmental adaptability due to the larger genome making it competent for massive metabolic flexibility, encoding several virulence factors and extensive efflux pump system. P. aeruginosa is known as a prominent bacterium involved in healthcare-associated nosocomial infections [1,2,3]. Therapeutic options are severely compromised due to the exploitation of acquired and intrinsic resistance mechanisms by multidrug-resistant (MDR) P. aeruginosa [2]. For instance, MDR P. aeruginosa strains appeared more efficiently when different classes of antimicrobials were used sequentially [4]. However, the complexities of the underlying resistance mechanisms of MDR P. aeruginosa do not neatly correlate with the presence of resistance determinants nor with antimicrobial treatment regimes in clinical settings [4,5]. P. aeruginosa core genome carries several transferrable resistance determinants, especially genes encoding for class B carbapenemases or ESBLs, fluoroquinolones and aminoglycoside-modifying enzymes (AMEs) [6,7,8]. Carbapenem-resistant P. aeruginosa (CRPA) strains are considered a major health threat due to a high mortality rate of 20–30% [9,10]. The Antimicrobial Testing Leadership and Surveillance (ATLAS) program recorded approximately 20% CRPA prevalence during 2008 to 2018 [11]. The Chinese Antimicrobial Surveillance Network (CHINET) described 25–30% CRPA prevalence from 2005 to 2018 to 20–24% from 2019 to 2021 [12]. The enduring issue of the emergence of carbapenem resistance among P. aeruginosa has been growing exponentially over time with a significant global prevalence [12,13,14,15,16]. Therefore, CRPA was classified as one of the three critical priority pathogens by the World Health Organization that demands urgent antimicrobial interventions due to exhausted reserves of antibiotics [17].
Although non-carbapenemase-producing CRPA strains due to decreased outer membrane permeability, overexpression of efflux pump genes or increased chromosomal cephalosporinase AmpC production have been prevalent, carbapenemases have significantly contributed to the expansion of CRPA [18,19,20]. Carbapenemases identified among P. aeruginosa are blaNDM-1, blaIMP, blaVIM, blaKPC-2, blaKPC-90 and blaOXA-48 [21,22,23,24,25,26,27,28,29]. Co-resistance of carbapenemases with other resistance-encoding genes in P. aeruginosa is usually linked with high levels of carbapenem resistance [17,30]. Thus, the enzymatic modification of aminoglycosides plays a leading role in promoting resistance by inactivating aminoglycosides [31]. Three different families of plasmid or chromosome-mediated aminoglycoside-modifying enzymes (AMEs) are known with variable action mechanisms including acetyltransferases, phosphotransferases and nucleotidyltransferases [32,33]. Another plasmid-encoded resistance mechanism among P. aeruginosa is the production of 16S rRNA methylases (RMTs), such as armA, rmtA, rmtB, rmtC, rmtD, rmtE and npmA [34]. The co-emergence of aminoglycoside resistance genes, carbapenemases and ESBLs is of great concern due to their rapid transmission by plasmid-mediated horizontal gene transfer [35,36]. Data from Pakistan which would give a clear picture of antimicrobial resistance genes among CRPA are lacking.
The highly variable genome empowers MDR P. aeruginosa to survive and disseminate successfully by clonal expansion in addition to the acquisition of various resistance genes [37]. Therefore, the genetic diversity of P. aeruginosa helped the global dispersion of high-risk clones, such as ST235, ST111, ST233, ST244, ST357, ST308, ST175, ST277, ST654 and ST298 [38,39]. Most of the high-risk clones have metallo β-lactamase (MBL) carbapenemase production; however, ST111 and ST235 have multiple carbapenemase genes besides MBL [40]. Predominant high-risk clone ST235 represents a diverse geographic distribution with a carriage of ESBLs [41,42,43], carbapenemases [44,45,46,47,48], AME genes [8,45] and chloramphenicol resistance genes [42,49]. ST111 was reported from various European countries, India, the USA and Canada with resistance determinants blaVIM-2, blaKPC-2, blaIMP-1, blaIMP-13, blaIMP-18, blaNDM-1, blaGIM, blaOXA-2, blaOXA-17 and aac(6′)-Ib [37,50,51,52,53,54]. Again, insufficient reports regarding the molecular basis for resistance are available from Pakistan. Therefore, the improved knowledge of the transmissible genetic lineages may be helpful in the selection of treatment strategies.
The evolution of epidemic clones jeopardizes all efforts to manage P. aeruginosa infections. One of the possible strategy to manage resistance is to use combination treatment, especially with non-antibiotic drugs that may interact with antibiotics [55,56]. In this context, a prime non-antibiotic treatment is the use of silver nanoparticles (AgNPs) with powerful bactericidal properties against MDR microbes [57]. AgNPs facilitate antimicrobial uptake into bateria and lower the desired antibiotic dose required resulting in enhanced antimicrobial activity [58]. The antimicrobial response of AgNPs against MDR P. aeruginosa is evident from several reports [59,60,61]; however, CRPA has not been studied before.
Given the little information available from Pakistan regarding the contribution of different mechanisms in resistance development among P. aeruginosa strains, we aimed to study the local circulation of carbapenemases, AMEs and RMT resistance genes and the molecular mechanisms that are responsible for rapidly evolving CRPA isolates from Pakistan. Furthermore, we investigated the effect of AgNPs on the in vitro antimicrobial activity of carbapenems and aminoglycosides against CRPA clinical isolates.
2. Results
2.1. Characteristics of Bacterial Strains and Antimicrobial Resistance Profile
Carbapenem-resistant clinical strains of P. aeruginosa (CRPA) were collected from different tertiary healthcare facilities in Lahore from 20 March 2022 to 11 April 2023. Out of 249 strains, 54.2% (n = 135) were obtained from female patients while 45.8% (n = 114) were from males. The clinical strains were retrieved from different clinical wards, sampling sources and age groups (Figure 1A–C). Antimicrobial susceptibility profile showed higher resistance against commonly used antimicrobials as shown in Figure 1D.
Figure 1.
Distribution of clinical strains among (A) hospital wards, (B) sampling source, (C) age groups and (D) antimicrobial susceptibility pattern. Abbreviations: ATM, Aztreonam; CAZ, Ceftazidime; FEP, Cefepime; FOS, Fosfomycin; AK, Amikacin; GEN, Gentamycin; CIP, Ciprofloxacin; PB, Polymyxin B; TZP, Piperacillin Tazobactam.
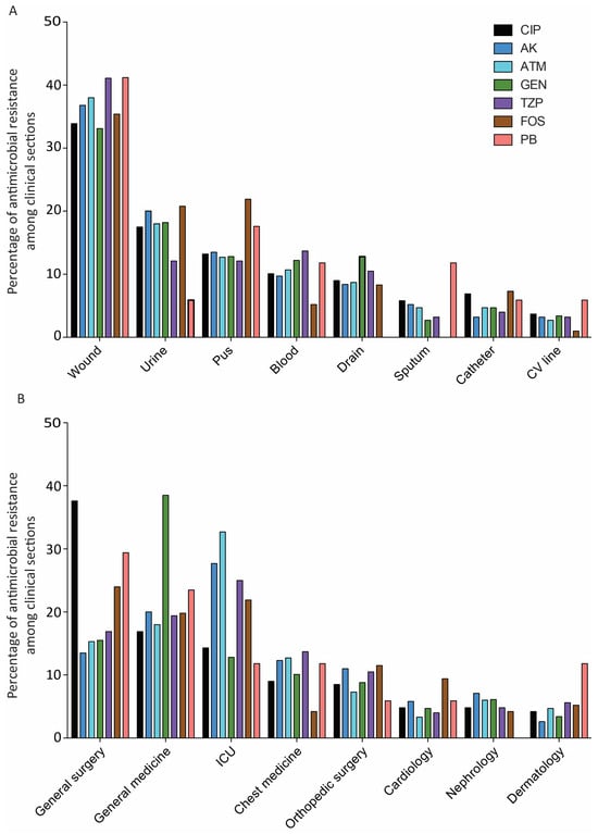
The pattern of antimicrobial resistance dissemination in relation to hospital wards and specimen type demonstrated that higher resistance against antimicrobials was observed in wound samples while higher resistance of ciprofloxacin (CIP) and gentamycin (GEN) was observed in the general surgery ward and general medicine ward, respectively. The results are shown in Figure 2.
Figure 2.
Dissemination of antimicrobial resistance in relation to (A) specimen types and (B) hospital wards. Abbreviations: ATM, Aztreonam; FOS, Fosfomycin; AK, Amikacin; GEN, Gentamycin; CIP, Ciprofloxacin; PB, Polymyxin B; TZP, Piperacillin Tazobactam.
2.2. Genomic Analysis of Antimicrobial Resistance Genes
A total of 80.7% (n = 201) of CRPA clinical strains were phenotypically carbapenemase-producer strains and 19.3% (n = 48) were non-carbapenemase-producer strains. Among carbapenemase-producing strains, 89.0% (n = 179) were positive for carbapenemase-encoding genes including blaNDM-1, blaOXA-48, blaIMP, blaVIM, blaKPC-2, blaNDM-1/blaOXA48, blaOXA-48/blaVIM and blaVIM/blaIMP. On the other hand, all strains were identified as ESBL-producer strains. At the molecular level, ESBL-encoding genes blaSHV, blaCTX-M, blaTEM, blaSHV/blaCTX-M, blaCTX-M/blaTEM, blaSHV/blaTEM and blaSHV/blaCTX-M/blaTEM were detected, while AME and RMT genes were detected in 43.8% (n = 109) strains. The aminoglycoside resistance genes were aac(6′)-lb, aac(3)-lla, rmtB, rmtC, armA, rmtD and rmtF. The detailed results of resistance genes are given in Table 1.
Table 1.
Genomic profile of carbapenem-resistant P. aeruginosa clinical isolates.
The coexistence of carbapenemases and aminoglycoside resistance genes was observed among 43.0% (77/179) of the clinical isolates. The detailed results are given in Table 2.
Table 2.
Molecular and genetic characteristics of carbapenem-resistant P. aeruginosa clinical isolates (n = 77).
2.3. Genetic Variability Profiling and Replicon Typing Analysis
Genetic diversification of P. aeruginosa was determined in terms of clonal lineage analysis and plasmid typing. A total of 13 different sequence types (STs) were identified among the P. aeruginosa clinical strains coharboring carbapenem and aminoglycoside resistance genes (n = 77). The detected STs were ST235 (32.5%, n = 25), ST277 (15.6%, n = 12), ST234 (10.4%, n = 8), ST170 (10.4%, n = 8), ST381 (6.5%, n = 5), ST175 (5.2%, n = 4), ST1455 (5.2%, n = 4), ST1963 (5.2%, n = 4), ST313 (3.9%, n = 3), ST207 (1.3%, n = 1), ST664 (1.3%, n = 1), ST357 (1.3%, n = 1) and ST348 (1.3%, n = 1). It was observed that among the P. aeruginosa clinical strains coharboring carbapenem and aminoglycoside resistance genes, 83.1% (64/77) strains were MDR and 16.9% (13/77) were XDR. P. aeruginosa clinical strains exhibiting an XDR profile belong to ST235 (n = 5), ST170 (n = 2), ST313 (n = 2), ST234 (n = 1), ST277 (n = 1), ST348 (n = 1) and ST381 (n = 1). Furthermore, data from plasmid replicon typing suggested eight different incompatibility groups (Inc) with IncFI, IncFII and IncA/C being the most common among P. aeruginosa strains. Other Inc groups included IncL/M, IncN, IncX, IncR and IncFIIK. On the other hand, MOB typing showed that MOBF (F11, F12) was the prevalent plasmid type followed by MOBH (H121) and MOBP (P131, P3). The detailed results of typing are given in Table 2.
2.4. Antimicrobial Efficacy of Silver Nanoparticles
P. aeruginosa clinical strains coharboring carbapenem and aminoglycoside resistance genes (n = 77) were used to check the antimicrobial efficacy of AgNPs in combination with MEM and AK separately. The bacterial cultures were grown in the presence of meropenem (MEM), amikacin (AK), AgNPs, MEM/AgNPs and AK/AgNPs, and MIC values were recorded. Higher MIC values were noted in the bacterial growth when cultured alone in the presence of MEM, AK and AgNPs. However, a reduction in MIC values was observed in the presence of MEM/AgNPs and AK/AgNPs. The results are given in Table 3.
Table 3.
Antimicrobial efficacy of AgNPs/MEM and AgNPs/AK by ∑FIC values. Synergism ∑FIC value lower than 0.5, Antagonism ∑FIC values above 4.0, Indifferent ∑FIC values 0.5–4.0.
3. Discussion
Antimicrobials’ misuse has resulted in resistance development at an alarming rate against commonly used drugs [62,63]. Patients with resistant P. aeruginosa infections have poorer prognoses, hence constant monitoring is crucial [64]. Due to the lack of data from Pakistan, we herein collected data on CRPA resistance determinants and analyzed the antimicrobial activity of AgNPs.
The emergence of carbapenem resistance due to carbapenemase production has been considered the prime reason for resistance and treatment failure with adverse economic outcomes [65,66,67,68]. We collected 249 CRPA clinical isolates from March 2022 to April 2023 to analyze carbapenem-resistant mechanisms. Previously, variable rates of CRPA prevalence were observed in Pakistan, such as 81.6% in 2019 [69], 60% in 2014 [70], 57% in 2020 [71], 44% in 2022 [21] and 5.12% in 2023 [72]. This variability might be attributed to lower sample size in such studies. On the other hand, global data showed that CRPA prevalence variations based on different geographic locations such as European and Mediterranean countries (ranging from 10.9% in Sweden to 70.5% in Poland) [20], China (89.4%) [12], Egypt (64.2%) [73], Turkey (20%) [74], India (33%) [75] and Nigeria (40%) [76]. Similarly, a multicenter study in 10 different countries reported 22% [77] and the SENTRY surveillance program 23.9% [78].
CRPA infections are challenging to treat due to the presence of intrinsic and acquired resistance to a number of antimicrobials. We observed that CRPA isolates showed higher resistance against CIP (76.0%), AK (62.3%) and GEN (59.7%). Few reports are available in Pakistan, indicating that carbapenem-resistant strains tend to acquire resistance against aminoglycosides for GEN (74.6%, 30%) and AK (81.8%, 57%, 10%) [70,71,79], while variable aminoglycosides rates among CRPA were observed globally such as AK (93.06%, 83.2%, 44.04% 30.4%) and GEN (85.88%, 87.9%, 59.36%, 35.3%) [14,80,81,82,83]. The presence of aminoglycoside resistance among CRPA indicates an urgent need to identify such strains to avoid therapeutic failures and devise early antibiotic treatment strategies.
Our data revealed that the main reservoirs of CRPA were the general surgery ward, general medicine ward and ICU, while the ICU was reported as the main recovery site of CRPA previously [3,73,80,84]. Urine and wound samples were observed to be the common source of CRPA infection as observed previously [73,85]. However, other sources reported including blood, cerebrospinal fluid, respiratory tract, musculoskeletal and genitourinary infections [3,14,18]. The predominant age group in our study was 31–40 years. Our data are in contrast with previously reported age groups such as 41–60 years from Pakistan [72], >60 years of age from China [12,79], 46–60 years from India [86] and 45–65 years from England [87]. It is evident from these reports that CRPA infections are frequently reported in old age group; however, its incidence among age groups 31–45 years and <20 years has been described in India and Oman [86,88].
Non-carbapenemase-producing carbapenem resistance mechanisms have been more prevalent among P. aeruginosa; however, the current emergence of carbapenemases is playing a critical role in resistance development [18,20,89,90,91]. It has been reported that carbapenemase-producing CRPA infections are associated with higher mortality rates than non-carbapenemase-producing CRPA infections [18]. Our analysis demonstrated 80.7% carbapenemase producer CRPA isolates, which is higher as compared to global reports such as 25.07% and 33% from 17 health facilities in 12 countries [90,91]. However, variable rates are reported in Pakistan: 18.4% and 52% [21,92]. The variability observed among carbapenemase-producing CRPA prevalence might be due to the deficient testing efforts for detecting P. aeruginosa carbapenemase production suggesting a possible higher prevalence than reported [91].
Molecular screening for the carbapenemases in our study identified carbapenemase-encoding genes, blaNDM-1, blaOXA-48, blaIMP, blaVIM, blaKPC-2, blaNDM-1/blaOXA48, blaOXA-48/blaVIM and blaVIM/blaIMP, while aminoglycoside resistance genes among carbapenemase-producing CRPA were aac(6′)-lb, aac(3)-lla, rmtB, rmtC, armA, rmtD and rmtF. Previous reports from Pakistan detected blaNDM-1, blaIMP, blaVIM, blaOXA-48 carbapenemases in CRPA [21,71,72,85,93,94]. These findings are supported by various global reports [14,73,90,95,96,97,98,99,100,101]. On the other hand, the detection of blaKPC among CRPA was reported infrequently in Pakistan [94]; however, an increasing trend in the global dissemination of blaKPC-harboring P. aeruginosa has been observed [22,28,102,103,104,105,106,107,108]. To the best of our knowledge, the aminoglycoside resistance genes among carbapenemase-producing CRPA were not detected previously from Pakistan; however, one report described the presence of aph(3′)-IIb and aac(6′)-II among P. aeruginosa isolates [109]. It has been reported that AME-encoding gene aac(6′)-II is significantly associated with GEN resistance in P. aeruginosa [110]. Moreover, several global reports described that the aminoglycoside resistance genes are involved in conferring resistance to P. aeruginosa [73,111,112,113,114].
Our data showed the coexistence of carbapenemases and aminoglycoside resistance genes among CRPA clinical isolates. This finding is uncommon, as only a few reports are available that have identified such an association in Korea, Sweden and Greece [115], including blaNDM-1/rmtC, blaNDM-1/rmtC/rmtF, blaNDM-1/rmtC/blaTEM-1/blaCTX-M-15 from India [116], rmtD/blaSPM-1 from Brazil [117,118] and blaNDM-1/blaVIM/rmtB, blaNDM-1/rmtB/aac(6′)lb, blaNDM-1/rmtF/armA from Egypt [73]. However, coharbored resistance genes are reported among other species worldwide, such as armA/blaVIM-1 in K. pneumoniae [119], armA/blaKPC-2 in K. pneumoniae, [120] and armA/blaNDM-1 in E. coli, K. pneumoniae and P. stuartii [121,122,123,124]. These findings pointed out the difficulty in treating CRPA due to the acquisition of multiple resistance-encoding genes.
The composition of the genetic makeup plays a significant role in the accelerated spread of high-risk clones with distinctive geographical locations. We identified 13 different STs coharboring carbapenem and aminoglycoside resistance genes, including ST235, ST277, ST234, ST170, ST381, ST175, ST1455, ST1963, ST313, ST207, ST664, ST357 and ST348. Previous studies from Pakistan described ST3493, ST3494, ST3472, ST3489, ST3491, ST3492 and ST664 among P. aeruginosa isolates [93,109]. However, global data showed a diverse range of STs [40,102,125,126]. In our study, two high-risk clones ST235 and ST277 were identified. ST235 has been described as a critical virulent clone with extraordinary properties to obtain mobile genetic elements, thereby involved in the dissemination of multiple resistance-encoding genes with a successful history of global transmission [127,128,129,130,131,132]. On the other hand, ST277 is identified mainly from Brazil with blaSPM-1 carbapenemase [133,134,135,136,137], with rare reports from the UK and Japan with blaIMP-1 carbapenemase detection [37,137,138]. Therefore, the detection of ST277 from Pakistan is alarming.
The genomic plasticity of CRPA is exceptional due to the assorted classes of plasmids. We observed eight different plasmid Inc groups IncFI, IncFII, IncA/C, IncL/M, IncN, IncX, IncR and IncFIIK with MOBF, MOBH and MOBP as more prevalent plasmid types. Another study reported IncH1, IncFIB, IncFI, IncL/M, IncX, IncR, IncA/C, IncL/M, IncW, IncColE, IncFIS and MOBP, MOBF, MOBQ11 among P. aerugonisa strains [75]. A high prevalence of IncF and IncH plasmid replicon types was reported in ESBL-positive P. aeruginosa isolates [139]. However, the Inc groups identified in different microbial species in the presence of aminoglycoside resistance genes are IncL/M, IncN, IncA/C, IncFII, IncF and IncFI [120,121,123,140,141,142,143,144,145]. Therefore, the management of P. aeruginosa infections is becoming problematic due to the highly variable genome, resulting in the resistance development against routinely used antimicrobial drugs.
In this regard, AgNPs earned attention due to their antimicrobial activity with efficient cell membrane penetration [146]. Antimicrobial-loaded nanoparticles have been extensively used for the inhibition of P. aeruginosa infections previously [147]. In vitro studies have proved the significant antimicrobial effects on P. aeruginosa isolates with effective growth inhibition [146,148]. Specifically, the antimicrobial and nanoparticle combination proved to enhance antimicrobial efficacy, such as AMP/AgNPs possessing better killing efficiency of ampicillin-resistant P. aeruginosa isolates [2,149,150]. We observed a significant reduction in the MIC values of CRPA in the presence of MEM/AgNPs and AK/AgNPs.
4. Conclusions
Our study contributed to understanding the antimicrobial resistance pattern existing among P. aeruginosa clinical isolates from Pakistan. We described the coexistence of carbapenemases and aminoglycoside resistance genes among CRPA with diverse clonal lineages from Pakistan for the first time. Furthermore, augmented antimicrobial activity of MEM/AgNPs and AK/AgNPs was identified, highlighting AgNPs’ potential role in handling future AMR issues. Therefore, constant monitoring efforts are warranted to develop effective strategies for the control of CRPA and to reduce the incidence of untreatable infections in clinical settings.
5. Materials and Methods
5.1. Sampling and Identification of Clinical Strains
During the period of 20 March 2022 to 11 April 2023, a total of 249 clinical strains of carbapenem-resistant P. aeruginosa were identified and collected from patients who attended different tertiary healthcare facilities in Lahore, Punjab, Pakistan. Strains were phenotypically characterized by analyzing colony morphology and Grams’s staining by culturing on MacConkey agar and cysteine lactose electrolyte-deficient media (Oxoid Ltd., Basingstoke, UK) for urine samples. Strains were biochemically characterized by API-20NE (BioMerieux, Marcy-IEtoile, France).
5.2. Antimicrobial Susceptibility Profile Analysis
Standard Kirby–Bauer disc diffusion method was used for antimicrobial susceptibility testing by using Mueller–Hinton agar (MHA) (Oxoid, Ltd., Basingstoke, UK), according to the guidelines of “Performance Standards for Antimicrobial Disc Susceptibility Tests; CLSI Supplement M100, 30th Edition”. Antimicrobial discs from different classes were used as follows: Carbapenems: imipenem (IMP, 10 µg) and meropenem (MEM, 10 µg); Cephalosporins: ceftazidime (CAZ, 30 µg) and cefepime (FEP, 30 µg); Monobactam: aztreonam (ATM, 30 µg); Phosphonic acids: fosfomycin (FOS, 50 µg); Aminoglycosides: amikacin (AK, 10 µg) and gentamycin (GEN, 10 µg); Fluoroquinolone: ciprofloxacin (CIP, 5 µg) (Oxoid, Ltd., Basingstoke, UK). The standard broth microdilution method was used for Polymyxin B as per CLSI recommendation (MIC breakpoints; intermediate ≤ 2, resistant ≥ 4). Quality control strains were E. coli ATCC 25922 and P. aeruginosa ATCC 27853. The categorization of resistance phenotype was carried out according to criteria described by Magiorakos [151]: XDR, resistant to at least one agent in all but susceptible to two or fewer antimicrobial classes; MDR, resistant to at least one agent in three or more antimicrobial categories; PDR, resistant to all antimicrobial classes.
Modified carbapenem inactivation method (mCIM) was used to determine carbapenemase production by bacterial strains [152]. In brief, 2 to 3 bacterial growth colonies were mixed with 2 mL of tryptone soy broth (TSB media; ThermoFischer Scientific, Waltham, MA, USA). Under sterile conditions, MEM disc (10 µg) was added into the bacterial suspension and incubated at 35 °C ± 2 °C for 4 h. Meantime, mCIM indicator strain suspension (carbapenem-sensitive strain; E. coli ATCC 25922) was prepared at a turbidity equivalent to 0.5 McFarland and inoculated on MHA (Oxoid, UK) plate. After 4 h incubation of bacterial strain in TSB media, the MEM disc was transferred to inoculate the MHA plate with indicator strain. Quality control strain K. pneumoniae ATCC BAA-1705 was used. The plate was incubated for 18 to 24 h at 35 °C ± 2 °C. CHROMagarTM ESBL media (CHROMagar, Paris, France) was used to identify ESBL-producer strains.
5.3. Molecular Identification of P. aeruginosa and Antibiotic Resistance Genes Detection
Genomic DNA was extracted from bacterial cultures by heat lysis method [153]. Briefly, 500 μL sterile dH2O was taken in a 1.5 mL microcentrifuge tube and 3–5 bacterial colonies were added to it. Samples were mixed by vortexing for a few seconds. Incubation of bacterial colonies was performed at 98 °C for 10 min at 300 rpm in a thermomixer (Fischerscientific, Waltham, MA, USA). The sample was centrifuged at 1000 rpm for 10 min and the supernatant containing DNA was collected in a new tube. DNA was stored at −80 °C until further processing. The molecular identification of P. aeruginosa was performed by polymerase chain reaction (PCR) of 16S rDNA-based primers as described before [154]. Standard PCR was used to detect carbapenem resistance-encoding genes (blaNDM-1, blaOXA-48, blaKPC-2, blaVIM and blaIMP), ESBLs (blaSHV, blaTEM and blaCTX-M) and aminoglycoside resistance genes (aac(6′)-lb, aac(3)-lla, rmtB, rmtC, armA, rmtD, rmtF) [73]. Genomic DNA was amplified in 50 μL reaction volume containing 25 μL of 2x PCR Master Mix (catalog # K0171, Thermoscientific, Waltham, MA, USA), 10 pM of each primer, 300 ng of DNA and dH2O up to 50 μL in a thermal cycler (Proflex PCR system, Thermo Fischer Scientific, Waltham, MA, USA). Amplicons were resolved and analyzed by agarose gel electrophoresis (1–1.5%) stained with SyberTM Safe DNA gel stain (catalog # S33102, Thermoscientific, Waltham, MA, USA) and gel documentation system (G:BOX iChemiXT, Syngene, Cambridge, UK). The primer sequences and PCR cycling conditions are given in Table 4.
Table 4.
Primers used for PCR and sequencing.
5.4. Determination of blaNDM and blaKPC Alleles
For blaNDM and blaKPC allele determination, Sanger’s sequencing method was applied by using the BigDye Terminator v3.1 kit for cycle sequencing as per kit recommendations. Cycle sequencing PCR was carried out in 10 μL PCR reaction volume containing 4 μL BigDye terminator 3.1 Ready Reaction Mix, 0.5 μL (3.2 pmol) forward primer, 2 μL purified DNA template (5–20 ng) and 3.5 μL dH2O. The following PCR cycling conditions were used: 96 °C 1 min, 96 °C 10 s, 50 °C 5 s, 60 °C 2 min (35 cycles). Purification of PCR product was carried out by using the BigDye XTerminator purification kit. The capillary electrophoresis was carried out by Genetic Analyzer (ABI-3500, Thermo Fischer, Waltham, MA, USA). Sequencing analysis software v6.1 and basic local alignment tools (BLAST, NCBI) were used for data analysis and interpretation. CLC Sequence Viewer 7 version 7.0.2 was used for sequence alignment and mutation analysis.
5.5. Multilocus Sequence Typing and Plasmid Typing
Multilocus sequence typing (MLST) analysis was performed on selected P. aeruginosa strains coharboring carbapenemase resistance encoding genes and AME/RMT genes (n = 77). The following seven housekeeping genes were used for amplification and sequencing [155]: acetyl coenzyme A synthetase (acsA), shikimate dehydrogenase (aroE), GMP synthase (guaA), DNA mismatch repair protein (mutL), NADH dehydrogenase I chain C, D (nuoD), phosphoenolpyruvate synthase (ppsA) and anthralite synthetase component I (trpE). The amplification PCR was carried out in a 50 μL reaction mixture comprised of 25 μL of 2x PCR Master Mix (catalog # K0171, Thermoscientific, Waltham, MA, USA), 1 μL of each primer (10 pM), 2 μL (2 ng) of DNA and 22 μL dH2O in a thermal cycler (Proflex PCR system, Thermo Fischer Scientific, Waltham, MA, USA). Agarose gel electrophoresis (1–1.5%) was used to analyze the amplified product. The amplified product was purified by using a GeneJET PCR purification kit (catalog # K0701, Thermo Fischer Scientific, Waltham, MA, USA) and further subjected to sequencing analysis as described above. The primer sequences used for PCR amplification, PCR sequencing, amplicon size and annealing temperatures are given in Table 4. MLST database https://pubmlst.org/bigsdb?db=pubmlst_paeruginosa_seqdef was used for assigning sequence types [156] (accessed on 6–22 July 2023).
Plasmid DNA was extracted from a single colony of P. aeruginosa by using the plasmid isolation kit (ThermoFischer Scientific, Waltham, MA, USA). Plasmid classification was performed according to their incompatibility groups by using the PCR-based replicon typing (PBRT) method as described previously [157]. Furthermore, Degenerate Primer MOB Typing was used for the classification of γ-proteobacterial transmissible plasmids in five phylogenetic relaxase MOB families (MOBF, MOBP, MOBQ, MOBH and MOBC) [158].
5.6. Evaluation of Antimicrobial Activity of AgNPs
The broth microdilution checkerboard method was used to evaluate the antimicrobial activity of AgNPs, MEM and AK against the P. aeruginosa strains coharboring carbapenem and aminoglycoside resistance genes. AgNPs were purchased from Sigma (Cat # 730785, Sigma-Aldrich, St. Louis, MO, USA). The particle size of AgNPs was 10 nm with a solution concentration of 20 μg/mL in aqueous buffer containing sodium citrate as a stabilizer. MEM, AK and AgNP dilutions were prepared in Mueller Hinton broth, and bacterial cultures were prepared at a concentration of 0.5 McFarland (108 CFU/mL) and further diluted to 1:100 to reach the final concentration of 106 CFU/mL. In a sterile 96-well microtiter plate, each well was inoculated with 100 μL of diluted bacterial suspension and mixed with antibiotic solution. All tests were conducted in duplicate with a growth control without the addition of antibiotics and with sodium citrate addition. The inoculated microtiter plate was incubated at 37 °C for 18 h. After incubation, the fractional inhibitory concentration index (∑FIC) was calculated by dividing the individual MIC of treatments by MIC of the combination drugs. ∑FIC value lower than 0.5 showed synergistic effect, values between 0.5 and 4.0 indifferent and values above 4 antagonistic effect [159].
Author Contributions
Conceptualization, A.J.G. and N.Y.; data curation, A.J.G., A.N. and N.Y.; formal analysis, A.J.G., N.C., A.N. and N.Y.; funding acquisition, N.C.; investigation, A.J.G., A.N. and N.Y.; methodology, A.J.G. and N.Y.; project administration, N.C. and N.Y.; resources, N.C., A.N. and N.Y.; software, A.J.G. and N.Y.; supervision, N.C. and N.Y.; validation, A.J.G. and N.Y.; writing—original draft, N.Y.; writing—review and editing, A.J.G. All authors have read and agreed to the published version of the manuscript.
Funding
The research work was funded by King Edward Medical University, Lahore, Pakistan via grant no. 132/RC/KEMU, dated 9 February 2021.
Institutional Review Board Statement
The study was conducted in accordance with the Declaration of Helsinki, and approved by the Institutional Review Board of King Edward Medical University, Lahore, Pakistan via no. 132/RC/KEMU, dated 9 February 2021.
Informed Consent Statement
Informed consent was obtained from the study participants.
Data Availability Statement
The data used to support the findings of this study are available from the corresponding author upon request.
Conflicts of Interest
The authors declare no conflicts of interest.
References
- Barbier, F.; Andremont, A.; Wolff, M.; Bouadma, L. Hospital-acquired pneumonia and ventilator-associated pneumonia: Recent advances in epidemiology and management. Curr. Opin. Pulm. Med. 2013, 19, 216–228. [Google Scholar] [CrossRef]
- Pang, Z.; Raudonis, R.; Glick, B.R.; Lin, T.-J.; Cheng, Z. Antibiotic resistance in Pseudomonas aeruginosa: Mechanisms and alternative therapeutic strategies. Biotechnol. Adv. 2019, 37, 177–192. [Google Scholar] [CrossRef]
- Pottier, M.; Gravey, F.; Castagnet, S.; Auzou, M.; Langlois, B.; Guérin, F.; Giard, J.-C.; Léon, A.; Le Hello, S. A 10-year microbiological study of Pseudomonas aeruginosa strains revealed the circulation of populations resistant to both carbapenems and quaternary ammonium compounds. Sci. Rep. 2023, 13, 2639. [Google Scholar] [CrossRef]
- Yasuda, N.; Fujita, T.; Fujioka, T.; Tagawa, M.; Kohira, N.; Torimaru, K.; Shiota, S.; Kumagai, T.; Morita, D.; Ogawa, W.; et al. Effects of the order of exposure to antimicrobials on the incidence of multidrug-resistant Pseudomonas aeruginosa. Sci. Rep. 2023, 13, 8826. [Google Scholar] [CrossRef]
- Cortes-Lara, S.; del Barrio-Tofiño, E.; López-Causapé, C.; Oliver, A.; Martínez-Martínez, L.; Bou, G.; Zamorano, L.; Sánchez-Diener, I.; Galán, F.; Gracia, I. Predicting Pseudomonas aeruginosa susceptibility phenotypes from whole genome sequence resistome analysis. Clin. Microbiol. Infect. 2021, 27, 1631–1637. [Google Scholar] [CrossRef]
- Hwang, W.; Yoon, S.S. Virulence characteristics and an action mode of antibiotic resistance in multidrug-resistant Pseudomonas aeruginosa. Sci. Rep. 2019, 9, 487. [Google Scholar] [CrossRef]
- Ramanathan, B.; Jindal, H.M.; Le, C.F.; Gudimella, R.; Anwar, A.; Razali, R.; Poole-Johnson, J.; Manikam, R.; Sekaran, S.D. Next generation sequencing reveals the antibiotic resistant variants in the genome of Pseudomonas aeruginosa. PLoS ONE 2017, 12, e0182524. [Google Scholar] [CrossRef]
- Treepong, P.; Kos, V.; Guyeux, C.; Blanc, D.; Bertrand, X.; Valot, B.; Hocquet, D. Global emergence of the widespread Pseudomonas aeruginosa ST235 clone. Clin. Microbiol. Infect. 2018, 24, 258–266. [Google Scholar] [CrossRef]
- Lodise, T.P.; Bassetti, M.; Ferrer, R.; Naas, T.; Niki, Y.; Paterson, D.L.; Zeitlinger, M.; Echols, R. All-cause mortality rates in adults with carbapenem-resistant Gram-negative bacterial infections: A comprehensive review of pathogen-focused, prospective, randomized, interventional clinical studies. Expert Rev. Anti-Infect. Ther. 2022, 20, 707–719. [Google Scholar] [CrossRef]
- Murray, C.J.; Ikuta, K.S.; Sharara, F.; Swetschinski, L.; Aguilar, G.R.; Gray, A.; Han, C.; Bisignano, C.; Rao, P.; Wool, E. Global burden of bacterial antimicrobial resistance in 2019: A systematic analysis. Lancet 2022, 399, 629–655. [Google Scholar] [CrossRef]
- Rossolini, G.M.; Bochenska, M.; Fumagalli, L.; Dowzicky, M. Trends of major antimicrobial resistance phenotypes in enterobacterales and gram-negative non-fermenters from ATLAS and EARS-net surveillance systems: Italian vs. European and global data, 2008–2018. Diagn. Microbiol. Infect. Dis. 2021, 101, 115512. [Google Scholar] [CrossRef]
- Zhao, Y.; Chen, D.; Chen, K.; Xie, M.; Guo, J.; Chan, E.W.C.; Xie, L.; Wang, J.; Chen, E.; Chen, S.; et al. Epidemiological and genetic characteristics of clinical carbapenem-resistant Pseudomonas aeruginosa strains in Guangdong Province, China. Microbiol. Spectr. 2023, 11, e04261-22. [Google Scholar] [CrossRef]
- Abdeta, A.; Negeri, A.A.; Beyene, D.; Adamu, E.; Fekede, E.; Fentaw, S.; Tesfaye, M.; Wakoya, G.K. Prevalence and trends of carbapenem-resistant Pseudomonas aeruginosa and Acinetobacter species isolated from clinical specimens at the Ethiopian public health institute, Addis Ababa, Ethiopia: A Retrospective Analysis. Infect. Drug Resist. 2023, 16, 1381–1390. [Google Scholar] [CrossRef]
- Lee, Y.-L.; Ko, W.-C.; Hsueh, P.-R. Geographic patterns of carbapenem-resistant Pseudomonas aeruginosa in the Asia-Pacific Region: Results from the Antimicrobial Testing Leadership and Surveillance (ATLAS) program, 2015–2019. Antimicrob. Agents Chemother. 2022, 66, e02000-21. [Google Scholar] [CrossRef]
- Ssekatawa, K.; Byarugaba, D.K.; Wampande, E.; Ejobi, F. A systematic review: The current status of carbapenem resistance in East Africa. BMC Res. Notes 2018, 11, 629. [Google Scholar] [CrossRef]
- Kunz Coyne, A.J.; El Ghali, A.; Holger, D.; Rebold, N.; Rybak, M.J. Therapeutic strategies for emerging multidrug-resistant Pseudomonas aeruginosa. Infect. Dis. Ther. 2022, 11, 661–682. [Google Scholar] [CrossRef]
- Tacconelli, E.; Carrara, E.; Savoldi, A.; Harbarth, S.; Mendelson, M.; Monnet, D.L.; Pulcini, C.; Kahlmeter, G.; Kluytmans, J.; Carmeli, Y.; et al. Discovery, research, and development of new antibiotics: The WHO priority list of antibiotic-resistant bacteria and tuberculosis. Lancet Infect. Dis. 2018, 18, 318–327. [Google Scholar] [CrossRef]
- Reyes, J.; Komarow, L.; Chen, L.; Ge, L.; Hanson, B.M.; Cober, E.; Herc, E.; Alenazi, T.; Kaye, K.S.; Garcia-Diaz, J.; et al. Global epidemiology and clinical outcomes of carbapenem-resistant Pseudomonas aeruginosa and associated carbapenemases (POP): A prospective cohort study. Lancet Microbe 2023, 4, e159–e170. [Google Scholar] [CrossRef]
- Van Duin, D.; Arias, C.A.; Komarow, L.; Chen, L.; Hanson, B.M.; Weston, G.; Cober, E.; Garner, O.B.; Jacob, J.T.; Satlin, M.J.; et al. Molecular and clinical epidemiology of carbapenem-resistant Enterobacterales in the USA (CRACKLE-2): A prospective cohort study. Lancet Infect. Dis. 2020, 20, 731–741. [Google Scholar] [CrossRef]
- Castanheira, M.; Deshpande, L.M.; Costello, A.; Davies, T.A.; Jones, R.N. Epidemiology and carbapenem resistance mechanisms of carbapenem-non-susceptible Pseudomonas aeruginosa collected during 2009–11 in 14 European and Mediterranean countries. J. Antimicrob. Chemother. 2014, 69, 1804–1814. [Google Scholar] [CrossRef]
- Gondal, A.J.; Choudhry, N.; Bukhari, H.; Rizvi, Z.; Jahan, S.; Yasmin, N. Estimation, evaluation and characterization of carbapenem resistanceburden from a tertiary care hospital, Pakistan. Antibiotics 2023, 12, 525. [Google Scholar] [CrossRef] [PubMed]
- Hu, Y.; Liu, C.; Wang, Q.; Zeng, Y.; Sun, Q.; Shu, L.; Lu, J.; Cai, J.; Wang, S.; Zhang, R.; et al. Emergence and expansion of a carbapenem-resistant Pseudomonas aeruginosa clone are associated with plasmid-borne blaKPC-2 and virulence-related genes. Msystems 2021, 6, e00154-21. [Google Scholar] [CrossRef] [PubMed]
- Nakayama, R.; Inoue-Tsuda, M.; Matsui, H.; Ito, T.; Hanaki, H. Classification of the metallo β-lactamase subtype produced by the carbapenem-resistant Pseudomonas aeruginosa isolates in Japan. J. Infect. Chemother. 2022, 28, 170–175. [Google Scholar] [CrossRef] [PubMed]
- Ngoi, S.T.; Chong, C.W.; Ponnampalavanar, S.S.L.S.; Tang, S.N.; Idris, N.; Abdul Jabar, K.; Gregory, M.J.; Husain, T.; Teh, C.S.J. Genetic mechanisms and correlated risk factors of antimicrobial-resistant ESKAPEE pathogens isolated in a tertiary hospital in Malaysia. Antimicrob. Resist. Infect. Control 2021, 10, 70. [Google Scholar] [CrossRef]
- Park, Y.; Koo, S.H. Epidemiology, molecular characteristics, and virulence factors of carbapenem-resistant Pseudomonas aeruginosa isolated from patients with urinary tract infections. Infect. Drug Resist. 2022, 15, 141–151. [Google Scholar] [CrossRef]
- Ramadan, H.K.-A.; Mahmoud, M.A.; Aburahma, M.Z.; Elkhawaga, A.A.; El-Mokhtar, M.A.; Sayed, I.M.; Hosni, A.; Hassany, S.M.; Medhat, M.A. Predictors of severity and co-infection resistance profile in COVID-19 patients: First report from upper Egypt. Infect. Drug Resist. 2020, 13, 3409–3422. [Google Scholar] [CrossRef]
- Tartari, D.C.; Zamparette, C.P.; Martini, G.; Christakis, S.; Costa, L.H.; de Oliveira Silveira, A.C.; Sincero, T.C.M. Genomic analysis of an extensively drug-resistant Pseudomonas aeruginosa ST312 harbouring IncU plasmid-mediated blaKPC-2 isolated from ascitic fluid. J. Glob. Antimicrob. Resist. 2021, 25, 151–153. [Google Scholar] [CrossRef] [PubMed]
- Tu, Y.; Wang, D.; Zhu, Y.; Li, J.; Jiang, Y.; Wu, W.; Li, X.; Zhou, H. Emergence of a KPC-90 variant that confers resistance to ceftazidime-avibactam in an ST463 carbapenem-resistant Pseudomonas aeruginosa strain. Microbiol. Spectr. 2022, 10, e01869-21. [Google Scholar] [CrossRef] [PubMed]
- Wendel, A.F.; Malecki, M.; Mattner, F.; Xanthopoulou, K.; Wille, J.; Seifert, H.; Higgins, P.G. Genomic-based transmission analysis of carbapenem-resistant Pseudomonas aeruginosa at a tertiary care centre in Cologne (Germany) from 2015 to 2020. JAC-Antimicrob. Resist. 2022, 4, dlac057. [Google Scholar] [CrossRef]
- Giani, T.; Arena, F.; Pollini, S.; Di Pilato, V.; D’Andrea, M.M.; Henrici De Angelis, L.; Bassetti, M.; Rossolini, G.M. Italian nationwide survey on Pseudomonas aeruginosa from invasive infections: Activity of ceftolozane/tazobactam and comparators, and molecular epidemiology of carbapenemase producers. J. Antimicrob. Chemother. 2018, 73, 664–671. [Google Scholar] [CrossRef]
- Ratjen, F.; Brockhaus, F.; Angyalosi, G. Aminoglycoside therapy against Pseudomonas aeruginosa in cystic fibrosis: A review. J. Cyst. Fibros. 2009, 8, 361–369. [Google Scholar] [CrossRef]
- Ramirez, M.S.; Tolmasky, M.E. Aminoglycoside modifying enzymes. Drug Resist. Updat. 2010, 13, 151–171. [Google Scholar] [CrossRef]
- Atassi, G.; Medernach, R.; Scheetz, M.; Nozick, S.; Rhodes, N.J.; Murphy-Belcaster, M.; Murphy, K.R.; Alisoltani, A.; Ozer, E.A.; Hauser, A.R. Genomics of aminoglycoside resistance in Pseudomonas aeruginosa bloodstream infections at a United States Academic Hospital. Microbiol. Spectr. 2023, 11, e05087-22. [Google Scholar] [CrossRef]
- Panahi, T.; Asadpour, L.; Ranji, N. Distribution of aminoglycoside resistance genes in clinical isolates of Pseudomonas aeruginosa in north of Iran. Gene Rep. 2020, 21, 100929. [Google Scholar] [CrossRef]
- Doi, Y.; Wachino, J.-I.; Arakawa, Y. Aminoglycoside resistance: The emergence of acquired 16S ribosomal RNA methyltransferases. Infect. Dis. Clin. 2016, 30, 523–537. [Google Scholar] [CrossRef]
- Taylor, E.; Jauneikaite, E.; Sriskandan, S.; Woodford, N.; Hopkins, K.L. Detection and characterisation of 16S rRNA methyltransferase-producing Pseudomonas aeruginosa from the UK and Republic of Ireland from 2003–2015. Int. J. Antimicrob. Agents 2022, 59, 106550. [Google Scholar] [CrossRef] [PubMed]
- Kocsis, B.; Gulyás, D.; Szabó, D. Diversity and distribution of resistance markers in Pseudomonas aeruginosa international high-risk clones. Microorganisms 2021, 9, 359. [Google Scholar] [CrossRef] [PubMed]
- del Barrio-Tofiño, E.; López-Causapé, C.; Oliver, A. Pseudomonas aeruginosa epidemic high-risk clones and their association with horizontally-acquired β-lactamases: 2020 update. Int. J. Antimicrob. Agents 2020, 56, 106196. [Google Scholar] [CrossRef]
- Aguilar-Rodea, P.; Estrada-Javier, E.L.; Jiménez-Rojas, V.; Gomez-Ramirez, U.; Nolasco-Romero, C.G.; Rodea, G.E.; Rodríguez-Espino, B.A.; Mendoza-Elizalde, S.; Arellano, C.; López-Marcelino, B.; et al. New variants of Pseudomonas aeruginosa high-risk clone ST233 associated with an outbreak in a Mexican Paediatric Hospital. Microorganisms 2022, 10, 1533. [Google Scholar] [CrossRef] [PubMed]
- Yoon, E.-J.; Jeong, S.H. Mobile carbapenemase genes in Pseudomonas aeruginosa. Front. Microbiol. 2021, 12, 614058. [Google Scholar] [CrossRef] [PubMed]
- Bogaerts, P.; Bauraing, C.; Deplano, A.; Glupczynski, Y. Emergence and dissemination of BEL-1-producing Pseudomonas aeruginosa isolates in Belgium. Antimicrob. Agents Chemother. 2007, 51, 1584. [Google Scholar] [CrossRef]
- Libisch, B.; Poirel, L.; Lepsanovic, Z.; Mirovic, V.; Balogh, B.; Pászti, J.; Hunyadi, Z.; Dobák, A.; Füzi, M.; Nordmann, P. Identification of PER-1 extended-spectrum β-lactamase producing Pseudomonas aeruginosa clinical isolates of the international clonal complex CC11 from Hungary and Serbia. FEMS Microbiol. Immunol. 2008, 54, 330–338. [Google Scholar] [CrossRef]
- Viedma, E.; Juan, C.; Acosta, J.; Zamorano, L.; Otero, J.R.; Sanz, F.; Chaves, F.; Oliver, A. Nosocomial spread of colistin-only-sensitive sequence type 235 Pseudomonas aeruginosa isolates producing the extended-spectrum β-lactamases GES-1 and GES-5 in Spain. Antimicrob. Agents Chemother. 2009, 53, 4930–4933. [Google Scholar] [CrossRef] [PubMed]
- Samuelsen, Ø.; Toleman, M.A.; Sundsfjord, A.; Rydberg, J.; Leegaard, T.M.; Walder, M.; Lia, A.; Ranheim, T.E.; Rajendra, Y.; Hermansen, N.O.; et al. Molecular epidemiology of metallo-β-lactamase-producing Pseudomonas aeruginosa isolates from Norway and Sweden shows import of international clones and local clonal expansion. Antimicrob. Agents Chemother. 2010, 54, 346–352. [Google Scholar] [CrossRef] [PubMed]
- Kos, V.N.; Déraspe, M.; McLaughlin, R.E.; Whiteaker, J.D.; Roy, P.H.; Alm, R.A.; Corbeil, J.; Gardner, H. The resistome of Pseudomonas aeruginosa in relationship to phenotypic susceptibility. Antimicrob. Agents Chemother. 2015, 59, 427–436. [Google Scholar] [CrossRef]
- Pfennigwerth, N.; Geis, G.; Gatermann, S.G.; Kaase, M. Description of IMP-31, a novel metallo-β-lactamase found in an ST235 Pseudomonas aeruginosa strain in Western Germany. J. Antimicrob. Chemother. 2015, 70, 1973–1980. [Google Scholar] [CrossRef]
- Zamorano, L.; Mulet, X.; Garau, M.; Gallegos, C.; Juan, C.; Pérez, J.L.; Oliver, A. VIM-47, a new variant of the autochthonous metallo-β-lactamase VIM-13 from the Balearic Islands in Spain. Antimicrob. Agents Chemother. 2016, 60, 3251. [Google Scholar] [CrossRef] [PubMed]
- de Paula-Petroli, S.B.; Campana, E.H.; Bocchi, M.; Bordinhão, T.; Picão, R.C.; Yamada-Ogatta, S.F.; Carrara-Marroni, F.E. Early detection of a hypervirulent KPC-2-producing Pseudomonas aeruginosa ST235 in Brazil. J. Glob. Antimicrob. Resist. 2018, 12, 153–154. [Google Scholar] [CrossRef]
- Tada, T.; Nhung, P.H.; Miyoshi-Akiyama, T.; Shimada, K.; Tsuchiya, M.; Phuong, D.M.; Anh, N.Q.; Ohmagari, N.; Kirikae, T. Multidrug-resistant sequence type 235 Pseudomonas aeruginosa clinical isolates producing IMP-26 with increased carbapenem-hydrolyzing activities in Vietnam. Antimicrob. Agents Chemother. 2016, 60, 6853–6858. [Google Scholar] [CrossRef]
- Correa, A.; Montealegre, M.C.; Mojica, M.F.; Maya, J.J.; Rojas, L.J.; De La Cadena, E.P.; Ruiz, S.J.; Recalde, M.; Rosso, F.; Quinn, J.P.; et al. First report of a Pseudomonas aeruginosa isolate coharboring KPC and VIM carbapenemases. Antimicrob. Agents Chemother. 2012, 56, 5422. [Google Scholar] [CrossRef]
- Turton, J.F.; Wright, L.; Underwood, A.; Witney, A.A.; Chan, Y.-T.; Al-Shahib, A.; Arnold, C.; Doumith, M.; Patel, B.; Planche, T.D.; et al. High-resolution analysis by whole-genome sequencing of an international lineage (sequence type 111) of Pseudomonas aeruginosa associated with metallo-carbapenemases in the United Kingdom. J. Clin. Microbiol. 2015, 53, 2622–2631. [Google Scholar] [CrossRef]
- Wendel, A.F.; Kolbe-Busch, S.; Ressina, S.; Schulze-Röbbecke, R.; Kindgen-Milles, D.; Lorenz, C.; Pfeffer, K.; MacKenzie, C.R. Detection and termination of an extended low-frequency hospital outbreak of GIM-1–producing Pseudomonas aeruginosa ST111 in Germany. Am. J. Infect. Control 2015, 43, 635–639. [Google Scholar] [CrossRef]
- Guzvinec, M.; Izdebski, R.; Butic, I.; Jelic, M.; Abram, M.; Koscak, I.; Baraniak, A.; Hryniewicz, W.; Gniadkowski, M.; Tambic Andrasevic, A. Sequence types 235, 111, and 132 predominate among multidrug-resistant Pseudomonas aeruginosa clinical isolates in Croatia. Antimicrob. Agents Chemother. 2014, 58, 6277–6283. [Google Scholar] [CrossRef]
- Vatcheva-Dobrevska, R.; Mulet, X.; Ivanov, I.; Zamorano, L.; Dobreva, E.; Velinov, T.; Kantardjiev, T.; Oliver, A. Molecular epidemiology and multidrug resistance mechanisms of Pseudomonas aeruginosa isolates from Bulgarian hospitals. Microb. Drug Resist. 2013, 19, 355–361. [Google Scholar] [CrossRef]
- Cottarel, G.; Wierzbowski, J. Combination drugs, an emerging option for antibacterial therapy. Trends Biotechnol. 2007, 25, 547–555. [Google Scholar] [CrossRef]
- Vilchèze, C.; Jacobs, W.R., Jr. The combination of sulfamethoxazole, trimethoprim, and isoniazid or rifampin is bactericidal and prevents the emergence of drug resistance in Mycobacterium tuberculosis. Antimicrob. Agents Chemother. 2012, 56, 5142–5148. [Google Scholar] [CrossRef]
- Abeer Mohammed, A.; Abd Elhamid, M.M.; Khalil, M.K.M.; Ali, A.S.; Abbas, R.N. The potential activity of biosynthesized silver nanoparticles of Pseudomonas aeruginosa as an antibacterial agent against multidrug-resistant isolates from intensive care unit and anticancer agent. Environ. Sci. Eur. 2022, 34, 109. [Google Scholar] [CrossRef]
- Wypij, M.; Czarnecka, J.; Świecimska, M.; Dahm, H.; Rai, M.; Golinska, P. Synthesis, characterization and evaluation of antimicrobial and cytotoxic activities of biogenic silver nanoparticles synthesized from Streptomyces xinghaiensis OF1 strain. World J. Microbiol. Biotechnol. 2018, 34, 23. [Google Scholar] [CrossRef] [PubMed]
- Campo-Beleño, C.; Villamizar-Gallardo, R.; López-Jácome, L.; González, E.; Muñoz-Carranza, S.; Franco, B.; Morales-Espinosa, R.; Coria-Jimenez, R.; Franco-Cendejas, R.; Hernández-Durán, M.; et al. Biologically synthesized silver nanoparticles as potent antibacterial effective against multidrug-resistant Pseudomonas aeruginosa. Lett. Appl. Microbiol. 2022, 75, 680–688. [Google Scholar] [CrossRef] [PubMed]
- Liao, S.; Zhang, Y.; Pan, X.; Zhu, F.; Jiang, C.; Liu, Q.; Cheng, Z.; Dai, G.; Wu, G.; Wang, L.; et al. Antibacterial activity and mechanism of silver nanoparticles against multidrug-resistant Pseudomonas aeruginosa. Int. J. Nanomed. 2019, 14, 1469–1487. [Google Scholar] [CrossRef] [PubMed]
- Orlov, I.A.; Sankova, T.P.; Babich, P.S.; Sosnin, I.M.; Ilyechova, E.Y.; Kirilenko, D.A.; Brunkov, P.N.; Ataev, G.L.; Romanov, A.E.; Puchkova, L.V. New silver nanoparticles induce apoptosis-like process in E. coli and interfere with mammalian copper metabolism. Int. J. Nanomed. 2016, 11, 6561–6574. [Google Scholar] [CrossRef] [PubMed]
- Goldstein, E.; MacFadden, D.R.; Lee, R.S.; Lipsitch, M. Outpatient prescribing of four major antibiotic classes and prevalence of antimicrobial resistance in US adults. bioRxiv 2018. [Google Scholar] [CrossRef]
- Sanz-García, F.; Hernando-Amado, S.; Martínez, J.L. Mutational evolution of Pseudomonas aeruginosa resistance to ribosome-targeting antibiotics. Front. Genet. 2018, 9, 451. [Google Scholar] [CrossRef] [PubMed]
- Dou, Y.; Huan, J.; Guo, F.; Zhou, Z.; Shi, Y. Pseudomonas aeruginosa prevalence, antibiotic resistance and antimicrobial use in Chinese burn wards from 2007 to 2014. J. Int. Med. Res. 2017, 45, 1124–1137. [Google Scholar] [CrossRef] [PubMed]
- Farhan, S.M.; Ibrahim, R.A.; Mahran, K.M.; Hetta, H.F.; Abd El-Baky, R.M. Antimicrobial resistance pattern and molecular genetic distribution of metallo-β-lactamases producing Pseudomonas aeruginosa isolated from hospitals in Minia, Egypt. Infect. Drug Resist. 2019, 12, 2125–2133. [Google Scholar] [CrossRef]
- Hosu, M.C.; Vasaikar, S.D.; Okuthe, G.E.; Apalata, T. Detection of extended spectrum beta-lactamase genes in Pseudomonas aeruginosa isolated from patients in rural Eastern Cape Province, South Africa. Sci. Rep. 2021, 11, 7110. [Google Scholar] [CrossRef]
- Nathwani, D.; Raman, G.; Sulham, K.; Gavaghan, M.; Menon, V. Clinical and economic consequences of hospital-acquired resistant and multidrug-resistant Pseudomonas aeruginosa infections: A systematic review and meta-analysis. Antimicrob. Resist. Infect. Control 2014, 3, 32. [Google Scholar] [CrossRef]
- Nørgaard, S.M.; Jensen, C.S.; Aalestrup, J.; Vandenbroucke-Grauls, C.M.; de Boer, M.G.; Pedersen, A.B. Choice of therapeutic interventions and outcomes for the treatment of infections caused by multidrug-resistant gram-negative pathogens: A systematic review. Antimicrob. Resist. Infect. Control 2019, 8, 170. [Google Scholar] [CrossRef]
- Farooq, L.; Memon, Z.; Ismail, M.O.; Sadiq, S. Frequency and antibiogram of multi-drug resistant Pseudomonas aeruginosa in a Tertiary Care Hospital of Pakistan. Pak. J. Med. Sci. 2019, 35, 1622–1626. [Google Scholar] [CrossRef]
- Khan, F.; Khan, A.; Kazmi, S.U. Prevalence and susceptibility pattern of multi drug resistant clinical isolates of Pseudomonas aeruginosa in Karachi. Pak. J. Med. Sci. 2014, 30, 951–954. [Google Scholar] [CrossRef] [PubMed]
- Saleem, S.; Bokhari, H. Resistance profile of genetically distinct clinical Pseudomonas aeruginosa isolates from public hospitals in central Pakistan. J. Infect. Public Health 2020, 13, 598–605. [Google Scholar] [CrossRef] [PubMed]
- Khan, M.R.; Azam, S.; Ahmad, S.; Ali, Q.; Liaqat, Z.; Rehman, N.; Khan, I.; Alharbi, M.; Alshammari, A. Molecular Characterization and epidemiology of antibiotic resistance genes of β-lactamase producing bacterial pathogens causing septicemia from tertiary care hospitals. Antibiotics 2023, 12, 617. [Google Scholar] [CrossRef] [PubMed]
- El-Far, A.; Samir, S.; El-Gebaly, E.; Omar, M.; Dahroug, H.; El-Shenawy, A.; Soliman, N.S.; Gamal, D. High rates of aminoglycoside methyltransferases associated with metallo-beta-lactamases in multidrug-resistant and extensively drug-resistant Pseudomonas aeruginosa clinical isolates from a tertiary care hospital in Egypt. Infect. Drug Resist. 2021, 14, 4849–4858. [Google Scholar] [CrossRef] [PubMed]
- Çekin, Z.K.; Dabos, L.; Malkoçoğlu, G.; Fortineau, N.; Bayraktar, B.; Iorga, B.I.; Naas, T.; Aktaş, E. Carbapenemase-producing Pseudomonas aeruginosa isolates from Turkey: First report of P. aeruginosa high-risk clones with VIM-5–and IMP-7–type carbapenemases in a tertiary hospital. Diagn. Microbiol. Infect. Dis. 2021, 99, 115174. [Google Scholar] [CrossRef] [PubMed]
- Patil, S.; Chen, X.; Dong, S.; Mai, H.; Lopes, B.S.; Liu, S.; Wen, F. Resistance genomics and molecular epidemiology of high-risk clones of ESBL-producing Pseudomonas aeruginosa in young children. Front. Cell. Infect. Microbiol. 2023, 13, 1168096. [Google Scholar] [CrossRef] [PubMed]
- Olalekan, A.; Bader, B.K.; Iwalokun, B.; Wolf, S.; Lalremruata, A.; Dike, A.; Mannie-Udoh, M.; Lo Presti, L.; Liese, J.; Guther, J.; et al. High incidence of carbapenemase-producing Pseudomonas aeruginosa clinical isolates from Lagos, Nigeria. JAC Antimicrob. Resist. 2023, 5, dlad038. [Google Scholar] [CrossRef]
- Nasrin, S.; Hegerle, N.; Sen, S.; Nkeze, J.; Sen, S.; Permala-Booth, J.; Choi, M.; Sinclair, J.; Tapia, M.D.; Johnson, J.K.; et al. Distribution of serotypes and antibiotic resistance of invasive Pseudomonas aeruginosa in a multi-country collection. BMC Microbiol. 2022, 22, 13. [Google Scholar] [CrossRef]
- Shortridge, D.; Gales, A.C.; Streit, J.M.; Huband, M.D.; Tsakris, A.; Jones, R.N. Geographic and temporal patterns of antimicrobial resistance in Pseudomonas aeruginosa over 20 years from the SENTRY antimicrobial surveillance program, 1997–2016. Open Forum Infect. Dis. 2019, 15, S63–S68. [Google Scholar] [CrossRef]
- Ali, F.; Mirza, I.A.; Waseem, H.; Zafar, H. Antibiotic sensitivity pattern of carbapenem-resistant Pseudomonas aeruginosa. Pak. Armed Forces Med. J. 2023, 73, 33–37. [Google Scholar] [CrossRef]
- Hu, Y.-Y.; Cao, J.-M.; Yang, Q.; Chen, S.; Lv, H.-Y.; Zhou, H.-W.; Wu, Z.; Zhang, R. Risk factors for carbapenem-resistant Pseudomonas aeruginosa, Zhejiang Province, China. Emerg. Infect. Dis. 2019, 25, 1861. [Google Scholar] [CrossRef]
- Uc-Cachón, A.H.; Gracida-Osorno, C.; Luna-Chi, I.G.; Jiménez-Guillermo, J.G.; Molina-Salinas, G.M. High prevalence of antimicrobial resistance among gram-negative isolated bacilli in intensive care units at a tertiary-care hospital in Yucatán Mexico. Medicina 2019, 55, 588. [Google Scholar] [CrossRef] [PubMed]
- Djuikoue, C.I.; Djouela Djoulako, P.D.; Same Njanjo, H.V.; Kiyang, C.P.; Djantou Biankeu, F.L.; Guegang, C.; Tchouotou, A.S.D.; Wouambo, R.K.; Thumamo Pokam, B.D.; Apalata, T.; et al. Phenotypic Characterization and Prevalence of Carbapenemase-producing Pseudomonas aeruginosa isolates in six health facilities in Cameroon. BioMed 2023, 3, 77–88. [Google Scholar] [CrossRef]
- Rostami, S.; Sheikh, A.F.; Shoja, S.; Farahani, A.; Tabatabaiefar, M.A.; Jolodar, A.; Sheikhi, R. Investigating of four main carbapenem-resistance mechanisms in high-level carbapenem resistant Pseudomonas aeruginosa isolated from burn patients. J. Chin. Med. Assoc. 2018, 81, 127–132. [Google Scholar] [CrossRef]
- Huang, W.; Wei, X.; Xu, G.; Zhang, X.; Wang, X. Carbapenem-resistant Pseudomonas aeruginosa infections in critically ill children: Prevalence, risk factors, and impact on outcome in a large tertiary pediatric hospital of China. Front. Public Health 2023, 11, 1088262. [Google Scholar] [CrossRef] [PubMed]
- Din, M.; Awan, M.A.; ur Rahman, S.; Ali, M.; Aslam But, M. Co-existence of blaIMP, blaNDM-1, and blaSHV, genes of Pseudomonas aeruginosa isolated from Quetta: Antimicrobial resistance and clinical significance. Pak. J. Med. Sci. 2023, 39, 1507. [Google Scholar]
- Kumar, S.; Kothari, A.; Omar, B.J.; Kiran, K. Detection of extended-spectrum beta-lactamase (ESBL) production by disc diffusion method among Pseudomonas species from various clinical samples. J. Family Med. Prim. Care 2020, 9, 683–693. [Google Scholar] [CrossRef]
- Villedieu, A.; Papesh, E.; Weinberg, S.E.; Teare, L.; Radhakrishnan, J.; Elamin, W.F. Seasonal variation of Pseudomonas aeruginosa in culture positive otitis externa in South East England. Epidemiol. Infect. 2018, 146, 1811–1812. [Google Scholar] [CrossRef]
- Sannathimmappa, M.B.; Nambiar, V.; Aravindakshan, R. A 5-Year Retrospective Study of Antibiotic Resistance Pattern of Pseudomonas aeruginosa Isolated from Various Clinical Samples at a Tertiary Care Hospital. Med. J. Dr. D. Y. Patil Vidyapeeth 2023, 16, 687–692. [Google Scholar] [CrossRef]
- Wang, M.-G.; Liu, Z.-Y.; Liao, X.-P.; Sun, R.-Y.; Li, R.-B.; Liu, Y.; Fang, L.-X.; Sun, J.; Liu, Y.-H.; Zhang, R.-M. Retrospective data insight into the global distribution of carbapenemase-producing Pseudomonas aeruginosa. Antibiotics 2021, 10, 548. [Google Scholar] [CrossRef]
- Simner, P.J.; Opene, B.N.; Chambers, K.K.; Naumann, M.E.; Carroll, K.C.; Tamma, P.D. Carbapenemase detection among carbapenem-resistant glucose nonfermenting Gram-negative bacilli. J. Clin. Microbiol. 2017, 55, 2858–2864. [Google Scholar] [CrossRef]
- Tenover, F.C.; Nicolau, D.P.; Gill, C.M. Carbapenemase-producing Pseudomonas aeruginosa–an emerging challenge. Emerg. Microbes Infect. 2022, 11, 811–814. [Google Scholar] [CrossRef] [PubMed]
- Awan, M.; Rasheed, F.; Saeed, M.; Irum, S.; Ashraf, F.; Imran, A.A. Dissemination and detection of carbapenemases producing Gram-negative rods. Pak. Armed Forces Med. J. 2019, 69, 9–14. [Google Scholar]
- Hadjadj, L.; Syed, M.A.; Abbasi, S.A.; Rolain, J.-M.; Jamil, B. Diversity of carbapenem resistance mechanisms in clinical Gram-negative bacteria in Pakistan. Microb. Drug Resist. 2021, 27, 760–767. [Google Scholar] [CrossRef]
- Ahmed, N.; Ali, Z.; Riaz, M.; Zeshan, B.; Wattoo, J.I.; Aslam, M.N. Evaluation of antibiotic resistance and virulence genes among clinical isolates of Pseudomonas aeruginosa from cancer patients. Asian Pac. J. Cancer Prev. 2020, 21, 1333–1338. [Google Scholar] [CrossRef] [PubMed]
- Sharma, S.; Devkota, M.D.; Pokhrel, B.M.; Banjara, M.R. Detection of blaNDM−1, mcr-1 and MexB in multidrug resistant Pseudomonas aeruginosa isolated from clinical specimens in a tertiary care hospital of Nepal. BMC Microbiol. 2023, 23, 153. [Google Scholar] [CrossRef]
- Fortunato, G.; Vaz-Moreira, I.; Gajic, I.; Manaia, C.M. Insight into phylogenomic bias of blaVIM-2 or blaNDM-1 dissemination amongst carbapenem-resistant Pseudomonas aeruginosa. Int. J. Antimicrob. Agents 2023, 61, 106788. [Google Scholar] [CrossRef]
- Choi, Y.J.; Kim, Y.A.; Junglim, K.; Jeong, S.H.; Shin, J.H.; Shin, K.S.; Shin, J.H.; Kim, Y.R.; Kim, H.S.; Uh, Y.; et al. Emergence of NDM-1–producing Pseudomonas aeruginosa sequence type 773 clone: Shift of carbapenemase molecular epidemiology and spread of 16S rRNA methylase genes in Korea. Ann. Lab. Med. 2023, 43, 196–199. [Google Scholar] [CrossRef] [PubMed]
- Al-Alaq, F.T.; Mahmood, S.S.; AL-Khafaji, N.S.; Al-Dahmoshi, H.O.; Memariani, M. Investigation of blaIMP-1, blaVIM-1, blaOXA-48 and blaNDM-1 carbapenemase encoding genes among MBL-producing Pseudomonas aeruginosa. J. Appl. Nat. Sci. 2022, 14, 740–745. [Google Scholar] [CrossRef]
- Hong, J.S.; Song, W.; Park, M.-J.; Jeong, S.; Lee, N.; Jeong, S.H. Molecular characterization of the first emerged NDM-1-producing Pseudomonas aeruginosa isolates in South Korea. Microb. Drug Resist. 2021, 27, 1063–1070. [Google Scholar] [CrossRef]
- Schäfer, E.; Malecki, M.; Tellez-Castillo, C.J.; Pfennigwerth, N.; Marlinghaus, L.; Higgins, P.G.; Mattner, F.; Wendel, A.F. Molecular surveillance of carbapenemase-producing Pseudomonas aeruginosa at three medical centres in Cologne, Germany. Antimicrob. Resist. Infect. Control 2019, 8, 208. [Google Scholar] [CrossRef]
- Merradi, M.; Kassah-Laouar, A.; Ayachi, A.; Heleili, N.; Menasria, T.; Hocquet, D.; Cholley, P.; Sauget, M. Occurrence of VIM-4 metallo-β-lactamase-producing Pseudomonas aeruginosa in an Algerian hospital. J. Infect. Dev. Ctries. 2019, 13, 284–290. [Google Scholar] [CrossRef] [PubMed]
- Forero-Hurtado, D.; Corredor-Rozo, Z.L.; Ruiz-Castellanos, J.S.; Márquez-Ortiz, R.A.; Abril, D.; Vanegas, N.; Lafaurie, G.I.; Chambrone, L.; Escobar-Pérez, J. Worldwide dissemination of blaKPC gene by novel mobilization platforms in Pseudomonas aeruginosa: A systematic review. Antibiotics 2023, 12, 658. [Google Scholar] [CrossRef] [PubMed]
- Rada, A.M.; De La Cadena, E.; Agudelo, C.A.; Pallares, C.; Restrepo, E.; Correa, A.; Villegas, M.V.; Capataz, C. Genetic diversity of multidrug-resistant Pseudomonas aeruginosa isolates carrying blaVIM–2 and blaKPC–2 genes that spread on different genetic environment in Colombia. Front. Microbiol. 2021, 12, 663020. [Google Scholar] [CrossRef] [PubMed]
- Hu, H.; Zhang, Y.; Zhang, P.; Wang, J.; Yuan, Q.; Shi, W.; Zhang, S.; Feng, H.; Chen, Y.; Yu, M.; et al. Bloodstream infections caused by Klebsiella pneumoniae carbapenemase producing P. aeruginosa sequence type 463, associated with high mortality rates in China: A retrospective cohort study. Front. Cell. Infect. Microbiol. 2021, 11, 756782. [Google Scholar] [CrossRef]
- Shi, L.; Liang, Q.; Feng, J.; Zhan, Z.; Zhao, Y.; Yang, W.; Yang, H.; Chen, Y.; Huang, M.; Tong, Y.; et al. Coexistence of two novel resistance plasmids, blaKPC-2-carrying p14057A and tetA (A)-carrying p14057B, in Pseudomonas aeruginosa. Virulence 2018, 9, 306–311. [Google Scholar] [CrossRef]
- Hagemann, J.B.; Pfennigwerth, N.; Gatermann, S.G.; von Baum, H.; Essig, A. KPC-2 carbapenemase-producing Pseudomonas aeruginosa reaching Germany. J. Antimicrob. Chemother. 2018, 73, 1812–1814. [Google Scholar] [CrossRef]
- Vanegas, J.M.; Cienfuegos, A.V.; Ocampo, A.M.; López, L.; del Corral, H.; Roncancio, G.; Sierra, P.; Echeverri-Toro, L.; Ospina, S.; Maldonado, N.; et al. Similar frequencies of Pseudomonas aeruginosa isolates producing KPC and VIM carbapenemases in diverse genetic clones at tertiary-care hospitals in Medellín, Colombia. J. Clin. Microbiol. 2014, 52, 3978–3986. [Google Scholar] [CrossRef]
- Villegas, M.V.; Lolans, K.; Correa, A.; Kattan, J.N.; Lopez, J.A.; Quinn, J.P. First identification of Pseudomonas aeruginosa isolates producing a KPC-type carbapenem-hydrolyzing β-lactamase. Antimicrob. Agents Chemother. 2007, 51, 1553–1555. [Google Scholar] [CrossRef]
- Irum, S.; Naz, K.; Ullah, N.; Mustafa, Z.; Ali, A.; Arslan, M.; Khalid, K.; Andleeb, S. Antimicrobial resistance and genomic characterization of six new sequence types in multidrug-resistant Pseudomonas aeruginosa clinical isolates from Pakistan. Antibiotics 2021, 10, 1386. [Google Scholar] [CrossRef]
- Rather, P.; Munayyer, H.; Mann, P.; Hare, R.; Miller, G.; Shaw, K. Genetic analysis of bacterial acetyltransferases: Identification of amino acids determining the specificities of the aminoglycoside 6′-N-acetyltransferase Ib and IIa proteins. J. Bacteriol. 1992, 174, 3196–3203. [Google Scholar] [CrossRef][Green Version]
- Zhang, Y.; Zhang, N.; Wang, M.; Luo, M.; Peng, Y.; Li, Z.; Xu, J.; Ou, M.; Kan, B.; Li, X.; et al. The prevalence and distribution of aminoglycoside resistance genes. Biosaf. Health 2023, 5, 14–20. [Google Scholar] [CrossRef]
- Raheem, H.Q.; Hussein, E.F. Incidence of aminoglycoside resistance genes in Pseudomonas aeruginosa isolated from burns and wounds infections. Ann. Romanian Soc. Cell Biol. 2022, 26, 274–281. [Google Scholar]
- Ahmadian, L.; Norouzi Bazgir, Z.; Ahanjan, M.; Valadan, R.; Goli, H.R. Role of aminoglycoside-modifying enzymes (AMEs) in resistance to aminoglycosides among clinical isolates of Pseudomonas aeruginosa in the north of Iran. BioMed Res. Int. 2021, 2021, 7077344. [Google Scholar] [CrossRef] [PubMed]
- Teixeira, B.; Rodulfo, H.; Carreno, N.; Guzman, M.; Salazar, E.; Donato, M.D. Aminoglycoside resistance genes in Pseudomonas aeruginosa isolates from Cumana, Venezuela. Rev. Inst. Med. Trop. Sao Paulo 2016, 58, 13. [Google Scholar] [CrossRef] [PubMed]
- Wachino, J.-I.; Arakawa, Y. Exogenously acquired 16S rRNA methyltransferases found in aminoglycoside-resistant pathogenic Gram-negative bacteria: An update. Drug Resist. Updat. 2012, 15, 133–148. [Google Scholar] [CrossRef] [PubMed]
- Rahman, M.; Prasad, K.N.; Pathak, A.; Pati, B.K.; Singh, A.; Ovejero, C.M.; Ahmad, S.; Gonzalez-Zorn, B. RmtC and RmtF 16S rRNA methyltransferase in NDM-1–producing Pseudomonas aeruginosa. Emerg. Infect. Dis. 2015, 21, 2059. [Google Scholar] [CrossRef] [PubMed]
- Castanheira, M.; Fritsche, T.R.; Sader, H.l.S.; Jones, R.N. RmtD 16S RNA methylase in epidemiologically unrelated SPM-1-producing Pseudomonas aeruginosa isolates from Brazil. Antimicrob. Agents Chemother. 2008, 52, 1587. [Google Scholar] [CrossRef]
- Doi, Y.; Adams, J.M.; Yamane, K.; Paterson, D.L. Identification of 16S rRNA methylase-producing Acinetobacter baumannii clinical strains in North America. Antimicrob. Agents Chemother. 2007, 51, 4209–4210. [Google Scholar] [CrossRef]
- Samuelsen, Ø.; Toleman, M.; Hasseltvedt, V.; Fuursted, K.; Leegaard, T.; Walsh, T.R.; Sundsfjord, A.; Giske, C. Molecular characterization of VIM-producing Klebsiella pneumoniae from Scandinavia reveals genetic relatedness with international clonal complexes encoding transferable multidrug resistance. Clin. Microbiol. Infect. 2011, 17, 1811–1816. [Google Scholar] [CrossRef]
- Jiang, Y.; Yu, D.; Wei, Z.; Shen, P.; Zhou, Z.; Yu, Y. Complete nucleotide sequence of Klebsiella pneumoniae multidrug resistance plasmid pKP048, carrying blaKPC-2, blaDHA-1, qnrB4, and armA. Antimicrob. Agents Chemother. 2010, 54, 3967–3969. [Google Scholar] [CrossRef]
- Sekizuka, T.; Matsui, M.; Yamane, K.; Takeuchi, F.; Ohnishi, M.; Hishinuma, A.; Arakawa, Y.; Kuroda, M. Complete sequencing of the blaNDM-1-positive IncA/C plasmid from Escherichia coli ST38 isolate suggests a possible origin from plant pathogens. PLoS ONE 2011, 6, e25334. [Google Scholar] [CrossRef]
- Ho, P.L.; Lo, W.U.; Yeung, M.K.; Lin, C.H.; Chow, K.H.; Ang, I.; Tong, A.H.Y.; Bao, J.Y.-J.; Lok, S.; Lo, J.Y.C. Complete sequencing of pNDM-HK encoding NDM-1 carbapenemase from a multidrug-resistant Escherichia coli strain isolated in Hong Kong. PLoS ONE 2011, 6, e17989. [Google Scholar] [CrossRef]
- Carattoli, A.; Villa, L.; Poirel, L.; Bonnin, R.A.; Nordmann, P. Evolution of IncA/C blaCMY-2-carrying plasmids by acquisition of the blaNDM-1 carbapenemase gene. Antimicrob. Agents Chemother. 2012, 56, 783–786. [Google Scholar] [CrossRef]
- Mc Gann, P.; Hang, J.; Clifford, R.J.; Yang, Y.; Kwak, Y.I.; Kuschner, R.A.; Lesho, E.P.; Waterman, P.E. Complete sequence of a novel 178-kilobase plasmid carrying blaNDM-1 in a Providencia stuartii strain isolated in Afghanistan. Antimicrob. Agents Chemother. 2012, 56, 1673–1679. [Google Scholar] [CrossRef]
- Xu, C.; Wang, D.; Zhang, X.; Liu, H.; Zhu, G.; Wang, T.; Cheng, Z.; Wu, W.; Bai, F.; Jin, Y. Mechanisms for rapid evolution of carbapenem resistance in a clinical isolate of Pseudomonas aeruginosa. Front. Microbiol. 2020, 11, 1390. [Google Scholar] [CrossRef]
- Centers for Disease Control and Prevention. Outbreak of Extensively Drug-Resistant Pseudomonas aeruginosa Associated with Artificial Tears; Centers for Disease Control and Prevention: Atlanta, GA, USA, 2023. [Google Scholar]
- Recio, R.; Sánchez-Diener, I.; Viedma, E.; Meléndez-Carmona, M.Á.; Villa, J.; Orellana, M.Á.; Mancheño, M.; Juan, C.; Zamorano, L.; Lora-Tamayo, J.; et al. Pathogenic characteristics of Pseudomonas aeruginosa bacteraemia isolates in a high-endemicity setting for ST175 and ST235 high-risk clones. Eur. J. Clin. Microbiol. Infect. Dis. 2020, 39, 671–678. [Google Scholar] [CrossRef]
- Papagiannitsis, C.C.; Verra, A.; Galani, V.; Xitsas, S.; Bitar, I.; Hrabak, J.; Petinaki, E. Unravelling the features of success of VIM-producing ST111 and ST235 Pseudomonas aeruginosa in a Greek hospital. Microorganisms 2020, 8, 1884. [Google Scholar] [CrossRef]
- Loconsole, D.; Accogli, M.; Monaco, M.; Del Grosso, M.; De Robertis, A.L.; Morea, A.; Capozzi, L.; Del Sambro, L.; Simone, A.; De Letteriis, V.; et al. First detection of autochthonous extensively drug-resistant NDM-1 Pseudomonas aeruginosa ST235 from a patient with bloodstream infection in Italy, October 2019. Antimicrob. Resist. Infect. Control 2020, 9, 73. [Google Scholar] [CrossRef] [PubMed]
- Abril, D.; Marquez-Ortiz, R.A.; Castro-Cardozo, B.; Moncayo-Ortiz, J.I.; Olarte Escobar, N.M.; Corredor Rozo, Z.L.; Reyes, N.; Tovar, C.; Sánchez, H.F.; Castellanos, J.; et al. Genome plasticity favours double chromosomal Tn4401b-blaKPC-2 transposon insertion in the Pseudomonas aeruginosa ST235 clone. BMC Microbiol. 2019, 19, 45. [Google Scholar] [CrossRef] [PubMed]
- Kim, M.J.; Bae, I.K.; Jeong, S.H.; Kim, S.H.; Song, J.H.; Choi, J.Y.; Yoon, S.S.; Thamlikitkul, V.; Hsueh, P.-R.; Yasin, R.M.; et al. Dissemination of metallo-β-lactamase-producing Pseudomonas aeruginosa of sequence type 235 in Asian countries. J. Antimicrob. Chemother. 2013, 68, 2820–2824. [Google Scholar] [CrossRef] [PubMed]
- Cho, H.H.; Kwon, K.C.; Sung, J.Y.; Koo, S.H. Prevalence and genetic analysis of multidrug-resistant Pseudomonas aeruginosa ST235 isolated from a hospital in Korea, 2008–2012. Ann. Clin. Lab. Sci. 2013, 43, 414–419. [Google Scholar]
- Dos Santos, P.A.S.; Rodrigues, Y.C.; Marcon, D.J.; Lobato, A.R.F.; Cazuza, T.B.; Gouveia, M.I.M.; Silva, M.J.A.; Souza, A.B.; Lima, L.N.G.C.; Quaresma, A.J.P.G.; et al. Endemic high-risk clone ST277 is related to the spread of SPM-1-producing Pseudomonas aeruginosa during the COVID-19 pandemic period in Northern Brazil. Microorganisms 2023, 11, 2069. [Google Scholar] [CrossRef] [PubMed]
- Silveira, M.C.; Rocha-de-Souza, C.M.; Albano, R.M.; de Oliveira Santos, I.C.; Carvalho-Assef, A.P.D.A. Exploring the success of Brazilian endemic clone Pseudomonas aeruginosa ST277 and its association with the CRISPR-Cas system type I-C. BMC Genom. 2020, 21, 255. [Google Scholar] [CrossRef] [PubMed]
- Martins, W.M.; Narciso, A.C.; Cayo, R.; Santos, S.V.; Fehlberg, L.C.; Ramos, P.L.; da Cruz, J.B.; Gales, A.C. SPM-1-producing Pseudomonas aeruginosa ST277 clone recovered from microbiota of migratory birds. Diagn. Microbiol. Infect. Dis. 2018, 90, 221–227. [Google Scholar] [CrossRef] [PubMed]
- Turano, H.; Gomes, F.; Medeiros, M.; Oliveira, S.; Fontes, L.C.; Sato, M.I.; Lincopan, N. Presence of high-risk clones of OXA-23-producing Acinetobacter baumannii (ST79) and SPM-1-producing Pseudomonas aeruginosa (ST277) in environmental water samples in Brazil. Diagn. Microbiol. Infect. Dis. 2016, 86, 80–82. [Google Scholar] [CrossRef] [PubMed]
- Hopkins, K.L.; Meunier, D.; Findlay, J.; Mustafa, N.; Parsons, H.; Pike, R.; Wright, L.; Woodford, N. SPM-1 metallo-β-lactamase-producing Pseudomonas aeruginosa ST277 in the UK. J. Med. Microbiol. 2016, 65, 696–697. [Google Scholar] [CrossRef]
- Mano, Y.; Saga, T.; Ishii, Y.; Yoshizumi, A.; Bonomo, R.A.; Yamaguchi, K.; Tateda, K. Molecular analysis of the integrons of metallo-β-lactamase-producing Pseudomonas aeruginosa isolates collected by nationwide surveillance programs across Japan. BMC Microbiol. 2015, 15, 41. [Google Scholar] [CrossRef] [PubMed]
- Cejas, D.; Elena, A.; González-Espinosa, F.E.; Pallecchi, L.; Vay, C.; Rossolini, G.M.; Gutkind, G.; Di Pilato, V.; Radice, M. Characterisation of blaKPC-2–harbouring plasmids recovered from Pseudomonas aeruginosa ST654 and ST235 high-risk clones. J. Glob. Antimicrob. Resist. 2022, 29, 310–312. [Google Scholar] [CrossRef] [PubMed]
- Galimand, M.; Sabtcheva, S.; Courvalin, P.; Lambert, T. Worldwide disseminated armA aminoglycoside resistance methylase gene is borne by composite transposon Tn 1548. Antimicrob. Agents Chemother. 2005, 49, 2949–2953. [Google Scholar] [CrossRef]
- Gonzalez-Zorn, B.; Catalan, A.; Escudero, J.A.; Domínguez, L.; Teshager, T.; Porrero, C.; Moreno, M.A. Genetic basis for dissemination of armA. J. Antimicrob. Chemother. 2005, 56, 583–585. [Google Scholar] [CrossRef]
- Du, X.-D.; Li, D.-X.; Hu, G.-Z.; Wang, Y.; Shang, Y.-H.; Wu, C.-M.; Liu, H.-B.; Li, X.-S. Tn 1548-associated armA is co-located with qnrB2, aac (6′)-Ib-cr and blaCTX-M-3 on an IncFII plasmid in a Salmonella enterica subsp. enterica serovar Paratyphi B strain isolated from chickens in China. J. Antimicrob. Chemother. 2012, 67, 246–248. [Google Scholar] [CrossRef] [PubMed]
- Yamane, K.; Wachino, J.-I.; Suzuki, S.; Kimura, K.; Shibata, N.; Kato, H.; Shibayama, K.; Konda, T.; Arakawa, Y. New plasmid-mediated fluoroquinolone efflux pump, QepA, found in an Escherichia coli clinical isolate. Antimicrob. Agents Chemother. 2007, 51, 3354–3360. [Google Scholar] [CrossRef] [PubMed]
- Périchon, B.; Bogaerts, P.; Lambert, T.; Frangeul, L.; Courvalin, P.; Galimand, M. Sequence of conjugative plasmid pIP1206 mediating resistance to aminoglycosides by 16S rRNA methylation and to hydrophilic fluoroquinolones by efflux. Antimicrob. Agents Chemother. 2008, 52, 2581–2592. [Google Scholar] [CrossRef][Green Version]
- Poirel, L.; Bonnin, R.A.; Nordmann, P. Analysis of the resistome of a multidrug-resistant NDM-1-producing Escherichia coli strain by high-throughput genome sequencing. Antimicrob. Agents Chemother. 2011, 55, 4224–4229. [Google Scholar] [CrossRef]
- Wang, L.; Hu, C.; Shao, L. The antimicrobial activity of nanoparticles: Present situation and prospects for the future. Int. J. Nanomed. 2017, 12, 1227–1249. [Google Scholar] [CrossRef] [PubMed]
- Chatterjee, M.; Anju, C.; Biswas, L.; Kumar, V.A.; Mohan, C.G.; Biswas, R. Antibiotic resistance in Pseudomonas aeruginosa and alternative therapeutic options. Int. J. Med. Microbiol. 2016, 306, 48–58. [Google Scholar] [CrossRef]
- Salomoni, R.; Léo, P.; Montemor, A.; Rinaldi, B.; Rodrigues, M. Antibacterial effect of silver nanoparticles in Pseudomonas aeruginosa. Nanotechnol. Sci. Appl. 2017, 10, 115–121. [Google Scholar] [CrossRef]
- Brown, A.N.; Smith, K.; Samuels, T.A.; Lu, J.; Obare, S.O.; Scott, M.E. Nanoparticles functionalized with ampicillin destroy multiple-antibiotic-resistant isolates of Pseudomonas aeruginosa and Enterobacter aerogenes and methicillin-resistant Staphylococcus aureus. Appl. Environ. Microbiol. 2012, 78, 2768–2774. [Google Scholar] [CrossRef]
- de Lacerda Coriolano, D.; de Souza, J.B.; Bueno, E.V.; Medeiros, S.M.d.F.R.d.S.; Cavalcanti, I.D.L.; Cavalcanti, I.M.F. Antibacterial and antibiofilm potential of silver nanoparticles against antibiotic-sensitive and multidrug-resistant Pseudomonas aeruginosa strains. Braz. J. Microbiol. 2021, 52, 267–278. [Google Scholar] [CrossRef]
- Magiorakos, A.-P.; Srinivasan, A.; Carey, R.B.; Carmeli, Y.; Falagas, M.; Giske, C.; Harbarth, S.; Hindler, J.; Kahlmeter, G.; Olsson-Liljequist, B.; et al. Multidrug-resistant, extensively drug-resistant and pandrug-resistant bacteria: An international expert proposal for interim standard definitions for acquired resistance. Clin. Microbiol. Infect. 2012, 18, 268–281. [Google Scholar] [CrossRef]
- Pierce, V.M.; Simner, P.J.; Lonsway, D.R.; Roe-Carpenter, D.E.; Johnson, J.K.; Brasso, W.B.; Bobenchik, A.M.; Lockett, Z.C.; Charnot-Katsikas, A.; Ferraro, M.J.; et al. Modified carbapenem inactivation method for phenotypic detection of carbapenemase production among Enterobacteriaceae. J. Clin. Microbiol. 2017, 55, 2321–2333. [Google Scholar] [CrossRef] [PubMed]
- Gondal, A.J.; Choudhry, N.; Bukhari, H.; Rizvi, Z.; Yasmin, N. Characterization of genomic diversity among carbapenem-resistant Escherichia coli clinical isolates and antibacterial efficacy of silver nanoparticles from Pakistan. Microorganisms 2022, 10, 2283. [Google Scholar] [CrossRef] [PubMed]
- Spilker, T.; Coenye, T.; Vandamme, P.; LiPuma, J.J. PCR-based assay for differentiation of Pseudomonas aeruginosa from other Pseudomonas species recovered from cystic fibrosis patients. J. Clin. Microbiol. 2004, 42, 2074–2079. [Google Scholar] [CrossRef] [PubMed]
- Curran, B.; Jonas, D.; Grundmann, H.; Pitt, T.; Dowson, C.G. Development of a multilocus sequence typing scheme for the opportunistic pathogen Pseudomonas aeruginosa. J. Clin. Microbiol. 2004, 42, 5644–5649. [Google Scholar] [CrossRef]
- Jolley, K.A.; Bray, J.E.; Maiden, M.C. Open-access bacterial population genomics: BIGSdb software, the PubMLST.org website and their applications. Wellcome Open Res. 2018, 3, 124. [Google Scholar] [CrossRef]
- Carloni, E.; Andreoni, F.; Omiccioli, E.; Villa, L.; Magnani, M.; Carattoli, A. Comparative analysis of the standard PCR-based replicon typing (PBRT) with the commercial PBRT-KIT. Plasmid 2017, 90, 10–14. [Google Scholar] [CrossRef]
- Alvarado, A.; Garcillán-Barcia, M.P.; de la Cruz, F. A degenerate primer MOB typing (DPMT) method to classify gamma-proteobacterial plasmids in clinical and environmental settings. PLoS ONE 2012, 7, e40438. [Google Scholar] [CrossRef]
- Wan, G.; Ruan, L.; Yin, Y.; Yang, T.; Ge, M.; Cheng, X. Effects of silver nanoparticles in combination with antibiotics on the resistant bacteria Acinetobacter baumannii. Int. J. Nanomed. 2016, 11, 3789–3800. [Google Scholar] [CrossRef] [PubMed]
Disclaimer/Publisher’s Note: The statements, opinions and data contained in all publications are solely those of the individual author(s) and contributor(s) and not of MDPI and/or the editor(s). MDPI and/or the editor(s) disclaim responsibility for any injury to people or property resulting from any ideas, methods, instructions or products referred to in the content. |
© 2024 by the authors. Licensee MDPI, Basel, Switzerland. This article is an open access article distributed under the terms and conditions of the Creative Commons Attribution (CC BY) license (https://creativecommons.org/licenses/by/4.0/).

