Next Article in Journal
Antibiotics Prescriptions Pattern among Patients Visiting Primary Health Care Centers (PHCC) before and during COVID-19 Pandemic: A Cross-Sectional Population-Based Study from Qatar
Next Article in Special Issue
SK-03-92 Drug Kills Intracellular Mycobacterium tuberculosis
Previous Article in Journal
Screening for Antimicrobial Resistance and Genes of Exotoxins in Pseudomonas aeruginosa Isolates from Infected Dogs and Cats in Poland
Previous Article in Special Issue
Investigation of Naphthyl–Polyamine Conjugates as Antimicrobials and Antibiotic Enhancers
 
 
Font Type:
Arial Georgia Verdana
Font Size:
Aa Aa Aa
Line Spacing:
Column Width:
Background:
Article

Synthesis of Novel Quinazolinone Analogues for Quorum Sensing Inhibition

School of Chemistry, The University of New South Wales, Sydney, NSW 2052, Australia
*
Authors to whom correspondence should be addressed.
Antibiotics 2023, 12(7), 1227; https://doi.org/10.3390/antibiotics12071227
Submission received: 15 June 2023 / Revised: 17 July 2023 / Accepted: 21 July 2023 / Published: 24 July 2023

Abstract

As bacteria continue to develop resistance mechanisms against antimicrobials, an alternative method to tackle this global concern must be developed. As the pqs system is the most well-known and responsible for biofilm and pyocyanin production, quinazolinone inhibitors of the pqs system in P. aeruginosa were developed. Molecular docking following a rationalised medicinal chemistry approach was adopted to design these analogues. An analysis of docking data suggested that compound 6b could bind with the key residues in the ligand binding domain of PqsR in a similar fashion to the known antagonist M64. The modification of cyclic groups at the 3-position of the quinazolinone core, the introduction of a halogen at the aromatic core and the modification of the terminal group with aromatic and aliphatic chains were investigated to guide the synthesis of a library of 16 quinazolinone analogues. All quinazolinone analogues were tested in vitro for pqs inhibition, with the most active compounds 6b and 6e being tested for biofilm and growth inhibition in P. aeruginosa (PAO1). Compound 6b displayed the highest pqs inhibitory activity (73.4%, 72.1% and 53.7% at 100, 50 and 25 µM, respectively) with no bacterial growth inhibition. However, compounds 6b and 6e only inhibited biofilm formation by 10% and 5%, respectively.

1. Introduction

In order to minimise the development of antibiotic resistance, research has shifted towards new classes of antimicrobial agents that target quorum sensing (QS), rather than cell viability like conventional antibiotics [1,2,3]. QS is a cell-signalling mechanism that allows bacteria to communicate with each other, causing a population of unicellular bacteria to behave similarly to a multicellular organism [2,3]. As the population density of bacteria grows, small molecules known as autoinducers (AIs) that regulate the expression of virulent genes are produced [2,3]. These AIs are produced intracellularly before being released actively or passively into the extracellular environment [3]. Once the concentration threshold of AIs is reached (known as a ‘quorum’), the signalling molecules can be recognised by the cognate receptors [3]. This results in the activation of signal transduction pathways that regulate a wide range of activities such as biofilm maturation, virulence factor production, secondary metabolite production and antibiotic resistance [2,3].
QS has become an emerging drug discovery target as it provides an avenue to prevent virulence and biofilm maturation [2,3,4]. As QS inhibitors (QSIs) disrupt bacterial communication through competitive inhibition instead of targeting cell viability, QSIs impose a less selective pressure on bacteria compared to traditional antibiotics, which reduces the chance of bacteria developing resistance against QSIs [4]. When used in conjunction with growth inhibitory antibiotics, QSIs are capable of combatting against biofilm formation and the virulence of bacteria while simultaneously reducing the associated antibiotic resistance [4].
In 2013, the U.S. Center for Disease Control and Prevention stated that Gram-negative bacteria accounted for a large proportion of resistance threats [5]. In particular, the Gram-negative bacterium Pseudomonas aeruginosa has been identified as a multidrug-resistant species that plays a crucial part in numerous diseases and infections [6,7]. P. aeruginosa has three major interconnected QS systems: las, rhl and pqs [7,8]. The Pseudomonas quinolone signal (pqs) system is known to be the most clinically relevant target as the biosynthesis and signal transduction pathways are now well-known and has proven to play a significant role in virulence and biofilm formation [7,8]. Furthermore, crystal structures for the essential components of the pqs system, such as PqsR, have been determined, making it an attractive target for QSIs [7]. Conversely, there has not been sufficient published work on the Rhl system to validate it as a possible drug discovery target [7]. Although the las system has been studied intensively, most inhibitors have failed to proceed to preclinical development due to structural drawbacks of the developed drugs (i.e., hydrolytically/metabolically labile groups), unfavourable physiochemical properties, weak potency as well as the frequent lasR mutants that arise in chronic P. aeruginosa infections, making it difficult to target [7]. Therefore, the pqs system is a viable target for quorum sensing inhibition.

2. Results and Discussion

2.1. Design of Quinazolinone Inhibitors

Many reported pqs inhibitors contain quinazolinone scaffolds to mimic the quinolone core of 2-heptyl-3-hydroxyquinolin-4(1H)-one (PQS) and 2-heptylquinolin-4(1H)-one (HHQ) to increase their binding affinity to PqsR [2,9]. The conversion of the quinolone core of PQS into a quinazolinone scaffold whilst replacing the hydroxyl group at the 3-position of PQS with a cyclic group, as shown in quinazolinones 1 and 2, provided high pyocyanin and biofilm inhibition against P. aeruginosa PAO1 [2,9]. Molecular docking studies show that the increased affinity of quinazolinone compounds is due to the aromatic stacking between the quinazoline core and LEU208 and ILE236 of PqsR, and the hydrogen bond between the carbonyl group on the ring and the hydroxyl group of Thr265 in the ligand binding domain of PqsR [10]. Research has also shown that a 6-chloro-substituted quinazolinone (e.g., 2) demonstrated better activity than 7-chloro-substituted quinazolinones (e.g., 1) [7]. Additional docking studies have shown that the amide group in M64 (3) participates in hydrogen bonding with amino acid residue Gln194 in PqsR and is able to fit into a hydrophobic binding pocket by bending at the central sulfur atom [5]. A secondary scaffold involving the incorporation of a triazole ring was explored, as compounds with this moiety have been shown to inhibit biofilm formation and virulence (4) [11]. Therefore, the new scaffolds for the PQS inhibitor analogues will incorporate important aspects of previously known inhibitors, specifically a quinazolinone core, sulfur atom, an amide group and a triazole ring (Figure 1).

2.2. Molecular Docking Using GOLD

In silico computational docking experiments were conducted using GOLD software in conjunction with Discovery Studio (DS) to predict intermolecular interactions between the quinazolinone ligands and PqsR receptor ligand binding domain (LBD). These docking studies facilitated a rational approach to SAR analysis and drug design to develop new scaffolds for the synthesis of pqs inhibitors.

2.2.1. Interactions of M64 and PQS with PqsR

M64 is a known pqs inhibitor that has shown great therapeutic efficiency in the treatment of P. aeruginosa infections [12]. A cocrystal of M64 in complex with the PqsR ligand binding domain obtained from the Protein Data Bank (PDB) of Research Collaboratory for Structural Bioinformatics (RCSB) (PDB-6B8A) was used to observe key ligand–receptor interactions in DS [13]. A site-directed mutagenesis of amino acid residues in the PqsR binding pocket have concluded that hydrogen bonding with GLN194 and aromatic stacking interactions with TYR258 strongly contribute towards its affinity and pqs inhibition (Figure 2A) [13,14]. Molecular docking of M64 also suggests that the sp3 nature of the central sulfur atom allows for the correct geometry for the compound to fit into the hydrophobic binding pocket. Additionally, the docking of the natural ligand PQS into the LBD (Figure 2B) revealed that hydrogen bonding between LEU197 and the carbonyl moiety of the quinolone core could be a crucial interaction for its affinity with the receptor. Therefore, possible quinazolinone inhibitors were designed to incorporate these intermolecular interactions to achieve high affinity to the PqsR receptor.

2.2.2. Docking Quinazolinone Analogues with PqsR Receptor

Synthetically possible molecules in a library were docked into the PqsR receptor to compare the ligand–receptor interactions with M64 and PQS. The incorporation of cyclic groups at the R2 position and amide groups have been shown to increase pqs inhibition in known inhibitors and were thus considered when designing possible analogues [15]. Since the natural ligand PQS has a long alkyl chain extending into the hydrophobic pocket of PqsR, the effect of substituting different-sized alkyl and aromatic amines on predicted interactions were also examined at the R3 and R4 positions in the respective scaffolds.
Based on docking results, the quinazolinone amide 5a containing a cyclopropyl group at the R2 position and a butyl chain attached to the amide was designed from Scaffold 1. This analogue showed potential interactions with key residues GLN194 and TYR258 through hydrogen bonding and hydrophobic interactions, respectively. However, aromatic stacking with TYR258 was not observed between 5a and PqsR. To increase the likelihood of the quinazolinone analogue participating in the key aromatic stacking interaction, the butyl chain was replaced with a 4-methoxyphenyl functional group (5e). The docking results indicated that aromatic stacking interactions with TYR258 were predicted to occur, increasing the compound’s ability to bind to the PqsR receptor (Figure 3A). Further synthesis thus involved a focus on incorporating a 4-methoxyphenyl group at the R3 position.
To increase the QSI’s ability to interact with key polar residues in the PqsR receptor, a secondary scaffold was developed, which includes a 1,2,3-triazole ring in between the quinazolinone core and the amide moiety. Triazole rings were chosen because they are known amide bioisosteres and have been proven to be effective in biofilm and virulence inhibition, as they have been used in previous pqs inhibitors such as 4 [11,16]. The amide was incorporated to increase the compound’s likelihood of hydrogen bonding with LEU197, a key amino acid residue with which PQS is able to interact.
Molecular docking of quinazolinone-1,2,3-triazole-phenylacetamide 6b supported the above hypotheses, as the desired interactions were predicted. The amide group was predicted to form hydrogen bonds with GLN194 and LEU207. The carbonyl group on the quinazolinone core was predicted to form a hydrogen bond with THR265, which is an interaction that was predicted to occur with effective pqs inhibitors developed by Grossman et al. in 2018 [10]. Additionally, a pi-sulfur bond was predicted between the sulfur atom and PHE221 (Figure 3B). A previous site-directed mutagenesis study showed that PHE221 played a significant role in pqs inhibition, suggesting that the interaction between 6b and the receptor could be key for pqs inhibition [14]. The importance of this sulfur group for orienting the molecule into a hydrophobic binding pocket is reflected in Figure 3C as it mimics the binding position of the known PQS inhibitor M64. Furthermore, an additional hydrogen bond between the triazole ring and SER196 was predicted. While no interactions with TYR258 were predicted to occur and the position of 6b and M64 do not overlap completely in the receptor (Figure 3C), they still interact with key residues, implying that 6b should still be antagonistic to pqs signalling.

2.3. Synthesis of Analogues

The synthesis of 2-mercaptoquinazolin-4(3H)-one analogues was essential for the preparation of possible pqs inhibitors containing a quinazolinone core. Anthranilic acid 7a, methyl anthranilate 7b and 5-chloro-substituted methyl anthranilate 7c were chosen as the precursors for this reaction series. Anthranilates 7ac were reacted with an appropriate isothiocyanate and triethylamine in ethanol under reflux conditions to afford the 2-mercaptoquinazolin-4(3H)-one intermediates 8ac in 19–95% yield (Scheme 1). Quinazolinone thiol 8c was obtained in low yields due to the electron-withdrawing nature of chlorine in 7c, which withdraws electrons from the amino group, decreasing its nucleophilicity. The quinazolinone thiols were converted to quinazolinone carboxylic acids using a modified version of the procedure described by Savino et al. (2018) [17]. In these reactions, the thiols 8a8c were stirred with 2.0 equivalents of bromoacetic acid and potassium carbonate in ethanol at room temperature for 12 h to generate 9ad in a 72–99% yield (Scheme 1).
Amide functional groups have proven to be critical for pqs, biofilm and pyocyanin inhibition in a variety of known inhibitors [11,18]. These amide bonds are generally synthesised by coupling an amine with a carboxylic acid using stoichiometric amounts of a coupling reagent to ensure that the reaction occurs at ambient temperatures [19]. The synthesis of quinazolinone-based amides was attempted under different reaction conditions, and it was identified that the use of hexafluorophosphate azabenzotriazole tetramethyl uronium (HATU) as the coupling reagent provided the highest yield for the reaction (Scheme S1, Table S1). In such an attempt, 9a was dissolved in anhydrous dimethylformamide (DMF) in the presence of triethylamine and 4-methoxyaniline before HATU was added and the reaction mixture was stirred at room temperature overnight, following a modified procedure reported by Guardia et al. (2016) [20]. After the completion of reaction, water was added to the reaction mixture to precipitate the product and afford pure quinazolinone-based amide 5e in 64% yield. With HATU identified as the optimal acid–amine coupling regent, compounds 9ad were reacted with appropriate amines in analogous reactions to afford quinazolinone-based amides 5ai (Scheme 2, Table 1).
Given that not all quinazolinone-based amides were able to be successfully synthesised by reacting carboxylic acid 9 with a substituted amine and HATU, an alternate strategy was proposed: this involved reacting 2-chloroacetamide 12 with 8b and 8c to form the corresponding quinazolinone-based amides. 4-Methoxyaniline 10a was first converted to 2-chloroacetamide 12 by nucleophilic addition with chloroacetyl chloride 11 at room temperature for 18 h. 2-Chloroacetamide 12 was then reacted with 8b and 8c in DMF at 50 °C to produce their corresponding quinazolinone-based amides 5j and 5k in 37% and 56% yield, respectively (Scheme 3).
To synthesise target Scaffold 2 in the effort to develop possible pqs inhibitors, alkynyl quinazolinones 13ac were reacted with substituted 2-bromoacetamides 15ac to synthesise a series of quinazolinone-1,2,3-triazole-phenylacetamide derivatives 6ae. These alkynyl quinazolinones 13ac were synthesised by reacting thiol analogues 8ac with propargyl bromide in the presence of potassium carbonate to initiate a nucleophilic substitution reaction (Scheme 4).
In order to incorporate the triazole moiety, a one-pot synthesis of quinazolinone-1,2,3-triazole-phenylacetamide was carried out by performing click chemistry reactions via copper-catalysed azide–alkyne cycloaddition. The required 2-bromoacetamides 15ac for the click chemistry reactions were first prepared by reacting aniline derivatives 10ac with bromoacetic acid 14 (Scheme 5). These 2-bromoacetamides 15ac were then reacted with 13ac in the presence of sodium azide, sodium ascorbate and a catalytic amount of CuI in DMF/H2O at 90 °C to afford 6ae in 10–55% yield (Scheme 5, Table 2). 2-Bromoacetamides 15ac were used in this reaction instead of the corresponding 2-chloro-substituted acetamides because bromide ion is a better leaving group than chloride ion due to its size and ability to stabilise a negative charge, hence resulting in a more efficient substitution reaction.
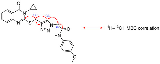
The regioselectivity of the copper-catalysed azide–alkyne 1,3-dipolar cycloaddition reactions in the formation of products 6ae was confirmed using 2D 1H:13C HMBC NMR spectroscopy. As a representative example, in the 1H:13C HMBC NMR of compound 6b, the protons at both CH2 groups on C6 (5.26 ppm) and C9 (4.57 ppm) showed a correlation with the aromatic CH carbon on the triazole ring at C3, indicating the successful formation of the 1,3-disubstituted triazole ring (Figure 4 and Figure S1).

2.4. PQS Inhibition Assays and Structure–Activity Relationships

The ability of the synthesised quinazolinone analogues in inhibiting the pqs system was evaluated using a pqsA:gfp reporter assay, which measures the PqsR regulated expression of the pqsABCDE operon [21]. Ideal lead compounds as QS inhibitors would effectively inhibit cell communication via pqs with a minimal inhibition of bacterial growth to reduce the exerted selective pressure and decrease the likelihood resistance development. The results of the PQS inhibition assay and growth inhibition assay are shown in Table 3 and Table S2, respectively. By developing 16 analogues across two scaffolds (quinazolinone amides 5a5k and quinazolinone-1,2,3-triazole-phenylacetamides 6ae), it was discovered that 6b exhibited the most potent pqs inhibition (73.4%, 72.1% and 53.7% at 100, 50 and 25 µM, respectively). These results were consistent with the numerous interactions with key amino acid residues (i.e., GLN194, LEU207, THR265, SER196 and PHE221) observed in the molecular docking of 6b (Figure 3C). Moreover, all the analogues did not inhibit the growth of bacteria substantially.
While the difference in activity between quinazolinone-based amides and quinazolinone-1,2,3-triazole-phenylacetamides 6ae is not substantial, the general trend was that compounds containing the electron-donating 4-methoxyphenyl substituent at the terminal position possessed a slightly higher QSI activity, with 6b displaying the highest levels of QSI activity (73.4%, 72.1% and 53.7% at 100, 50 and 25 µM, respectively). However, it should be noted that 6e possessed the second highest QSI activity of 63.3% at 100 µM and contained an electron-withdrawing nitro group. With the exception of 6b, the minimal difference in activity across the two scaffolds was unexpected as numerous existing compounds containing triazole rings exhibited a greater pqs inhibition compared to quinazolinone-based amides. Nevertheless, these analogues displayed slightly higher levels of pqs inhibition compared to the quinazolinone-based amides 5ak.
The introduction of chlorine at the 6-position of the quinazolinone core in 5d and 5i had no significant effect on their QSI activity at 100 µM despite the previous literature studies showing a significant increase in pqs inhibition [7,15]. A previous study by Sabir et al. found that quinazolinone analogues containing a cyclopropyl group on the 3-position of the quinazolinone core tended to have higher levels of pqs inhibitory activity than compounds containing a phenyl group [14]. The results for the quinazolinone-based amides 5 ak were not consistent with these findings for the synthesised quinazolinone-based amides. Compounds 5c, 5h and 5j containing a phenyl group had a slightly higher or similar pqs inhibitory activity at all tested concentrations compared to analogous compounds containing a cyclopropyl group. In contrast, quinazolinone-1,2,3-triazole-phenylacetamides 6d with a phenyl group at the 3-position of the quinazolinone core exhibited significantly lower pqs inhibition compared to the corresponding compound 6b bearing a cyclopropyl group, resulting in a similar trend to that observed for quinazolinone-1,2,3-triazole-phenylacetamides in the study by Sabir et al. Since the cyclopropyl-containing compound 6b possessed the highest activity of all compounds, it was concluded that the installation of the cyclopropyl group significantly contributes to pqs inhibitory activity.
The difference in QSI activity between 5e and 5j was also unexpected as molecular docking shows that 5j was unable to participate in pi-sulfur bonds with PqsR, yet it still possesses a higher QSI activity than 5e at 25 and 50 µM. This could be due to the increased number of hydrophobic interactions between the phenyl substituent and the receptor, which could accumulate to provide a stronger interaction than a pi-sulfur bond. Moreover, it can be seen that 5j with an ethyl linker had an inhibitory activity of 43.0% at 50 µM while 5f with a propyl linker had an inhibitory activity of 11.7% at 50 µM, suggesting that increasing the carbon chain on the amide group decreases pqs inhibition. Initial docking studies showed that quinazolinone analogues containing primary amides were predicted to make a higher number of hydrophobic interactions than secondary amides, potentially increasing their affinity to PqsR and thus pqs inhibition. Indeed, compounds containing the secondary amide from morpholine (5gi) generally showed a lower pqs inhibitory activity at 100 and 25 µM. However, this trend was less clear at 50 µM, with 5h and 5i bearing a secondary amide moiety having a similar QSI activity as their corresponding compounds 5c and 5d, which bear a primary amide moiety.
Docking studies of quinazolinone-1,2,3-triazole-phenylacetamides 6a,ce showed that these compounds were not predicted to participate in the key ligand–receptor interactions observed for 6b, especially the hydrogen bonds with SER196 and LEU207, and the pi-sulfur bond with PHE221. As 6b was the most active compound at all tested concentrations, the pqs inhibition assay suggests that interactions with these residues of the receptor may be significant for QSI activity. Additionally, compound 6e with a 4-nitro group at the terminal phenyl ring had a QSI activity of 63.3% at 100 µM and was the second most active compound at that concentration. However, at a lower concentration of 25 µM, its corresponding unsubstituted compounds 6a had a higher QSI activity of 21.6% compared to compound 6e with a QSI activity of 7.3%. These suggested that the introduction of the electron-donating 4-methoxy group at the terminal phenyl ring of quinazolinone-1,2,3-triazole-phenylacetamides had a larger effect on QSI activity compared with compounds containing the electron-withdrawing nitro group.

2.5. Biofilm Inhibition

Selected potent compounds 6b and 6e identified in the QS inhibition assay were tested for their ability to inhibit the formation of P. aeruginosa biofilm. In this assay, compounds 6b and 6e at 25, 50 and 100 µM were incubated with P. aeruginosa at 37 °C under static conditions overnight. After incubation, the supernatant was removed, and the loosely bound and planktonic bacterial cells were washed away. P. aeruginosa biofilms, which adhered to the plate substratum, were then quantified by crystal violet staining [22,23].
Both compounds 6b and 6e were poor P. aeruginosa biofilm inhibitors as they only managed to inhibit 10% and 5%, respectively, of P. aeruginosa biofilm formation at 100 µM (Figure 5). At lower concentrations of 25 and 50 µM, no inhibition of P. aeruginosa biofilm formation was observed. The results were in contradiction with the QS inhibition assay, as it was expected that these compounds would be able to significantly inhibit the formation of P. aeruginosa biofilm via the pqs-based QS system due to their high QSI activity. This discrepancy could be because of the formation of biofilm via other QS systems, and this will be explored in future studies [24].

3. Materials and Methods

3.1. In Silico Studies

Ligands were initially sketched and protons were added before performing full energy minimisation using Discovery Studio Client 2018 (Accelrys Inc., San Diego, CA, USA) with CHARM forcefield and default setting with max steps set to 10,000. All minimised ligands were docked using GOLD (Cambridge Crystallography Date Centre, Cambridge, UK) through Discovery Studio onto orthorhombic space group c2221, which is the M64 ligand binding domain of PqsR and OdDHL ligand binding domain of LasR. The protocol was run with default settings except for: poses = 100; detect cavity = false, early termination = false, flexibility–intramolecular hydrogen bond = true. The docking pose in the largest, highest scoring cluster between 2–3 Å RMSD of ligand heavy atoms was used for all analyses. Images of docked compounds were generated in Discovery Studio 18.1 and ChemDraw 19.0.

3.2. Synthesis of Analogues

3.2.1. General Information

Bruker Avance III 300 and Bruker Avance III HD 400 spectrometers (Bruker Pty Ltd., Preston, Victoria, Australia) were used to obtain all 1H and 13C NMR spectra with the respective solvents using chemical shifts (δ) in parts per million (ppm). Multiplicities for NMR spectra have been assigned using singlet (s), doublet (d), doublet of doublet (dd), doublet of doublet of doublet (ddd), doublet of triplet (dt), triplet (t), quartet (q), doublet of quartet (dq), pentet (p), hextet (h), septet (sept), multiplet (m) and broad singlet (br) as necessary and coupling constants (J) in Hertz (Hz). Optimelt melting point apparatus (SRS, Sunnyvale, CA, USA) was used for all measurements of all melting points, uncorrected. High-resolution mass spectra (HRMS) were conducted using Thermo LTQ Orbitrap XL instrument (Thermo Scientific, Waltham, MA, USA) under positive-mode electrospray ionisation. Infrared (IR) spectra were recorded using a Cary 630 FTIR spectrometer (Agilent, Mulgrave, Victoria, Australia) fitted with a diamond attenuated total reflectance (ATR) sample interface. Flash column chromatography was performed using Grace Davisil LC60A silica. All reagents were bought commercially from Sigma Aldrich (Castle Hill, NSW, Australia), Alfa Aesar (Haverhill, MA, USA) and ChemImpex (Wood Dale, IL, USA) and used without extra purification. Anhydrous solvents were acquired from PureSolv MD Solvent Purification System (Inert, Amesbury, MA, USA).

3.2.2. Synthetic Procedures and Experimental Characterisation Data

  • General synthetic procedure A for 2-mercaptoquinazoline 8ac
A mixture of corresponding methyl anthranilate 7 (1.0 equivalent), substituted isothiocyanate (1.2 equivalent) and triethylamine (1.2 equivalent) in ethanol (30 mL) was stirred and heated at 100 °C under reflux for 8 h, using thin layer chromatography (TLC) to monitor the reaction. The reaction mixture was then cooled to room temperature. The resulting white solid precipitate was filtered and washed with diethyl ether. The solid was then dried to afford the corresponding 2-mercaptoquinazoline-4(3H)-one 8.
  • 3-Cyclopropyl-2-mercaptoquinazolin-4(3H)-one (8a)
The title compound 8a was synthesised from methyl anthranilate (1.00 g, 6.61 mmol), 2-cyclopropyl isothiocyanate (0.673 mL, 7.27 mmol) and triethylamine (1.10 mL, 7.90 mmol) following general synthetic procedure A. The product was obtained as a white fluffy solid (0.72 g, 50%); mp 245.7–250.0 °C; 1H NMR (400 MHz, DMSO-d6) δ 12.77 (s, 1H), 7.93 (dd, J = 7.9, 1.4 Hz, 1H), 7.68–7.72 (m, 1H), 7.27–7.36 (m, 2H), 2.79–2.85 (m, 1H), 1.10–1.19 (m, 2H), 0.78–0.83 (m, 2H); 13C NMR (100 MHz, DMSO–d6) δ 117.54, 161.20, 139.75, 135.52, 127.58, 124.53, 116.75, 115.53; IR (ATR): vmax 2163, 1685, 1621, 1545 cm−1; HRMS (+ESI): Found m/z 219.0587, [M + H]+, C11H11N2OS required 219.0587.
  • 2-Mercapto-3-phenylquinazolin-4(3H)-one (8b)
The title compound 8b was synthesised from anthranilic acid (1.00 g, 7.29 mmol), phenyl isothiocyanate (1.08 g, 8.02 mmol) and triethylamine (1.22 mL, 8.75 mmol) following general synthetic procedure A. The product was obtained as a light grey solid (1.77 g, 95%); mp 294.2–303.6 °C; 1H NMR (400 MHz, DMSO-d6) δ 13.04 (s, 1H), 7.96 (dd, J = 8.0, 1.5 Hz, 1H), 7.77–7.81 (m, 1H), 7.33–7.51 (m, 5H), 7.28 (dd, J = 7.2, 1.7 Hz, 2H); 13C NMR (100 MHz, DMSO-d6) δ 176.54, 160.30, 140.14, 139.80, 136.07, 129.47, 129.37, 128.57, 127.88, 124.81, 116.69, 116.22; IR (ATR): vmax 3250, 3218, 3138, 3072, 3033, 1662, 1621, 1527 cm−1; HRMS (+ESI): Found m/z 277.0406, [M + Na]+, C14H10N2OSNa required 277.0406.
  • 6-Chloro-3-cyclopropyl-2-mercaptoquinazolin-4(3H)-one (8c)
The title compound 8c was synthesised from 5-chloro methyl anthranilate (0.500 g, 2.69 mmol), cyclopropyl isothiocyanate (0.274 mL, 2.96 mmol) and triethylamine (0.449 mL, 3.23 mmol) following general synthetic procedure A. The product was obtained as a white fluffy solid (0.132 g, 19%); mp 187.7–202.2 °C; 1H NMR (400 MHz, DMSO-d6) δ 12.88 (s, 1H), 7.86 (d, J = 2.4 Hz, 1H), 7.75 (dd, J = 8.8, 2.5 Hz, 1H), 7.36 (d, J = 8.8 Hz, 1H), 2.79–2.84 (m, 1H), 1.14–1.19 (m, 2H), 0.79–0.83 (m, 2H); 3C NMR (100 MHz, DMSO-d6) δ 177.45, 160.28, 138.59, 135.41, 128.30, 126.52, 118.19, 118.14, 30.20, 12.07 cm−1; IR (ATR): vmax 3169, 3102, 2168, 2009, 1701, 1622, 1540; HRMS (+ESI): Found m/z 253.0197, [M + H]+, C11H10ClN2OS required 253.0197.
  • General synthetic procedure B for quinazolinone carboxylic acid derivatives 9
Appropriate carboxylic acid (1.7 equivalent) in EtOH (5 mL) was added to a solution of compound 8 (1.0 equivalent) in EtOH (5 mL). Potassium hydroxide (10 mL) was then added. The reaction mixture was stirred at room temperature overnight. After completion, water (10 mL) was added to the reaction mixture, which was acidified with HCl to pH 2 to produce a cloudy white suspension. The crude product was then filtered and washed with water before being purified with flash column chromatography on silica gel using n-hexane/EtOAc as eluent to afford a pure white solid product 9.
  • 2-((3-Cyclopropyl-4-oxo-3,4-dihydroquinazolin-2-yl)thio)acetic acid (9a)
The title compound 9a was synthesised from thiol 8a (0.500 g, 2.29 mmol) and bromoacetic acid (0.541 g, 3.89 mmol) following general synthetic procedure B. The product was obtained as a fluffy white solid (0.458 g, 64%); mp 165.2–191.6 °C; 1H NMR (400 MHz, DMSO-d6) δ 8.03 (dd, J = 7.2, 3.6 Hz, 1H), 7.73–7.77 (m, 1H), 7.40–7.44 (m, 2H), 4.03 (s, 2H), 2.90–2.95 (m, 1H), 1.21–1.26 (m, 2H), 0.95–0.99 (m, 2H); 13C NMR (100 MHz, DMSO-d6) δ 170.25, 161.90, 159.17, 146.87, 134.93, 126.77, 126.23, 126.08, 119.84, 34.86, 26.93, 11.07; IR (ATR): vmax 2645, 2160, 1719, 1688, 1630, 1608, 1553 cm−1; HRMS (+ESI): Found m/z 299.0458, [M + Na]+, C13H12N2O3SNa required [M + Na]+ 299.0461.
  • 2-((4-Oxo-3-phenyl-3,4-dihydroquinazolin-2-yl)thio)acetic acid (9b)
The title compound 9b was synthesised from thiol 8b (0.500 g, 1.96 mmol) and bromoacetic acid (0.464 g, 3.34 mmol) following general synthetic procedure B. The product was obtained as an off-white solid (0.599 g, 96%); mp 192.2–203.7 °C; 1H NMR (400 MHz, DMSO-d6) δ 8.09 (dd, J = 8.0, 1.5 Hz, 1H), 7.82–7.86 (m, 1H), 7.55–7.63 (m, 4H), 7.46–7.51 (m, 3H); 13C NMR (100 MHz, DMSO-d6) δ 169.97, 161.11, 157.15, 147.54, 136.19, 135.45, 130.50, 130.05, 129.87, 127.08, 126.58, 126.48, 119.95, 35.13, 19.02; IR (ATR): vmax 2645, 2160, 1719, 1688, 1630, 1608, 1553 cm−1; HRMS (+ESI): Found m/z 335.0460, [M + Na]+, C16H12N2O3SNa required 335.0461.
  • 2-((6-Chloro-3-cyclopropyl-4-oxo-3,4-dihydroquinazolin-2-yl)thio)acetic acid (9c)
The title compound 9c was synthesised from thiol 8c (0.200 g, 0.791 mmol) and bromoacetic acid (0.187 g, 1.582 mmol) following general synthetic procedure B. The product was obtained as a white solid (0.241 g, 99%); mp 187.7–202.2 °C; 1H NMR (400 MHz, DMSO-d6) δ 7.95 (d, 1H), 7.78 (dd, J = 8.0 Hz, 1H), 7.45 (d, J = 8.8 Hz, 1H), 4.03 (s, 2H), 2.91–2.95 (m, 1H), 1.19–1.26 (m, 2H), 0.95–1.00 (m, 2H); 13C NMR (100 MHz, DMSO-d6) δ 170.15, 160.91, 160.08, 145.58, 134.97, 130.15, 128.32, 125.73, 121.10, 34.94, 27.08, 11.04; IR (ATR): vmax 3214, 2217, 2916, 2087, 1640, 1574 cm−1; HRMS (+ESI): m/z 333.0072, [M + Na]+, C13H11ClN2O3SNa required 333.0071.
  • 3-((4-Oxo-3-phenyl-3,4-dihydroquinazolin-2-yl)thio)propanoic acid (9d)
The title compound 9d was synthesised from thiol 8b (0.250 g, 0.983 mmol) and 3-bromopropanoic acid (0.256 g, 1.67 mmol) following general synthetic procedure B. The product was obtained as a white solid (0.136 g, 96%); mp 187.1–230.7 °C; 1H NMR (400 MHz, DMSO-d6) δ 8.09 (dd, J = 7.9, 1.5 Hz, 1H), 7.82–7.87 (m, 1H), 7.52–7.65 (m, 4H), 7.47–7.51 (m, 1H), 7.43–7.47 (m, 2H), 3.29 (t, J = 7.0 Hz, 2H), 2.66–2.81 (m, 2H); 13C NMR (100 MHz, DMSO-d6) δ 161.13, 156.19, 147.57, 136.03, 135.47, 130.57, 130.03, 129.93, 127.09, 126.69, 126.65, 120.09, 79.72, 74.50, 20.88; IR (ATR): vmax 3226, 1996, 1665, 1622, 1533 cm−1; HRMS (+ESI): Found m/z 327.0798, [M + H]+, C17H15N2O3S required 327.0798.
  • General synthetic procedure C for quinazolinone-based amides 5ai
A solution of the appropriate acetic acid 9 (1.0 equivalent), substituted amine (1.1 equivalent) and triethylamine (2.0 equivalent) in anhydrous DMF (2 mL) was prepared. HATU (1.1 equivalent) was then added to the solution and the reaction mixture was stirred at room temperature overnight. After completion of the reaction, water was added and the mixture extracted with EtOAc (3 × 15 mL). The combined organic extracts were washed with brine (30 mL), dried over anhydrous magnesium sulfate, and concentrated in vacuo. The crude mixture was purified with flash column chromatography on silica gel using n-hexane/EtOAc as eluent to afford the solid product 5ai.
  • N-Butyl-2-((3-cyclopropyl-4-oxo-3,4-dihydroquinazolin-2-yl)thio)acetamide (5a)
The title compound 5a was synthesised from quinazolinone carboxylic acid 9a (0.100 g, 0.362 mmol), butylamine (0.039 mL, 0.398 mmol), triethylamine (0.100 mL, 0.724 mmol) and HATU (0.151 g, 0.398 mmol) following general synthetic procedure C. The product was obtained as a white solid (20 mg, 17%); mp 92.4–100.6 °C; 1H NMR (400 MHz, DMSO-d6) δ 8.16 (t, J = 5.7 Hz, 1H), 8.04 (dd, J = 8.0 Hz, 1H), 7.74–7.78 (m, 1H), 7.39–7.48 (m, 2H), 3.92 (s, 2H), 3.07 (q, J = 4.0 Hz, 2H), 2.89–2.94 (m, 1H), 1.31–1.41 (m, 2H), 1.20–1.29 (m, 4H), 0.95–1.00 (m, 2H), 0.81 (t, J = 7.3 Hz, 3H); 13C NMR (100 MHz, DMSO-d6) δ 167.16, 161.96, 159.48, 146.98, 134.83, 126.75, 126.14, 126.06, 119.89, 36.30, 31.65, 26.94, 19.96, 14.08, 11.10; IR (ATR): vmax 3312, 3090, 2962, 2870, 1680, 1648, 16,608, 1579, 1550 cm−1; HRMS (+ESI): Found m/z 332.1427, [M + H+], C17H22N3O2S required 332.1427.
  • N-Benzyl-2-((3-cyclopropyl-4-oxo-3,4-dihydroquinazolin-2-yl)thio)acetamide (5b)
The title compound 5b was synthesised from quinazolinone carboxylic acid 9a (0.100 g, 0.36 mmol), benzylamine (0.0435 mL, 0.400 mmol), triethylamine (0.100 mL, 0.724 mmol) and HATU (0.151 g, 0.398 mmol) following general synthetic procedure C. The product was obtained as a white solid (40 mg, 48%); mp 157.3–159.5 °C; 1H NMR (400 MHz, DMSO d6) δ 8.71 (t, J = 6.0 Hz, 1H), 8.04 (dd, J = 8.3, 1.6 Hz, 1H), 7.74–7.78 (m, 1H), 7.41–7.44 (m, 2H), 7.18–7.24 (m, 5H), 4.02 (s, 2H), 2.90–2.95 (m, 1H), 1.20–1.25 (m, 2H), 0.97–1.01 (m, 2H); 13C NMR (100 MHz, DMSO-d6) δ 166.31, 161.90, 159.48, 146.94, 134.93, 126.77, 126.14, 126.10, 119.85, 66.63, 66.53, 46.50, 42.62, 40.63, 40.42, 40.21, 40.00, 39.79, 39.59, 39.38, 35.16, 26.93, 11.20; IR (ATR): vmax 3362, 2013, 1663, 1610, 1580, 1530 cm−1; HRMS (+ESI): Found m/z 388.1091, [M + Na]+, C20H19N3O2SNa required 388.1090.
  • N-Benzyl-2-((4-oxo-3-phenyl-3,4-dihydroquinazolin-2-yl)thio)acetamide (5c)
The title compound 5c was synthesised from quinazolinone carboxylic acid 9b (0.100 mg, 0.320 mmol), benzylamine (0.0384 mL, 0.352 mmol), triethylamine (0.0890 mL, 0.640 mmol) and HATU (0.134 g, 0.352 mmol) following general synthetic procedure C. The product was obtained as a white solid (12 mg, 15%); mp 186.6–189.9 °C; 1H NMR (400 MHz, DMSO-d6) δ 8.68 (t, J = 6.0 Hz, 1H), 8.09 (dd, J = 8.1, 1.5 Hz, 1H), 7.83–7.87 (m, 1H), 7.41– 7.66 (m, 7H), 7.26 (d, J = 4.5 Hz, 4H), 4.30 (d, J = 6.0 Hz, 2H), 3.95 (s, 2H); 13C NMR (100 MHz, DMSO-d6) δ 167.20, 161.17, 157.41, 147.63, 139.62, 136.28, 135.34, 130.43, 130.00, 129.91, 128.67, 127.53, 127.20, 127.03, 126.56, 126.49, 120.01, 42.95, 36.48; IR (ATR): vmax 3294, 1689, 1643, 1607, 1547 cm−1. HRMS (+ESI): Found m/z 424.1085, [M + Na]+, C23H19N3O2SNa required 424.1090.
  • N-Benzyl-2-((6-chloro-3-cyclopropyl-4-oxo-3,4-dihydroquinazolin-2-yl)thio)acetamide (5d)
The title compound 5d was synthesised from quinazolinone carboxylic acid 9c (0.100, 0.322 mmol), benzylamine (0.0387 mL, 0.354 mmol), triethylamine (0.0897 mL, 0.0.644 mmol) and HATU (0.135 g, 0.354 mmol) following general synthetic procedure C. The product was obtained as a white solid (13 mg, 14%); mp 145.7–192.2 °C; 1H NMR (400 MHz, DMSO-d6) δ 8.71 (t, J = 6.1 Hz, 1H), 7.96 (t, J = 2.4 Hz, 1H), 7.79 (dd, J = 2.6 Hz, 1H), 7.43 (d, J = 8.7 Hz, 1H), 7.19–7.24 (m, 5H), 4.26 (d, J = 6.0 Hz, 2H), 4.02 (s, 2H), 2.91–2.96 (m, 1H), 1.19–1.25 (m, 2H), 0.97–1.02 (m, 2H); 13C NMR (100 MHz, DMSO-d6) δ 67.40, 161.01, 160.31, 145.68, 1 39.67, 134.86, 130.08, 128.62, 128.43, 127.48, 127.17, 125.66, 121.15, 42.95, 27.11, 11.04; IR (ATR): vmax 3281, 1685, 1647, 1547, 1510 cm−1; HRMS (+ESI): Found m/z 422.0696, [M + Na]+, C20H18ClN3O2SNa required 422.0700.
  • 2-((3-Cyclopropyl-4-oxo-3,4-dihydroquinazolin-2-yl)thio)-N-(4-methoxyphenyl)acetamide (5e)
The title compound 5e was synthesised from quinazolinone carboxylic acid 9a (0.100, 0.362 mmol), 4-methoxyaniline (0.0490 g, 0.398 mmol), triethylamine (0.100 mL, 0.724 mmol) and HATU (0.151 g, 0.398 mmol) following general synthetic procedure C. The product was obtained as a light purple solid (88 mg, 64%); mp 187.6–205.1 °C; 1H NMR (400 MHz, DMSO-d6) δ 10.21 (s, 1H), 8.03 (dd, J = 7.9, 1.5 Hz, 1H), 7.72–7.76 (m, 1H), 7.49–7.53 (m, 2H), 7.39–7.46 (m, 2H), 4.12 (s, 2H), 3.72 (s, 3H), 2.91–2.97 (m, 1H), 1.22–1.27 (m, 2H), 0.97–1.02 (m, 2H); 13C NMR (100 MHz, DMSO-d6) δ 165.95, 134.91, 126.01, 121.19, 114.37, 55.63, 37.33, 26.98, 11.10; IR (ATR): vmax 3278, 2894, 2020, 1682, 1652, 1598, 1557, 1536, 1514 cm−1; HRMS (+ESI): Found m/z 404.1032, [M + Na]+, C20H19N3O3SNa required 404.1039.
  • N-(4-Methoxyphenyl)-3-((4-oxo-3-phenyl-3,4-dihydroquinazolin-2-yl)thio)propenamide (5f)
The title compound 5f was synthesised from quinazolinone carboxylic acid 9d (0.0500 g, 0.153 mmol), 4-methoxyaniline (0.0207 g, 0.168 mmol), triethylamine (0.031 mL, 0.306 mmol) and HATU (0.0640 g, 0.168 mmol) following general synthetic procedure C. The product was obtained as a white solid (38 mg, 54%); mp 180.0–191.2 °C; 1H NMR (400 MHz, DMSO-d6) δ 9.81 (s, 1H), 8.10 (dd, 1H), 7.83–7.87 (m, 1H), 7.64 (d, 1H), 7.51–7.55 (m, 4H), 7.45–7.49 (m, 4H), 3.72 (s, 3H), 3.40 (t, J = 6.7 Hz, 2H), 2.73–2.78 (m, 2H). 13C NMR (100 MHz, DMSO-d6) δ 169.17, 161.27, 157.65, 155.60, 147.78, 136.43, 135.38, 132.67, 130.27, 129.91, 129.87, 127.04, 126.61, 126.43, 121.26, 121.07, 121.03, 120.05, 114.38, 114.29, 55.62, 38.72, 35.62, 28.25; IR (ATR): vmax 3309, 3064, 2927, 2954, 1735, 1692, 1649, 1600, 1544, 1510 cm−1; HRMS (+ESI): m/z 432.1375, [M + H]+, C24H22N3O3S required 432.1376.
  • 3-Cyclopropyl-2-((2-morpholino-2-oxoethyl)thio)quinazolin-4(3H)-one (5g)
The title compound 5g was synthesised from quinazolinone carboxylic acid 9a (0.100 g, 0.362 mmol), morpholine (0.0347 mL, 0.398 mmol), triethylamine (0.100 mL, 0.724 mmol) and HATU (0.151 g, 0.398 mmol) following general synthetic procedure C. The product was obtained as a white solid (61 mg, 49%); mp 181.0–238.3 °C; 1H NMR (400 MHz, DMSO-d6) δ 8.04 (dd, J = 8.0 Hz, 1H), 7.74–7.79 (m, 1H), 7.40–7.46 (m, 2H), 4.25 (s, 2H), 3.68 (s, 4H), 3.58 (t, J = 4.8 Hz, 2H), 3.47 (t, J = 4.7 Hz, 2H), 2.90–2.95 (m, 1H), 1.22–1.27 (m, 2H), 0.95–0.99 (m, 2H); 13C NMR (100 MHz, DMSO-d6) δ 166.32, 161.91, 159.48, 146.94, 134.94, 126.77, 126.15, 126.11, 66.62, 66.53, 46.50, 42.62, 35.14, 26.93, 11.19; IR (ATR): vmax 3082, 2964, 2917, 2853, 1988, 1672, 1645, 1608, 1547 cm−1; HRMS (+ESI): Found m/z 368.1040, [M + Na]+, C17H19N3O3SNa required 368.1039.
  • 2-((2-Morpholino-2-oxoethyl)thio)-3-phenylquinazolin-4(3H)-one (5h)
The title compound 5h was synthesised from quinazolinone carboxylic acid 9b (0.100 g, 0.320 mmol), morpholine (0.031 mL, 0.352 mmol), triethylamine (0.0650 mL, 0.640 mmol) and HATU (0.134 g, 0.352 mmol) following general synthetic procedure C. The product was obtained as a white solid (39 mg, 32%); mp 181.6–228.9 °C; 1H NMR (400 MHz, DMSO-d6) δ 8.03 (dd, J = 8.0, 1.5 Hz, 1H), 7.74–7.78 (m, 1H), 7.40–7.48 (m, 2H), 4.25 (s, 2H), 3.68 (s, 4H), 3.48 (t, J = 4.8 Hz, 2H), 2.90–2.93 (m, 1H), 1.22–1.27 (m, 2H), 0.95–0.99 (m, 2H); 13C NMR (100 MHz, DMSO-d6) δ 166.04, 162.79, 161.11, 157.50, 147.62, 136.28, 135.45, 130.46, 130.03, 129.88, 127.07, 126.51, 119.97, 66.57, 66.48, 46.49, 42.55, 36.26, 35.75, 31.25; IR (ATR): vmax 3055, 2856, 2204, 1673, 1650, 1604, 1546 cm−1; HRMS (+ESI): Found m/z 382.1223, [M + H]+, C20H20N3O2S required 382.1220.
  • 6-Chloro-3-cyclopropyl-2-((2-morpholino-2-oxoethyl)thio)quinazolin-4(3H)-one (5i)
The title compound 5i was synthesised from quinazolinone carboxylic acid 9c (0.0500 g, 0.161 mmol), morpholine (0.0154 mL, 0.177 mmol), triethylamine (0.0500 mL, 0.322 mmol) and HATU (0.0673 g, 0.177 mmol) following general synthetic procedure C. The product was obtained as a white solid (59 mg, 97%); mp 180.0–191.2 °C, 1H NMR (400 MHz, DMSO-d6) δ 7.96 (d, J = 2.5 Hz, 1H), 7.79 (dd, J = 8.7 Hz, 2.5 Hz, 1H), 7.51 (d, J = 8.7 Hz, 1H), 4.26 (s, 2H), 3.67 (s, 4H), 3.58 (t, J = 5.3 Hz, 2H), 3.47 (t, J = 5.2 Hz, 2H), 2.90–2.95 (m, 1H), 1.22–1.27 (m, 2H), 0.96–1.00 (m, 2H); 13C NMR (100 MHz, DMSO-d6) δ 166.18, 162.00, 157.94, 146.87, 134.98, 130.54, 128.40, 125.72, 121.11, 66.61, 48.41, 48.03, 42.61, 35.34, 27.09, 11.17. IR (ATR): vmax 3063, 2967, 2855, 1674, 1651, 1604, 1542 cm−1; HRMS (+ESI): Found m/z 402.0656, [M + Na]+, C17H18ClN3O3SNa required 402.0650.
  • 2-Chloro-N-(4-methoxyphenyl)acetamide (12)
A stirred solution of 4-methoxyaniline 10a (0.500 g, 4.06 mmol, 1.0 equivalent) in dichloromethane (DCM) (15 mL) was cooled to −10 °C under an argon atmosphere. Triethylamine (0.622 mL, 0.470 mmol, 1.1 equivalent) and chloroacetyl chloride 11a (0.550 g, 4.872 mmol, 1.2 equivalent) were added successively and the reaction mixture was stirred at room temperature overnight. The resulting reaction mixture was treated with 10% HCl (10 mL) and then added to ice. The product was extracted into DCM (3 × 30 mL), and the combined organic extracts washed with brine, dried over anhydrous magnesium sulfate and concentrated in vacuo. The resulting crude compound was purified with flash column chromatography on silica gel using DCM/MeOH as eluent to afford the acetamide 12a as an off-white solid powder (0.626 g, 77%); mp 120.9–123.9 °C; 1H NMR (400 MHz, DMSO-d6) δ 10.15 (s, 1H), 7.36–7.57 (m, 2H), 6.81–7.01 (m, 2H), 4.22 (s, 2H), 3.73 (s, 3H); 13C NMR (100 MHz, DMSO-d6) 164.60, 156.09, 132.02, 121.42, 114.43, 55.64, 43.98; IR (ATR): vmax 3275, 2954, 2182, 1672, 1574, 1543 cm−1; HRMS (+ESI): Found m/z 222.0291, [M + H+], C9H11ClNO2 required 222.0292.
  • General synthetic procedure D for quinazolinone-based amides 5j and 5k
A solution containing the appropriate thiol compound 8b or 9c (1.0 equivalent), 2-chloroacetamide 12a (1.0 equivalent) and potassium carbonate (2.0 equivalent) in DMF was heated at 50 °C for 12 h. After completion, the reaction mixture was poured into water/ice and the product was extracted with EtOAc (3 × 15 mL). The combined organic extracts were washed with brine, dried over anhydrous magnesium sulfate and concentrated in vacuo to afford the final solid product (5j or 5k).
  • N-(4-Methoxyphenyl)-2-((4-oxo-3-phenyl-3,4-dihydroquinazolin-2-yl)thio)acetamide (5j)
The title compound 5j was synthesised from quinazolinone carboxylic acid 9b (0.100, 0.393 mmol), 2-chloroacetamide 12a (0.0785 g, 0.393 mmol) and potassium carbonate (0.109 g, 0.786 mmol) following general synthetic procedure D. The product was obtained as a light pink solid (61 mg, 37%); mp 188.8–201.1 °C; 1H NMR (400 MHz, DMSO-d6) δ 10.20 (s, 1H), 8.09 (dd, 1H), 7.82–7.8 (m, 1H), 7.57–7.63 (m, 4H), 7.45–7.51 (m, 5H), 4.06 (s, 2H), 3.72 (s, 3H); 13C NMR (100 MHz, DMSO-d6) δ 165.61, 161.11, 157.48, 155.80, 147.63, 136.28, 135.43, 132.55, 130.47, 130.02, 129.91, 127.09, 126.51, 126.39, 121.16, 120.03, 114.37, 55.63, 37.70; IR (ATR): vmax 3271, 3064, 1682, 1652, 1602, 1544, 1510 cm−1; HRMS (+ESI): Found m/z 440.1036, [M + Na]+, C23H19N3O3SNa required 440.1039.
  • 2-((6-Chloro-3-cyclopropyl-4-oxo-3,4-dihydroquinazolin-2-yl)thio)-N-(4-methoxyphenyl)acetamide (5k)
The title compound 5k was synthesised from quinazolinone carboxylic acid 9c (0.100, 0.396 mmol), 2-chloroacetamide 12a (0.0789 g, 0.396 mmol) and potassium carbonate (0.109 g, 0.792 mmol) following general synthetic procedure D. The product was obtained as a white solid (93 mg, 56%); mp 221.0–223.8 °C; 1H NMR (400 MHz, DMSO-d6) δ 10.21 (s, 1H), 7.95 (d, J = 2.5 Hz, 1H), 7.78 (dd, J = 8.7, 2.6 Hz, 1H), 7.48–7.52 (m, 3H), 6.74–7.06 (m, 2H), 4.12 (s, 2H), 3.72 (s, 3H), 2.92–2.97 (m, 1H), 1.21–1.27 (m, 2H), 0.98–1.02 (m, 2H); 13C NMR (100 MHz, DMSO-d6) δ 165.86, 160.94, 160.40, 155.81, 145.68, 134.98, 132.60, 130.11, 128.24, 125.73, 121.24, 121.16, 114.37, 55.63, 37.37, 27.12, 11.07; IR (ATR): vmax 3267, 2933, 2837, 1669, 1607, 1572, 1535, 1511 cm−1; HRMS (+ESI): Found m/z 438.0647, [M + Na]+, C20H18ClN3O3SNa required 438.0650.
  • General synthetic procedure E for alkynyl quinazolinones 13a–c
To a solution of the appropriate thiol compound 8 (1.0 equivalent) in dimethyl sulfoxide (DMSO)/acetonitrile (ACN) (1:9), propargyl bromide (1.2 equivalent) and potassium carbonate (3.0 equivalent) was added. The reaction mixture was stirred at room temperature for 8 h. After completion, water was added to the reaction mixture and the product was extracted with EtOAc (3 × 15 mL). The combined organic extracts were washed with brine, dried over anhydrous magnesium sulfate and concentrated in vacuo to afford the final solid product 13.
  • 3-Cyclopropyl-2-(prop-2-yn-1-ylthio)quinazolin-4(3H)-one (13a)
The title compound 13a was synthesised from thiol 8a (0.300 g, 1.37 mmol), propargyl bromide (0.125 mL, 1.64 mmol) and potassium carbonate (0.570 g, 4.11 mmol) following general synthetic procedure E. The product was obtained as a white solid (0.156 g, 44%); mp 138.6–152.4 °C; 1H NMR (400 MHz, DMSO-d6) δ 8.05 (dd, J = 7.9 Hz, 1H), 7.75–7.79 (m, 1H), 7.54 (d, 1H), 7.42–7.46 (m, 1H), 4.09 (s, 2H), 3.21 (t, J = 2.6 Hz, 1H), 2.88–2.93 (m, 1H), 1.19–1.24 (m, 2H), 0.94–0.98 (m, 2H). 13C NMR (100 MHz, DMSO-d6) δ 161.88, 158.21, 146.89, 134.96, 126.79, 126.37, 126.27, 119.94, 79.96, 74.42, 26.84, 20.60, 11.03; IR (ATR): vmax 3232, 1672, 1608, 1539 cm−1; HRMS (+ESI): Found m/z 279.0562, [M + Na]+, C14H12N2OSNa required 279.0563.
  • 3-Phenyl-2-(prop-2-yn-1-ylthio)quinazolin-4(3H)-one (13b)
The title compound 13b was synthesised from thiol 6b (0.200 g, 0.786 mmol), propargyl bromide (0.0713 mL, 0.943 mmol) and potassium carbonate (0.326 g, 2.36 mmol) following general synthetic procedure E. The product was obtained as a white solid (195 mg, 85%); mp 179.7–194.1 °C; 1H NMR (400 MHz, DMSO-d6) δ 8.03 (dd, J = 8.0, 1.6 Hz, 1H), 7.88 (ddd, J = 8.5, 7.2, 1.6 Hz, 1H), 7.68 (dd, J = 8.3, 1.1 Hz, 1H), 7.61–7.58 (m, 3H), 7.51–7.46 (m, 3H), 4.01 (d, J = 2.6 Hz, 2H), 3.18 (t, J = 2.6 Hz, 1H), 2.55 (s, 1H); 13C NMR (100 MHz, DMSO-d6) δ 161.13, 156.19, 147.57, 136.03, 135.47, 130.57, 130.03, 129.93, 127.09, 126.69, 126.65, 120.09, 79.72, 74.50, 40.63, 40.42, 40.21, 40.00, 39.79, 39.58, 39.37, 20.88. IR (ATR): vmax 3228, 1990, 1677, 1605, 1533 cm−1; HRMS (+ESI): Found m/z 315.0562, [M + Na]+, C17H12N2OSNa required 315.0563.
  • 6-Chloro-3-cyclopropyl-2-(prop-2-yn-1-ylthio)quinazolin-4(3H)-one (13c)
The title compound 13c was synthesised from thiol 6c (0.200 g, 0.791 mmol), propargyl bromide (0.0720 mL, 0.950 mmol) and potassium carbonate (0.328 g, 2.37 mmol) following general synthetic procedure E. The product was obtained as a white solid (82 mg, 94%); mp 179.7–194.1 °C; 1H NMR (400 MHz, DMSO-d6) δ 7.97 (d, J = 2.5 Hz, 1H), 7.80 (dd, J = 8.7, 2.5 Hz, 1H), 7.56 (d, J = 8.7 Hz, 1H), 4.09 (s, 2H), 3.22 (t, 1H), 2.88–2.94 (m, 1H), 1.19–1.24 (m, 2H), 0.95–0.99 (m, 2H); 13C NMR (100 MHz, DMSO-d6) δ 160.92, 159.11, 145.61, 134.99, 130.31, 128.54, 125.73, 121.22, 79.82, 74.52, 26.99, 20.69, 11.00; IR (ATR): vmax 3245, 2184, 1672, 1574, 1543 cm−1; HRMS (+ESI): Found m/z 313.0172 [M + Na]+, C14H11ClN2OSNa required 313.0173.
  • General synthetic procedure F for 2-bromoacetamide derivatives 15ac
A solution of appropriate aniline 10 (1.0 equivalent), bromoacetyl bromide 11b (1.2 equivalent) and triethylamine (1.1 equivalent) in DCM (20 mL) was stirred at room temperature overnight. 10% HCl (10 mL) was then added to the reaction mixture. The product was extracted into DCM (3 × 30 mL), and the combined organic extracts washed with brine, dried over anhydrous magnesium sulfate and concentrated in vacuo. The resulting crude compound was purified with flash column chromatography on silica gel using DCM/MeOH as eluent to afford the acetamide 12 as a solid powder.
  • 2-Bromo-N-(4-methoxyphenyl)acetamide (15a)
This title compound 15a was synthesised from 4-methoxyaniline 10a (1.00 g, 8.12 mmol), bromoacetyl bromide 11b (0.852 mL, 9.74 mmol) and triethylamine (1.24 mL, 8.93 mmol) following general synthetic procedure F. The product was obtained as an off-white solid (0.908 g, 46%); mp 129.7–131.9 °C; 1H NMR (400 MHz, DMSO-d6) δ 10.24 (s, 1H), 7.45–7.54 (m, 2H), 6.86–6.97 (m, 2H), 4.01 (s, 2H), 3.73 (s, 3H); 13C NMR (100 MHz, DMSO-d6) δ 164.71, 156.06, 132.18, 121.22, 114.45, 55.65, 30.90; IR (ATR): vmax 3280, 3165, 2946, 2052, 1655, 1620, 1542 cm−1; HRMS (+ESI): Found m/z 265.9788, [M + Na]+, C9H10BrNO2Na required 265.9787.
  • 2-Bromo-N-phenylacetamide (15b)
The title compound 15b was synthesised from aniline 10b (1 mL, 10.7 mmol), bromoacetyl bromide 11b (1.12 mL, 12.9 mmol) and triethylamine (1.65 mL, 11.8 mmol) following general synthetic procedure F. The product was obtained as an off-white solid (0.465 g, 20%); mp 134.7–165.2 °C; 1H NMR (400 MHz, DMSO-d6) δ 10.37 (s, 1H), 7.54–7.62 (m, 2H), 7.34 (t, J = 8.0 Hz, 2H), 7.09 (t, 7.2, 1.3 Hz, 1H), 4.04 (s, 1H); 13C NMR (100 MHz, DMSO-d6) δ 165.24, 139.07, 129.34, 124.30, 119.97, 119.69, 30.89; IR (ATR): 3138, 2270, 2223, 2169, 1991, 1699, 1671, 1604, 1543, 1514; IR (ATR): vmax 3272, 3215, 3148, 3100, 2052, 1655, 1608, 1553 cm−1; HRMS (+ESI): Found m/z 235.9683, [M + Na]+, C8H8BrNONa required 235.9681.
  • 2-Bromo-N-(4-nitrophenyl)acetamide (15c)
This title compound 15c was synthesised from 4-nitroaniline 10c (0.70 mL, 7.24 mmol), bromoacetyl bromide 11b (0.852 mL, 9.74 mmol) and K2CO3 (1.5 g, 8.93 mmol) following general synthetic procedure F. The product was obtained as a yellow solid (0.908 g, 46%); mp 152.7–175.6 °C; 1H NMR (400 MHz, DMSO-d6) δ 10.98 (s, 1H), 8.21–8.32 (m, 2H), 7.80–7.88 (m, 2H), 4.11 (s, 2H); 13C NMR (100 MHz, DMSO-d6) δ 166.26, 145.16, 143.11, 125.55, 119.51, 30.65. IR (ATR): vmax 3275, 3227, 3167, 3106, 2945, 1677, 1620, 1599, 1561 cm−1; HRMS (+ESI): Found m/z 280.9533, [M + Na]+, C8H7BrN2O3Na required 280.9532.
  • General synthetic procedure G for quinazolinone-1,2,3-triazole-phenylacetamide derivatives 6a–e
To a solution of appropriate alkyne 13 (1.0 equivalent) and 2-bromoacetamide 15bd (1.2 equivalent) in DMF/H2O (2:1), sodium azide (1.2 equivalent), CuI (0.2 equivalent) and sodium ascorbate (0.1 equivalent) were added. The reaction was heated to reflux overnight. After the reaction was completed, ice-cold water was added to the reaction mixture and the product was extracted using EtOAc (3 × 15 mL). The combined organic extracts were washed with brine, dried over anhydrous magnesium sulfate and concentrated in vacuo. The resulting crude compound was purified with flash column chromatography on silica gel using n-hexane/EtOAc as eluent to afford the solid product.
  • 2-(4-(((3-Cyclopropyl-4-oxo-3,4-dihydroquinazolin-2-yl)thio)methyl)-1H-1,2,3-triazol-1-yl)-N-phenylacetamide (6a)
The title compound 6a was synthesised from alkyl quinazolinone 13a (0.050 g, 0.195 mmol), 2-bromoacetamide 12b (0.0498 g, 0.234 mmol) and sodium azide (0.0150 g, 0.234 mmol) following general synthetic procedure G. The product was obtained as an off-white solid (14 mg, 42%); mp 171.3–206.0 °C; 1H NMR (400 MHz, DMSO-d6) δ 10.46 (s, 1H), 8.14 (s, 1H), 8.05 (dd, J = 8.2 Hz, 1H), 7.76–7.80 (m, 1H), 7.62 (dd, J = 8.2 Hz, 1H), 7.54 (dd, J = 4.0 Hz, 2H), 7.42–7.45 (m, 1H), 7.31–7.35 (m, 2H), 7.07–7.10 (m, 1H), 5.30 (s, 2H), 5.58 (s, 2H), 2.87–2.90 (m, 1H), 1.18–1.24 (m, 2H), 0.93–0.97 (m, 2H); 13C NMR (100 MHz, DMSO-d6) δ 164.62, 162.08, 159.11, 147.00, 142.85, 138.74, 134.98, 129.40, 126.74, 126.34, 126.29, 126.04, 124.34, 119.89, 119.71, 52.65, 26.87, 11.11; IR (ATR): vmax 3138, 2270, 2223, 2169, 1991, 1699, 1671, 1604, 1543, 1514 cm−1; HRMS (+ESI): Found m/z 433.1448, [M + H]+, C22H22N6O2S required 433.1441.
  • 2-(4-(((3-Cyclopropyl-4-oxo-3,4-dihydroquinazolin-2-yl)thio)methyl)-1H-1,2,3-triazol-1-yl)-N-(4-methoxyphenyl)acetamide (6b)
The title compound 6b was synthesised from alkyl quinazolinone 13a (0.0500 g, 0.195 mmol), 2-bromoacetamide 12c (0.0570 g, 0.234 mmol) and sodium azide (0.0152 g, 0.234 mmol) following general synthetic procedure G. The product was obtained as a green solid (50 mg, 55%); mp 143.6–168.0 °C; 1H NMR (400 MHz, DMSO-d6) δ 10.30 (s, 1H), 8.15 (s, 1H), 8.05 (dd, J = 1.5 Hz, 1H), 7.76–7.80 (m, 1H), 7.62 (dd, J = 8.2, 1.1 Hz, 1H), 7.42–7.51 (m, 3H), 6.88–6.92 (m, 2H), 5.26 (s, 2H), 4.57 (s, 2H), 3.72 (s, 3H), 2.85–2.90 (m, 1H), 1.18–1.23 (m, 2H), 0.92–0.97 (m, 2H); 13C NMR (100 MHz, DMSO-d6) δ 170.36, 164.49, 159.17, 156.81, 148.02, 136.56, 133.47, 132.23, 126.75, 126.35, 126.21, 121.35, 121.22, 114.47, 114.43, 55.64, 52.62, 51.69, 26.86, 11.10; IR (ATR): vmax 3260, 3142, 3081, 2917, 2838, 2107, 2016, 1664, 1607, 1547, 1510 cm−1; HRMS (+ESI): Found m/z 463.1545, [M + H]+, C23H23N6O3S required 463.1547.
  • 2-(4-(((6-Chloro-3-cyclopropyl-4-oxo-3,4-dihydroquinazolin-2-yl)thio)methyl)-1H-1,2,3-triazol-1-yl)-N-(4-methoxyphenyl)acetamide (6c)
The title compound 6c was synthesised from alkyl quinazolinone 13c (0.0500 g, 0.172 mmol), 2-bromoacetamide 12c (0.0500 g, 0.206 mmol) and sodium azide (0.0133 g, 0.206mmol) following general synthetic procedure G. The product was obtained as a green solid (28 mg, 33%); mp 179.7–194.1 °C; 1H NMR (400 MHz, DMSO-d6) δ 10.30 (s, 1H), 8.15 (s, 1H), 8.05 (dd, J = 8.0, 1.5 Hz, 1H), 7.76–7.80 (m, 1H), 7.59–7.66 (m, 1H), 7.44– 7.50 (m, 2H), 6.86–6.95 (m, 2H), 5.26 (s, 2H), 4.57 (s, 2H), 3.72 (s, 3H), 2.87–2.91 (m, 1H), 1.18–1.22 (m, 2H), 0.83–0.87 (m, 2H); 13C NMR (100 MHz, DMSO-d6) δ 164.07, 156.01, 145.74, 134.92, 131.91, 121.37, 121.24, 114.47, 114.42, 55.64, 51.68, 27.02, 11.06; IR (ATR): vmax 3267, 1668, 1608, 1550, 1510 cm−1; HRMS (+ESI): Found m/z 519.0976, [M + Na]+, C23H21ClN6O3SNa required 519.0977.
  • N-(4-Methoxyphenyl)-2-(4-(((4-oxo-3-phenyl-3,4-dihydroquinazolin-2-yl)thio)methyl)-1H-1,2,3-triazol-1-yl)acetamide (6d)
The title compound 6d was synthesised from alkyl quinazolinone 13b (0.100 g, 0.360 mmol), 2-bromoacetamide 12c (0.1054 g, 0.432 mmol) and sodium azide (0.0280 g, 0.432 mmol) following general synthetic procedure G. The product was obtained as a pale green solid (33 mg, 37%); mp 187.3–208.3 °C; 1H NMR (400 MHz, DMSO-d6) δ 10.29 (s, 1H), 8.09–8.13 (m, 2H), 7.85–7.89 (m, 1H), 7.74 (dd, J = 4.0 Hz, 1H), 7.55–7.60 (m, 2H), 7.50–7.53 (m, 1H), 7.45–7.49 (m, 4H), 6.88–6.92 (m, 2H), 5.24 (s, 2H), 4.49 (s, 2H), 3.72 (s, 3H); 13C NMR (100 MHz, DMSO-d6) δ 164.06, 161.19, 157.16, 156.00, 147.71, 136.21, 135.41, 131.94, 130.43, 129.98, 129.89, 127.05, 126.74, 126.55, 126.03, 121.22, 120.09, 114.47, 55.63, 52.59, 27.29; IR (ATR): vmax 3138, 2270, 2223, 2169, 1991, 1699, 1671, 1604, 1543, 1514 cm−1; HRMS (+ESI): Found m/z 521.1362, [M + Na]+, C26H22N6O3SNa required 521.1366.
  • 2-(4-(((3-Cyclopropyl-4-oxo-3,4-dihydroquinazolin-2-yl)thio)methyl)-1H-1,2,3-triazol-1-yl)-N-(4-nitrophenyl)acetamide (6e)
The title compound 6e was synthesised from alkyl quinazolinone 13a (0.100 g, 0.390 mmol), 2-bromoacetamide 12d (0.151 g, 0.585 mmol) and sodium azide (0.0380 g, 0.585 mmol) following general synthetic procedure G. The product was obtained as a light green solid (15 mg, 10%); mp 208.4–244.0 °C; 1H NMR (400 MHz, DMSO-d6) δ 11.05 (s, 1H), 8.23–8.26 (m, 2H), 8.18 (s, 1H), 8.14 (s, 1H), 8.04–8.06 (dd, J = 8.0, 1.6 Hz, 1H), 7.83–7.76 (m, 1H), 7.62 (d, J = 8.1, 1H), 7.46–7.42 (m, 1H), 5.39 (s, 2H), 4.58 (s, 2H), 2.86–2.91 (m, 1H), 1.18–1.23 (m, 2H), 0.93–0.97 (m, 2H); 13C NMR (100 MHz, DMSO-d6) δ 165.82, 161.99, 159.13, 147.03, 144.96, 143.07, 134.91, 126.75, 126.36, 126.23, 126.10, 125.59, 119.97, 119.50, 52.79, 26.92, 26.86, 11.11; IR (ATR): vmax 3445, 3162, 3017, 2178, 1711, 1666, 1629, 1553, 1512 cm−1; HRMS (+ESI): Found m/z 500.1109, [M + Na]+, C22H19N7O4SNa required 500.1111.

3.3. PQS Inhibition Assay

The assay for PqsR inhibition activity was performed using the PAO1 P. aeruginosa strain carrying the PqsR-regulated pqsA promoter fused to gfp. The compounds were dissolved in 100% DMSO to make 20 mM stock solutions. The test compounds (serially diluted with medium) were then incubated with overnight cultures of PAO1-pasA-gfp using MHB (Mueller–Hinton Broth) in 96-well plates at 37 °C with intermittent shaking. Readings were taken at 30 min intervals for at least 8 h and both GFP fluorescence and OD600 were recorded. The fluorescence values shown in the graph were normalised with respect to OD600. Negative control refers to the medium containing DMSO (0.5%) as the highest concentration of the test compound. The pqs inhibition assay was carried out in triplicate manner [21].

3.4. Biofilm Inhibition Assay

A single colony of P. aeruginosa was cultured in Mueller–Hinton Broth (MHB) at 37 °C with shaking at 120 rpm for 24 h. The resulting bacterial culture was washed twice with MHB with centrifugation after each wash. The bacterial solution was then diluted with fresh MHB to a turbidity of OD660 = 0.1 in MHB (equivalent to 108 colony-forming unit (CFU)/mL of bacteria), followed by diluting to 106 CFU/mL in MHB. 100 µL of the bacterial solution was added to wells of a flat-bottom 96-well plate (Costar) containing 100 µL serially diluted test compound. After incubation at 37 °C for 18 h, loosely bound cells were washed away with 1× phosphate-buffered saline (PBS, pH 7.4). Biofilms adhered to the plate substratum were quantified, using crystal violet staining as described previously [22,23]. Untreated bacteria were used as a negative control, where the percentage of biofilm mass reflected 100% biofilm growth. The experiment was performed in triplicate.

4. Conclusions

In conclusion, GOLD docking studies were carried out in order to guide the synthesis of quinazolinone analogues targeting the PqsR receptor in P. aeruginosa. Modifications of two quinazolinone-based scaffolds led to the synthesis of a library of 16 quinazolinone analogues using three different synthetic pathways. Eleven quinazolinone-based amides 5ai were generated via acid–amine coupling using quinazolinone carboxylic acids 9ad with substituted amines. Another two quinazolinone-based amides 5j and 5k were synthesised via a nucleophilic substitution of 2-chloroacetamide 12a using thiol compounds 8ad. Furthermore, quinazolinone-1,2,3-triazole-phenylacetamides 6ae were synthesised utilising 1,3-dipolar cycloaddition of alkyl quinazolinones 13ac and 2-bromoacetamides 12bd.
In vitro pqs inhibition assays of compounds 6ae identified that introducing the methoxy electron-donating group on the 4-position of the terminal phenyl ring (6b) could play a significant role in pqs inhibition. The pqs inhibition results of 6a and 6e emphasise this as analogues without a substituent or bearing an electron-withdrawing nitro group, respectively, possessed lower levels of pqs inhibition. This suggests that the higher levels of pqs inhibition could be due to the hydrogen bonding interactions with GLN194, LEU207, THR265 and SER196, pi-sulfur bonds with PHE221 and hydrophobic interactions with TYR258 and LEU197, as shown by in silico molecular docking studies.

Supplementary Materials

The following supporting information can be downloaded at: https://www.mdpi.com/article/10.3390/antibiotics12071227/s1, Figure S1: (A) 1H NMR spectrum of compound 6b. (B) Key 1H:13C HMBC correlations in compound 6b; Table S1: Reaction conditions attempted for the synthesis of quinazolinone-based amide 5a; Table S2: Percentage growth inhibition of P. aeruginosa induced by test compounds at 100, 50 and 25 μM; Scheme S1: Synthesis of quinazolinone-based amide 5e.

Author Contributions

N.K. and D.S.B. directed and supervised this project. The synthesis and spectroscopic characterisation of compounds were conducted by S.S. (Sahil Shandil). The biological assays were conducted by T.T.Y. and S.S. (Shekh Sabir). The manuscript was prepared by S.S. (Sahil Shandil) and T.T.Y. All authors have read and agreed to the published version of the manuscript.

Funding

This research was funded by a Discovery Project grant from the Australian Research Council (DP 180100845).

Institutional Review Board Statement

Not applicable.

Informed Consent Statement

Not applicable.

Data Availability Statement

Data are contained within the article and Supplementary Materials.

Acknowledgments

We thank the NMR and Bioanalytical Mass Spectrometry Facility (BMSF) facilities at UNSW.

Conflicts of Interest

The authors declare no conflict of interest.

References

  1. Dadgostar, P. Antimicrobial Resistance: Implications and Costs. Infect. Drug Resist. 2019, 12, 3903–3910. [Google Scholar] [CrossRef]
  2. Duplantier, M.; Lohou, E.; Sonnet, P. Quorum Sensing Inhibitors to Quench P. aeruginosa Pathogenicity. Pharmaceuticals 2021, 14, 1262. [Google Scholar] [CrossRef] [PubMed]
  3. Hemmati, F.; Salehi, R.; Ghotaslou, R.; Samadi Kafil, H.; Hasani, A.; Gholizadeh, P.; Nouri, R.; Ahangarzadeh Rezaee, M. Quorum Quenching: A Potential Target for Antipseudomonal Therapy. Infect. Drug Resist. 2020, 13, 2989–3005. [Google Scholar] [CrossRef] [PubMed]
  4. Soheili, V.; Tajani, A.S.; Ghodsi, R.; Bazzaz, B.S.F. Anti-PqsR compounds as next-generation antibacterial agents against Pseudomonas aeruginosa: A review. Eur. J. Med. Chem. 2019, 172, 26–35. [Google Scholar] [CrossRef]
  5. Li, X.-Z.; Plésiat, P.; Nikaido, H. The Challenge of Efflux-Mediated Antibiotic Resistance in Gram-Negative Bacteria. Clin. Microbiol. Rev. 2015, 28, 337–418. [Google Scholar] [CrossRef]
  6. Horcajada, J.P.; Montero, M.; Oliver, A.; Sorlí, L.; Luque, S.; Gómez-Zorrilla, S.; Benito, N.; Grau, S. Epidemiology and Treatment of Multidrug-Resistant and Extensively Drug-Resistant Pseudomonas aeruginosa Infections. Clin. Microbiol. Rev. 2019, 32, e00031-19. [Google Scholar] [CrossRef]
  7. Soukarieh, F.; Williams, P.; Stocks, M.J.; Cámara, M. Pseudomonas aeruginosa Quorum Sensing Systems as Drug Discovery Targets: Current Position and Future Perspectives. J. Med. Chem. 2018, 61, 10385–10402. [Google Scholar] [CrossRef] [PubMed]
  8. Lee, J.; Zhang, L. The hierarchy quorum sensing network in Pseudomonas aeruginosa. Protein Cell 2014, 6, 26–41. [Google Scholar] [CrossRef] [PubMed]
  9. Schütz, C.; Empting, M. Targeting the Pseudomonas quinolone signal quorum sensing system for the discovery of novel anti-infective pathoblockers. Beilstein J. Org. Chem. 2018, 14, 2627–2645. [Google Scholar] [CrossRef]
  10. Grossman, S.; Soukarieh, F.; Richardson, W.; Liu, R.; Mashabi, A.; Emsley, J.; Williams, P.; Cámara, M.; Stocks, M.J. Novel quinazolinone inhibitors of the Pseudomonas aeruginosa quorum sensing transcriptional regulator PqsR. Eur. J. Med. Chem. 2020, 208, 112778. [Google Scholar] [CrossRef]
  11. Srinivasarao, S.; Nandikolla, A.; Nizalapur, S.; Yu, T.T.; Pulya, S.; Ghosh, B.; Murugesan, S.; Kumar, N.; Chandra Sekhar, K.V.G. Design, synthesis and biological evaluation of 1,2,3-triazole based 2-aminobenzimidazoles as novel inhibitors of LasR dependent quorum sensing in Pseudomonas aeruginosa. RSC Adv. 2019, 9, 29273–29292. [Google Scholar] [CrossRef] [PubMed]
  12. Gwynn, M.N.; Portnoy, A.; Rittenhouse, S.F.; Payne, D.J. Challenges of antibacterial discovery revisited. Ann. N. Y. Acad. Sci. 2010, 1213, 5–19. [Google Scholar] [CrossRef] [PubMed]
  13. Kitao, T.; Lepine, F.; Babloudi, S.; Walte, F.; Steinbacher, S.; Maskos, K.; Blaesse, M.; Negri, M.; Pucci, M.; Zahler, B.; et al. Molecular Insights into Function and Competitive Inhibition of Pseudomonas aeruginosa Multiple Virulence Factor Regulator. mBio 2018, 9, e02158-17. [Google Scholar] [CrossRef] [PubMed]
  14. Klein, T.; Henn, C.; de Jong, J.C.; Zimmer, C.; Kirsch, B.; Maurer, C.K.; Pistorius, D.; Müller, R.; Steinbach, A.; Hartmann, R.W. Identification of Small-Molecule Antagonists of the Pseudomonas aeruginosa Transcriptional Regulator PqsR: Biophysically Guided Hit Discovery and Optimization. ACS Chem. Biol. 2012, 7, 1496–1501. [Google Scholar] [CrossRef]
  15. Sabir, S.; Das, T.; Kuppusamy, R.; Yu, T.T.; Willcox, M.D.P.; Black, D.S.; Kumar, N. Novel quinazolinone disulfide analogues as pqs quorum sensing inhibitors against Pseudomonas aeruginosa. Bioorg. Chem. 2023, 130, 106226. [Google Scholar] [CrossRef]
  16. Goetz, D.B.; Varney, M.L.; Wiemer, D.F.; Holstein, S.A. Amides as bioisosteres of triazole-based geranylgeranyl diphosphate synthase inhibitors. Biorg. Med. Chem. 2020, 28, 115604. [Google Scholar] [CrossRef]
  17. Savino, S.; Toscano, A.; Purgatorio, R.; Profilo, E.; Laghezza, A.; Tortorella, P.; Angelelli, M.; Cellamare, S.; Scala, R.; Tricarico, D.; et al. Novel bisphosphonates with antiresorptive effect in bone mineralization and osteoclastogenesis. Eur. J. Med. Chem. 2018, 158, 184–200. [Google Scholar] [CrossRef]
  18. Li, Q.; Mao, S.; Wang, H.; Ye, X. The Molecular Architecture of Pseudomonas aeruginosa Quorum-Sensing Inhibitors. Mar. Drugs 2022, 20, 488. [Google Scholar] [CrossRef]
  19. Dunetz, J.R.; Magano, J.; Weisenburger, G.A. Large-Scale Applications of Amide Coupling Reagents for the Synthesis of Pharmaceuticals. Org. Process Res. Dev. 2016, 20, 140–177. [Google Scholar] [CrossRef]
  20. Guardia, A.; Gulten, G.; Fernandez, R.; Gómez, J.; Wang, F.; Convery, M.; Blanco, D.; Martínez, M.; Pérez-Herrán, E.; Alonso, M.; et al. N-Benzyl-4-((heteroaryl)methyl)benzamides: A New Class of Direct NADH-Dependent 2-trans Enoyl–Acyl Carrier Protein Reductase (InhA) Inhibitors with Antitubercular Activity. ChemMedChem 2016, 11, 687–701. [Google Scholar] [CrossRef]
  21. Sabir, S.; Suresh, D.; Subramoni, S.; Das, T.; Bhadbhade, M.; Black, D.S.; Rice, S.A.; Kumar, N. Thioether-linked dihydropyrrol-2-one analogues as PqsR antagonists against antibiotic resistant Pseudomonas aeruginosa. Biorg. Med. Chem. 2021, 31, 115967. [Google Scholar] [CrossRef] [PubMed]
  22. O’Toole, G.A. Microtiter Dish Biofilm Formation Assay. JoVE 2011, 47, 2437. [Google Scholar]
  23. Yasir, M.; Dutta, D.; Willcox, M.D.P. Activity of Antimicrobial Peptides and Ciprofloxacin against Pseudomonas aeruginosa Biofilms. Molecules 2020, 25, 3843. [Google Scholar] [CrossRef] [PubMed]
  24. Fernandes, S.; Gomes, I.B.; Sousa, S.F.; Simões, M. Antimicrobial Susceptibility of Persister Biofilm Cells of Bacillus cereus and Pseudomonas fluorescens. Microorganisms 2022, 10, 160. [Google Scholar] [CrossRef]
Figure 1. Scaffold 1 and Scaffold 2 for synthesis of quinazolinone compounds based on the structure of known pqs inhibitors.
Figure 1. Scaffold 1 and Scaffold 2 for synthesis of quinazolinone compounds based on the structure of known pqs inhibitors.
Antibiotics 12 01227 g001
Figure 2. (A) M64 and (B) PQS interactions with key amino acids in the PqsR receptor. Pink dashed lines indicate hydrogen bonds. Green dashed lines connecting two green dots indicates aromatic stacking. Green solid lines indicate hydrophobic interactions around M64. Amino acid residues capable of making hydrophobic interactions are shown in light blue.
Figure 2. (A) M64 and (B) PQS interactions with key amino acids in the PqsR receptor. Pink dashed lines indicate hydrogen bonds. Green dashed lines connecting two green dots indicates aromatic stacking. Green solid lines indicate hydrophobic interactions around M64. Amino acid residues capable of making hydrophobic interactions are shown in light blue.
Antibiotics 12 01227 g002
Figure 3. (A) Predicted interactions between 5e and key amino acids in the PqsR receptor. (B) Predicted interactions between 6b and key amino acids in the PqsR receptor. Pink dashed lines indicate hydrogen bonds. Orange dashed lines indicate pi-sulfur interactions. Green solid lines indicate hydrophobic interactions around 6b. (C) Crystal structure of 6b (green) and M64 (orange) bound to PqsR.
Figure 3. (A) Predicted interactions between 5e and key amino acids in the PqsR receptor. (B) Predicted interactions between 6b and key amino acids in the PqsR receptor. Pink dashed lines indicate hydrogen bonds. Orange dashed lines indicate pi-sulfur interactions. Green solid lines indicate hydrophobic interactions around 6b. (C) Crystal structure of 6b (green) and M64 (orange) bound to PqsR.
Antibiotics 12 01227 g003
Scheme 1. Synthesis of quinazolinone carboxylic acids 9ad.
Scheme 1. Synthesis of quinazolinone carboxylic acids 9ad.
Antibiotics 12 01227 sch001
Scheme 2. Synthesis of quinazolinone-based amides 5ai.
Scheme 2. Synthesis of quinazolinone-based amides 5ai.
Antibiotics 12 01227 sch002
Scheme 3. Synthesis of quinazolinone-based amides 5j and 5k from thiol analogues 8b and 8c, respectively.
Scheme 3. Synthesis of quinazolinone-based amides 5j and 5k from thiol analogues 8b and 8c, respectively.
Antibiotics 12 01227 sch003
Scheme 4. Synthesis of alkynyl quinazolinones 13ac.
Scheme 4. Synthesis of alkynyl quinazolinones 13ac.
Antibiotics 12 01227 sch004
Scheme 5. Synthesis of quinazolinone-1,2,3-triazole-phenylacetamides 6ae.
Scheme 5. Synthesis of quinazolinone-1,2,3-triazole-phenylacetamides 6ae.
Antibiotics 12 01227 sch005
Figure 4. Key HMBC correlations in compound 6b.
Figure 4. Key HMBC correlations in compound 6b.
Antibiotics 12 01227 g004
Figure 5. Inhibition of P. aeruginosa biofilm formation by test compounds at different concentrations. Error bars represent the standard error of at least triplicate (n ≥ 3).
Figure 5. Inhibition of P. aeruginosa biofilm formation by test compounds at different concentrations. Error bars represent the standard error of at least triplicate (n ≥ 3).
Antibiotics 12 01227 g005
Table 1. Yields of quinazolinone-based amides 5ai.
Table 1. Yields of quinazolinone-based amides 5ai.
nR1R2R3R4Yield (%)
5a1HCyclopropaneHButyl17
5b1HCyclopropaneHBenzyl30
5c1HPhenylHBenzyl15
5d1ClCyclopropaneHBenzyl14
5e1HCyclopropaneHAnisole64
5f2HPhenylHAnisole57
5g1HCyclopropane-Morpholine49
5h1HPhenyl-Morpholine32
5i1ClCyclopropane-Morpholine97
Table 2. Yields of quinazolinone-1,2,3-triazole-phenylacetamides 6ae.
Table 2. Yields of quinazolinone-1,2,3-triazole-phenylacetamides 6ae.
R1R2R3Yield (%)
6aHCyclopropaneH42
6bHCyclopropaneMethoxy55
6cClCyclopropaneMethoxy33
6dHPhenylMethoxy37
6eHCyclopropaneNitro10
Table 3. Percentage PQS inhibition on PqsR system of P. aeruginosa (PAO1-pqsA-gfp) using percentage of green fluorescent protein (GFP) fluorescence at 485 nm. All measurements were performed in triplicates with ±standard deviation from mean.
Table 3. Percentage PQS inhibition on PqsR system of P. aeruginosa (PAO1-pqsA-gfp) using percentage of green fluorescent protein (GFP) fluorescence at 485 nm. All measurements were performed in triplicates with ±standard deviation from mean.
CompoundConcentration
100 μM50 μM25 μM
Antibiotics 12 01227 i001a 62.1 ± 2.9a 38.6 ± 0.9b 28.0 ± 1.1
Antibiotics 12 01227 i002a 51.0 ± 2.9a 34.8 ± 2.5a 24.4 ± 1.9
Antibiotics 12 01227 i003a 46.0 ± 3.7a 29.8 ± 1.8a 18.4 ± 5.1
Antibiotics 12 01227 i004c 49.9 ± 4.1b 29.5 ± 3.1b 47.0 ± 8.2
Antibiotics 12 01227 i005a 50.2 ± 3.7a 34.3 ± 0.8a 11.7 ± 4.2
Antibiotics 12 01227 i006b 39.5 ± 8.5a 11.7 ± 1.0NA
Antibiotics 12 01227 i007a 35.6 ± 5.2b 16.2 ± 1.0b 9.3 ± 1.9
Antibiotics 12 01227 i008a 39.8 ± 6.5a 27.5 ± 1.5a 13.0 ± 1.6
Antibiotics 12 01227 i009b 33.3 ± 4.9b 30.3 ± 5.8b 10.5 ± 4.2
Antibiotics 12 01227 i010c 44.3 ± 3.8b 43.0 ± 8.0b 26.2 ± 7.1
Antibiotics 12 01227 i011a 58.3 ± 5.9a 33.0 ± 5.6a 10.9 ± 0.3
Antibiotics 12 01227 i012NTNTa 21.6 ± 3.6
Antibiotics 12 01227 i013a 73.4 ± 0.0b 72.1 ± 2.4b 53.7 ± 5.2
Antibiotics 12 01227 i014a 49.8 ± 1.6b 36.5± 3.8a 11.9 ± 3.1
Antibiotics 12 01227 i015b 60.3 ± 5.3b 35.1 ± 1.1a 8.4 ± 0.7
Antibiotics 12 01227 i016c 63.3 ± 2.0a 37.6 ± 5.5a 7.3 ± 1.5
a No bacterial growth inhibition; b growth inhibition between 0 and 10%; c growth inhibition between 10 and 20%; NA = Not active; NT = Not tested.
Disclaimer/Publisher’s Note: The statements, opinions and data contained in all publications are solely those of the individual author(s) and contributor(s) and not of MDPI and/or the editor(s). MDPI and/or the editor(s) disclaim responsibility for any injury to people or property resulting from any ideas, methods, instructions or products referred to in the content.

Share and Cite

MDPI and ACS Style

Shandil, S.; Yu, T.T.; Sabir, S.; Black, D.S.; Kumar, N. Synthesis of Novel Quinazolinone Analogues for Quorum Sensing Inhibition. Antibiotics 2023, 12, 1227. https://doi.org/10.3390/antibiotics12071227

AMA Style

Shandil S, Yu TT, Sabir S, Black DS, Kumar N. Synthesis of Novel Quinazolinone Analogues for Quorum Sensing Inhibition. Antibiotics. 2023; 12(7):1227. https://doi.org/10.3390/antibiotics12071227

Chicago/Turabian Style

Shandil, Sahil, Tsz Tin Yu, Shekh Sabir, David StC. Black, and Naresh Kumar. 2023. "Synthesis of Novel Quinazolinone Analogues for Quorum Sensing Inhibition" Antibiotics 12, no. 7: 1227. https://doi.org/10.3390/antibiotics12071227

APA Style

Shandil, S., Yu, T. T., Sabir, S., Black, D. S., & Kumar, N. (2023). Synthesis of Novel Quinazolinone Analogues for Quorum Sensing Inhibition. Antibiotics, 12(7), 1227. https://doi.org/10.3390/antibiotics12071227

Note that from the first issue of 2016, this journal uses article numbers instead of page numbers. See further details here.

Article Metrics

Back to TopTop