Next Article in Journal
Subpopulations in Strains of Staphylococcus aureus Provide Antibiotic Tolerance
Next Article in Special Issue
Combating Bacterial Biofilms: Current and Emerging Antibiofilm Strategies for Treating Persistent Infections
Previous Article in Journal
Carbapenem-Resistant Enterobacteriaceae (CRE) among Children with Cancer: Predictors of Mortality and Treatment Outcome
Previous Article in Special Issue
In Vitro and In Vivo Studies of Heraclenol as a Novel Bacterial Histidine Biosynthesis Inhibitor against Invasive and Biofilm-Forming Uropathogenic Escherichia coli
 
 
Font Type:
Arial Georgia Verdana
Font Size:
Aa Aa Aa
Line Spacing:
Column Width:
Background:
Article

Investigation of α,ω-Disubstituted Polyamine-Cholic Acid Conjugates Identifies Hyodeoxycholic and Chenodeoxycholic Scaffolds as Non-Toxic, Potent Antimicrobials

1
School of Chemical Sciences, The University of Auckland, Private Bag 92019, Auckland 1142, New Zealand
2
UMR MD1 “Membranes et Cibles Therapeutiques”, U1261 INSERM, Faculté de Pharmacie, Aix-Marseille Universite, 27 bd Jean Moulin, 13385 Marseille, France
3
Laboratoire Molécules de Communication et Adaptation des Micro-Organismes, UMR 7245 CNRS, Muséum National d’Histoire Naturelle, 57 Rue Cuvier (C.P. 54), 75005 Paris, France
*
Author to whom correspondence should be addressed.
Antibiotics 2023, 12(2), 404; https://doi.org/10.3390/antibiotics12020404
Submission received: 31 January 2023 / Revised: 15 February 2023 / Accepted: 15 February 2023 / Published: 17 February 2023
(This article belongs to the Special Issue Discovery and Development of the Novel Antimicrobial Agent)

Abstract

With the increased incidence of antibiotic resistance, the discovery and development of new antibacterials is of increasing importance and urgency. The report of the natural product antibiotic squalamine in 1993 has stimulated a lot of interest in the study of structurally simplified cholic acid-polyamine derivatives. We report the synthesis of a focused set of deoxycholic acid-polyamine conjugates and the identification of hyodeoxycholic acid derivatives as being potently active towards S. aureus MRSA and some fungal strains, but with no attendant cytotoxicity or hemolytic properties. Analogue 7e exhibited bactericidal activity towards a range of Gram-positive bacteria, while preliminary investigation of its mechanism of action ruled out the bacterial membrane as being a primary cellular target as determined using an ATP-release bioluminescence assay.

Graphical Abstract

1. Introduction

Natural products have a proven track record of being an excellent source of novel antibiotics or molecules that provide inspiration for the development of new therapeutics [1,2]. Squalamine (1) is an example of a natural product antibacterial drug lead, originally isolated from tissues of the dogfish shark Squalus acanthias (Figure 1) [3,4]. The unusual aminosterol exhibits broad-spectrum activity towards Gram-positive and Gram-negative bacteria as well as fungi and protozoa. The presence of both water-soluble groups (spermine and sulfate) and a lipophilic sterol core suggest that squalamine acts as a cationic amphiphilic antimicrobial targeting bacterial membranes, disruption of which leads to bacteria cell death [5].
Closer examination of the interaction of squalamine with eukaryotic and prokaryotic membranes identified the natural product to be more selective for binding to the latter and that interaction with LPS-containing membranes was calcium ion dependent [5,6]. Squalamine induced a rapid release of intracellular ATP from Gram-positive bacteria and led to disruption of the bacterial membrane as observed in TEM images [5,7]. Weak hemolytic activities have been reported for squalamine, with an EC50 of 80 μM for hemoglobin release from erythrocytes [8] and an EC50 51 μM for propidium iodide entry into B lymphoma Wehi-231 cells [6], identifying it as a selective antibiotic lead for future development. In addition to demonstrating intrinsic antimicrobial properties, squalamine is also able to enhance the action of legacy antibiotics against Gram-negative bacteria [9]. In addition to membrane disrupting properties, a recent report has identified squalamine and structurally related mimics as inhibitors of the glycosyltransferase activity of Escherichia coli penicillin-binding protein PBP1b [10].
The initial report of the structure and biological activities of squalamine has stimulated widespread interest in the discovery of mimics that are structurally simplified and more easily prepared, as recently reviewed [11,12]. Many studies of squalamine mimics have used bile acids e.g., cholic acid (CA) (2), as the steroidal scaffold, due to their plentiful supply and the availability of a number of related structures e.g., (7)-deoxycholic acid, and isomers hyodeoxycholic acid (HDCA) (3), ursodeoxycholic acid (UDCA) (4) and chenodeoxycholic acid (CDCA) (5) (Figure 2).
The particular position and/or stereochemistry of hydroxyl substitution on the cholic acid imparts ‘facial amphiphilicity’ [13,14,15,16], an attribute that has been exploited to develop bile acid-amine conjugates that exhibit wide ranging biological activities including acting as synthetic ionophores [17,18], plasmid transfection reagents [16,19], and antimicrobials [20,21,22,23,24]. In the case of the latter activity, cholic acid-amine conjugates have been found to exhibit strong to potent activity against Gram-positive and Gram-negative bacteria and fungi, with mechanisms of action attributed to bacterial membrane damage and/or membrane depolarization [12,14,20]. The mechanism of membrane disruption has been attributed to the observed ability of some mimics to exhibit antibiotic enhancing properties [22,23]. Any future exploitation of these bioactive molecules will require selectivity towards bacterial versus mammalian membranes–there are unfortunately several reports of cytotoxicity and/or hemolytic activities exhibited by squalamine mimics [13,15,20,23].
The structure of squalamine (1) contains the polyamine, spermidine attached at sterol position C-3. Several groups have explored bile acid-based mimics containing simple diamines or polyamines attached to the C-24 sidechain carboxylic acid, identifying examples with broad-spectrum antimicrobial activities [20,23,24,25]. An intriguing extension to these studies is a series of bile acid derivatives that are linked at C-24 by short chain diamine/triamines to form dimers, some of which exhibit antibacterial [21,22,26] and antifungal [15] properties. Majority of these dimers utilized cholic [15,21,22,26] or deoxycholic acids [15,22,26].
With only limited examples reported in the literature of C-24 amide-linked cholic acid–polyamine conjugates as squalamine mimics, we undertook a study to explore the effect of variation in the cholic acid head group, using hyodeoxycholic (3), ursodeoxycholic (4) and chenodeoxycholic (5) acids (Figure 2), and variation in polyamine chain length on antimicrobial properties. Compound cytotoxicity and hemolytic properties were also evaluated. Herein, we report on the synthesis and biological evaluation of this set of cholic acid-polyamine conjugates and the results of a preliminary mechanism of action evaluation.

2. Results and Discussion

2.1. Synthesis of Cholic Acid-Polyamine Conjugates

The target set of analogues required the synthesis of Boc-protected polyamine scaffolds 6af (Figure 3), which were prepared according to literature procedures [27,28,29,30]. The polyamines chosen covered a range of overall lengths, from spermine (polyamine PA-3-4-3) through to the longer chain length PA-3-12-3 variant. The set was chosen to allow exploration of the effect of chain length, lipophilicity, and positioning of positive charges on antimicrobial and cytotoxicity/hemolytic properties.
Reaction of cholic acids 35 with Boc-protected polyamines 6af utilized coupling reagents PyBOP (benzotriazol-1-yloxytripyrrolidinophosphonium hexafluorophosphate) or EDC·HCl/HOBt (1-ethyl-3-(3-dimethylaminopropyl)carbodiimide, hydroxybenzotriazole) in anhydrous DMF, afforded coupled products which were subsequently deprotected (2,2,2-trifluoroacetic acid (TFA) in CH2Cl2) to yield the target compounds as their di-TFA salts (Scheme 1). While the preparation of conjugates 7af (HDCA) and 8af (UDCA) proceeded smoothly, the corresponding CDCA analogues were found to be difficult to purify, resulting in the successful synthesis, purification, and characterization of just one example (9a) (Figure 4).

2.2. Antimicrobial Activities

The antimicrobial activities of compounds 7af, 8af and 9a were determined against a panel of Gram-positive (methicillin-resistant Staphylococcus aureus (MRSA)) and Gram-negative (Escherichia coli, Pseudomonas aeruginosa, Klebsiella pneumoniae and Acinetobacter baumannii) bacteria and two fungal strains (Candida albicans and Cryptococcus neoformans) (Table 1). The overall trend observed for the compounds was growth inhibition of the Gram-positive bacteria MRSA and the fungal pathogens and limited to no activity towards the Gram-negative bacteria. The hyodeoxycholic acid (HDCA) analogues 7af exhibited good to excellent activities against MRSA (MIC ≤ 0.19 to 3–4 μM) and C. neoformans (MIC ≤ 0.19 to 0.8 μM) and with the long polyamine chain variants 7e and 7f also exhibiting excellent activity against C. albicans (MIC ≤ 0.20 μM). In contrast, the ursodeoxycholic acid (UDCA) analogues 8af, while exhibiting similar MRSA levels of activity to the HDCA series, were typically less active as antifungals. The notable exception was the longest polyamine chain variant, 8f, which was identified as potently active against both MRSA and C. neoformans (MIC ≤ 0.19 μM). The single example of a chenodeoxycholic acid-polyamine conjugate (9a) exhibited a slightly different spectrum of antimicrobial activity compared to the other corresponding spermine derivatives 7a and 8a, with potent growth inhibition observed against MRSA and both fungal pathogens (MIC ≤ 0.21 μM) and was the only analogue tested that exhibited some degree of growth inhibition against a Gram-negative bacterium (MIC 6.8 μM against E. coli). What is notable in these results is the variation of activity, and the spectrum of activity against different microorganisms between these sets of cholic acid analogues, arising from differences in the position and stereochemistry of hydroxyl group substitution at C-6 or C-7. In the same biological assays, squalamine exhibited strong growth inhibition of the Gram-positive bacteria MRSA and Gram-negative organisms E. coli, K. pneumoniae and A. baumannii (MIC ≤ 0.28 μM) and weak to moderate activity towards the fungi C. albicans and C. neoformans.

2.3. Cytotoxic and Hemolytic Activities

As noted in a number of studies, amphipathic squalamine mimics can exhibit varying degrees of cytotoxicity and/or hemolytic properties. Cytotoxicity towards HEK293 (human kidney epithelial cell line, IC50) and hemolytic activity against human red blood cells (HC10) were determined for compounds 79 (Table 2). While the HDCA analogues 7af were devoid of cytotoxicity and hemolytic properties at the top dose tested (32 μg/mL) and CDCA analogue 9a exhibited low levels of toxicity (IC50 and HC10 27 μM), the UDCA analogues 8af exhibited hemolytic properties with 8f also exhibiting cytotoxic properties. These results identified the HDCA series of analogues 7af as being selective for biological activity towards microorganisms versus mammalian cells. A similar lack of toxicity indicators was also observed for squalamine.

2.4. Real Time Growth Inhibition Curves and Determination of Bactericidal Activity

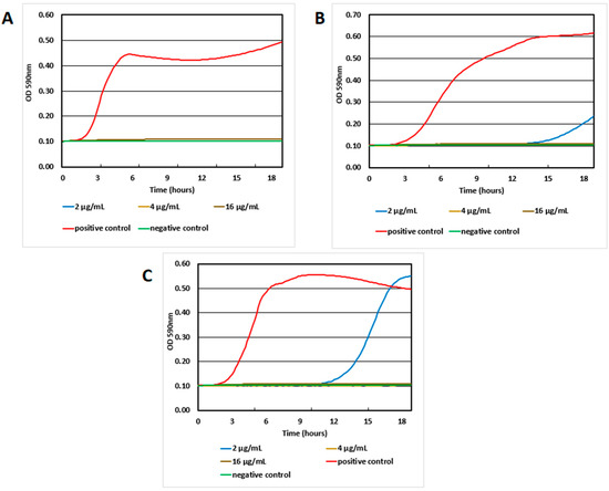
The antibacterial activity of 7e against S. aureus ATCC 25923, S. aureus MRSA (CF-Marseille) [31] and Bacillus cereus ATCC 11778 in liquid brain heart infusion (BHI) media were evaluated by measuring optical density (at 590 nm) after culturing from 1 to 19 h. The cholic acid-polyamine conjugate inhibited all three strains at 3.2 μM (4 µg/mL) and 12.7 μM (16 µg/mL) concentration, whereas at the lowest tested concentration, 1.6 μM (2 µg/mL), B. cereus exhibited growth after 10 h and S. aureus after 13 h (Figure 5). Classical microdilution methodology determined MIC values of 7e towards these three microorganisms of 1.6 μM (2 μg/mL), 3.2 μM (4 μg/mL) and 3.2 μM (4 μg/mL), respectively, with the values matching those observed at 18 h in the real time growth inhibition curve plots. The same values were observed for the minimum bactericidal concentration (MBC) for 7e against the three organisms, identifying the cholic acid-polyamine conjugate as being bactericidal.

2.5. Membrane Perturbation–ATP Release

Previous studies have noted the ability of squalamine to induce rapid loss of intracellular ATP [5,7]. Using the same bioluminescence method, the ability of HDCA analogue 7e to disrupt the membrane of S. aureus was investigated, with the detection of enhanced levels of extracellular ATP used as a reporter reflecting the permeabilizing effect of the compound. CTAB positive control dramatically disrupted the S. aureus membrane after 2 min, leading to observation of pronounced levels of fluorescence (Figure 6). In direct contrast, however, was the inability of 7e to induce ATP release, even when examined over a 30 min period after compound exposure. This was a somewhat surprising result, suggesting that the mechanism of anti-Staphylococcus action of 7e does not rely upon targeting the integrity of the bacterial membrane.

2.6. Antibiotic Enhancing Activities

Squalamine and some mimics can enhance the activity of antibiotics towards Gram-negative bacteria [9,21,22]. A sub-set of the HDCA analogues (7a, 7c, 7d, 7e) were tested for the ability to enhance the antibiotic activity of doxycycline against P. aeruginosa ATCC 27853 and of erythromycin against E. coli ATCC 25922. No enhancement was observed for any of the compounds.

3. Materials and Methods

3.1. Chemical Synthesis General Methods

Mass spectra were recorded using a MicrOTOF-QII mass spectrometer (Bruker Daltonics, Bremen, Germany) coupled with a KD Scientific syringe pump, with analysis using Bruker Compass DataAnalysis v 4.1 software. Infrared spectra were recorded on a Perkin Elmer Spectrum 100 Fourier Transform infrared spectrometer (Waltham, MA, USA) equipped with a universal ATR accessory. Optical rotations were obtained with a Rudolph Analytical (Hackettstown, NJ, USA) Autopol IV automatic polarimeter using a 0.1 dm cell (concentration units of g/100 mL). All NMR spectra were recorded using a Bruker (Karlsruhe, Germany) Avance 400 spectrometer operating at 400.13 MHz for 1H nuclei and 100.62 MHz for 13C nuclei. Chemical shifts are expressed in parts per million (ppm) relative to the solvent peaks (DMSO-d6: 1H 2.50, 13C 39.52 ppm). Assignments are based on 1- and 2-dimensional NMR experiments and analogue comparisons. Standard Bruker pulse sequences were utilized. Reversed-phase flash column chromatography was carried out using LiChroPrep RP-8 (40–63 μm) (Merck Millipore, Darmstadt, Germany). Analytical thin layer chromatography (TLC) was carried out on 0.2 mm thick plates of Merck DC Kieselgel 60 RP-18 F254S plates. All solvents were of analytical grade or better and/or purified according to standard procedures. Chemical reagents used were purchased from standard chemical suppliers and used as purchased. Protected polyamines di-tert-butyl butane-1,4-diylbis((3-aminopropyl)carbamate) (6a) di-tert-butyl hexane-1,6-diylbis((3-aminopropyl)carbamate) (6b), di-tert-butyl heptane-1,7-diylbis((3-aminopropyl)carbamate) (6c), di-tert-butyl octane-1,8-diylbis((3-aminopropyl)carbamate) (6d), di-tert-butyl decane-1,10-diylbis((3-aminopropyl)carbamate) (6e), and di-tert-butyl dodecane-1,12-diylbis((3-aminopropyl)carbamate) (6f) were synthesized using literature procedures [27,28,29,30].

3.1.1. General Procedure A: Amide Bond Formation for Hyodeoxycholic Acid Derivatives 7af

To a solution of hyodeoxycholic acid (0.050 g, 0.127 mmol) in dry DMF (1 mL) was added Boc-protected polyamine (0.063 mmol) in dry DMF (1 mL), PyBop (0.073 g, 0.140 mmol) and DIPEA (0.067 mL, 0.382 mmol). The solution was allowed to stir for 18 h at rt under N2 atmosphere. The resulting solution was added to EtOAc (20 mL) and was washed with H2O (5 × 20 mL), then dried under reduced pressure and the crude product was subjected to diol-bonded silica column chromatography (CH2Cl2/MeOH, 80:20→90:10) to yield the desired Boc-protected hyodeoxycholic acid derivative.

3.1.2. General Procedure B: Amide Bond Formation for Cholic Acid Derivatives 8af and 9a

To an ice-cold solution of the appropriate cholic acid (2 equiv.) in dry DMF (1 mL) was added Boc-protected polyamine (1 equiv.), HOBt (1 equiv.) and DIPEA (4 equiv.). The solution was stirred for 10 min at 0 °C under N2 atmosphere. EDC·HCl (3 equiv.) in dry DMF (1 mL) was added to the solution and the resulting mixture was left to stir for 18 h at rt under N2 atmosphere. The resulting solution was added to EtOAc (20 mL) and washed with H2O (2 × 20 mL). The organic layer was dried under reduced pressure and the crude product was purified with silica gel column chromatography (CH2Cl2/MeOH, 80:20→90:10) to afford the desired Boc-protected product.

3.1.3. General Procedure C: Boc Deprotection

A solution of the tert-butyl-carbamate derivative was stirred in CH2Cl2 (2 mL) with TFA (0.2 mL) at room temperature under N2 for 2 h, then dried under reduced pressure. The crude product was purified using C8 reversed-phase column chromatography (MeOH (+0.05% TFA):H2O (+0.05% TFA), 50:50→100:0) to afford the product as the di-TFA salt.

3.1.4. N1,N4-Bis(3-((R)-4-((3R,5R,6S,8S,9S,10R,13R,14S,17R)-3,6-dihydroxy-10,13-dimethylhexadecahydro-1H-cyclopenta[a]phenanthren-17-yl)pentanamido)propyl)butane-1,4-diaminium 2,2,2-trifluoroacetate (7a)

Following general procedure A, reaction of hyodeoxycholic acid (0.050 g, 0.127 mmol) with di-tert-butyl butane-1,4-diylbis((3-aminopropyl)carbamate) (6a) (0.026 g, 0.0637 mmol), PyBop (0.073 g, 0.140 mmol) and DIPEA (0.067 mL, 0.382 mmol) in DMF (2 mL) afforded di-tert-butyl butane-1,4-diylbis((3-((R)-4-((3R,5R,6S,8S,9S,10R,13R,14S,17R)-3,6-dihydroxy-10,13-dimethylhexadecahydro-1H-cyclopenta[a]phenanthren-17-yl)pentanamido)propyl)carbamate) (0.056 g, 76%) as a clear colorless oil. Following general procedure C, a sub-sample of the product (0.047 g, 0.0408 mmol) was reacted with TFA in CH2Cl2 to afford, after chromatography, the di-TFA salt 7a (0.034 g, 71%) as a pale-yellow oil. [α ] D 20.3 = +3 (c = 0.1, MeOH); Rf (RP-18, 10% aq. HCl:MeOH 1:3) 0.17; IR (ATR) νmax 3339, 2941, 1635, 1455, 1202, 1139, 1027 cm−1; 1H NMR (DMSO-d6, 400 MHz) δ 8.63 (4H, br s, NH2-29), 8.01 (2H, t, J = 5.7 Hz, NH-25), 3.84–3.79 (2H, m, H-6), 3.35–3.27 (2H, m, H-3), 3.09 (4H, q, J = 6.3 Hz, H2-26), 2.90–2.87 (8H, m, H2-28, H2-30), 2.11–2.08 (2H, m, H2-23b), 1.99–-1.95 (2H, m, H2-23a), 1.92–0.93 (56H, m, H2-1, H2-2, H2-4, H-5, H2-7, H-8, H-9, H2-11, H2-12, H-14, H2-15, H2-16, H-17, H-20, H2-22, H2-27, H2-31), 0.87 (6H, d, J = 6.4 Hz, H3-21), 0.83 (6H, s, H3-19), 0.59 (6H, s, H3-18); 13C NMR (DMSO-d6, 100 MHz) δ 173.2 (C-24), 70.0 (C-3), 65.9 (C-6), 55.9 (C-14), 55.5 (C-17), 48.3 (C-5), 46.1 (C-30), 44.6 (C-28), 42.4 (C-13), 39.5 (C-9, obscured by solvent), 39.4 (C-12, obscured by solvent), 35.5, 35.4 (C-1, C-26), 35.0, 34.9 (C-7, C-8, C-10), 34.4 (C-20), 32.3 (C-23), 31.5 (C-22), 30.3 (C-4), 29.3 (C-2), 27.7 (C-16), 26.1 (C-27), 23.9 (C-15), 23.6 (C-19), 22.7 (C-31), 20.4 (C-11), 18.3 (C-21), 11.9 (C-18); (+)-HRESIMS [M + H]+ m/z 951.7873 (calcd for C58H103N4O6, 951.7872).

3.1.5. N1,N6-Bis(3-((R)-4-((3R,5R,6S,8S,9S,10R,13R,14S,17R)-3,6-dihydroxy-10,13-dimethylhexadecahydro-1H-cyclopenta[a]phenanthren-17-yl)pentanamido)propyl)hexane-1,6-diaminium 2,2,2-trifluoroacetate (7b)

Following general procedure A, reaction of hyodeoxycholic acid (0.050 g, 0.127 mmol) with di-tert-butyl hexane-1,6-diylbis((3-aminopropyl)carbamate) (6b) (0.027 g, 0.0637 mmol), PyBop (0.073 g, 0.140 mmol) and DIPEA (0.067 mL, 0.382 mmol) in DMF (2 mL) afforded di-tert-butyl hexane-1,6-diylbis((3-((R)-4-((3R,5R,6S,8S,9S,10R,13R,14S,17R)-3,6-dihydroxy-10,13-dimethylhexadecahydro-1H-cyclopenta[a]phenanthren-17-yl)pentanamido)propyl)carbamate) (0.014 g, 19%) as a clear colorless oil. Following general procedure C, a sub-sample of the product (0.013 g, 0.0110 mmol) was reacted with TFA in CH2Cl2 to afford, after chromatography, the di-TFA salt 7b (0.011 g, 83%) as a clear colorless oil. [α ] D 21.3 = +4 (c = 0.1, MeOH); Rf (RP-18, 10% aq. HCl:MeOH 1:3) 0.14; IR (ATR) νmax 2938, 1676, 1204, 1137, 1055, 1033 cm−1; 1H NMR (DMSO-d6, 400 MHz) δ 8.42 (4H, br s, NH2-29), 7.98 (2H, t, J = 5.8 Hz, NH-25), 3.84–3.81 (2H, m, H-6), 3.32 (2H, obscured by H2O, H-3), 3.10 (4H, q, J = 6.3 Hz, H2-26), 2.86 (8H, br s, H2-28, H2-30), 2.11–2.07 (2H, m, H2-23b), 2.02–1.96 (2H, m, H2-23a), 1.94–0.91 (60H, m, H2-1, H2-2, H2-4, H-5, H2-7, H-8, H-9, H2-11, H2-12, H-14, H2-15, H2-16, H-17, H-20, H2-22, H2-27, H2-31, H2-32), 0.88 (6H, d, J = 6.5 Hz, H3-21), 0.83 (6H, s, H3-19), 0.60 (6H, s, H3-18); 13C NMR (DMSO-d6, 100 MHz) δ 173.3 (C-24), 69.9 (C-3), 65.8 (C-6), 55.9 (C-14), 55.5 (C-17), 48.2 (C-5), 46.6 (C-30), 44.6 (C-28), 42.3 (C-13), 39.4 (C-12, obscured by solvent), 39.3 (C-9, obscured by solvent), 35.5, 35.4 (C-1, C-26), 34.9, 34.8 (C-7, C-8, C-10), 34.3 (C-20), 32.2 (C-23), 31.5 (C-22), 30.3 (C-4), 29.2 (C-2), 27.7 (C-16), 26.2 (C-27), 25.5 (C-31), 25.3 (C-32), 23.8 (C-15), 23.5 (C-19), 20.4 (C-11), 18.3 (C-21), 11.9 (C-18); (+)-HRESIMS [M + H]+ m/z 979.8185 (calcd for C60H107N4O6, 979.8185).

3.1.6. N1,N7-Bis(3-((R)-4-((3R,5R,6S,8S,9S,10R,13R,14S,17R)-3,6-dihydroxy-10,13-dimethylhexadecahydro-1H-cyclopenta[a]phenanthren-17-yl)pentanamido)propyl)heptane-1,7-diaminium 2,2,2-trifluoroacetate (7c)

Following general procedure A, reaction of hyodeoxycholic acid (0.050 g, 0.127 mmol) with di-tert-butyl heptane-1,7-diylbis((3-aminopropyl)carbamate) (6c) (0.028 g, 0.0637 mmol), PyBop (0.073 g, 0.140 mmol) and DIPEA (0.067 mL, 0.382 mmol) in DMF (2 mL) afforded di-tert-butyl heptane-1,7-diylbis((3-((R)-4-((3R,5R,6S,8S,9S,10R,13R,14S,17R)-3,6-dihydroxy-10,13-dimethylhexadecahydro-1H-cyclopenta[a]phenanthren-17-yl)pentanamido)propyl)carbamate) (0.061 g, 80%) as a clear oil. Following general procedure C, a sub-sample of the product (0.045 g, 0.0377 mmol) was reacted with TFA in CH2Cl2 to afford, after chromatography, the di-TFA salt 7c (0.041, 89%) as a pale-yellow oil. [α ] D 20.6 = +2 (c = 0.1, MeOH); Rf (RP-18, 10% aq. HCl:MeOH 1:3) 0.13; IR (ATR) νmax 3361, 2931, 1675, 1202, 1135, 1038, 1026, 993 cm−1; 1H NMR (DMSO-d6, 400 MHz) δ 8.52 (4H, br s, NH2-29), 8.00 (2H, t, J = 5.8 Hz, NH-25), 3.83–3.80 (2H, m, H-6), 3.35–3.25 (4H, m, H-3, H-7), 3.10 (4H, q, J = 6.3 Hz, H2-26), 2.89–2.82 (8H, m, H2-28, H2-30), 2.15–2.07 (2H, m, H2-23b), 2.02–1.97 (2H, m, H-23a), 1.94–0.92 (62H, m, H2-1, H2-2, H2-4, H-5, H2-7, H-8, H-9, H2-11, H2-12, H-14, H2-15, H2-16, H-17, H-20, H2-22, H2-27, H2-31, H2-32, H2-33), 0.89 (6H, d, J = 6.5 Hz, H3-21), 0.87 (6H, s, H3-19), 0.59 (6H, s, H3-18); 13C NMR (DMSO-d6, 100 MHz) δ 173.2 (C-24), 70.0 (C-3), 65.9 (C-6), 55.9 (C-14), 55.5 (C-17), 48.3 (C-5), 46.7 (C-30), 44.6 (C-28), 42.4 (C-13), 39.4 (C-9, obscured by solvent), 39.3 (C-12, obscured by solvent), 35.6, 35.5 (C-1, C-26), 35.0 (C-7), 34.9 (C-8, C-10), 34.4 (C-20), 32.3 (C-23), 31.5 (C-22), 30.3 (C-4), 29.3 (C-2), 28.0 (C-33), 27.7 (C-16), 26.1 (C-27), 25.8 (C-32), 25.4 (C-31), 23.9 (C-15), 23.6 (C-19), 20.4 (C-11), 18.3 (C-21), 11.9 (C-18); (+)-HRESIMS [M + H]+ m/z 993.8342 (calcd for C61H109N4O6, 993.8342).

3.1.7. N1,N8-Bis(3-((R)-4-((3R,5R,6S,8S,9S,10R,13R,14S,17R)-3,6-dihydroxy-10,13-dimethylhexadecahydro-1H-cyclopenta[a]phenanthren-17-yl)pentanamido)propyl)octane-1,8-diaminium 2,2,2-trifluoroacetate (7d)

Following general procedure A, reaction of hyodeoxycholic acid (0.050 g, 0.127 mmol) with di-tert-butyl octane-1,8-diylbis((3-aminopropyl)carbamate) (6d) (0.029 g, 0.0637 mmol), PyBop (0.073 g, 0.140 mmol) and DIPEA (0.067 mL, 0.382 mmol) in DMF (2 mL) afforded di-tert-butyl octane-1,8-diylbis((3-((R)-4-((3R,5R,6S,8S,9S,10R,13R,14S,17R)-3,6-dihydroxy-10,13-dimethylhexadecahydro-1H-cyclopenta[a]phenanthren-17-yl)pentanamido)propyl)carbamate) (0.074 g, 96%) as a clear colorless oil. Following general procedure C, the product (0.074 g, 0.0613 mmol) was reacted with TFA in CH2Cl2 to afford, after chromatography, the di-TFA salt 7d (0.063 g, 83%) as a pale-yellow oil. [α ] D 20.5 = +5 (c = 0.1, MeOH); Rf (RP-18, 10% aq. HCl:MeOH 1:3) 0.13; IR (ATR) νmax 3343, 2938, 2865, 1635, 1456, 1377, 1201, 1136, 1028, 800, 721 cm−1; 1H NMR (DMSO-d6, 400 MHz) δ 8.55 (4H, br s, NH2-29), 8.01 (2H, t, J = 5.5 Hz, NH-25), 3.84–3.79 (2H, m, H-6), 3.35–3.28 (2H, m, H-3), 3.09 (4H, q, J = 6.0 Hz, H2-26), 2.85 (8H, br s, H2-28, H2-30), 2.14–2.07 (2H, m, H2-23b), 2.01–1.96 (2H, m, H2-23a), 1.94–0.91 (64H, m, H2-1, H2-2, H2-4, H-5, H2-7, H-8, H-9, H2-11, H2-12, H-14, H2-15, H2-16, H-17, H-20, H2-22, H2-27, H2-31, H2-32, H2-33), 0.87 (6H, d, J = 6.2 Hz, H3-21), 0.83 (6H, s, H3-19), 0.59 (6H, s, H3-18); 13C NMR (DMSO-d6, 100 MHz) δ 173.4 (C-24), 70.1 (C-3), 66.0 (C-6), 56.0 (C-14), 55.6 (C-17), 48.3 (C-5), 46.8 (C-30), 44.7 (C-28), 42.4 (C-13), 39.5 (C-12, obscured by solvent), 39.4 (C-9, obscured by solvent), 35.6, 35.5 (C-1, C-26), 35.0, 34.9 (C-7, C-8, C-10), 34.4 (C-20), 32.3 (C-23), 31.6 (C-22), 30.4 (C-4), 29.3 (C-2), 28.4 (C-33), 27.8 (C-16), 26.2 (C-27), 25.9 (C-32), 25.5 (C-31), 23.9 (C-15), 23.6 (C-19), 20.5 (C-11), 18.3 (C-21), 11.9 (C-18); (+)-HRESIMS [M + 2H]2+ m/z 504.4286 (calcd for C62H112N4O6, 504.4285).

3.1.8. N1,N10-Bis(3-((R)-4-((3R,5R,6S,8S,9S,10R,13R,14S,17R)-3,6-dihydroxy-10,13-dimethylhexadecahydro-1H-cyclopenta[a]phenanthren-17-yl)pentanamido)propyl)decane-1,10-diaminium 2,2,2-trifluoroacetate (7e)

Following general procedure A, reaction of hyodeoxycholic acid (0.050 g, 0.127 mmol) with di-tert-butyl decane-1,10-diylbis((3-aminopropyl)carbamate) (6e) (0.031 g, 0.0637 mmol), PyBop (0.073 g, 0.140 mmol) and DIPEA (0.067 mL, 0.382 mmol) in DMF (2 mL) afforded di-tert-butyl decane-1,10-diylbis((3-((R)-4-((3R,5R,6S,8S,9S,10R,13R,14S,17R)-3,6-dihydroxy-10,13-dimethylhexadecahydro-1H-cyclopenta[a]phenanthren-17-yl)pentanamido)propyl)carbamate) (0.065 g, 83%) as a clear colorless oil. Following general procedure C, a sub-sample of the product (0.013 g, 0.0105 mmol) was reacted with TFA in CH2Cl2 to afford, after chromatography, the di-TFA salt 7e (0.011 g, 83%) as a pale-yellow oil. [α ] D 20.2 = +4 (c = 0.1, MeOH); Rf (RP-18, 10% aq. HCl:MeOH 1:3) 0.10; IR (ATR) νmax 3333, 2935, 2864, 1674, 1456, 1202, 1137, 1028, 721 cm−1; 1H NMR (DMSO-d6, 400 MHz) δ 8.40 (4H, br s, NH2-29), 8.00 (2H, t, J = 5.5 Hz, NH-25), 3.84–3.80 (2H, m, H-6), 3.34–3.29 (2H, m, H-3), 3.10 (4H, q, J = 6.1 Hz, H2-26), 2.85 (8H, br s, H2-28, H2-30), 2.14–2.07 (2H, m, H2-23b), 2.02–1.97 (2H, m, H2-23a), 1.94–0.92 (68H, m, H2-1, H2-2, H2-4, H-5, H2-7, H-8, H-9, H2-11, H2-12, H-14, H2-15, H2-16, H-17, H-20, H2-22, H2-27, H2-31, H2-32, H2-33, H2-34), 0.88 (6H, d, J = 6.1 Hz, H3-21), 0.83 (6H, s, H3-19), 0.60 (6H, s, H3-18); 13C NMR (DMSO-d6, 100 MHz) δ 173.3 (C-24), 70.0 (C-3), 65.9 (C-6), 55.9 (C-14), 55.5 (C-17), 48.2 (C-5), 46.8 (C-30), 44.5 (C-28), 42.4 (C-13), 39.5 (C-12 and C-9, obscured by solvent), 35.5, 35.4 (C-1, C-26), 35.0, 34.9 (C-7, C-8, C-10), 34.3 (C-20), 32.3 (C-23), 31.5 (C-22), 30.3 (C-4), 29.3 (C-2), 28.8 (C-34), 28.6 (C-33), 27.7 (C-16), 26.2 (C-27), 25.9 (C-32), 25.5 (C-31), 23.9 (C-15), 23.5 (C-19), 20.4 (C-11), 18.3 (C-21), 11.9 (C-18); (+)-HRESIMS [M + 2H]2+ m/z 518.4441 (calcd for C64H116N4O6, 518.4442).

3.1.9. N1,N12-Bis(3-((R)-4-((3R,5R,6S,8S,9S,10R,13R,14S,17R)-3,6-dihydroxy-10,13-dimethylhexadecahydro-1H-cyclopenta[a]phenanthren-17-yl)pentanamido)propyl)dodecane-1,12-diaminium 2,2,2-trifluoroacetate (7f)

Following general procedure A, reaction of hyodeoxycholic acid (0.050 g, 0.127 mmol) with di-tert-butyl dodecane-1,12-diylbis((3-aminopropyl)carbamate) (6f) (0.033 g, 0.0637 mmol), PyBop (0.073 g, 0.140 mmol) and DIPEA (0.067 mL, 0.382 mmol) in DMF (2 mL) afforded di-tert-butyl dodecane-1,12-diylbis((3-((R)-4-((3R,5R,6S,8S,9S,10R,13R,14S,17R)-3,6-dihydroxy-10,13-dimethylhexadecahydro-1H-cyclopenta[a]phenanthren-17-yl)pentanamido)propyl)carbamate) (0.010 g, 12%) as a clear colorless oil. Following general procedure C, the product (0.010 g, 0.00791 mmol) was reacted with TFA in CH2Cl2 to afford, after chromatography, the di-TFA salt 7f (0.008 g, 78%) as a pale-yellow oil. [α ] D 19.5 = +5 (c = 0.1, MeOH); Rf (RP-18, 10% aq. HCl:MeOH 1:3) 0.09; IR (ATR) νmax 3340, 2932, 1643, 1203, 1138, 1039, 1026, 988 cm−1; 1H NMR (DMSO-d6, 400 MHz) δ 8.33 (4H, br s, NH2-29), 8.00 (2H, t, J = 5.8 Hz, NH-25), 3.84–3.79 (2H, m, H-6), 3.35–3.29 (2H, m, H-3), 3.10 (4H, q, J = 6.3 Hz, H2-26), 2.85 (8H, br s, H2-28, H2-30), 2.15–2.08 (2H, m, H2-23b), 2.02–1.97 (2H, m, H2-23a), 1.95–0.95 (72H, m, H2-1, H2-2, H2-4, H-5, H2-7, H-8, H-9, H2-11, H2-12, H-14, H2-15, H2-16, H-17, H-20, H2-22, H2-27, H2-31, H2-32, H2-33, H2-34, H2-35), 0.88 (6H, d, J = 6.5 Hz, H3-21), 0.83 (6H, s, H3-19), 0.60 (6H, s, H3-18); 13C NMR (DMSO-d6, 100 MHz) δ 173.3 (C-24), 70.0 (C-3), 65.9 (C-6), 55.9 (C-14), 55.5 (C-17), 48.2 (C-5), 46.8 (C-30), 44.5 (C-28), 42.4 (C-13), 39.6 (C-12, obscured by solvent), 39.2 (C-9, obscured by solvent), 35.5, 35.4 (C-1, C-26), 34.94, 34.86 (C-7, C-8, C-10), 34.3 (C-20), 32.3 (C-23), 31.5 (C-22), 30.3 (C-4), 29.2 (C-2), 29.0 (C-35), 28.9 (C-34), 28.6 (C-33), 27.7 (C-16), 26.2 (C-27), 25.9 (C-32), 25.5 (C-31), 23.9 (C-15), 23.5 (C-19), 20.4 (C-11), 18.3 (C-21), 11.9 (C-18); (+)-HRESIMS [M + H]+ m/z 1063.9127 (calcd for C66H119N4O6, 1063.9124).

3.1.10. N1,N4-Bis(3-((R)-4-((3R,5S,7S,8R,9S,10S,13R,14S,17R)-3,7-dihydroxy-10,13-dimethylhexadecahydro-1H-cyclopenta[a]phenanthren-17-yl)pentanamido)propyl)butane-1,4-diaminium 2,2,2-trifluoroacetate (8a)

Following general procedure B, ursodeoxycholic acid (0.045 g, 0.115 mmol) was reacted with di-tert-butyl butane-1,4-diylbis((3-aminopropyl)carbamate) (6a) (0.023 g, 0.0573 mmol), EDC·HCl (0.033 g, 0.172 mmol), HOBt (0.008 g, 0.0573 mmol) and DIPEA (0.040 mL, 0.229 mmol) to afford di-tert-butyl butane-1,4-diylbis((3-((R)-4-((3R,5S,7S,8R,9S,10S,13R,14S,17R)-3,7-dihydroxy-10,13-dimethylhexadecahydro-1H-cyclopenta[a]phenanthren-17-yl)pentanamido)propyl)carbamate) (0.061 g, 92%) as a clear colorless oil. Following general procedure C, a sub-sample of the product (0.005 g, 0.00434 mmol) was reacted with TFA in CH2Cl2 to afford, after chromatography, the di-TFA salt 8a (0.005 g, 98%) as a pale-yellow oil. [α ] D 19.1 = +24 (c = 0.1, MeOH); Rf (RP-18, 10% aq. HCl:MeOH 1:3) 0.26; IR (ATR) νmax 3328, 1638, 1202, 1038, 1027 cm−1; 1H NMR (DMSO-d6, 400 MHz) δ 8.42 (4H, br s, NH2-29), 7.99 (2H, t, J = 5.5 Hz, NH-25), 3.39–3.28 (4H, m, H-3, H-7), 3.11 (4H, q, J = 6.2 Hz, H2-26), 2.92–2.88 (8H, m, H2-28, H2-30), 2.09–0.83 (72H, m, H2-1, H2-2, H2-4, H-5, H2-6, H-8, H-9, H2-11, H2-12, H-14, H2-15, H2-16, H-17, H3-19, H-20, H3-21, H2-22, H2-23, H2-27, H2-31), 0.61 (6H, s, H3-18); 13C NMR (DMSO-d6, 100 MHz) δ 173.3 (C-24), 69.7 (C-3), 69.5 (C-7), 55.9 (C-14), 54.7 (C-17), 46.1 (C-30), 44.6 (C-28), 43.1, 43.0 (C-8, C-13), 42.2 (C-5), 39.2 (C-12, obscured by solvent), 38.8 (C-10), 37.7 (C-4), 37.3 (C-6), 35.6 (C-26), 35.0, 34.9 (C-9, C-15, C-20), 33.8 (C-1), 32.4 (C-23), 31.7 (C-22), 30.2 (C-2), 28.2 (C-16), 26.1 (C-27), 23.3 (C-19), 22.7 (C-31), 20.9 (C-11), 18.4 (C-21), 12.0 (C-18); (+)-HRESIMS [M + H]+ m/z 951.7873 (calcd for C58H103N4O6, 951.7872).

3.1.11. N1,N6-Bis(3-((R)-4-((3R,5S,7S,8R,9S,10S,13R,14S,17R)-3,7-dihydroxy-10,13-dimethylhexadecahydro-1H-cyclopenta[a]phenanthren-17-yl)pentanamido)propyl)hexane-1,6-diaminium 2,2,2-trifluoroacetate (8b)

Following general procedure B, ursodeoxycholic acid (0.050 g, 0.127 mmol) was reacted with di-tert-butyl hexane-1,6-diylbis((3-aminopropyl)carbamate) (6b) (0.027 g, 0.0637 mmol), EDC·HCl (0.037 g, 0.191 mmol), HOBt (0.009 g, 0.0637 mmol) and DIPEA (0.044 mL, 0.255 mmol) affording di-tert-butyl hexane-1,6-diylbis((3-((R)-4-((3R,5S,7S,8R,9S,10S,13R,14S,17R)-3,7-dihydroxy-10,13-dimethylhexadecahydro-1H-cyclopenta[a]phenanthren-17-yl)pentanamido)propyl)carbamate) (0.061 g, 81%) as a clear colorless oil. Following general procedure C, a sub-sample of the product (0.043 g, 0.0364 mmol) was reacted with TFA in CH2Cl2 to afford, after chromatography, the di-TFA salt 8b (0.030 g, 68%) as a pale-yellow oil. [α ] D 20.1 = +20 (c = 0.1, MeOH); Rf (RP-18, 10% aq. HCl:MeOH 1:3) 0.23; IR (ATR) νmax 3308, 2935, 2866, 1637, 1456, 1202, 1138, 1050 cm−1; 1H NMR (DMSO-d6, 400 MHz) δ 8.45 (4H, br s, NH2-29), 7.98 (2H, t, J = 5.7 Hz, NH-25), 4.46 (2H, br s, OH-3 or OH-7), 3.87 (2H, d, J = 6.3 Hz, OH-3 or OH-7), 3.32 (4H, obscured by water, H-3, H-7), 3.10 (4H, q, J = 6.3 Hz, H2-26), 2.86 (8H, br s, H2-28, H2-30), 2.15–2.07 (2H, m, H2-23b), 2.02–1.97 (2H, m, H2-23a), 1.96–0.91 (60H, m, H2-1, H2-2, H2-4, H-5, H2-6, H-8, H-9, H2-11, H2-12, H-14, H2-15, H2-16, H-17, H-20, H2-22, H2-27, H2-31, H2-32), 0.89 (6H, d, J = 6.5 Hz, H3-21), 0.87 (6H, s, H3-19), 0.61 (6H, s, H3-18); 13C NMR (DMSO-d6, 100 MHz) δ 173.3 (C-24), 69.7 (C-3), 69.5 (C-7), 55.9 (C-14), 54.7 (C-17), 46.6 (C-30), 44.6 (C-28), 43.1, 43.0 (C-8, C-13), 42.1 (C-5), 39.2 (C-12, obscured by solvent), 38.7 (C-10), 37.7 (C-4), 37.2 (C-6), 35.5 (C-26), 35.0 (C-15), 34.9, 34.8 (C-9, C-20), 33.7 (C-1), 32.3 (C-23), 31.6 (C-22), 30.2 (C-2), 28.2 (C-16), 26.2 (C-27), 25.5 (C-32), 25.3 (C-31), 23.3 (C-19), 20.8 (C-11), 18.4 (C-21), 12.0 (C-18); (+)-HRESIMS [M + 2H]2+ m/z 490.4129 (calcd for C60H108N4O6, 490.4129).

3.1.12. N1,N7-Bis(3-((R)-4-((3R,5S,7S,8R,9S,10S,13R,14S,17R)-3,7-dihydroxy-10,13-dimethylhexadecahydro-1H-cyclopenta[a]phenanthren-17-yl)pentanamido)propyl)heptane-1,7-diaminium 2,2,2-trifluoroacetate (8c)

Following general procedure B, ursodeoxycholic acid (0.050 g, 0.127 mmol) was reacted with di-tert-butyl heptane-1,7-diylbis((3-aminopropyl)carbamate) (6c) (0.028 g, 0.0637 mmol), EDC·HCl (0.037 g, 0.191 mmol), HOBt (0.009 g, 0.0637 mmol) and DIPEA (0.044 mL, 0.255 mmol) affording di-tert-butyl heptane-1,7-diylbis((3-((R)-4-((3R,5S,7S,8R,9S,10S,13R,14S,17R)-3,7-dihydroxy-10,13-dimethylhexadecahydro-1H-cyclopenta[a]phenanthren-17-yl)pentanamido)propyl)carbamate) (0.054 g, 71%) as a white foam. Following general procedure C, a sub-sample of the product (0.020 g, 0.0168 mmol) was reacted with TFA in CH2Cl2 to afford, after chromatography, the di-TFA salt 8c (0.012 g, 59%) as a pale-yellow oil. [α ] D 19.6 = +36 (c = 0.1, MeOH); Rf (RP-18, 10% aq. HCl:MeOH 1:3) 0.23; IR (ATR) νmax 3345, 2937, 2867, 1635, 1455, 1202, 1138, 1052, 1033, 1013 cm−1; 1H NMR (DMSO-d6, 400 MHz) δ 8.69 (4H, br s, NH2-29), 8.01 (2H, t, J = 5.7 Hz, NH-25), 3.31–3.25 (4H, m, H-3, H-7), 3.10 (4H, q, J = 6.3 Hz, H2-26), 2.84 (8H, br s, H2-28, H2-30), 2.15–2.07 (2H, m, H2-23b), 2.02–1.97 (2H, m, H2-23a), 1.96–0.91 (62H, m, H2-1, H2-2, H2-4, H-5, H2-6, H-8, H-9, H2-11, H2-12, H-14, H2-15, H2-16, H-17, H-20, H2-22, H2-27, H2-31, H2-32, H2-33), 0.89 (6H, d, J = 6.5 Hz, H3-21), 0.87 (6H, s, H3-19), 0.61 (6H, s, H3-18); 13C NMR (DMSO-d6, 100 MHz) δ 173.1 (C-24), 69.7 (C-3), 69.4 (C-7), 55.9 (C-14), 54.7 (C-17), 46.6 (C-30), 44.5 (C-28), 43.1, 43.0 (C-8, C-13), 42.1 (C-5), 39.2 (C-12, obscured by solvent), 38.7 (C-10), 37.7 (C-4), 37.2 (C-6), 35.5 (C-26), 35.0, 34.8 (C-9, C-15, C-20), 33.7 (C-1), 32.3 (C-23), 31.6 (C-22), 30.2 (C-2), 28.2 (C-16), 27.9 (C-33), 26.0 (C-27), 25.7 (C-32), 25.3 (C-31), 23.3 (C-19), 20.8 (C-11), 18.4 (C-21), 12.0 (C-18); (+)-HRESIMS [M + H]+ m/z 993.8342 (calcd for C61H109N4O6, 993.8342).

3.1.13. N1,N8-Bis(3-((R)-4-((3R,5S,7S,8R,9S,10S,13R,14S,17R)-3,7-dihydroxy-10,13-dimethylhexadecahydro-1H-cyclopenta[a]phenanthren-17-yl)pentanamido)propyl)octane-1,8-diaminium 2,2,2-trifluoroacetate (8d)

Following general procedure B, ursodeoxycholic acid (0.050 g, 0.127 mmol) was reacted with di-tert-butyl octane-1,8-diylbis((3-aminopropyl)carbamate) (6d) (0.029 g, 0.0637 mmol), EDC·HCl (0.037 g, 0.191 mmol), HOBt (0.009 g, 0.0637 mmol) and DIPEA (0.044 mL, 0.255 mmol) to afford di-tert-butyl octane-1,8-diylbis((3-((R)-4-((3R,5S,7S,8R,9S,10S,13R,14S,17R)-3,7-dihydroxy-10,13-dimethylhexadecahydro-1H-cyclopenta[a]phenanthren-17-yl)pentanamido)propyl)carbamate) (0.067 g, 87%) as a white foam. Following general procedure C, a sub-sample of the product (0.026 g, 0.0215 mmol) was reacted with TFA in CH2Cl2 to afford, after chromatography, the di-TFA salt 8d (0.025 g, 94%) as a pale-yellow oil. [α ] D 20.4 = +20 (c = 0.1, MeOH); Rf (RP-18, 10% aq. HCl:MeOH 1:3) 0.23; IR (ATR) νmax 3310, 2933, 2865, 1635, 1454, 1202, 1137, 1015 cm−1; 1H NMR (DMSO-d6, 400 MHz) δ 8.48 (4H, br s, NH2-29), 7.89 (2H, t, J = 5.7 Hz, NH-25), 3.35–3.25 (4H, m, H-3, H-7), 3.10 (4H, q, J = 6.3 Hz, H2-26), 2.86 (8H, br s, H2-28, H2-30), 2.15–2.07 (2H, m, H2-23b), 2.02–1.95 (2H, m, H2-23a), 1.92–0.91 (64H, m, H2-1, H2-2, H2-4, H-5, H2-6, H-8, H-9, H2-11, H2-12, H-14, H2-15, H2-16, H-17, H-20, H2-22, H2-27, H2-31, H2-32, H2-33), 0.88 (6H, d, J = 6.5 Hz, H3-21), 0.87 (6H, s, H3-19), 0.61 (6H, s, H3-18); 13C NMR (DMSO-d6, 100 MHz) δ 173.3 (C-24), 69.7 (C-3), 69.5 (C-7), 55.9 (C-14), 54.7 (C-17), 46.8 (C-30), 44.6 (C-28), 43.1, 43.0 (C-8, C-13), 42.1 (C-5), 39.4 (C-12, obscured by solvent), 38.7 (C-10), 37.7 (C-4), 37.2 (C-6), 35.5 (C-26), 35.0, 34.8 (C-9, C-15, C-20), 33.7 (C-1), 32.3 (C-23), 31.6 (C-22), 30.2 (C-2), 28.3 (C-33), 28.2 (C-16), 26.2 (C-27), 25.8 (C-32), 25.4 (C-31), 23.3 (C-19), 20.8 (C-11), 18.4 (C-21), 12.0 (C-18); (+)-HRESIMS [M + 2H]2+ m/z 504.4260 (calcd for C62H112N4O6, 504.4285).

3.1.14. N1,N10-Bis(3-((R)-4-((3R,5S,7S,8R,9S,10S,13R,14S,17R)-3,7-dihydroxy-10,13-dimethylhexadecahydro-1H-cyclopenta[a]phenanthren-17-yl)pentanamido)propyl)decane-1,10-diaminium 2,2,2-trifluoroacetate (8e)

Following general procedure B, ursodeoxycholic acid (0.034 g, 0.0886 mmol) was reacted with di-tert-butyl decane-1,10-diylbis((3-aminopropyl)carbamate) (6e) (0.021 g, 0.0443 mmol), EDC·HCl (0.025 g, 0.130 mmol), HOBt (0.006 g, 0.0443 mmol) and DIPEA (0.030 mL, 0.173 mmol) to afford di-tert-butyl decane-1,10-diylbis((3-((R)-4-((3R,5S,7S,8R,9S,10S,13R,14S,17R)-3,7-dihydroxy-10,13-dimethylhexadecahydro-1H-cyclopenta[a] phenanthren-17-yl)pentanamido)propyl) carbamate) as a clear colorless oil (0.044 g, 82%). Following general procedure C, a sub-sample of the product (0.009 g, 0.00728 mmol) was reacted with TFA in CH2Cl2 to afford, after chromatography, the di-TFA salt 8e (0.006 g, 65%) as a pale-yellow oil. [α ] D 18.3 = +33 (c = 0.1, MeOH); Rf (RP-18, 10% aq. HCl:MeOH 1:3) 0.19; IR (ATR) νmax 3363, 2931, 2861, 1676, 1452, 1202, 1136, 1016, 953, 801, 722 cm−1; 1H NMR (DMSO-d6, 400 MHz) δ 8.38 (4H, br s, NH2-29), 7.98 (2H, t, J = 5.7 Hz, NH-25), 3.36–3.23 (4H, m, H-3, H-7), 3.10 (4H, q, J = 6.3 Hz, H2-26), 2.85 (8H, br s, H2-28, H2-30), 2.15–2.08 (2H, m, H2-23b), 2.02–1.96 (2H, m, H2-23a), 1.94–0.91 (68H, m, H2-1, H2-2, H2-4, H-5, H2-6, H-8, H-9, H2-11, H2-12, H-14, H2-15, H2-16, H-17, H-20, H2-22, H2-27, H2-31, H2-32, H2-33, H2-34), 0.89 (6H, d, J = 6.6 Hz, H3-21), 0.87 (6H, s, H3-19), 0.61 (6H, s, H3-18); 13C NMR (DMSO-d6, 100 MHz) δ 173.3 (C-24), 69.7 (C-3), 69.4 (C-7), 55.9 (C-14), 54.7 (C-17), 46.8 (C-30), 44.5 (C-28), 43.1, 43.0 (C-8, C-13), 42.1 (C-5), 39.4 (C-12, obscured by solvent), 38.7 (C-10), 37.7 (C-4), 37.2 (C-6), 35.4 (C-26), 35.0, 34.8 (C-9, C-15, C-20), 33.7 (C-1), 32.3 (C-23), 31.6 (C-22), 30.2 (C-2), 28.8 (C-34), 28.5 (C-33), 28.2 (C-16), 26.2 (C-27), 25.9 (C-32), 25.5 (C-31), 23.3 (C-19), 20.8 (C-11), 18.4 (C-21), 12.0 (C-18); (+)-HRESIMS [M + 2H]2+ m/z 518.4441 (calcd for C64H116N4O6, 518.4442).

3.1.15. N1,N12-Bis(3-((R)-4-((3R,5S,7S,8R,9S,10S,13R,14S,17R)-3,7-dihydroxy-10,13-dimethylhexadecahydro-1H-cyclopenta[a]phenanthren-17-yl)pentanamido)propyl)dodecane-1,12-diaminium 2,2,2-trifluoroacetate (8f)

Following general procedure B, ursodeoxycholic acid (0.050 g, 0.127 mmol) was reacted with di-tert-butyl dodecane-1,12-diylbis((3-aminopropyl)carbamate) (6f) (0.033 g, 0.0637 mmol), EDC·HCl (0.037 g, 0.191 mmol), HOBt (0.009 g, 0.0637 mmol) and DIPEA (0.044 mL, 0.255 mmol) to afford di-tert-butyl dodecane-1,12-diylbis((3-((R)-4-((3R,5S,7S,8R,9S,10S,13R,14S,17R)-3,7-dihydroxy-10,13-dimethylhexadecahydro-1H-cyclopenta[a]phenanthren-17-yl)pentanamido)propyl)carbamate) (0.066 g, 82%) as a white foam. Following general procedure C, a sub-sample of the product (0.009 g, 0.00712 mmol) was reacted with TFA in CH2Cl2 to afford, after chromatography, the di-TFA salt 8f (0.007 g, 76%) as a pale-yellow oil. [α] D 18.6 = +27 (c = 0.1, MeOH); Rf (RP-18, 10% aq. HCl:MeOH 1:3) 0.17; IR (ATR) νmax 3309, 2930, 2852, 1636, 1449, 1202, 1038, 1026 cm−1; 1H NMR (DMSO-d6, 400 MHz) δ 9.00 (4H, br s, NH2-29), 8.11 (2H, br s, NH-25), 3.34–3.23 (4H, m, H-3, H-7), 3.08 (4H, q, J = 6.2 Hz, H2-26), 2.80 (8H, br s, H2-28, H2-30), 2.14–2.07 (2H, m, H2-23b), 2.02–1.96 (2H, m, H2-23a), 1.93–0.93 (72H, m, H2-1, H2-2, H2-4, H-5, H2-6, H-8, H-9, H2-11, H2-12, H-14, H2-15, H2-16, H-17, H-20, H2-22, H2-27, H2-31, H2-32, H2-33, H2-34, H2-35), 0.87 (6H, d, J = 6.5 Hz, H3-21), 0.85 (6H, s, H3-19), 0.59 (6H, s, H3-18); 13C NMR (DMSO-d6, 100 MHz) δ 173.3 (C-24), 69.8 (C-3), 69.5 (C-7), 55.9 (C-14), 54.8 (C-17), 46.8 (C-30), 44.5 (C-28), 43.2, 43.1 (C-8, C-13), 42.2 (C-5), 39.8 (C-10, obscured by solvent), 39.2 (C-12, obscured by solvent), 38.8 (C-10), 37.8 (C-4), 37.3 (C-6), 35.7 (C-26), 35.1, 34.9 (C-9, C-15, C-20), 33.8 (C-1), 32.4 (C-23), 31.7 (C-22), 30.3 (C-2), 29.0 (C-35), 28.9 (C-34), 28.6 (C-33), 28.3 (C-16), 26.1 (C-27), 25.9 (C-32), 25.4 (C-31), 23.4 (C-19), 20.9 (C-11), 18.5 (C-21), 12.1 (C-18); (+)-HRESIMS [M + H]+ m/z 1063.9124 (calcd for C66H119N4O6, 1063.9124).

3.1.16. N1,N4-Bis(3-((R)-4-((3R,5S,7R,8R,9S,10S,13R,14S,17R)-3,7-dihydroxy-10,13-dimethylhexadecahydro-1H-cyclopenta[a]phenanthren-17-yl)pentanamido)propyl)butane-1,4-diaminium 2,2,2-trifluoroacetate (9a)

Following general procedure B, chenodeoxycholic acid (0.050 g, 0.127 mmol) was reacted with di-tert-butyl butane-1,4-diylbis((3-aminopropyl)carbamate) (6a) (0.026 g, 0.0637 mmol), EDC·HCl (0.037 g, 0.191 mmol), HOBt (0.009 g, 0.0637 mmol) and DIPEA (0.044 mL, 0.255 mmol) to afford di-tert-butyl butane-1,4-diylbis((3-((R)-4-((3R,5S,7R,8R,9S,10S,13R,14S,17R)-3,7-dihydroxy-10,13-dimethylhexadecahydro-1H-cyclopenta[a]phenanthren-17-yl)pentanamido)propyl)carbamate) (0.060 g, 82%) as a clear colorless oil. Following general procedure C, a sub-sample of the product (0.030 g, 0.0260 mmol) was reacted with TFA in CH2Cl2 to afford, after chromatography, the di-TFA salt 9a (0.018 g, 59%) as a clear, colorless oil. [α]D = +8 (c = 0.1, MeOH); Rf (RP-18, 10% aq. HCl:MeOH 1:3) 0.11; IR (ATR) νmax 3308, 2961, 2838, 1645, 1410, 1259, 1092, 1038, 1015, 798 cm−1; 1H NMR (DMSO-d6, 400 MHz) δ 8.46 (4H, br s, NH2-29), 7.98 (2H, t, J = 5.7 Hz, NH-25), 4.01 (2H, br s, OH-7), 3.62 (2H, br s, H-7), 3.22–3.15 (2H, m, H-3), 3.10 (8H, q, J = 6.3 Hz, H2-28, H2-30), 2.92–2.83 (4H, m, H2-26), 2.23–2.14 (2H, m, H2-4a), 2.12–2.08 (2H, m, H2-23b), 2.02–1.96 (2H, m, H2-23a), 1.95–0.96 (54H, m, H2-1, H2-2, H2-4b, H-5, H2-6, H-8, H-9, H2-11, H2-12, H-14, H2-15, H2-16, H-17, H-20, H2-22, H2-27, H2-31), 0.89 (6H, d, J = 6.4 Hz, H3-21), 0.83 (6H, s, H3-19), 0.60 (6H, s, H3-18); 13C NMR (DMSO-d6, 100 MHz) δ 173.3 (C-24), 70.3 (C-3), 66.1 (C-7), 55.5 (C-17), 50.0 (C-14), 46.1 (C-30), 44.6 (C-28), 41.9 (C-8), 41.4 (C-5), 40.5 (C-13), 39.8 (C-4, obscured by solvent), 39.2 (C-9 and C-12, obscured by solvent), 35.5 (C-26), 35.3 (C-6), 35.1, 34.8 (C-10, C-16), 34.7 (C-20), 32.3 (C-1, C-23), 31.5 (C-22), 30.5 (C-2), 26.2 (C-27), 23.1 (C-15), 22.7 (C-19, C-31), 20.2 (C-11), 18.3 (C-21), 11.6 (C-18); (+)-HRESIMS [M + H]+ m/z 951.7874 (calcd for C58H103N4O6, 951.7872).

3.2. Antimicrobial Assays

Antimicrobial evaluation against S. aureus (MRSA) (ATCC 43300), E. coli (ATCC 25922), K. pneumoniae (ATCC 700603), A. baumannii (ATCC 19606), C. albicans (ATCC 90028), and C. neoformans (ATCC 208821) was undertaken at the Community for Open Antimicrobial Drug Discovery at The University of Queensland (Australia) according to their standard protocols as reported previously [32,33].
Additional antimicrobial evaluation against S. aureus (ATCC 25923), S. aureus MRSA (CF-Marseille) and Bacillus cereus (ATCC 11778) was determined in microplates using the standard broth dilution method in accordance with the recommendations of the Comité de l’AntibioGramme de la Société Française de Microbiologie (CA-SFM). Briefly, the minimal inhibitory concentrations (MICs) were determined with an inoculum of 105 CFU in 200 µL of MHB containing two-fold serial dilutions of each drug. The MIC was defined as the lowest concentration of drug that completely inhibited visible growth after incubation for 18 h at 37 °C. To determine all MICs, the measurements were independently repeated in triplicate.

3.3. Cytotoxicity Assays

Cytotoxicity assays were conducted using the protocols previously reported [33].

3.4. Hemolytic Assays

Hemolytic assays were conducted using the protocols previously reported [33].

3.5. Real Time Growth Curves

Solutions of compound 7e at concentrations of 2, 4 and 16 µg/mL were tested each in triplicate against S. aureus ATCC 25923, S. aureus MRSA (CF-Marseille) and Bacillus cereus ATCC 11778. Typically, in a 96 well plate was placed 10 µL of 40, 80 and 320 µg/mL stock solutions of compound 7e as well as 190 µL of a 5 × 105 CFU/mL of the selected bacterial suspension in brain heart infusion (BHI) broth. Positive controls containing only 200 µL of a 5 × 105 CFU/mL of bacterial suspension in BHI and negative controls containing only 200 µL of BHI broth were added. The plate was incubated at 37 °C in a TECAN Spark Reader (Roche Diagnostic) and real time bacterial growth was followed with OD590 nm measurements every 10 min during 19 h.

3.6. Minimum Bactericidal Concentration Test

A pure culture of a specified microorganism was grown overnight, then diluted in growth-supporting broth (typically Mueller Hinton II broth) to a concentration between 1 × 105 and 1 × 106 CFU/mL. A stock dilution of the antimicrobial test compound was made at approximately 100 times the expected, previously determined MIC. Further 1:1 dilution was made in 96 well microtiter plates. All dilutions of the test compound were inoculated with equal volumes of the specified microorganism (typically 100 µL). A positive and negative control tube or well was included to demonstrate adequate microbial growth over the course of the incubation period and media sterility, respectively. An aliquot of the positive control was plated and used to establish a baseline concentration of the microorganism used. The microtiter plates were then incubated at 37 °C for 24 h. Turbidity indicates growth of the microorganism, and the MIC is the lowest concentration where no growth was visually observed. To determine the minimum bactericidal concentration (MBC), the dilution representing the MIC and at least two of the more concentrated test product dilutions was plated on a solidified agar plate to determine the bacterial viability. The MBC is the lowest concentration where no growth is encountered when compared to the MIC dilution.

3.7. ATP Release Assay

Solutions of the test compound 7e were prepared in DMSO at various concentrations. A suspension of growing S. aureus to be studied in Muller-Hinton II broth was prepared and incubated at 37 °C. An aliquot (90 µL) of this suspension was added to 10 µL of test compound solution and vortexed for 10 s. Luciferin–luciferase reagent (Yelen, France; 50 µL) was immediately added to this mixture, and luminescent signal quantified with an Infinite M200 microplate reader (Tecan) over a 30 min period; ATP concentration was quantified using internal sample addition. A similar procedure was used for the CTAB positive control.

3.8. Determination of Antibiotic Enhancement

Restoring enhancer concentrations were determined with an inoculum of 5 × 105 CFU in 200 mL of MH broth containing two-fold serial dilutions of each derivative in the presence of either doxycycline or erythromycin at 2 μg/mL. The lowest concentration of the polyamine adjuvant that completely inhibited visible growth after incubation for 18 h at 37 °C was determined. These measurements were independently repeated in triplicate.

4. Conclusions

In summary, we have synthesized a focused set of dimeric deoxycholic acid-based polyamine derivatives that explored variation in the cholic acid head group (hyodeoxycholic acid, ursodeoxycholic acid and chenodeoxycholic acid) as well as variation in polyamine chain length. Preliminary antimicrobial activities were evaluated against one Gram-positive (S. aureus MRSA), four Gram-negative (E. coli, P. aeruginosa, A. baumannii, K. pneumoniae) bacteria and two fungi (Candida albicans and Cryptococcus neoformans). Many of the compounds exhibited pronounced activity towards S. aureus MRSA with some also exhibiting potent antifungal activity. The overall set of analogues were noticeably inactive against all the target Gram-negative bacteria. Counter-screening for toxicity indicators identified HDCA analogues 7af and the sole CDCA analogue 9a to be devoid of cytotoxicity towards the HEK293 and to be non-hemolytic. The observation of cytotoxicity and/or hemolytic activities for the UDCA analogues 8af indicates quite a precise structural requirement for bacterial versus mammalian cell toxicity. HDCA analogue 7e exhibited an MBC/MIC ratio of approximately one against three Gram-positive bacteria strains, identifying it to be a bactericidal agent. In a preliminary evaluation of its mechanism of action, 7e failed to cause ATP release from S. aureus cells, a somewhat surprising result given squalamine and many squalamine mimics are reported to target and disrupt bacterial membranes. Together, the present study identifies HDCA-polyamine analogues as being worthy of further study as potent, non-toxic, Gram-positive bactericides with a seemingly unexpected mechanism of action.

Supplementary Materials

The following supporting information can be downloaded at: https://www.mdpi.com/article/10.3390/antibiotics12020404/s1, Figure S1: 1H (DMSO-d6, 400 MHz) and 13C (DMSO-d6, 100 MHz) NMR spectra for 7a; Figure S2: 1H (DMSO-d6, 400 MHz) and 13C (DMSO-d6, 100 MHz) NMR spectra for 7b; Figure S3: 1H (DMSO-d6, 400 MHz) and 13C (DMSO-d6, 100 MHz) NMR spectra for 7c; Figure S4: 1H (DMSO-d6, 400 MHz) and 13C (DMSO-d6, 100 MHz) NMR spectra for 7d; Figure S5: 1H (DMSO-d6, 400 MHz) and 13C (DMSO-d6, 100 MHz) NMR spectra for 7e; Figure S6: 1H (DMSO-d6, 400 MHz) and 13C (DMSO-d6, 100 MHz) NMR spectra for 7f; Figure S7: 1H (DMSO-d6, 400 MHz) and 13C (DMSO-d6, 100 MHz) NMR spectra for 8a; Figure S8: 1H (DMSO-d6, 400 MHz) and 13C (DMSO-d6, 100 MHz) NMR spectra for 8b; Figure S9: 1H (DMSO-d6, 400 MHz) and 13C (DMSO-d6, 100 MHz) NMR spectra for 8c; Figure S10: 1H (DMSO-d6, 400 MHz) and 13C (DMSO-d6, 100 MHz) NMR spectra for 8d; Figure S11: 1H (DMSO-d6, 400 MHz) and 13C (DMSO-d6, 100 MHz) NMR spectra for 8e; Figure S12: 1H (DMSO-d6, 400 MHz) and 13C (DMSO-d6, 100 MHz) NMR spectra for 8f; Figure S13: 1H (DMSO-d6, 400 MHz) and 13C (DMSO-d6, 100 MHz) NMR spectra for 9a.

Author Contributions

Conceptualization, B.R.C.; methodology, K.S., T.T. and F.R.; formal analysis, B.R.C. and J.M.B.; investigation, K.S., M.M.C., T.T., F.R., M.-L.B.-K., J.M.B. and B.R.C.; resources, B.R.C. and J.M.B.; data curation, B.R.C.; writing—original draft preparation, B.R.C., K.S. and M.M.C.; writing—review and editing, B.R.C., M.M.C., M.-L.B.-K. and J.M.B.; supervision, B.R.C., M.M.C. and J.M.B.; project administration, B.R.C. and M.M.C.; funding acquisition, B.R.C., M.M.C., M.-L.B.-K. and J.M.B. All authors have read and agreed to the published version of the manuscript.

Funding

This research was funded by Catalyst: Seeding Dumont d’Urville NZ-France Science and Technology Support Programme (19-UOA-057-DDU) provided by the New Zealand Ministry of Business, Innovation and Employment and administered by the Royal Society Te Apārangi.

Institutional Review Board Statement

Not applicable.

Informed Consent Statement

Not applicable.

Data Availability Statement

Data are contained within the article or Supplementary Materials.

Acknowledgments

We thank Michael Schmitz and Mansa Nair for their assistance with NMR and mass spectrometric data. Antimicrobial, cytotoxicity and hemolytic assay screening was performed by CO-ADD (The Community for Antimicrobial Drug Discovery), funded by the Wellcome Trust (UK) and The University of Queensland (Australia).

Conflicts of Interest

The authors declare no conflict of interest.

References

  1. Singh, S.B. Confronting the Challenges of Discovery of Novel Antibacterial Agents. Bioorg. Med. Chem. Lett. 2014, 24, 3683–3689. [Google Scholar] [CrossRef] [PubMed]
  2. Miethke, M.; Pieroni, M.; Weber, T.; Brönstrup, M.; Hammann, P.; Halby, L.; Arimondo, P.B.; Glaser, P.; Aigle, B.; Bode, H.B.; et al. Towards the Sustainable Discovery and Development of New Antibiotics. Nat. Rev. Chem. 2021, 5, 726–749. [Google Scholar] [CrossRef] [PubMed]
  3. Moore, K.S.; Wehrli, S.; Roder, H.; Rogers, M.; Forrest, J.N.; McCrimmon, D.; Zasloff, M. Squalamine: An Aminosterol Antibiotic from the Shark. Proc. Natl. Acad. Sci. USA 1993, 90, 1354–1358. [Google Scholar] [CrossRef] [PubMed]
  4. Rao, M.N.; Shinnar, A.E.; Noecker, L.A.; Chao, T.L.; Feibush, B.; Snyder, B.; Sharkansky, I.; Sarkahian, A.; Zhang, X.; Jones, S.R.; et al. Aminosterols from the Dogfish Shark Squalus acanthias. J. Nat. Prod. 2000, 63, 631–635. [Google Scholar] [CrossRef]
  5. Alhanout, K.; Malesinki, S.; Vidal, N.; Peyrot, V.; Rolain, J.M.; Brunel, J.M. New Insights into the Antibacterial Mechanism of Action of Squalamine. J. Antimicrob. Chemother. 2010, 65, 1688–1693. [Google Scholar] [CrossRef]
  6. Di Pasquale, E.; Salmi-Smail, C.; Brunel, J.-M.; Sanchez, P.; Fantini, J.; Maresca, M. Biophysical Studies of the Interaction of Squalamine and Other Cationic Amphiphilic Molecules with Bacterial and Eukaryotic Membranes: Importance of the Distribution Coefficient in Membrane Selectivity. Chem. Phys. Lipids 2010, 163, 131–140. [Google Scholar] [CrossRef]
  7. Salmi, C.; Loncle, C.; Vidal, N.; Letourneux, Y.; Fantini, J.; Maresca, M.; Taïeb, N.; Pagès, J.-M.; Brunel, J.M. Squalamine: An Appropriate Strategy against the Emergence of Multidrug Resistant Gram-Negative Bacteria? PLoS ONE 2008, 3, e2765. [Google Scholar] [CrossRef]
  8. Ding, B.; Guan, Q.; Walsh, J.P.; Boswell, J.S.; Winter, T.W.; Winter, E.S.; Boyd, S.S.; Li, C.; Savage, P.B. Correlation of the Antibacterial Activities of Cationic Peptide Antibiotics and Cationic Steroid Antibiotics. J. Med. Chem. 2002, 45, 663–669. [Google Scholar] [CrossRef]
  9. Lavigne, J.-P.; Brunel, J.-M.; Chevalier, J.; Pages, J.-M. Squalamine, an Original Chemosensitizer to Combat Antibiotic-Resistant Gram-Negative Bacteria. J. Antimicrob. Chemother. 2010, 65, 799–801. [Google Scholar] [CrossRef]
  10. Boes, A.; Brunel, J.M.; Derouaux, A.; Kerff, F.; Bouhss, A.; Touze, T.; Breukink, E.; Terrak, M. Squalamine and Aminosterol Mimics Inhibit the Peptidoglycan Glycosyltransferase Activity of PBP1b. Antibiotics 2020, 9, 373. [Google Scholar] [CrossRef]
  11. Kazakova, O.; Giniyatullina, G.; Babkov, D.; Wimmer, Z. From Marine Metabolites to the Drugs of the Future: Squalamine, Trodusquemine, Their Steroid and Triterpene Analogues. Int. J. Mol. Sci. 2022, 23, 1075. [Google Scholar] [CrossRef] [PubMed]
  12. Lin, C.; Wang, Y.; Le, M.; Chen, K.-F.; Jia, Y.-G. Recent Progress in Bile Acid-Based Antimicrobials. Bioconjug. Chem. 2021, 32, 395–410. [Google Scholar] [CrossRef] [PubMed]
  13. Savage, P.B.; Li, C. Cholic Acid Derivatives: Novel Antimicrobials. Expert Opin. Investig. Drugs 2000, 9, 263–272. [Google Scholar] [CrossRef] [PubMed]
  14. Singla, P.; Kaur, M.; Kumari, A.; Kumari, L.; Pawar, S.V.; Singh, R.; Salunke, D.B. Facially Amphiphilic Cholic Acid–Lysine Conjugates as Promising Antimicrobials. ACS Omega 2020, 5, 3952–3963. [Google Scholar] [CrossRef]
  15. Salunke, D.B.; Hazra, B.G.; Pore, V.S.; Bhat, M.K.; Nahar, P.B.; Deshpande, M.V. New Steroidal Dimers with Antifungal and Antiproliferative Activity. J. Med. Chem. 2004, 47, 1591–1594. [Google Scholar] [CrossRef]
  16. Randazzo, R.A.S.; Bucki, R.; Janmey, P.A.; Diamond, S.L. A Series of Cationic Sterol Lipids with Gene Transfer and Bactericidal Activity. Bioorg. Med. Chem. 2009, 17, 3257–3265. [Google Scholar] [CrossRef]
  17. Deng, G.; Dewa, T.; Regen, S.L. A Synthetic Ionophore That Recognizes Negatively Charged Phospholipid Membranes. J. Am. Chem. Soc. 1996, 118, 8975–8976. [Google Scholar] [CrossRef]
  18. Salunke, D.B.; Hazra, B.G.; Pore, V.S. Bile Acid-Polyamine Conjugates as Synthetic Ionophores. Arkivoc 2004, 2003, 115–125. [Google Scholar] [CrossRef]
  19. DeLong, R.K.; Yoo, H.; Alahari, S.K.; Fisher, M.; Short, S.M.; Kang, S.H.; Kole, R.; Janout, V.; Regan, S.L.; Juliano, R.L. Novel Cationic Amphiphiles as Delivery Agents for Antisense Oligonucleotides. Nucleic Acids Res. 1999, 27, 3334–3341. [Google Scholar] [CrossRef]
  20. Wu, J.; Yu, T.T.; Kuppusamy, R.; Hassan, M.; Alghalayini, A.; Cranfield, C.G.; Willcox, M.D.P.; Black, D.S.; Kumar, N. Cholic Acid-Based Antimicrobial Peptide Mimics as Antibacterial Agents. Int. J. Mol. Sci. 2022, 23, 4623. [Google Scholar] [CrossRef]
  21. Ronsin, G.; Kirby, A.J.; Rittenhouse, S.; Woodnutt, G.; Camilleri, P. Structure and Antimicrobial Activity of New Bile Acid-Based Gemini Surfactants. J. Chem. Soc. Perkin Trans. 2 2002, 1302–1306. [Google Scholar] [CrossRef]
  22. Singla, P.; Dalal, P.; Kaur, M.; Arya, G.; Nimesh, S.; Singh, R.; Salunke, D.B. Bile Acid Oligomers and Their Combination with Antibiotics To Combat Bacterial Infections. J. Med. Chem. 2018, 61, 10265–10275. [Google Scholar] [CrossRef] [PubMed]
  23. Kikuchi, K.; Bernard, E.M.; Sadownik, A.; Regen, S.L.; Armstrong, D. Antimicrobial Activities of Squalamine Mimics. Antimicrob. Agents Chemother. 1997, 41, 1433–1438. [Google Scholar] [CrossRef] [PubMed]
  24. Hazra, B.; Pore, V.; Dey, S.; Datta, S.; Darokar, M.; Saikia, D.; Khanuja, S.; Thakur, A. Bile Acid Amides Derived from Chiral Amino Alcohols: Novel Antimicrobials and Antifungals. Bioorg. Med. Chem. Lett. 2004, 14, 773–777. [Google Scholar] [CrossRef] [PubMed]
  25. Huang, L.; Sun, Y.; Zhu, H.; Zhang, Y.; Xu, J.; Shen, Y.-M. Synthesis and Antimicrobial Evaluation of Bile Acid Tridentate Conjugates. Steroids 2009, 74, 701–706. [Google Scholar] [CrossRef] [PubMed]
  26. Chen, W.-H.; Shao, X.-B.; Moellering, R.; Wennersten, C.; Regen, S.L. A Bioconjugate Approach toward Squalamine Mimics: Insight into the Mechanism of Biological Action. Bioconjug. Chem. 2006, 17, 1582–1591. [Google Scholar] [CrossRef]
  27. Pearce, A.N.; Kaiser, M.; Copp, B.R. Synthesis and Antimalarial Evaluation of Artesunate-Polyamine and Trioxolane-Polyamine Conjugates. Eur. J. Med. Chem. 2017, 140, 595–603. [Google Scholar] [CrossRef]
  28. Klenke, B.; Gilbert, I.H. Nitrile Reduction in the Presence of Boc-Protected Amino Groups by Catalytic Hydrogenation over Palladium-Activated Raney-Nickel. J. Org. Chem. 2001, 66, 2480–2483. [Google Scholar] [CrossRef]
  29. Klenke, B.; Stewart, M.; Barrett, M.P.; Brun, R.; Gilbert, I.H. Synthesis and Biological Evaluation of s -Triazine Substituted Polyamines as Potential New Anti-Trypanosomal Drugs. J. Med. Chem. 2001, 44, 3440–3452. [Google Scholar] [CrossRef]
  30. Israel, M.; Rosenfield, J.S.; Modest, E.J. Analogs of Spermine and Spermidine. I. Synthesis of Polymethylenepolyamines by Reduction of Cyanoethylated α,ι-Alkylenediamines1,2. J. Med. Chem. 1964, 7, 710–716. [Google Scholar] [CrossRef]
  31. Rolain, J.-M.; Francois, P.; Hernandez, D.; Bittar, F.; Richet, H.; Fournous, G.; Mattenberger, Y.; Bosdure, E.; Stremler, N.; Dubus, J.-C.; et al. Genomic Analysis of an Emerging Multiresistant Staphylococcus Aureus Strain Rapidly Spreading in Cystic Fibrosis Patients Revealed the Presence of an Antibiotic Inducible Bacteriophage. Biol. Direct 2009, 4, 1. [Google Scholar] [CrossRef] [PubMed]
  32. Blaskovich, M.A.T.; Zuegg, J.; Elliott, A.G.; Cooper, M.A. Helping Chemists Discover New Antibiotics. ACS Infect. Dis. 2015, 1, 285–287. [Google Scholar] [CrossRef] [PubMed]
  33. Li, S.A.; Cadelis, M.M.; Deed, R.C.; Douafer, H.; Bourguet-Kondracki, M.-L.; Brunel, J.M.; Copp, B.R. Valorisation of the diterpene podocarpic acid—Antibiotic and antibiotic enhancing activities of polyamine conjugates. Bioorg. Med. Chem. 2022, 64, 116762. [Google Scholar] [CrossRef] [PubMed]
Figure 1. The structure of squalamine (1).
Figure 1. The structure of squalamine (1).
Antibiotics 12 00404 g001
Figure 2. Structures of cholic (2), hyodeoxycholic (3), ursodeoxycholic (4) and chenodeoxycholic (5) acids.
Figure 2. Structures of cholic (2), hyodeoxycholic (3), ursodeoxycholic (4) and chenodeoxycholic (5) acids.
Antibiotics 12 00404 g002
Figure 3. Boc-protected polyamines 6af.
Figure 3. Boc-protected polyamines 6af.
Antibiotics 12 00404 g003
Scheme 1. General method for the synthesis of target polyamine analogues 79. Reagents and conditions: (i) for 7af: hyodeoxycholic acid (2.0 equiv.), Boc-protected polyamine (6af) (1.0 equiv.), PyBOP (2.2 equiv.), DIPEA (6 equiv.), r.t., N2, 18 h, (yields 12–96%) or for 8af and 9a: carboxylic acid 4 or 5 (2.0 equiv.), Boc-protected polyamine (6af) (1.0 equiv.), HOBt (1.0 equiv.), DIPEA (4.0 equiv.), 0 °C, N2, 10 min. then EDC·HCl (3.0 equiv.), r.t., N2, 18 h (yields 71–92%); (ii) TFA (0.2 mL), CH2Cl2 (2 mL), r.t., 2 h (yields 59–98%).
Scheme 1. General method for the synthesis of target polyamine analogues 79. Reagents and conditions: (i) for 7af: hyodeoxycholic acid (2.0 equiv.), Boc-protected polyamine (6af) (1.0 equiv.), PyBOP (2.2 equiv.), DIPEA (6 equiv.), r.t., N2, 18 h, (yields 12–96%) or for 8af and 9a: carboxylic acid 4 or 5 (2.0 equiv.), Boc-protected polyamine (6af) (1.0 equiv.), HOBt (1.0 equiv.), DIPEA (4.0 equiv.), 0 °C, N2, 10 min. then EDC·HCl (3.0 equiv.), r.t., N2, 18 h (yields 71–92%); (ii) TFA (0.2 mL), CH2Cl2 (2 mL), r.t., 2 h (yields 59–98%).
Antibiotics 12 00404 sch001
Figure 4. HDCA (7af), UDCA (8af) and CDCA (9a) analogues.
Figure 4. HDCA (7af), UDCA (8af) and CDCA (9a) analogues.
Antibiotics 12 00404 g004
Figure 5. Bacterial growth inhibition exhibited by 7e against (A) S. aureus ATCC 25923, (B) S. aureus MRSA (CF-Marseille); (C) Bacillus cereus ATCC 11778 with different concentrations. Positive control was bacteria only and negative control was media only.
Figure 5. Bacterial growth inhibition exhibited by 7e against (A) S. aureus ATCC 25923, (B) S. aureus MRSA (CF-Marseille); (C) Bacillus cereus ATCC 11778 with different concentrations. Positive control was bacteria only and negative control was media only.
Antibiotics 12 00404 g005
Figure 6. ATP release from S. aureus when treated with cholic acid derivative 7e with cetyltrimethylammonium bromide (CTAB) (1%) as the positive control.
Figure 6. ATP release from S. aureus when treated with cholic acid derivative 7e with cetyltrimethylammonium bromide (CTAB) (1%) as the positive control.
Antibiotics 12 00404 g006
Table 1. Antimicrobial (MIC, μM) activities1 of compounds 79 and squalamine (1).
Table 1. Antimicrobial (MIC, μM) activities1 of compounds 79 and squalamine (1).
CompoundS.a. aE.c. bK.p. cP.a. dA.b. eC.a. fC.n. g
7a3.4>27>27>27>2714≤0.21
7b≤0.21>26>26>26>2613≤0.21
7c≤0.21>26>26>26>2613≤0.21
7d≤0.20>26>26>26>2613≤0.20
7e≤0.20>25>25>25>25≤0.200.80
7f≤0.19>25>25>25>25≤0.19≤0.19
8a27>27>27>27>2727>27
8b1.7>26>26>26>2627>27
8c≤0.21>26>26>26>261326
8d≤0.20>26>26>26>262613
8e≤0.20>25>25>25>253.21.6
8f≤0.19>25>25>25>253.1≤0.19
9a≤0.216.8>27>2727≤0.21≤0.21
1≤0.28≤0.28≤0.2818≤0.284.50.56
All values presented as the mean (n = 2). a Staphylococcus aureus ATCC 43300 (MRSA) with vancomycin (MIC 0.7 μM) used as a positive control; b Escherichia coli ATCC 25922 with colistin (MIC0.1 μM); c Klebsiella pneumoniae ATCC 700603 with colistin (MIC 0.2 μM); d Pseudomonas aeruginosa ATCC 27853 with colistin (MIC 0.2 μM); e Acinetobacter baumannii ATCC 19606 with colistin (MIC0.2 μM); f Candida albicans ATCC 90028 with fluconazole (MIC 0.4 μM) as a positive control; g Cryptococcus neoformans ATCC 208821 with fluconazole (MIC 26 μM) as a positive control.
Table 2. Cytotoxicity (IC50, μM) and hemolytic (HC10, μM) activities of compounds 79 and squalamine (1).
Table 2. Cytotoxicity (IC50, μM) and hemolytic (HC10, μM) activities of compounds 79 and squalamine (1).
CompoundCytotoxicity aHemolysis b
7a>27>27
7b>26>26
7c>26>26
7d>26>26
7e>25>25
7f25>25
8a>277.3
8b>2711
8c>2611
8d>265.6
8e>253.3
8f8.41.4
9a2727
1>36>36
a Concentration (μM) of compound at 50% cytotoxicity on HEK293 human embryonic kidney cells and values presented as the mean (n = 2). Tamoxifen was the positive control (IC50 24 μM); b Concentration (μM) of compound at 10% hemolytic activity on human red blood cells and values presented as the mean (n = 2). Melittin was the positive control (HC10 0.95 μM).
Disclaimer/Publisher’s Note: The statements, opinions and data contained in all publications are solely those of the individual author(s) and contributor(s) and not of MDPI and/or the editor(s). MDPI and/or the editor(s) disclaim responsibility for any injury to people or property resulting from any ideas, methods, instructions or products referred to in the content.

Share and Cite

MDPI and ACS Style

Sue, K.; Cadelis, M.M.; Troia, T.; Rouvier, F.; Bourguet-Kondracki, M.-L.; Brunel, J.M.; Copp, B.R. Investigation of α,ω-Disubstituted Polyamine-Cholic Acid Conjugates Identifies Hyodeoxycholic and Chenodeoxycholic Scaffolds as Non-Toxic, Potent Antimicrobials. Antibiotics 2023, 12, 404. https://doi.org/10.3390/antibiotics12020404

AMA Style

Sue K, Cadelis MM, Troia T, Rouvier F, Bourguet-Kondracki M-L, Brunel JM, Copp BR. Investigation of α,ω-Disubstituted Polyamine-Cholic Acid Conjugates Identifies Hyodeoxycholic and Chenodeoxycholic Scaffolds as Non-Toxic, Potent Antimicrobials. Antibiotics. 2023; 12(2):404. https://doi.org/10.3390/antibiotics12020404

Chicago/Turabian Style

Sue, Kenneth, Melissa M. Cadelis, Thomas Troia, Florent Rouvier, Marie-Lise Bourguet-Kondracki, Jean Michel Brunel, and Brent R. Copp. 2023. "Investigation of α,ω-Disubstituted Polyamine-Cholic Acid Conjugates Identifies Hyodeoxycholic and Chenodeoxycholic Scaffolds as Non-Toxic, Potent Antimicrobials" Antibiotics 12, no. 2: 404. https://doi.org/10.3390/antibiotics12020404

APA Style

Sue, K., Cadelis, M. M., Troia, T., Rouvier, F., Bourguet-Kondracki, M.-L., Brunel, J. M., & Copp, B. R. (2023). Investigation of α,ω-Disubstituted Polyamine-Cholic Acid Conjugates Identifies Hyodeoxycholic and Chenodeoxycholic Scaffolds as Non-Toxic, Potent Antimicrobials. Antibiotics, 12(2), 404. https://doi.org/10.3390/antibiotics12020404

Note that from the first issue of 2016, this journal uses article numbers instead of page numbers. See further details here.

Article Metrics

Back to TopTop