Comparative Genome Analysis of 19 Trueperella pyogenes Strains Originating from Different Animal Species Reveal a Genetically Diverse Open Pan-Genome
Abstract
1. Introduction
2. Materials and Methods
2.1. Isolation, Characterization, and Genome Sequencing of T. pyogenes Bu5
2.2. Sequence Information and Quality
2.3. Genome Characteristics
2.4. Pan-Genome, Core-Genome, and Strain-Specific Gene Calculations
2.5. Functional Annotation
2.6. Average Nucleotide Identity (ANI) Determination
2.7. Phylogenetic Tree Construction
2.8. Synteny Plot Analysis
2.9. Detection of Candidate Virulence Factors (CVFs)
2.10. Detection of Genomic Islands (GIs)
2.11. Detection of Prophages
2.12. Searching of Antibiotic Resistance Genes (ARGs)
3. Results
3.1. Isolation, Characterization, and Sequencing of T. pyogenes Bu5
3.2. Data Availability
3.3. Comparative Genome Statistics
3.4. Pan-Genome Calculations Reveals Open Pan-Genome and Strain-Specific Genes
3.5. Functional Annotation of Core-Genome and Strain-Specific Gene Repertoire
3.6. Phylogenetic and Synteny Plot Analysis
3.7. Decoding of Virulome: Candidate Virulence Genes Identified
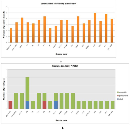
3.8. Genomic Island Detection
3.9. Prophage Detection
3.10. Antibiotic Resistance Genes (ARG) Detection
4. Discussion
5. Conclusions
Supplementary Materials
Author Contributions
Funding
Institutional Review Board Statement
Informed Consent Statement
Data Availability Statement
Acknowledgments
Conflicts of Interest
References
- Rzewuska, M.; Kwiecień, E.; Chrobak-Chmiel, D.; Kizerwetter-Świda, M.; Stefańska, I.; Gieryńska, M. Pathogenicity and virulence of Trueperella pyogenes: A review. Int. J. Mol. Sci. 2019, 20, 2737. [Google Scholar] [CrossRef] [PubMed]
- Nagib, S.; Glaeser, S.P.; Eisenberg, T.; Sammra, O.; Lämmler, C.; Kämpfer, P.; Schauerte, N.; Geiger, C.; Kaim, U.; Prenger-Berninghoff, E.; et al. Fatal infection in three Grey Slender Lorises (Loris lydekkerianusnordicus) caused by clonally related Trueperella pyogenes. BMC Vet. Res. 2017, 13, 1–9. [Google Scholar] [CrossRef] [PubMed]
- Wickhorst, J.P.; Hassan, A.A.; Sheet, O.H.; Eisenberg, T.; Sammra, O.; Alssahen, M.; Lämmler, C.; Prenger-Berninghoff, E.; Zschöck, M.; Timke, M.; et al. Trueperella pyogenes isolated from a brain abscess of an adult roebuck (Capreoluscapreolus). Folia Microbiol. 2018, 63, 17–22. [Google Scholar] [CrossRef] [PubMed]
- Ribeiro, M.G.; Risseti, R.M.; Bolaños, C.A.D.; Caffaro, K.A.; De Morais, A.C.B.; Lara, G.H.B.; Zamprogna, T.O.; Paes, A.C.; Listoni, F.J.P.; Franco, M.M.J. Trueperella pyogenes multispecies infections in domestic animals: A retrospective study of 144 cases (2002 to 2012). Vet. Q. 2015, 35, 82–87. [Google Scholar] [CrossRef]
- Pillai, D.K.; Amachawadi, R.G.; Baca, G.; Narayanan, S.; Nagaraja, T.G. Leukotoxic activity of Fusobacterium necrophorum of cattle origin. Anaerobe 2019, 56, 51–56. [Google Scholar] [CrossRef]
- Deliwala, S.; Beere, T.; Samji, V.; Mcdonald, P.J.; Bachuwa, G. When zoonotic organisms cross over—Trueperella pyogenes endocarditis presenting as a septic embolic stroke. Cureus 2020, 12, e7740. [Google Scholar] [CrossRef]
- Kavitha, K.; Latha, R.; Udayashankar, C.; Jayanthi, K.; Oudeacoumar, P. Three cases of Arcanobacterium pyogenes-associated soft tissue infection. J. Med. Microbiol. 2010, 59, 736–739. [Google Scholar] [CrossRef]
- Belser, E.H.; Cohen, B.S.; Keeler, S.P.; Killmaster, C.H.; Bowers, J.W.; Miller, K.V. Epethelial presence of Trueperella pyogenes predicts site-level presence of cranial abscess disease in white-tailed deer (Odocoileus virginianus). PLoS ONE 2015, 10, e0120028. [Google Scholar] [CrossRef]
- Risseti, R.M.; Zastempowska, E.; Twarużek, M.; Lassa, H.; Pantoja, J.C.F.; De Vargas, A.P.C.; Guerra, S.T.; Bolaños, C.A.D.; de Paula, C.L.; Alves, A.C.; et al. Virulence markers associated with Trueperella pyogenes infections in livestock and companion animals. Lett. Appl. Microbiol. 2017, 65, 125–132. [Google Scholar] [CrossRef]
- Rogovskyy, A.S.; Lawhon, S.; Kuczmanski, K.; Gillis, D.C.; Wu, J.; Hurley, H.; Rogovska, Y.V.; Konganti, K.; Yang, C.Y.; Duncan, K. Phenotypic and genotypic characteristics of Trueperella pyogenes isolated from ruminants. J. Vet. Diagn. Investig. 2018, 30, 348–353. [Google Scholar] [CrossRef]
- Jost, B.H.; Billington, S.J. Arcanobacterium pyogenes: Molecular pathogenesis of an animal opportunist. Antonie Van Leeuwenhoek 2005, 88, 87–102. [Google Scholar] [CrossRef] [PubMed]
- Jost, B.H.; Songer, J.G.; Billington, S.J. An Arcanobacterium (Actinomyces) pyogenes mutant deficient in production of the pore-forming cytolysin pyolysin has reduced virulence. Infect. Immun. 1999, 67, 1723–1728. [Google Scholar] [CrossRef] [PubMed]
- Bisinotto, R.S.; Oliveira Filho, J.C.; Narbus, C.; Machado, V.S.; Murray, E.; Bicalho, R.C. Identification of fimbrial subunits in the genome of Trueperella pyogenes and association between serum antibodies against fimbrial proteins and uterine conditions in dairy cows. J. Dairy Sci. 2016, 99, 3765–3776. [Google Scholar] [CrossRef] [PubMed]
- Zhao, K.; Liu, M.; Zhang, X.; Wang, H.; Yue, B. In vitro and in vivo expression of virulence genes in Trueperella pyogenes based on a mouse model. Vet. Microbiol. 2013, 163, 344–350. [Google Scholar] [CrossRef]
- Machado, V.S.; Bicalho, R.C. Complete genome sequence of Trueperella pyogenes, an important opportunistic pathogen of livestock. Genome Announc. 2014, 2, e00400-14. [Google Scholar] [CrossRef]
- Ashrafi Tamai, I.; Mohammadzadeh, A.; GhalyanchiLangeroudi, A.; Mahmoodi, P.; ZiafatiKafi, Z.; Pakbin, B.; Zahraei Salehi, T. Complete genome sequence of Trueperella pyogenes strain Arash114, isolated from the uterus of a water buffalo (Bubalus bubalis) in Iran. BMC Res. Notes 2021, 14, 1–4. [Google Scholar] [CrossRef]
- Azawi, O.I. A study on the pathological lesions of oviducts of buffaloes diagnosed at postmortem. Vet. Res. Commun. 2009, 33, 77–85. [Google Scholar] [CrossRef]
- Galiero, G. Causes of infectious abortion in the Mediterranean buffalo. Ital. J. Anim. Sci. 2007, 6 (Suppl. 2), 194–199. [Google Scholar] [CrossRef]
- Wani, A.H.; Verma, S.; Sharma, M.; Wani, A. Infectious lameness among migratory sheep and goats in north-west India, with particular focus on anaerobes. Rev. Sci. Tech. OIE 2015, 34, 855–867. [Google Scholar] [CrossRef]
- Fujimoto, H.; Shimoji, N.; Sunagawa, T.; Kubozono, K.; Nakajima, C.; Chuma, T. Differences in phenotypic and genetic characteristics of Trueperella pyogenes detected in slaughtered cattle and pigs with septicemia. J. Vet. Med. Sci. 2020, 82, 626–631. [Google Scholar] [CrossRef]
- Hijazin, M.; Ülbegi-Mohyla, H.; Alber, J.; Lämmler, C.; Hassan, A.A.; Abdulmawjood, A.; Prenger-Berninghoff, E.; Weiss, R.; Zschöck, M. Molecular identification and further characterization of Arcanobacterium pyogenes isolated from bovine mastitis and from various other origins. J. Dairy Sci. 2011, 94, 1813–1819. [Google Scholar] [CrossRef] [PubMed]
- Ashrafi Tamai, I.; Mohammadzadeh, A.; Zahraei Salehi, T.; Mahmoodi, P. Genomic characterisation, detection of genes encoding virulence factors and evaluation of antibiotic resistance of Trueperella pyogenes isolated from cattle with clinical metritis. Antonie Van Leeuwenhoek 2018, 111, 2441–2453. [Google Scholar] [CrossRef] [PubMed]
- Rezanejad, M.; Karimi, S.; Momtaz, H. Phenotypic and molecular characterization of antimicrobial resistance in Trueperella pyogenes strains isolated from bovine mastitis and metritis. BMC Microbiol. 2019, 19, 1–9. [Google Scholar] [CrossRef] [PubMed]
- Liu, M.; Wang, B.; Liang, H.; Ma, B.; Wang, J.; Zhang, W. Determination of the expression of three fimbrial subunit proteins in cultured Trueperella pyogenes. Acta Vet. Scand. 2018, 60, 1–10. [Google Scholar] [CrossRef]
- Abd El-Aleam, R.H.; George, R.F.; Georgey, H.H.; Abdel-Rahman, H.M. Bacterial virulence factors: A target for heterocyclic compounds to combat bacterial resistance. RSC Adv. 2021, 11, 36459–36482. [Google Scholar] [CrossRef]
- Kane, T.L.; Carothers, K.E.; Lee, S.W. Virulence factor targeting of the bacterial pathogen Staphylococcus aureus for vaccine and therapeutics. Curr. Drug Targets 2018, 19, 111–127. [Google Scholar]
- Davis, J.J.; Wattam, A.R.; Aziz, R.K.; Brettin, T.; Butler, R.; Butler, R.M.; Chlenski, P.; Conrad, N.; Dickerman, A.; Dietrich, E.M.; et al. The PATRIC Bioinformatics Resource Center: Expanding data and analysis capabilities. Nucleic Acids Res. 2020, 48, D606–D612. [Google Scholar] [CrossRef]
- Sayers, E.W.; Beck, J.; Bolton, E.E.; Bourexis, D.; Brister, J.R.; Canese, K.; Comeau, D.C.; Funk, K.; Kim, S.; Klimke, W.; et al. Database resources of the national center for biotechnology information. Nucleic Acids Res. 2021, 49, D10. [Google Scholar] [CrossRef]
- Duarte, V.D.S.; Treu, L.; Campanaro, S.; Dias, R.S.; Silva, C.C.D.; Giacomini, A.; Corich, V.; de Paula, S.O. The complete genome sequence of Trueperella pyogenes UFV1 reveals a processing system involved in the quorum-sensing signal response. Genome Announc. 2017, 5, e00639-e17. [Google Scholar]
- Machado, V.S.; Bicalho, M.L.D.S.; Meira Junior, E.B.D.S.; Rossi, R.; Ribeiro, B.L.; Lima, S.; Santos, T.; Kussler, A.; Foditsch, C.; Ganda, E.K.; et al. Subcutaneous immunization with inactivated bacterial components and purified protein of Escherichia coli, Fusobacterium necrophorum and Trueperella pyogenes prevents puerperal metritis in Holstein dairy cows. PLoS ONE 2014, 9, e91734. [Google Scholar] [CrossRef]
- Jalili, V.; Afgan, E.; Gu, Q.; Clements, D.; Blankenberg, D.; Goecks, J.; Taylor, J.; Nekrutenko, A. The Galaxy platform for accessible, reproducible and collaborative biomedical analyses: 2020 update. Nucleic Acids Res. 2020, 48, W395–W402. [Google Scholar] [CrossRef]
- Seemann, T. Prokka: Rapid prokaryotic genome annotation. Bioinformatics 2014, 30, 2068–2069. [Google Scholar] [CrossRef]
- Tettelin, H.; Riley, D.; Cattuto, C.; Medini, D. Comparative genomics: The bacterial pan-genome. Curr. Opin. Microbiol. 2008, 11, 472–477. [Google Scholar] [CrossRef]
- Costa, S.S.; Guimarães, L.C.; Silva, A.; Soares, S.C.; Baraúna, R.A. First steps in the analysis of prokaryotic pan-genomes. Bioinform. Biol. Insights 2020, 14, 1177932220938064. [Google Scholar]
- Medini, D.; Donati, C.; Tettelin, H.; Masignani, V.; Rappuoli, R. The microbial pan-genome. Curr. Opin. Genet. Dev. 2005, 15, 589–594. [Google Scholar] [CrossRef] [PubMed]
- Dieckmann, M.A.; Beyvers, S.; Nkouamedjo-Fankep, R.C.; Hanel, P.H.G.; Jelonek, L.; Blom, J.; Goesmann, A. EDGAR3. 0: Comparative genomics and phylogenomics on a scalable infrastructure. Nucleic Acids Res. 2021, 49, W185–W192. [Google Scholar] [CrossRef] [PubMed]
- Tettelin, H.; Masignani, V.; Cieslewicz, M.J.; Donati, C.; Medini, D.; Ward, N.L.; Angiuoli, S.V.; Crabtree, J.; Jones, A.L.; Durkin, A.S.; et al. Genome analysis of multiple pathogenic isolates of Streptococcus agalactiae: Implications for the microbial “pan-genome”. Proc. Natl. Acad. Sci. USA 2005, 10, 13950–13955. [Google Scholar] [CrossRef] [PubMed]
- Cantalapiedra, C.P.; Hernández-Plaza, A.; Letunic, I.; Bork, P.; Huerta-Cepas, J. eggNOG-mapper v2: Functional annotation, orthology assignments, and domain prediction at the metagenomic scale. Mol. Biol. Evol. 2021, 38, 5825–5829. [Google Scholar] [CrossRef]
- Huerta-Cepas, J.; Szklarczyk, D.; Heller, D.; Hernández-Plaza, A.; Forslund, S.K.; Cook, H.; Mende, D.R.; Letunic, I.; Rattei, T.; Jensen, L.J.; et al. eggNOG 5.0: A hierarchical, functionally and phylogenetically annotated orthology resource based on 5090 organisms and 2502 viruses. Nucleic Acids Res. 2019, 47, D309–D314. [Google Scholar] [CrossRef]
- Blom, J.; Kreis, J.; Spänig, S.; Juhre, T.; Bertelli, C.; Ernst, C.; Goesmann, A. EDGAR 2.0: An enhanced software platform for comparative gene content analyses. Nucleic Acids Res. 2016, 44, W22–W28. [Google Scholar] [CrossRef]
- Edgar, R.C. MUSCLE: A multiple sequence alignment method with reduced time and space complexity. BMC Bioinform. 2004, 5, 1–19. [Google Scholar] [CrossRef]
- Price, M.N.; Dehal, P.S.; Arkin, A.P. FastTree 2–approximately maximum-likelihood trees for large alignments. PLoS ONE 2010, 5, e9490. [Google Scholar] [CrossRef]
- Altschul, S.F.; Gish, W.; Miller, W.; Myers, E.W.; Lipman, D.J. Basic local alignment search tool. J. Mol. Biol. 1990, 215, 403–410. [Google Scholar] [CrossRef] [PubMed]
- Liu, B.; Zheng, D.; Jin, Q.; Chen, L.; Yang, J. VFDB 2019: A comparative pathogenomic platform with an interactive web interface. Nucleic Acids Res. 2019, 47, D687–D692. [Google Scholar] [CrossRef] [PubMed]
- Papadopoulos, J.S.; Agarwala, R. COBALT: Constraint-based alignment tool for multiple protein sequences. Bioinformatics 2007, 23, 1073–1079. [Google Scholar] [CrossRef]
- Hentschel, U.; Hacker, J. Pathogenicity islands: The tip of the iceberg. Microbes Infect. 2001, 3, 545–548. [Google Scholar] [CrossRef] [PubMed]
- Bertelli, C.; Laird, M.R.; Williams, K.P.; Simon Fraser University Research Computing Group; Lau, B.Y.; Hoad, G.; Winsor, G.L.; Brinkman, F.S. IslandViewer 4: Expanded prediction of genomic islands for larger-scale datasets. Nucleic Acids Res. 2017, 45, W30–W35. [Google Scholar] [CrossRef]
- Arndt, D.; Grant, J.R.; Marcu, A.; Sajed, T.; Pon, A.; Liang, Y.; Wishart, D.S. PHASTER: A better, faster version of the PHAST phage search tool. Nucleic Acids Res. 2016, 44, W16–W21. [Google Scholar] [CrossRef]
- Alcock, B.P.; Raphenya, A.R.; Lau, T.T.; Tsang, K.K.; Bouchard, M.; Edalatmand, A.; Huynh, W.; Nguyen, A.L.V.; Cheng, A.A.; Liu, S.; et al. CARD 2020: Antibiotic resistome surveillance with the comprehensive antibiotic resistance database. Nucleic Acids Res. 2020, 48, D517–D525. [Google Scholar] [CrossRef]
- Jarosz, Ł.S.; Gradzki, Z.; Kalinowski, M. Trueperella pyogenes infections in swine: Clinical course and pathology. Pol. J. Vet. Sci. 2014, 17, 395–404. [Google Scholar] [CrossRef]
- Drillich, M. An update on uterine infections in dairy cattle. Slov. Vet. Res. 2006, 43, 11–15. [Google Scholar]
- Galán-Relaño, Á.; Gómez-Gascón, L.; Barrero-Domínguez, B.; Luque, I.; Jurado-Martos, F.; Vela, A.I.; Sanz-Tejero, C.; Tarradas, C. Antimicrobial susceptibility of Trueperella pyogenes isolated from food-producing ruminants. Vet. Microbiol. 2020, 242, 108593. [Google Scholar] [CrossRef] [PubMed]
- Nagaraja, T.G.; McVey, D.S.; Kennedy, M.; Chengappa, M.M. Arcanobacterium. In Veterinary Microbiology; John Wiley & Sons: Hoboken, NJ, USA, 2013; pp. 203–205. [Google Scholar]
- Alkasir, R.; Wang, J.; Gao, J.; Ali, T.; Zhang, L.; Szenci, O.; Bajcsy, Á.C.; Han, B.O. Properties and antimicrobial susceptibility of Trueperella pyogenes isolated from bovine mastitis in China. Acta Vet. Hung. 2016, 64, 1–12. [Google Scholar] [CrossRef] [PubMed]
- Huang, T.; Song, X.; Jing, J.; Zhao, K.; Shen, Y.; Zhang, X.; Yue, B. Chitosan-DNA nanoparticles enhanced the immunogenicity of multivalent DNA vaccination on mice against Trueperella pyogenes infection. J. Nanobiotechnology 2018, 16, 1–15. [Google Scholar]
- Jost, B.H.; Trinh, H.T.; Songer, J.G.; Billington, S.J. Immunization with genetic toxoids of the Arcanobacterium pyogenes cholesterol-dependent cytolysin, pyolysin, protects mice against infection. Infect. Immun. 2003, 71, 2966–2969. [Google Scholar] [CrossRef]
- Yang, L.; Liang, H.; Wang, B.; Ma, B.; Wang, J.; Zhang, W. Evaluation of the potency of two pyolysin-derived recombinant proteins as vaccine candidates of Trueperella pyogenes in a mouse model: Pyolysin oligomerization and structural change affect the efficacy of pyolysin-based vaccines. Vaccines 2020, 8, 79. [Google Scholar] [CrossRef]
- Zhang, W.; Wang, P.; Wang, B.; Ma, B.; Wang, J. A combined Clostridium perfringens/Trueperella pyogenes inactivated vaccine induces complete immunoprotection in a mouse model. Biologicals 2017, 47, 1–10. [Google Scholar] [CrossRef]
- Aaltonen, K.J.; Kant, R.; KvistNikolaisen, N.; Lindegaard, M.; Raunio-Saarnisto, M.; Paulin, L.; Vapalahti, O.; Sironen, T. Comparative Genomics of 42 Arcanobacterium phocae Strains. Antibiotics 2021, 10, 740. [Google Scholar] [CrossRef]
- Yassin, A.F.; Hupfer, H.; Siering, C.; Schumann, P. Comparative chemotaxonomic and phylogenetic studies on the genus Arcanobacterium Collins et al. 1982 emend. Lehnen et al. 2006: Proposal for Trueperella gen. nov. and emended description of the genus Arcanobacterium. Int. J. Syst. Evol. Microbiol. 2011, 61, 1265–1274. [Google Scholar] [CrossRef]
- Chan, A.P.; Sutton, G.; DePew, J.; Krishnakumar, R.; Choi, Y.; Huang, X.Z.; Beck, E.; Harkins, D.M.; Kim, M.; Lesho, E.P.; et al. A novel method of consensus pan-chromosome assembly and large-scale comparative analysis reveal the highly flexible pan-genome of Acinetobacter baumannii. Genome Biol. 2015, 16, 143. [Google Scholar] [CrossRef]
- Liu, F.; Zhu, Y.; Yi, Y.; Lu, N.; Zhu, B.; Hu, Y. Comparative genomic analysis of Acinetobacter baumannii clinical isolates reveals extensive genomic variation and diverse antibiotic resistance determinants. BMC Genom. 2014, 15, 1163. [Google Scholar] [CrossRef] [PubMed]
- Goris, J.; Konstantinidis, K.T.; Klappenbach, J.A.; Coenye, T.; Vandamme, P.; Tiedje, J.M. DNA–DNA hybridization values and their relationship to whole-genome sequence similarities. Int. J. Syst. Evol. Microbiol. 2007, 57, 81–91. [Google Scholar] [CrossRef] [PubMed]
- Zhao, K.; Li, W.; Kang, C.; Du, L.; Huang, T.; Zhang, X.; Wu, M.; Yue, B. Phylogenomics and evolutionary dynamics of the family Actinomycetaceae. Genome Biol. Evol. 2014, 6, 2625–2633. [Google Scholar] [CrossRef] [PubMed]
- NandaKafle, G.; Huegen, T.; Potgieter, S.C.; Steenkamp, E.; Venter, S.N.; Brözel, V.S. Niche preference of Escherichia coli in a peri-urban pond ecosystem. Life 2021, 11, 1020. [Google Scholar] [CrossRef]
- Picard, B.; Garcia, J.S.; Gouriou, S.; Duriez, P.; Brahimi, N.; Bingen, E.; Elion, J.; Denamur, E. The link between phylogeny and virulence in Escherichia coli extraintestinal infection. Infect. Immun. 1999, 67, 546–553. [Google Scholar] [CrossRef]
- Walk, S.T.; Alm, E.W.; Gordon, D.M.; Ram, J.L.; Toranzos, G.A.; Tiedje, J.M.; Whittam, T.S. Cryptic lineages of the genus Escherichia. Appl. Environ. Microbiol. 2009, 75, 6534–6544. [Google Scholar] [CrossRef]
- Queen, C.; Ward, A.C.; Hunter, D.L. Bacteria isolated from nasal and tonsillar samples of clinically healthy Rocky Mountain bighorn and domestic sheep. J. Wildl. Dis. 1994, 30, 1–7. [Google Scholar] [CrossRef]
- Silva, E.; Gaivão, M.; Leitão, S.; Jost, B.H.; Carneiro, C.; Vilela, C.L.; da Costa, L.L.; Mateus, L. Genomic characterization of Arcanobacterium pyogenes isolates recovered from the uterus of dairy cows with normal puerperium or clinical metritis. Vet. Microbiol. 2008, 132, 111–118. [Google Scholar] [CrossRef]
- Leitão, J.H. Microbial virulence factors. Int. J. Mol. Sci. 2020, 21, 5320. [Google Scholar] [CrossRef]
- Sousa, S.; Mesquita, F.S.; Cabanes, D. Old war, new battle, new fighters! J. Infect. Dis. 2015, 211, 1361–1363. [Google Scholar] [CrossRef][Green Version]
- Huang, T.; Zhao, K.; Zhang, Z.; Tang, C.; Zhang, X.; Yue, B. DNA vaccination based on pyolysin co-immunized with IL-1β enhances host antibacterial immunity against Trueperella pyogenes infection. Vaccine 2016, 34, 3469–3477. [Google Scholar] [CrossRef] [PubMed]
- Haiko, J.; Westerlund-Wikström, B. The role of the bacterial flagellum in adhesion and virulence. Biology 2013, 2, 1242–1267. [Google Scholar] [CrossRef] [PubMed]
- Haines-Menges, B.L.; Whitaker, W.B.; Lubin, J.B.; Boyd, E.F. Host sialic acids: A delicacy for the pathogen with discerning taste. Metab. Bact. Pathog. 2015, 3. [Google Scholar] [CrossRef]
- Lewis, W.G.; Robinson, L.S.; Gilbert, N.M.; Perry, J.C.; Lewis, A.L. Degradation, foraging, and depletion of mucus sialoglycans by the vagina-adapted Actinobacterium Gardnerella vaginalis. J. Biol. Chem. 2013, 288, 12067–12079. [Google Scholar] [CrossRef]
- Ribet, D.; Cossart, P. How bacterial pathogens colonize their hosts and invade deeper tissues. Microbes Infect. 2015, 17, 173–183. [Google Scholar] [CrossRef] [PubMed]
- Hao, W.; Golding, G.B. Inferring bacterial genome flux while considering truncated genes. Genetics 2010, 186, 411–426. [Google Scholar] [CrossRef] [PubMed]
- Holmes, D.E.; Dang, Y.; Walker, D.J.; Lovley, D.R. The electrically conductive pili of Geobacter species are a recently evolved feature for extracellular electron transfer. Microb. Genom. 2016, 2, e000072. [Google Scholar] [CrossRef] [PubMed]
- Gupta, A.; Alland, D. Reversible gene silencing through frameshift indels and frameshift scars provide adaptive plasticity for Mycobacterium tuberculosis. Nat. Commun. 2021, 12, 1–11. [Google Scholar] [CrossRef]
- Ibraim, I.C.; Parise, M.T.D.; Parise, D.; Sfeir, M.Z.T.; de Paula Castro, T.L.; Wattam, A.R.; Ghosh, P.; Barh, D.; Souza, E.M.; Góes-Neto, A.; et al. Transcriptome profile of Corynebacterium pseudotuberculosis in response to iron limitation. BMC Genom. 2019, 20, 1–24. [Google Scholar] [CrossRef]
- Kunkle, C.A.; Schmitt, M.P. Analysis of a DtxR-regulated iron transport and siderophore biosynthesis gene cluster in Corynebacterium diphtheriae. J. Bacteriol. 2005, 187, 422–433. [Google Scholar] [CrossRef]
- Dutta, N.K.; Mehra, S.; Martinez, A.N.; Alvarez, X.; Renner, N.A.; Morici, L.A.; Pahar, B.; MacLean, A.G.; Lackner, A.A.; Kaushal, D. The stress-response factor SigH modulates the interaction between Mycobacterium tuberculosis and host phagocytes. PLoS ONE 2012, 7, e28958. [Google Scholar] [CrossRef] [PubMed]
- Franceschi, V.; Mahmoud, A.H.; Abdellrazeq, G.S.; Tebaldi, G.; Macchi, F.; Russo, L.; Fry, L.M.; Elnaggar, M.M.; Bannantine, J.P.; Park, K.T.; et al. Capacity to Elicit Cytotoxic CD8 T Cell Activity Against Mycobacterium avium subsp. paratuberculosis Is Retained in a Vaccine candidate 35 kDa peptide modified for expression in mammalian cells. Front. Immunol. 2019, 10, 2859. [Google Scholar] [CrossRef] [PubMed]
- Pei, J.F.; Qi, N.; Li, Y.X.; Wo, J.; Ye, B.C. RegX3-mediated regulation of methylcitrate cycle in Mycobacterium smegmatis. Front. Microbiol. 2021, 12, 119. [Google Scholar] [CrossRef] [PubMed]
- Wu, S.; Howard, S.T.; Lakey, D.L.; Kipnis, A.; Samten, B.; Safi, H.; Gruppo, V.; Wizel, B.; Shams, H.; Basaraba, R.J.; et al. The principal sigma factor sigA mediates enhanced growth of Mycobacterium tuberculosis in vivo. Mol. Microbiol. 2004, 51, 1551–1562. [Google Scholar] [CrossRef]
- Arnold, B.J.; Huang, I.; Hanage, W.P. Horizontal gene transfer and adaptive evolution in bacteria. Nat. Rev. Microbiol. 2021, 20, 206–218. [Google Scholar] [CrossRef]
- Juhas, M.; Van Der Meer, J.R.; Gaillard, M.; Harding, R.M.; Hood, D.W.; Crook, D.W. Genomic islands: Tools of bacterial horizontal gene transfer and evolution. FEMS Microbiol. Rev. 2009, 33, 376–393. [Google Scholar] [CrossRef]
- Li, W.; Wang, A. Genomic islands mediate environmental adaptation and the spread of antibiotic resistance in multiresistant Enterococci-evidence from genomic sequences. BMC Microbiol. 2021, 21, 1–10. [Google Scholar] [CrossRef]
- Wang, X.; Kim, Y.; Ma, Q.; Hong, S.H.; Pokusaeva, K.; Sturino, J.M.; Wood, T.K. Cryptic prophages help bacteria cope with adverse environments. Nat. Commun. 2010, 1, 1–9. [Google Scholar] [CrossRef]
- Rao, R.T.; Sharma, S.; Sivakumar, N.; Jayakumar, K. Genomic islands and the evolution of livestock-associated Staphylococcus aureus genomes. Biosci. Rep. 2020, 40, BSR20202287. [Google Scholar] [CrossRef]
- Dong, W.L.; Xu, Q.J.; Atiah, L.A.; Odah, K.A.; Gao, Y.H.; Kong, L.C.; Ma, H.X. Genomic island type IV secretion system and transposons in genomic islands involved in antimicrobial resistance in Trueperella pyogenes. Vet. Microbiol. 2020, 242, 108602. [Google Scholar] [CrossRef]
- Fortier, L.C.; Sekulovic, O. Importance of prophages to evolution and virulence of bacterial pathogens. Virulence 2013, 4, 354–365. [Google Scholar] [CrossRef]
- Khan, A.; Burmeister, A.R.; Wahl, L.M. Evolution along the parasitism-mutualism continuum determines the genetic repertoire of prophages. PLoSComput. Biol. 2020, 16, e1008482. [Google Scholar] [CrossRef]
- Costa, A.R.; Monteiro, R.; Azeredo, J. Genomic analysis of Acinetobacter baumannii prophages reveals remarkable diversity and suggests profound impact on bacterial virulence and fitness. Sci. Rep. 2018, 8, 1–11. [Google Scholar] [CrossRef]
- Zhang, D.; Zhao, J.; Wang, Q.; Liu, Y.; Tian, C.; Zhao, Y.; Yu, L.; Liu, M. Trueperella pyogenes isolated from dairy cows with endometritis in Inner Mongolia, China: Tetracycline susceptibility and tetracycline-resistance gene distribution. Microb. Pathog. 2017, 105, 51–56. [Google Scholar] [CrossRef]
- Kwiecień, E.; Stefańska, I.; Chrobak-Chmiel, D.; Kizerwetter-Świda, M.; Moroz, A.; Olech, W.; Spinu, M.; Binek, M.; Rzewuska, M. Trueperella pyogenes isolates from livestock and European bison (Bison bonasus) as a reservoir of tetracycline resistance determinants. Antibiotics 2021, 10, 380. [Google Scholar] [CrossRef]
- Yang, H.; Paruch, L.; Chen, X.; Van Eerde, A.; Skomedal, H.; Wang, Y.; Liu, D.; Liu Clarke, J. Antibiotic application and resistance in swine production in China: Current situation and future perspectives. Front. Vet. Sci. 2019, 6, 136. [Google Scholar] [CrossRef]
- Ström, G.; Boqvist, S.; Albihn, A.; Fernström, L.L.; Andersson Djurfeldt, A.; Sokerya, S.; Sothyra, T.; Magnusson, U. Antimicrobials in small-scale urban pig farming in a lower middle-income country–arbitrary use and high resistance levels. Antimicrob. Resist. Infect. Control 2018, 7, 1–11. [Google Scholar] [CrossRef]
- Aarestrup, F.M.; Duran, C.O.; Burch, D.G. Antimicrobial resistance in swine production. Anim. Health Res. Rev. 2008, 9, 135–148. [Google Scholar] [CrossRef]
- Sanders, P.; Vanderhaeghen, W.; Fertner, M.; Fuchs, K.; Obritzhauser, W.; Agunos, A.; Carson, C.; BorckHøg, B.; Dalhoff Andersen, V.; Chauvin, C.; et al. Monitoring of farm-level antimicrobial use to guide stewardship: Overview of existing systems and analysis of key components and processes. Front. Vet. Sci. 2020, 7, 540. [Google Scholar] [CrossRef]










| S.No | Genome and Strain | Host | Country | Bases | GC | CDS | rRNA | tRNA | tmRNA | RR |
|---|---|---|---|---|---|---|---|---|---|---|
| 1 | T. pyogenes 2012CQ-ZSH | Goat, Capra hircus | China | 2295822 | 59.67 | 2045 | 6 | 46 | 1 | - |
| 2 | T. pyogenes Arash114 | Water Buffalo, Bubalus bubalis | Iran | 2338282 | 59.49 | 2109 | 6 | 46 | 1 | 1 |
| 3 | T. pyogenes jx18 | Pig, Sus scrofa | China | 2415007 | 59.33 | 2180 | 9 | 46 | 1 | 1 |
| 4 | T. pyogenes TP1 | Cow, Bos taurus | China | 2332403 | 59.76 | 2126 | 9 | 46 | 1 | 1 |
| 5 | T. pyogenes TP2 | Cow, Bos taurus | China | 2245225 | 59.68 | 1993 | 9 | 46 | 1 | 1 |
| 6 | T. pyogenes TP3 | Pig, Sus scrofa | China | 2384650 | 59.35 | 2112 | 9 | 46 | 1 | 1 |
| 7 | T. pyogenes TP4 | Pig, Sus scrofa | China | 2427168 | 59.43 | 2169 | 9 | 47 | 1 | 1 |
| 8 | T. pyogenes TP8 | Musk dear, Moschus berezovskii | China | 2272494 | 59.58 | 2069 | 3 | 45 | 1 | 1 |
| 9 | T. pyogenes TP6375 | Cow, Bos taurus | USA | 2338390 | 59.5 | 2100 | 6 | 46 | 1 | 1 |
| 10 | T. pyogenes TP4479 | Pig, Sus scrofa | China | 2382253 | 59.35 | 2114 | 9 | 46 | 1 | 1 |
| 11 | T. pyogenes TP-2849 | Pig, Sus scrofa | China | 2384672 | 59.35 | 2113 | 9 | 46 | 1 | 1 |
| 12 | T. pyogenes Bu5 | Water Buffalo, Bubalus bubalis | India | 2218921 | 59.66 | 1948 | 3 | 46 | 1 | 2 |
| 13 | T. pyogenes MS249 | Cow, Bos taurus | UK | 2216617 | 59.8 | 1984 | 3 | 46 | 1 | 10 |
| 14 | T. pyogenes UFV1 | Cow, Bos taurus | Brazil | 2407507 | 59.75 | 2149 | 2 | 51 | 1 | 2 |
| 15 | T. pyogenes NCTC5224 | Pig, Sus scrofa | - | 2310711 | 59.57 | 2073 | 9 | 48 | 1 | 1 |
| 16 | T. pyogenes SH02 | Pig, Sus scrofa | China | 2380432 | 59.49 | 2116 | 5 | 46 | 1 | 1 |
| 17 | T. pyogenes SH03 | Pig, Sus scrofa | China | 2350892 | 59.58 | 2079 | 7 | 51 | 1 | 1 |
| 18 | T. pyogenes SH01 | Pig, Sus scrofa | China | 2334225 | 59.49 | 2068 | 3 | 46 | 1 | 2 |
| 19 | T. pyogenes DSM 20630 | Pig, Sus scrofa | - | 2187257 | 59.49 | 1958 | 9 | 45 | 1 | 1 |
Disclaimer/Publisher’s Note: The statements, opinions and data contained in all publications are solely those of the individual author(s) and contributor(s) and not of MDPI and/or the editor(s). MDPI and/or the editor(s) disclaim responsibility for any injury to people or property resulting from any ideas, methods, instructions or products referred to in the content. |
© 2022 by the authors. Licensee MDPI, Basel, Switzerland. This article is an open access article distributed under the terms and conditions of the Creative Commons Attribution (CC BY) license (https://creativecommons.org/licenses/by/4.0/).
Share and Cite
Thakur, Z.; Vaid, R.K.; Anand, T.; Tripathi, B.N. Comparative Genome Analysis of 19 Trueperella pyogenes Strains Originating from Different Animal Species Reveal a Genetically Diverse Open Pan-Genome. Antibiotics 2023, 12, 24. https://doi.org/10.3390/antibiotics12010024
Thakur Z, Vaid RK, Anand T, Tripathi BN. Comparative Genome Analysis of 19 Trueperella pyogenes Strains Originating from Different Animal Species Reveal a Genetically Diverse Open Pan-Genome. Antibiotics. 2023; 12(1):24. https://doi.org/10.3390/antibiotics12010024
Chicago/Turabian StyleThakur, Zoozeal, Rajesh Kumar Vaid, Taruna Anand, and Bhupendra Nath Tripathi. 2023. "Comparative Genome Analysis of 19 Trueperella pyogenes Strains Originating from Different Animal Species Reveal a Genetically Diverse Open Pan-Genome" Antibiotics 12, no. 1: 24. https://doi.org/10.3390/antibiotics12010024
APA StyleThakur, Z., Vaid, R. K., Anand, T., & Tripathi, B. N. (2023). Comparative Genome Analysis of 19 Trueperella pyogenes Strains Originating from Different Animal Species Reveal a Genetically Diverse Open Pan-Genome. Antibiotics, 12(1), 24. https://doi.org/10.3390/antibiotics12010024

