Retrospective Comparison of the Effectiveness and Safety of Ceftriaxone 1 g Twice Daily versus 2 g Once Daily for Treatment of Aspiration Pneumonia
Abstract
:1. Introduction
2. Results
2.1. Patients
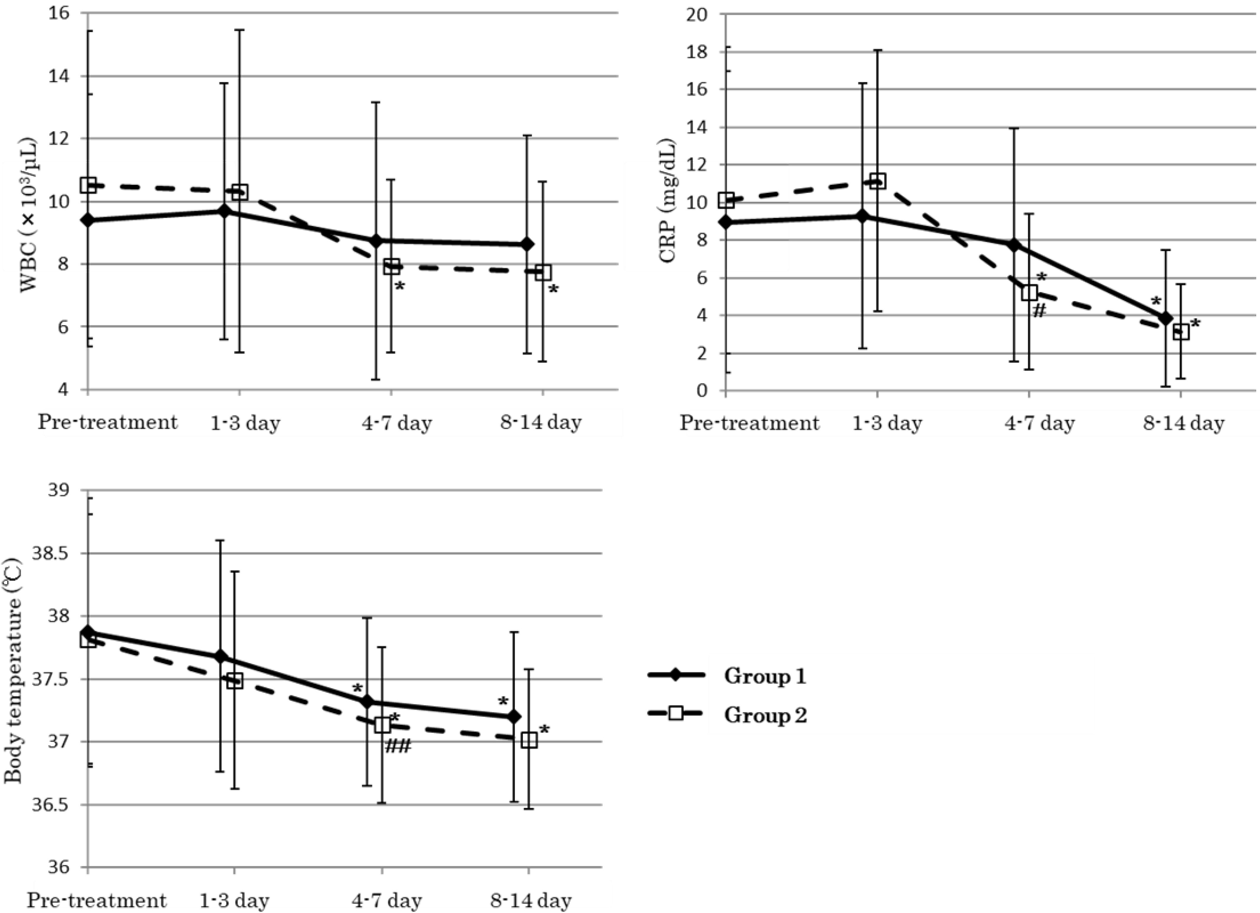
2.2. Clinical Effectiveness
2.3. Safety Evaluation
3. Discussion
4. Patients and Methods
4.1. Patient Population
4.2. Diagnosis and Dosing Regimens
4.3. Data Collection
4.4. Clinical Effectiveness
4.5. Safety Evaluation
4.6. Statistical Analysis
5. Conclusions
Author Contributions
Funding
Institutional Review Board Statement
Informed Consent Statement
Data Availability Statement
Conflicts of Interest
References
- Fernandez-Sabe, N.; Carratala, J.; Roson, B.; Dorca, J.; Verdaguer, R.; Manresa, F.; Gudiol, F. Community-acquired pneumonia in very elderly patients: Causative organisms, clinical characteristics, and outcomes. Medicine 2003, 82, 159–169. [Google Scholar] [CrossRef] [PubMed]
- Lanspa, M.J.; Jones, B.E.; Brown, S.M.; Dean, N.C. Mortality, morbidity, and disease severity of patients with aspiration pneumonia. J. Hosp. Med. 2013, 8, 83–90. [Google Scholar] [CrossRef] [PubMed] [Green Version]
- Taylor, J.K.; Fleming, G.B.; Singanayagam, A.; Hill, A.T.; Chalmers, J.D. Risk factors for aspiration in community-acquired pneumonia: Analysis of a hospitalized UK cohort. Am. J. Med. 2013, 126, 995–1001. [Google Scholar] [CrossRef]
- Lindsay Grayson, M. The Use of Antibiotics, 6th ed.; American Society for Microbiology Press: Washington, DC, USA; Hodder Arnold: London, UK, 2010. [Google Scholar]
- Steele, R.W.; Eyre, L.B.; Bradsher, R.W.; Weinfeld, R.E.; Patel, I.H.; Spicehandler, J. Pharmacokinetics of ceftriaxone in pediatric patients with meningitis. Antimicrob. Agents Chemother. 1983, 23, 191–194. [Google Scholar] [CrossRef] [Green Version]
- Stoeckel, K.; McNamara, P.J.; Brandt, R.; Plozza-Nottebrock, H.; Ziegler, W.H. Effects of concentration-dependent plasma protein binding on ceftriaxone kinetics. Clin. Pharm. 1981, 29, 650–657. [Google Scholar] [CrossRef]
- Rocephin (Ceftriaxone for Injection) [Prescribing Information]; F. Hoffmann-La Roche, Ltd.: Basel, Switzerland, 2020.
- David, N.; Henry, F.; Michael, S.; Andrew, T.; Helen, W. The Sanford Guide to Antimicrobial Therapy 2021; Antimicrobial Therapy Inc.: Sperryville, VA, USA, 2021. [Google Scholar]
- Bishaw, B.M.; Tegegne, G.T.; Berha, A.B. Appropriate Use of Ceftriaxone in Sub-Saharan Africa: A Systematic Review. Infect. Drug Resist. 2021, 14, 3477–3484. [Google Scholar] [CrossRef] [PubMed]
- Heffernan, A.J.; Curran, R.A.; Denny, K.J.; Sime, F.B.; Stanford, C.L.; McWhinney, B.; Ungerer, J.; Roberts, J.A.; Lipman, J. Ceftriaxone dosing in patients admitted from the emergency department with sepsis. Eur. J. Clin. Pharmacol. 2021, 77, 207–214. [Google Scholar] [CrossRef] [PubMed]
- Clinical Laboratory Standards Institute. Methods for Dilution Antimicrobial Susceptibility Tests for Bacteria That Grow Aerobically, 10th ed.; Approved Standard. CLSI Publication M07-A10; Clinical Laboratory Standards Institute: Wayne, PA, USA, 2015. [Google Scholar]
- Higham, M.; Cunningham, F.M.; Teele, D.W. Ceftriaxone administered once or twice a day for treatment of bacterial infections of childhood. Pediatr. Infect. Dis. 1985, 4, 22–26. [Google Scholar] [CrossRef]
- Zhu, Z.; Wang, A.-X.; Li, Y. Clinical pharmacokinetics and therapeutic efficacy of ceftriaxone in Chinese adults. Chemotherapy 1997, 43, 218–226. [Google Scholar] [CrossRef]
- Toki, M.; Yamaguchi, Y.; Goto, T.; Yoshida, T.; Ota, H.; Ochiai, K.; Gondo, K.; Watanabe, S.; Kurata, I.; Hisamatsu, T. Pharmacokinetic-pharmacodynamic comparison of ceftriaxone regimens in acute cholangitis. J. Infect. Chemother. 2019, 25, 780–785. [Google Scholar] [CrossRef]
- Baumgartner, J.D.; Glauser, M.P. Single daily dose treatment of severe refractory infections with ceftriaxone. Cost savings and possible parenteral outpatient treatment. Arch. Intern. Med. 1983, 143, 1868–1873. [Google Scholar] [CrossRef] [PubMed]
- Jacobs, M.R. Optimization of antimicrobial therapy using pharmacokinetic and pharmacodynamic parameters. Clin. Microbiol. Infect. 2001, 7, 589–596. [Google Scholar] [CrossRef] [PubMed] [Green Version]
- Girdwood, S.T.; Dong, M.; Tang, P.; Stoneman, E.; Jones, R.; Yunger, T.; Ostermeier, A.; Curry, C.; Forton, M.; Hail, T.; et al. Population Pharmacokinetic Modeling of Total and Free Ceftriaxone in Critically Ill Children and Young Adults and Monte Carlo Simulations Support Twice Daily Dosing for Target Attainment. Antimicrob. Agents Chemother. 2022, 66, e0142721. [Google Scholar] [CrossRef] [PubMed]
- Marino, A.; Munafo, A.; Zagami, A.; Ceccarelli, M.; di Mauro, R.; Cantarella, G.; Bernardini, R.; Nunnari, G.; Cacopardo, B. Ampicillin Plus Ceftriaxone Regimen against Enterococcus faecalis Endocarditis: A Literature Review. J. Clin. Med. 2021, 10, 4594. [Google Scholar] [CrossRef] [PubMed]
- Gijsen, M.; Dreesen, E.; van Daele, R.; Annaert, P.; Debaveye, Y.; Wauters, J.; Spriet, I. Pharmacokinetic/Pharmacodynamic Target Attainment Based on Measured versus Predicted Unbound Ceftriaxone Concentrations in Critically Ill Patients with Pneumonia: An Observational Cohort Study. Antibiotic 2021, 10, 557. [Google Scholar] [CrossRef]
- Cristinacce, A.; Wright, J.G.; Macpherson, M.; Iaconis, J.; Das, S. Comparing probability of target attainment against Staphylococcus aureus for ceftaroline fosamil, vancomycin, daptomycin, linezolid, and ceftriaxone in complicated skin and soft tissue infection using pharmacokinetic/pharmacodynamic models. Diagn. Microbiol. Infect. Dis. 2021, 99, 115292. [Google Scholar] [CrossRef]
- Heffernan, A.J.; Sime, F.B.; Lim, S.M.S.; Adiraju, S.; Wallis, S.C.; Lipman, J.; Grant, G.D.; Rpberts, J.A. Pharmacodynamics of ceftriaxone for the treatment of methicillin-susceptible Staphylococcus aureus: Is it a viable treatment option? Int. J. Antimicrob. Agents 2022, 59, 106537. [Google Scholar] [CrossRef]
- MacVane, S.H.; So, W.; Nicolau, D.P.; Kuti, J.L. In vitro activity of human-simulated epithelial lining fluid exposures of ceftaroline, ceftriaxone, and vancomycin against methicillin-susceptible and -resistant Staphylococcus aureus. Antimicrob. Agents Chemother. 2014, 58, 7520–7526. [Google Scholar] [CrossRef] [Green Version]
- Post, E.T.W. Ceftriaxone: Drug Information. UpToDate. Available online: https://www.uptodate.com/contents/ceftriaxone-drug-information (accessed on 19 May 2022).
- Eron, L.J.; Park, C.H.; Hixon, D.L.; Goldenberg, R.I.; Poretz, D.M. Ceftriaxone therapy of bone and soft tissue infections in hospital and outpatient settings. Antimicrob. Agents Chemother. 1983, 23, 731–737. [Google Scholar] [CrossRef] [Green Version]
- Heim-Duthoy, K.L.; Caperton, E.M.; Pollock, R.; Matzke, G.R.; Enthoven, D.; Peterson, P.K. Apparent biliary pseudolithiasis during ceftriaxone therapy. Antimicrob. Agents Chemother. 1990, 34, 1146–1149. [Google Scholar] [CrossRef] [Green Version]
- Dohmen, K.; Yamamoto, A.; Tanaka, H.; Haruno, M.; Shimoda, S. An elderly case of ceftriaxone-associated pseudolithiasis that developed during therapy for acute pneumonia. Hepatol. Res. 2016, 57, 106–112. [Google Scholar]
- Yatera, K.; Noguchi, S.; Yamasaki, K.; Kawanami, T.; Fukuda, K.; Naito, K.; Akata, K.; Kido, T.; Ishimoto, H.; Sakamoto, N.; et al. Determining the Possible Etiology of Hospital-Acquired Pneumonia Using a Clone Library Analysis in Japan. Tohoku J. Exp. Med. 2017, 242, 9–17. [Google Scholar] [CrossRef] [PubMed] [Green Version]
- Yamasaki, K.; Kawanami, T.; Yatera, K.; Fukuda, K.; Noguchi, S.; Nagata, S.; Nishida, C.; Kido, T.; Ishimoto, H.; Taniguchi, H.; et al. Significance of anaerobes and oral bacteria in community-acquired pneumonia. PLoS ONE 2013, 8, e63103. [Google Scholar] [CrossRef] [PubMed] [Green Version]
- Mandell, L.A.; Niederman, M.S. Aspiration pneumonia. N. Engl. J. Med. 2019, 380, 651–663. [Google Scholar] [CrossRef] [PubMed]
- Heffelfinger, J.D.; Dowell, S.F.; Jorgensen, J.H.; Klugman, K.P.; Mabry, L.R.; Musher, D.M.; Pouffe, J.F.; Rakowsky, A.; Schchat, A.; Whitney, C.G. Management of community-acquired pneumonia in the era of pneumococcal resistance: A report from the drug-resistant Streptococcus pneumoniae therapeutic working group. Arch. Intern. Med. 2000, 160, 1399–1408. [Google Scholar] [CrossRef]
- Ohno, A.; Ishii, Y.; Kobayashi, I.; Yamaguchi, K. Antibacterial activity and PK/PD of ceftriaxone against penicillin-resistant Streptococcus pneumoniae and beta-lactamase-negative ampicillin-resistant Haemophilus influenzae isolates from patients with community-acquired pneumonia. J. Infect. Chemother. 2007, 13, 296–301. [Google Scholar] [CrossRef]
- American Thoracic Society Infectious Disease Society of America. Guidelines for the management of adults with hospital-acquired, ventilator-associated, and healthcare-associated pneumonia. Am. Respir. Crit. Care 2005, 4, 388–416. [Google Scholar]
- Mandel, L.A.; Wunderink, R.G.; Anzueto, A.; Bartlett, J.G.; Campbell, G.D.; Dean, N.C.; Dowel, S.F.; File, T.M., Jr.; Musher, D.M.; Siederman, M.S.; et al. Infectious diseases society of America/American thoracic society consensus guidelines on the management of community-acquired pneumonia in adults. Clin. Infect. Dis. 2007, 44, S27–S72. [Google Scholar] [CrossRef]
- Morimoto, K.; Suzuki, M.; Ishifuji, T.; Yaegashi, M.; Asoh, N.; Hamashige, N.; Abe, M.; Aoshima, M.; Ariyoshi, K.; Adult Pneumonia Study Group-Japan (APSG-J). The burden and etiology of community-onset pneumonia in the aging Japanese population: A multicenter prospective study. PLoS ONE 2015, 10, e0122247. [Google Scholar] [CrossRef] [Green Version]
- Miyashita, N.; Matsushima, T.; Oka, M.; Japanese Respiratory Society. The JRS guidelines for the management of community-acquired pneumonia in adults: An update and new recommendations. Intern. Med. 2006, 45, 419–428. [Google Scholar] [CrossRef] [Green Version]
- American Thoracic Society. Guidelines for the management of adults with community-acquired pneumonia. Diagnosis, assessment of severity, antimicrobial therapy, and prevention. Am. J. Respir. Crit. Care Med. 2001, 163, 1730–1754. [Google Scholar] [CrossRef] [PubMed]
- Wunderink, R.G.; Niederman, M.S.; Kollef, M.H.; Shorr, A.F.; Kunkel, M.J.; Baruch, A.; McGee, W.T.; Reisman, A.; Chastre, J. Linezolid in methicillin-resistant Staphylococcus aureus nosocomial pneumonia: A randomized, controlled study. Clin. Infect. Dis. 2012, 54, 621–629. [Google Scholar] [CrossRef] [PubMed] [Green Version]

| Group 1 | Group 2 | p-Value | ||
|---|---|---|---|---|
| Sex (male/female) | 21/12 | 21/7 | 0.3396 | |
| Age (years) | 73 (17–90) | 72 (41–86) | 0.3020 | |
| Body weight (kg) | 55.8 (36.8–103.6) | 52.9 (29.0–81.1) | 0.3389 | |
| Duration of therapy (day) | 6 (3–17) | 6 (3–15) | 0.6093 | |
| WBC (×103/μL) | 9.05 (3.52–18.45) | 10.26 (1.92–22.31) | 0.3575 | |
| Albumin (g/dL) | 3.3 (2.1–4.3) | 3.9 (1.9–5.5) | 0.6958 | |
| Serum creatinine (mg/dL) | 0.82 (0.25–3.71) | 1.00 (0.38–12.05) | 0.1018 | |
| eGFR (mL/min/1.73 m2) | 66.3 (15.1–289.3) | 55.6 (3.9–135.1) | 0.6646 | |
| Blood urea nitrogen (mg/dL) | 18.6 (2.9–66.2) | 17.6 (7.0–87.3) | 0.5334 | |
| AST (U/L) | 28 (16–795) | 25 (12–118) | 0.3974 | |
| ALT (U/L) | 21 (8–519) | 18 (4–74) | 0.4268 | |
| ALP (U/L) | 176 (53–508) | 193 (61–908) | 0.4729 | |
| γ-GTP (U/L) | 31 (10–338) | 39 (14–200) | 0.7523 | |
| Total bilirubin (mg/dL) | 0.7 (0.2–3.8) | 0.7 (0.3–1.5) | 0.3250 | |
| A-DROP (%, n) | 0.6751 | |||
| 0–1 | 48.5, 16/33 | 57.1, 16/28 | ||
| 2 | 39.4, 13/33 | 28.6, 8/28 | ||
| 3 | 12.1, 4/33 | 14.3, 4/28 | ||
| 4–5 | 0, 0 | 0, 0 | ||
| PSI (%, n) | 0.8099 | |||
| I–II | 24.2, 8/33 | 14.3, 4/28 | ||
| III | 12.1, 4/33 | 14.3, 4/28 | ||
| IV | 45.5, 15/33 | 50.0, 14/28 | ||
| V | 18.2, 6/33 | 21.4, 6/28 | ||
| SpO2 (%) | 95.5 (89–100) | 96 (91–99) | 0.8649 | |
| Oxygen supplemantation (%, n) | 45.5, 15/33 | 42.9, 12/28 | 0.8387 | |
| Body temperature (°C) | 37.8 (36.4–40.6) | 37.8 (36.7–39.8) | 0.8535 | |
| CRP (mg/dL) | 6.15 (0.04–26.45) | 7.85 (0.20–24.70) | 0.6883 | |
| Comorbidity (%, n) | ||||
| Malignancy | 33.3, 11/33 | 39.3, 11/28 | 0.6295 | |
| Hepatic disease | 12.1, 4/33 | 3.6, 1/28 | 0.2251 | |
| Heart disease | 9.1, 3/33 | 21.4, 6/28 | 0.1757 | |
| Cerebrovascular disease | 33.3, 11/33 | 21.4, 6/28 | 0.3014 | |
| Kidney disease | 12.1, 4/33 | 14.3, 4/28 | 0.8029 | |
| Medication (%, n) | ||||
| Steroid | 9.1, 3/33 | 10.7, 3/28 | 0.8320 | |
| Immunosuppressant | 0, 0/33 | 7.1, 2/28 | 0.1185 | |
| Group 1 | Group 2 | p-Value | |||
|---|---|---|---|---|---|
| At the end of the ceftriaxone therapy (%) | 0.0316 | ||||
| Clinical success | 84.8 (28/33) | 100 (28/28) | |||
| Cure | 72.7 (24/33) | 75.0 (21/28) | |||
| Improvement | 12.1 (4/33) | 25.0 (7/28) | |||
| Clinical failure | 15.2 (5/33) | 0 (0) | |||
| BT < 37.0 °C (%) | 45.5 (15/33) | 78.3 (18/23) | 0.0141 | ||
| CRP < 60% (%) | 25.0 (8/32) | 60.7 (17/28) | 0.0051 | ||
| Survival rate (%) | 93.9 (31/33) | 100 (28/28) | 0.1853 | ||
| Pre-Treatment | Post-Treatment | p-Value | ||
|---|---|---|---|---|
| Group 1 | AST (U/L) | 55.3 ± 135.6 | 36.7 ± 22.0 | 0.3831 |
| ALT (U/L) | 37.8 ± 88.5 | 54.2 ± 116.5 | 0.7975 | |
| ALP (U/L) | 211.6 ± 120.2 | 235.2 ± 181.8 | 0.2302 | |
| γ-GTP (U/L) | 51.7 ± 70.6 | 99.3 ± 127.0 | 0.1864 | |
| Group 2 | AST (U/L) | 33.1 ± 24.1 | 31.8 ± 19.9 | 0.6938 |
| ALT (U/L) | 24.1 ± 17.8 | 27.6 ± 21.1 | 0.3396 | |
| ALP (U/L) | 240.9 ± 181.3 | 230.3 ± 165.8 | 0.5011 | |
| γ-GTP (U/L) | 57.7 ± 51.6 | 61.3 ± 57.5 | 0.3829 |
| Group 1 | Group 2 | p-Value | |
|---|---|---|---|
| Increased AST level (%) | 3.0 (1/33) | 0 (0/28) | 0.3530 |
| Increased ALT level (%) | 6.1 (2/33) | 3.6 (1/28) | 0.6542 |
| Increased ALP level (%) | 0 (0/26) | 0 (0/25) | - |
| Increased γ-GTP level (%) | 8.3 (2/24) | 5.0 (1/20) | 0.6623 |
| Presence of choleliths (%) | 31.3 (5/16) | 9.1 (1/11) | 0.1740 |
Publisher’s Note: MDPI stays neutral with regard to jurisdictional claims in published maps and institutional affiliations. |
© 2022 by the authors. Licensee MDPI, Basel, Switzerland. This article is an open access article distributed under the terms and conditions of the Creative Commons Attribution (CC BY) license (https://creativecommons.org/licenses/by/4.0/).
Share and Cite
Kato, H.; Hagihara, M.; Morikawa, Y.; Asai, N.; Mikamo, H.; Iwamoto, T. Retrospective Comparison of the Effectiveness and Safety of Ceftriaxone 1 g Twice Daily versus 2 g Once Daily for Treatment of Aspiration Pneumonia. Antibiotics 2022, 11, 983. https://doi.org/10.3390/antibiotics11080983
Kato H, Hagihara M, Morikawa Y, Asai N, Mikamo H, Iwamoto T. Retrospective Comparison of the Effectiveness and Safety of Ceftriaxone 1 g Twice Daily versus 2 g Once Daily for Treatment of Aspiration Pneumonia. Antibiotics. 2022; 11(8):983. https://doi.org/10.3390/antibiotics11080983
Chicago/Turabian StyleKato, Hideo, Mao Hagihara, Yoshihiko Morikawa, Nobuhiro Asai, Hiroshige Mikamo, and Takuya Iwamoto. 2022. "Retrospective Comparison of the Effectiveness and Safety of Ceftriaxone 1 g Twice Daily versus 2 g Once Daily for Treatment of Aspiration Pneumonia" Antibiotics 11, no. 8: 983. https://doi.org/10.3390/antibiotics11080983
APA StyleKato, H., Hagihara, M., Morikawa, Y., Asai, N., Mikamo, H., & Iwamoto, T. (2022). Retrospective Comparison of the Effectiveness and Safety of Ceftriaxone 1 g Twice Daily versus 2 g Once Daily for Treatment of Aspiration Pneumonia. Antibiotics, 11(8), 983. https://doi.org/10.3390/antibiotics11080983

