Daptomycin Population Pharmacokinetics in Patients Affected by Severe Gram-Positive Infections: An Update
Abstract
1. Introduction
2. Results
2.1. Enrolled Patients
2.2. Daptomycin Plasma Concentrations
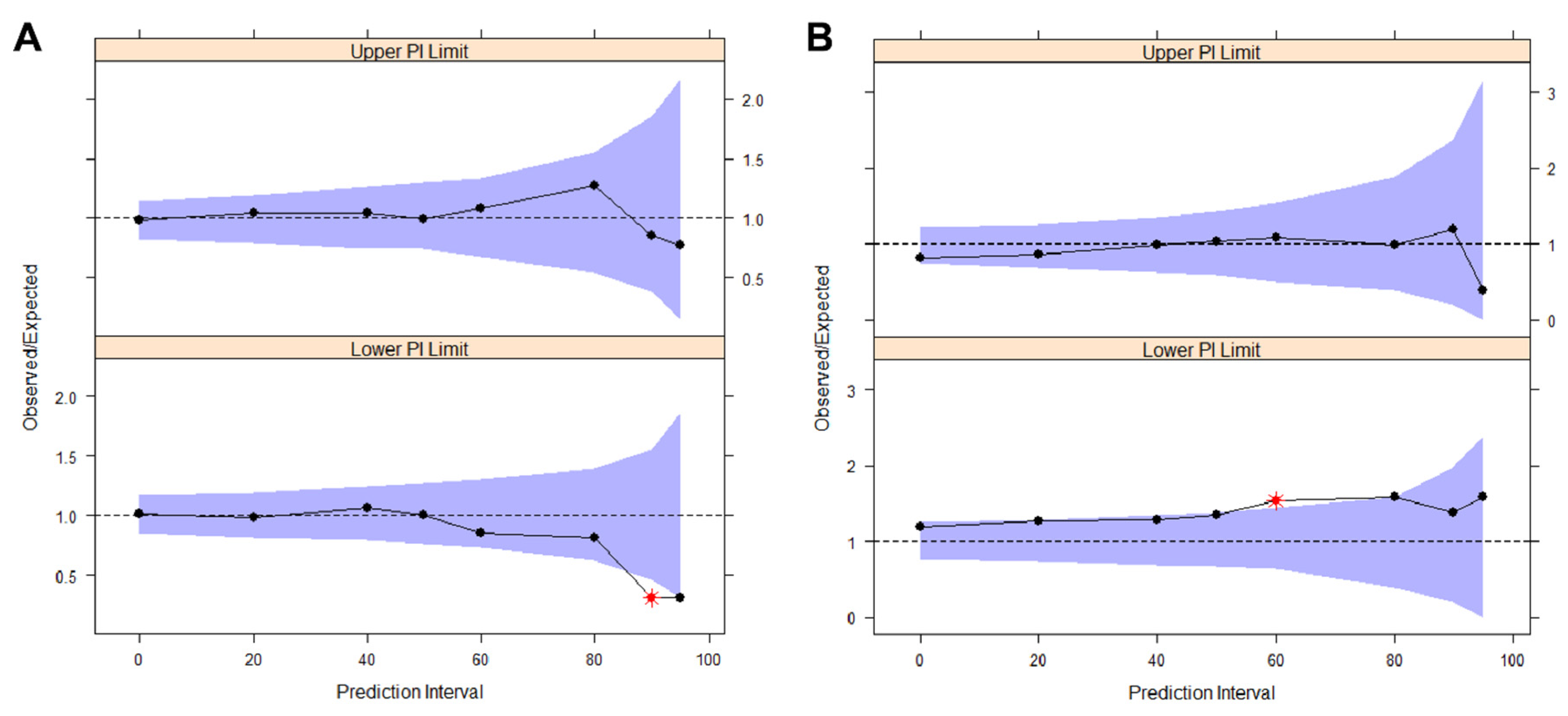
2.3. Pop-PK Model Development
3. Discussion
4. Materials and Methods
4.1. Patients Enrollment
4.2. Blood Samples
4.3. Measurement of Daptomycin Plasma Concentrations
4.4. Pharmacometric Analyses and Model Building
4.5. Model Validation
4.6. Model-Based Simulation
4.7. Other Statistical Analyses
Supplementary Materials
Author Contributions
Funding
Institutional Review Board Statement
Informed Consent Statement
Data Availability Statement
Acknowledgments
Conflicts of Interest
References
- Heidary, M.; Khosravi, A.D.; Khoshnood, S.; Nasiri, M.J.; Soleimani, S.; Goudarzi, M. Daptomycin. J. Antimicrob. Chemother. 2018, 73, 1–11. [Google Scholar] [CrossRef] [PubMed]
- Falcone, M.; Concia, E.; Giusti, M.; Mazzone, A.; Santini, C.; Stefani, S.; Violi, F. Acute bacterial skin and skin structure infections in internal medicine wards: Old and new drugs. Intern. Emerg. Med. 2016, 11, 637–648. [Google Scholar] [CrossRef] [PubMed]
- Ye, Y.; Xia, Z.; Zhang, D.; Sheng, Z.; Zhang, P.; Zhu, H.; Xu, N.; Liang, S. Multifunctional Pharmaceutical Effects of the Antibiotic Daptomycin. Biomed. Res. Int. 2019, 2019, 8609218. [Google Scholar] [CrossRef] [PubMed]
- Dvorchik, B.H.; Brazier, D.; Debruin, M.F.; Arbeit, R.D. Daptomycin Pharmacokinetics and Safety following Administration of Escalating Doses Once Daily to Healthy Subjects. Antimicrob. Agents Chemother. 2003, 47, 1318–1323. [Google Scholar] [CrossRef]
- Falcone, M.; Russo, A.; Cassetta, M.I.; Lappa, A.; Tritapepe, L.; D’Ettorre, G.; Fallani, S.; Novelli, A.; Venditti, M. Variability of pharmacokinetic parameters in patients receiving different dosages of daptomycin: Is therapeutic drug monitoring necessary? J. Infect. Chemother. 2013, 19, 732–739. [Google Scholar] [CrossRef]
- Bubalo, J.S.; Munar, M.Y.; Cherala, G.; Hayes-Lattin, B.; Maziarz, R. Daptomycin Pharmacokinetics in Adult Oncology Patients with Neutropenic Fever. Antimicrob. Agents Chemother. 2009, 53, 428–434. [Google Scholar] [CrossRef] [PubMed]
- Falcone, M.; Russo, A.; Venditti, M.; Novelli, A.; Pai, M.P. Considerations for Higher Doses of Daptomycin in Critically Ill Patients with Methicillin-Resistant Staphylococcus aureus Bacteremia. Clin. Infect. Dis. 2013, 57, 1568–1576. [Google Scholar] [CrossRef]
- Dvorchik, B.; Arbeit, R.D.; Chung, J.; Liu, S.; Knebel, W.; Kastrissios, H. Population Pharmacokinetics of Daptomycin. Antimicrob. Agents Chemother. 2004, 48, 2799–2807. [Google Scholar] [CrossRef][Green Version]
- Chaves, R.L.; Chakraborty, A.; Benziger, D.; Tannenbaum, S. Clinical and pharmacokinetic considerations for the use of daptomycin in patients with Staphylococcus aureus bacteraemia and severe renal impairment. J. Antimicrob. Chemother. 2014, 69, 200–210. [Google Scholar] [CrossRef]
- Xu, X.; Khadzhynov, D.; Peters, H.; Chaves, R.L.; Hamed, K.; Levi, M.; Corti, N. Population pharmacokinetics of daptomycin in adult patients undergoing continuous renal replacement therapy. Br. J. Clin. Pharmacol. 2017, 83, 498–509. [Google Scholar] [CrossRef]
- Xie, F.; Li, S.; Cheng, Z. Population pharmacokinetics and dosing considerations of daptomycin in critically ill patients undergoing continuous renal replacement therapy. J. Antimicrob. Chemother. 2020, 75, 1559–1566. [Google Scholar] [CrossRef] [PubMed]
- Soraluce, A.; Asín-Prieto, E.; Rodríguez-Gascón, A.; Barrasa, H.; Maynar, J.; Carcelero, E.; Soy, D.; Isla, A. Population pharmacokinetics of daptomycin in critically ill patients. Int. J. Antimicrob. Agents 2018, 52, 158–165. [Google Scholar] [CrossRef] [PubMed]
- Di Paolo, A.; Tascini, C.; Polillo, M.; Gemignani, G.; Nielsen, E.I.; Bocci, G.; Karlsson, M.O.; Menichetti, F.; Danesi, R. Population pharmacokinetics of daptomycin in patients affected by severe Gram-positive infections. Int. J. Antimicrob. Agents 2013, 42, 250–255. [Google Scholar] [CrossRef] [PubMed]
- Di Paolo, A.; Polillo, M.; Tascini, C.; Lewis, R.; Menichetti, F.; Danesi, R. Different Recommendations for Daptomycin Dosing Over Time in Patients with Severe Infections. Clin. Infect. Dis. 2014, 58, 1788–1789. [Google Scholar] [CrossRef][Green Version]
- Renzoni, A.; Kelley, W.L.; Rosato, R.R.; Martinez, M.P.; Roch, M.; Fatouraei, M.; Haeusser, D.P.; Margolin, W.; Fenn, S.; Turner, R.D.; et al. Molecular Bases Determining Daptomycin Resistance-Mediated Resensitization to β-Lactams (Seesaw Effect) in Methicillin-Resistant Staphylococcus aureus. Antimicrob. Agents Chemother. 2017, 61, e01634-16. [Google Scholar] [CrossRef]
- Drlica, K.; Zhao, X. Mutant Selection Window Hypothesis Updated. Clin. Infect. Dis. 2007, 44, 681–688. [Google Scholar] [CrossRef]
- Ribbing, J.; Nyberg, J.; Caster, O.; Jonsson, E.N. The lasso—A novel method for predictive covariate model building in nonlinear mixed effects models. J. Pharmacokinet. Pharmacodyn. 2007, 34, 485–517. [Google Scholar] [CrossRef]
- Bhavnani, S.M.; Rubino, C.M.; Ambrose, P.G.; Drusano, G.L. Daptomycin exposure and the probability of elevations in the creatine phosphokinase level: Data from a randomized trial of patients with bacteremia and endocarditis. Clin. Infect. Dis. 2010, 50, 1568–1574. [Google Scholar] [CrossRef]
- Turnidge, J.; Kahlmeter, G.; Cantón, R.; MacGowan, A.; Giske, C.G. Daptomycin in the treatment of enterococcal bloodstream infections and endocarditis: A EUCAST position paper. Clin. Microbiol. Infect. 2020, 26, 1039–1043. [Google Scholar] [CrossRef]
- Avery, L.M.; Kuti, J.L.; Weisser, M.; Egli, A.; Rybak, M.J.; Zasowski, E.J.; Arias, C.A.; Contreras, G.A.; Chong, P.P.; Aitken, S.L.; et al. Pharmacodynamic Analysis of Daptomycin-treated Enterococcal Bacteremia: It Is Time to Change the Breakpoint. Clin. Infect. Dis. 2019, 68, 1650–1657. [Google Scholar] [CrossRef]
- Malato, G. Stratified Sampling and How to Perform it in R. Available online: https://towardsdatascience.com/stratified-sampling-and-how-to-perform-it-in-r-8b753efde1ef (accessed on 8 May 2019).
- Luci, G.; Cucchiara, F.; Ciofi, L.; Lastella, M.; Danesi, R.; Di Paolo, A. A new validated HPLC-UV method for therapeutic monitoring of daptomycin in comparison with reference mass spectrometry. J. Pharm Biomed. Anal. 2020, 182, 113132. [Google Scholar] [CrossRef] [PubMed]
- Lindbom, L.; Ribbing, J.; Jonsson, E.N. Perl-speaks-NONMEM (PsN)—A Perl module for NONMEM related programming. Comput Methods Programs Biomed. 2004, 75, 85–94. [Google Scholar] [CrossRef] [PubMed]
- Jonsson, E.N.; Karlsson, M.O. Xpose—An S-PLUS based population pharmacokinetic/pharmacodynamic model building aid for NONMEM. Comput Methods Programs Biomed. 1999, 58, 51–64. [Google Scholar] [CrossRef]
- Bergstrand, M.; Hooker, A.C.; Wallin, J.E.; Karlsson, M.O. Prediction-Corrected Visual Predictive Checks for Diagnosing Nonlinear Mixed-Effects Models. AAPS J. 2011, 13, 143–151. [Google Scholar] [CrossRef]
- Mouton, J.W.; Dudley, M.N.; Cars, O.; Derendorf, H.; Drusano, G.L. Standardization of pharmacokinetic/pharmacodynamic (PK/PD) terminology for anti-infective drugs: An update. J. Antimicrob. Chemother. 2005, 55, 601–607. [Google Scholar] [CrossRef]
- European Committee on Antimicrobial Susceptibility Testing Steering Committee. EUCAST Technical Note on daptomycin. Clin. Microbiol. Infect. 2006, 12, 599–601. [Google Scholar] [CrossRef]






| Building | Validation | Simulation | Covariate Insights | |
|---|---|---|---|---|
| Patients (n) | 94 | 40 | 134 | 156 |
| Male (n) | 65 | 25 | 90 | 108 |
| Female (n) | 29 | 15 | 44 | 48 |
| Age (years) | 65.7 ± 13.2 | 66.1 ± 18.0 | 65.8 ± 14.7 | 66.0 ± 14.0 |
| Weight (kg) | 72.6 ± 10.9 | 73.8 ± 10.0 | 72.9 ± 10.6 | 73.9 ± 11.2 |
| CrCl (mL/min/1.73 m2) | 74.6 ± 39.7 | 74.5 ± 41.0 | 74.6 ± 39.9 | 73.6 ± 38.3 |
| Serum albumin (mg/dL) | 3.2 ± 0.6 | 3.3 ± 0.5 | 3.2 ± 0.6 | 3.3 ± 0.6 |
| Serum proteins (mg/dL) | 6.7 ± 1.0 | 6.5 ± 0.8 | 6.6 ± 0.9 | 6.7 ± 0.9 |
| Daptomycin | ||||
| Total daily dose (mg) | 491.2 ± 115.8 | 498.8 ± 112.4 | 493.4 ± 114.4 | 516.5 ± 131.9 |
| Daily dose (mg/kg) | 6.8 ± 1.6 | 6.8 ± 1.6 | 6.8 ± 1.6 | 6.7 ± 1.5 |
| Daptomycin Daily Dose (mg/kg) | Patients (n) | Daptomycin Plasma Concentrations | |||
|---|---|---|---|---|---|
| 1 h | 23.5 h | ||||
| Mean ± SD | Range (Min–Max) | Mean ± SD | Range (Min–Max) | ||
| 4–5 | 15 | 45.6 ± 17.1 | 18.1–87.6 | 11.4 ± 8.7 | BLQ–32.6 |
| 6–7 | 96 | 59.3 ± 18.0 | 19.4–110.0 | 17.8 ± 11.0 | BLQ–55.5 |
| 8–9 | 32 | 74.4 ± 51.3 | BLQ–268.0 | 15.5 ± 10.7 | BLQ–44.6 |
| 10–11 | 8 | 69.8 ± 21.7 | 33.6–105.0 | 25.4 ± 14.1 | 6.6–58.1 |
| 12 | 4 | 80.0 ± 25.7 | 49.3–108.0 | 17.3 ± 9.2 | 17.3–29.8 |
| Parameters | Final Model | Bootstrap | ||||
|---|---|---|---|---|---|---|
| Mean | SE | RSE (%) | Mean | 95% CI | ||
| Cl (L/h) | θ1 | 0.636 | 0.037 | 6 | 0.631 | 0.598–0.674 |
| V (L) | θ2 | 10.925 | 0.414 | 4 | 10.935 | 10.291–11.559 |
| Additive Error (mg/L) | θ3 | 3.805 | 1.610 | 42 | 3.841 | 2.319–5.290 |
| Proportional Error (%) | θ4 | 0.296 | 0.038 | 14 | 0.266 | 0.219–0.320 |
| kCrCl | θ5 | 0.109 | 0.179 | 164 | 0.128 | 0.012–0.207 |
| kSex | θ6 | −2.524 | 0.941 | 37 | −2.484 | −3.840–1.208 |
| Error Slope for Higher iPRED | θ7 | −0.546 | 0.266 | 49 | −0.293 | −1.312–0.220 |
| IIVCl | η | 0.027 | 0.008 | 30 | 0.024 | 0.018–0.036 |
| Probability | ||
|---|---|---|
| Fixed Dose (mg/day) | Cmin > 24.3 mg/mL | Cmax > 60 mg/L |
| 300 | 2.40% | 0.70% |
| 350 | 6.20% | 3.60% |
| 400 | 8.70% | 9.70% |
| 450 | 10.50% | 25.70% |
| 500 | 16.05% | 30.40% |
| 550 | 21.50% | 78.60% |
| 750 | 44.10% | 100% |
| Simulation Total | 20.44% | 40.80% |
Publisher’s Note: MDPI stays neutral with regard to jurisdictional claims in published maps and institutional affiliations. |
© 2022 by the authors. Licensee MDPI, Basel, Switzerland. This article is an open access article distributed under the terms and conditions of the Creative Commons Attribution (CC BY) license (https://creativecommons.org/licenses/by/4.0/).
Share and Cite
Balice, G.; Passino, C.; Bongiorni, M.G.; Segreti, L.; Russo, A.; Lastella, M.; Luci, G.; Falcone, M.; Di Paolo, A. Daptomycin Population Pharmacokinetics in Patients Affected by Severe Gram-Positive Infections: An Update. Antibiotics 2022, 11, 914. https://doi.org/10.3390/antibiotics11070914
Balice G, Passino C, Bongiorni MG, Segreti L, Russo A, Lastella M, Luci G, Falcone M, Di Paolo A. Daptomycin Population Pharmacokinetics in Patients Affected by Severe Gram-Positive Infections: An Update. Antibiotics. 2022; 11(7):914. https://doi.org/10.3390/antibiotics11070914
Chicago/Turabian StyleBalice, Giuseppe, Claudio Passino, Maria Grazia Bongiorni, Luca Segreti, Alessandro Russo, Marianna Lastella, Giacomo Luci, Marco Falcone, and Antonello Di Paolo. 2022. "Daptomycin Population Pharmacokinetics in Patients Affected by Severe Gram-Positive Infections: An Update" Antibiotics 11, no. 7: 914. https://doi.org/10.3390/antibiotics11070914
APA StyleBalice, G., Passino, C., Bongiorni, M. G., Segreti, L., Russo, A., Lastella, M., Luci, G., Falcone, M., & Di Paolo, A. (2022). Daptomycin Population Pharmacokinetics in Patients Affected by Severe Gram-Positive Infections: An Update. Antibiotics, 11(7), 914. https://doi.org/10.3390/antibiotics11070914

