Population Pharmacokinetic Model of Piperacillin in Critically Ill Patients and Describing Interethnic Variation Using External Validation
Abstract
:1. Introduction
2. Results
3. Discussion
4. Materials and Methods
4.1. Patients and Study Setting
4.2. Drug Assay
4.3. Population Pharmacokinetic Modelling
- (i).
- Determination of the structural base model—One or two compartment structural models were tested using the concentration–time data. The elimination of piperacillin from the central compartment was modelled as a linear process, as were the intercompartmental rate constants.
- (ii).
- Selection of the best-fit statistical error model—Additive (lambda) and multiplicative (gamma) error models were tested using a polynomial equation for standard deviation as a function of observed concentration, Y. (SD = C0 + C1.Y), with observation weighting performed as error = SD.gamma or error = (SD2 + lambda2) 0.5.
- (iii).
- Development of covariate model: Available clinical covariates were assessed for biological plausibility and subsequently evaluated in a covariate analysis by applying stepwise linear, log, polynomial and power regression for the continuous variables. Covariates were correlated with pharmacokinetic parameters and linear model was used for categorical variables. Selected covariates that were tested on the structural model parameters include age, height, weight, sex, body mass index, creatinine, presence of sepsis, creatinine clearance by Cockcroft-Gault and by Chronic Kidney Disease Epidemiology Collaboration (CKD-EPI), score on the Simplified Acute Physiology Score (SAPS 3), of the Multiple Organ Dysfunction Score (MODS) and Sequential Organ Failure Assessment (SOFA) at the time of sampling. Inclusion in the model was governed according to the criteria described below.
- (iv).
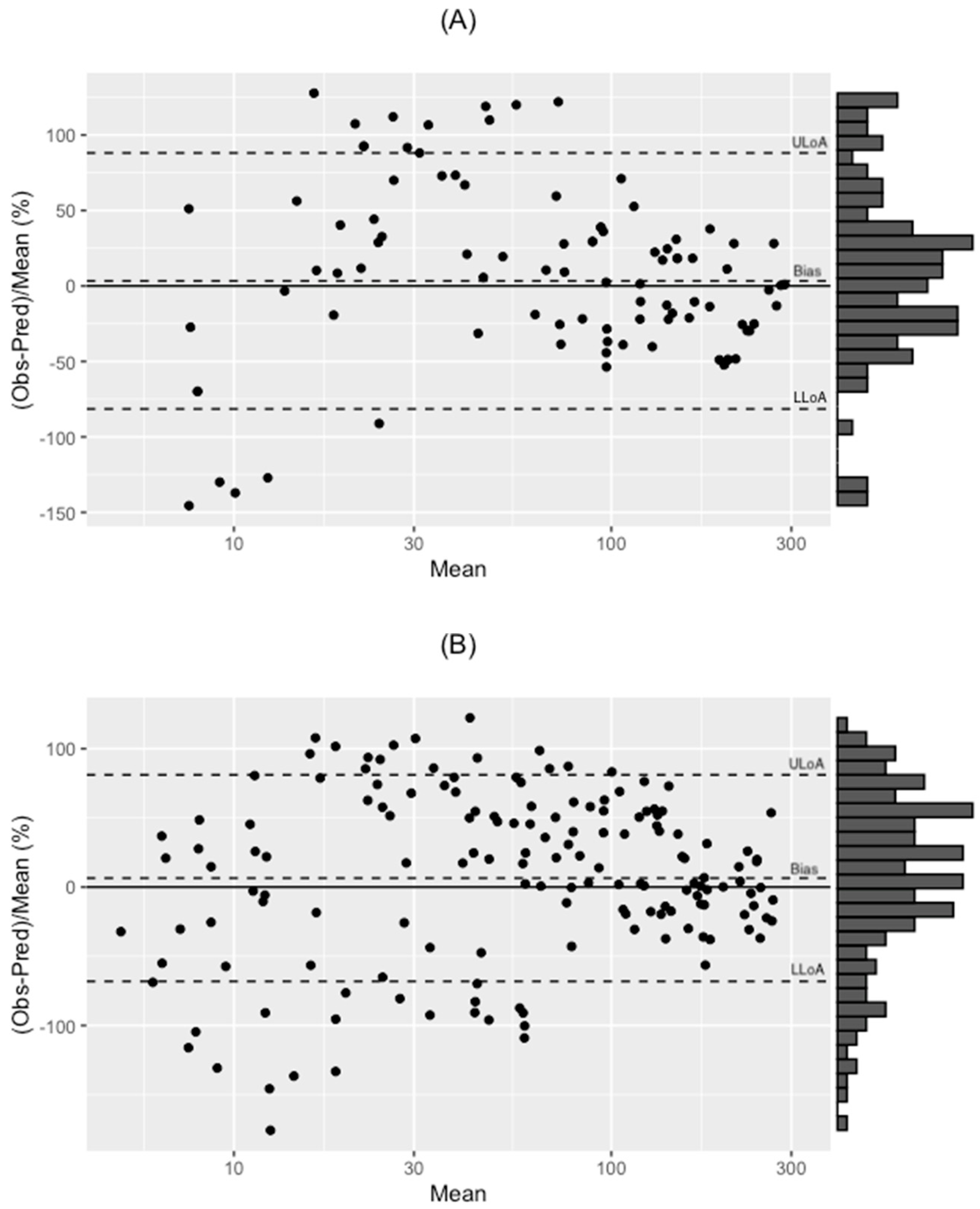
- Model evaluation: Model evaluation was performed by diagnostic plots and statistical examination for comparison and selection of models. The first screening was conducted by visually assessing, for each run, the goodness of fit and the coefficient of determination of the linear regression of the observed and predicted plots values (R-squared closer to 1, intercept closer to 0, slope closer to 1, lowest mean bias (as weighted predicted error) and imprecision (as (SD*(weighted predicted error))2). Secondly, methods were compared by the log-likelihood ratio test (−2*LL) for the nested model, Akaike information criterion (AIC) and Bayesian information criterion (BIC); lower values were considered the best fit. Potential covariates were separately entered into the model and statistically tested; if inclusion of the covariate resulted in an improvement in the −2*LL, AIC or BIC values and an improvement of the goodness-of-fit plots, then the covariate were retained in the final model. Finally, to evaluate the internal consistency of the model predictions with the observations, normalized prediction distribution errors (NPDE) and the posterior predictive check were assessed graphically and proportion of observations between 5th and 95th simulated percentiles above 90% were considered adequate.
4.4. External Validation
4.5. Dosing Simulations
Author Contributions
Funding
Institutional Review Board Statement
Informed Consent Statement
Data Availability Statement
Acknowledgments
Conflicts of Interest
References
- World Health Organization (WHO). Sepsis. 2021. Available online: https://www.who.int/health-topics/sepsis (accessed on 7 June 2021).
- Rudd, K.E.; Johnson, S.C.; Agesa, K.M.; Shackelford, K.A.; Tsoi, D.; Kievlan, D.R.; Colombara, D.V.; Ikuta, K.S.; Kissoon, N.; Finfer, S.; et al. Global, regional, and national sepsis incidence and mortality, 1990–2017: Analysis for the Global Burden of Disease Study. Lancet 2020, 395, 200–211. [Google Scholar] [CrossRef] [Green Version]
- Machado, F.R.; Cavalcanti, A.B.; Bozza, F.A.; Ferreira, E.M.; Angotti Carrara, F.S.; Sousa, J.L.; Caixeta, N.; Salomao, R.; Angus, D.C.; Pontes Azevedo, L.C.; et al. The epidemiology of sepsis in Brazilian intensive care units (the Sepsis PREvalence Assessment Database, SPREAD): An observational study. Lancet Infect. Dis. 2017, 17, 1180–1189. [Google Scholar] [CrossRef]
- Roberts, J.A.; Abdul-Aziz, M.H.; Lipman, J.; Mouton, J.W.; Vinks, A.A.; Felton, T.W.; Hope, W.W.; Farkas, A.; Neely, M.N.; Schentag, J.J.; et al. Individualised antibiotic dosing for patients who are critically ill: Challenges and potential solutions. Lancet Infect. Dis. 2014, 14, 498–509. [Google Scholar] [CrossRef] [Green Version]
- Chua, H.C.; Tse, A.; Smith, N.M.; Mergenhagen, K.A.; Cha, R.; Tsuji, B.T. Combatting the Rising Tide of Antimicrobial Resistance: Pharmacokinetic/Pharmacodynamic Dosing Strategies for Maximal Precision. Int. J. Antimicrob. Agents 2021, 57, 106269. [Google Scholar] [CrossRef]
- Tsai, D.; Jamal, J.-A.; Davis, J.S.; Lipman, J.; Roberts, J.A. Interethnic Differences in Pharmacokinetics of Antibacterials. Clin. Pharmacokinet. 2014, 54, 243–260. [Google Scholar] [CrossRef]
- Roberts, J.A.; De Waele, J.J.; Dimopoulos, G.; Koulenti, D.; Martin, C.; Montravers, P.; Rello, J.; Rhodes, A.; Starr, T.; Wallis, S.C.; et al. DALI: Defining Antibiotic Levels in Intensive care unit patients: A multi-centre point of prevalence study to determine whether contemporary antibiotic dosing for critically ill patients is therapeutic. BMC Infect. Dis. 2012, 12, 152. [Google Scholar] [CrossRef] [PubMed] [Green Version]
- De Waele, J.J.; Carrette, S.; Carlier, M.; Stove, V.; Boelens, J.; Claeys, G.; Leroux-Roels, I.; Hoste, E.; Depuydt, P.; Decruyenaere, J.; et al. Therapeutic drug monitoring-based dose optimisation of piperacillin and meropenem: A randomised controlled trial. Intensiv. Care Med. 2013, 40, 380–387. [Google Scholar] [CrossRef]
- Roberts, J.; Lipman, J. Pharmacokinetic issues for antibiotics in the critically ill patient. Crit. Care Med. 2009, 37, 840–851. [Google Scholar] [CrossRef] [Green Version]
- Vincent, J.-L.; Bassetti, M.; François, B.; Karam, G.; Chastre, J.; Torres, A.; Roberts, J.; Taccone, F.S.; Rello, J.; Calandra, T.; et al. Advances in antibiotic therapy in the critically ill. Crit. Care 2016, 20, 133. [Google Scholar] [CrossRef] [PubMed] [Green Version]
- Suarez-Kurtz, G.; Paula, D.P.; Struchiner, C.J. Pharmacogenomic implications of population admixture: Brazil as a model case. Pharmacogenomics 2014, 15, 209–219. [Google Scholar] [CrossRef] [PubMed]
- Suarez-Kurtz, G.; Amorim, A.; Damasceno, A.; Hutz, M.H.; de Moraes, M.O.; Ojopi, É.B.; Pena, S.D.; Perini, J.A.; Prata, M.J.; Ribeiro-Dos-Santos, Â.; et al. VKORC1 polymorphisms in Brazilians: Comparison with the Portuguese and Portuguese-speaking Africans and pharmacogenetic implications. Pharmacogenomics 2010, 11, 1257–1267. [Google Scholar] [CrossRef] [PubMed]
- Suarez-Kurtz, G.; Genro, J.P.; de Moraes, M.O.; Ojopi, E.B.; Pena, S.D.J.; Perini, J.A.; Ribeiro-dos-Santos, A.; Romano-Silva, M.A.; Santana, I.; Struchiner, C.J. Global pharmacogenomics: Impact of population diversity on the distribution of polymorphisms in the CYP2C cluster among Brazilians. Pharmacogenom. J. 2010, 12, 267–276. [Google Scholar] [CrossRef] [PubMed] [Green Version]
- Soares, A.; Eyff, T.; Campani, R.; Ritter, L.; Weinert, L.; Camargo, J.; Silveiro, S. Performance of the CKD Epidemiology Collaboration (CKD-EPI) and the Modification of Diet in Renal Disease (MDRD) Study Equations in Healthy South Brazilians. Am. J. Kidney Dis. 2010, 55, 1162–1163. [Google Scholar] [CrossRef]
- Zanocco, J.A.; Nishida, S.K.; Passos, M.T.; Pereira, A.R.; Silva, M.S.; Pereira, A.B.; Kirsztajn, G.M. Race Adjustment for Estimating Glomerular Filtration Rate Is Not Always Necessary. Nephron Extra 2012, 2, 293–302. [Google Scholar] [CrossRef] [PubMed]
- Udy, A.A.; Lipman, J.; Jarrett, P.; Klein, K.; Wallis, S.C.; Patel, K.; Kirkpatrick, C.M.; Kruger, P.S.; Paterson, D.L.; Roberts, M.S.; et al. Are standard doses of piperacillin sufficient for critically ill patients with augmented creatinine clearance? Crit. Care 2015, 19, 28. [Google Scholar] [CrossRef] [Green Version]
- Tsai, D.; Stewart, P.; Goud, R.; Gourley, S.; Hewagama, S.; Krishnaswamy, S.; Wallis, S.C.; Lipman, J.; Roberts, J.A. Pharmacokinetics of Piperacillin in Critically Ill Australian Indigenous Patients with Severe Sepsis. Antimicrob. Agents Chemother. 2016, 60, 7402–7406. [Google Scholar] [CrossRef] [PubMed] [Green Version]
- Roberts, J.; Kirkpatrick, C.; Roberts, M.; Dalley, A.; Lipman, J. First-dose and steady-state population pharmacokinetics and pharmacodynamics of piperacillin by continuous or intermittent dosing in critically ill patients with sepsis. Int. J. Antimicrob. Agents 2010, 35, 156–163. [Google Scholar] [CrossRef]
- Jeon, S.; Han, S.; Lee, J.; Hong, T.; Paek, J.; Woo, H.; Yim, D.-S. Population Pharmacokinetic Analysis of Piperacillin in Burn Patients. Antimicrob. Agents Chemother. 2014, 58, 3744–3751. [Google Scholar] [CrossRef] [Green Version]
- Öbrink-Hansen, K.; Juul, R.V.; Storgaard, M.; Thomsen, M.K.; Hardlei, T.F.; Brock, B.; Kreilgaard, M.; Gjedsted, J. Population Pharmacokinetics of Piperacillin in the Early Phase of Septic Shock: Does Standard Dosing Result in Therapeutic Plasma Concentrations? Antimicrob. Agents Chemother. 2015, 59, 7018–7026. [Google Scholar] [CrossRef] [Green Version]
- Sime, F.B.; Hahn, U.; Warner, M.S.; Tiong, I.S.; Roberts, M.S.; Lipman, J.; Peake, S.L.; Roberts, J.A. Using Population Pharmacokinetic Modeling and Monte Carlo Simulations to Determine whether Standard Doses of Piperacillin in Piperacillin-Tazobactam Regimens Are Adequate for the Management of Febrile Neutropenia. Antimicrob. Agents Chemother. 2017, 61, e00311-17. [Google Scholar] [CrossRef] [Green Version]
- Alobaid, A.S.; Wallis, S.C.; Jarrett, P.; Starr, T.; Stuart, J.; Lassig-Smith, M.; Mejia, J.L.O.; Roberts, M.S.; Roger, C.; Udy, A.A.; et al. Population Pharmacokinetics of Piperacillin in Nonobese, Obese, and Morbidly Obese Critically Ill Patients. Antimicrob. Agents Chemother. 2017, 61, e01276-16. [Google Scholar] [CrossRef] [PubMed] [Green Version]
- Hayashi, Y.; Roberts, J.; Paterson, D.L.; Lipman, J. Pharmacokinetic evaluation of piperacillin-tazobactam. Expert Opin. Drug Metab. Toxicol. 2010, 6, 1017–1031. [Google Scholar] [CrossRef] [PubMed]
- Lheureux, O.; Trepo, E.; Hites, M.; Cotton, F.; Wolff, F.; Surin, R.; Creteur, J.; Vincent, J.-L.; Gustot, T.; Jacobs, F.; et al. Serum β-lactam concentrations in critically ill patients with cirrhosis: A matched case-control study. Liver Int. 2015, 36, 1002–1010. [Google Scholar] [CrossRef] [PubMed]
- Sukarnjanaset, W.; Jaruratanasirikul, S.; Wattanavijitkul, T. Population pharmacokinetics and pharmacodynamics of piperacillin in critically ill patients during the early phase of sepsis. J. Pharmacokinet. Pharmacodyn. 2019, 46, 251–261. [Google Scholar] [CrossRef] [PubMed]
- Bulitta, J.B.; Duffull, S.B.; Kinzig-Schippers, M.; Holzgrabe, U.; Stephan, U.; Drusano, G.L.; Sörgel, F. Systematic Comparison of the Population Pharmacokinetics and Pharmacodynamics of Piperacillin in Cystic Fibrosis Patients and Healthy Volunteers. Antimicrob. Agents Chemother. 2007, 51, 2497–2507. [Google Scholar] [CrossRef] [PubMed] [Green Version]
- Bulitta, J.B.; Kinzig, M.; Jakob, V.; Holzgrabe, U.; Sörgel, F.; Holford, N.H.G. Nonlinear pharmacokinetics of piperacillin in healthy volunteers—implications for optimal dosage regimens. Br. J. Clin. Pharmacol. 2010, 70, 682–693. [Google Scholar] [CrossRef] [Green Version]
- Carrié, C.; Legeron, R.; Petit, L.; Ollivier, J.; Cottenceau, V.; D’Houdain, N.; Boyer, P.; Lafitte, M.; Xuereb, F.; Sztark, F.; et al. Higher than standard dosing regimen are needed to achieve optimal antibiotic exposure in critically ill patients with augmented renal clearance receiving piperacillin-tazobactam administered by continuous infusion. J. Crit. Care 2018, 48, 66–71. [Google Scholar] [CrossRef] [PubMed]
- Felton, T.W.; Hope, W.W.; Lomaestro, B.M.; Butterfield, J.M.; Kwa, A.L.; Drusano, G.L.; Lodise, T.P. Population Pharmacokinetics of Extended-Infusion Piperacillin-Tazobactam in Hospitalized Patients with Nosocomial Infections. Antimicrob. Agents Chemother. 2012, 56, 4087–4094. [Google Scholar] [CrossRef] [Green Version]
- Chen, R.; Qian, Q.; Sun, M.-R.; Qian, C.-Y.; Zou, S.-L.; Wang, M.-L.; Wang, L.-Y. Population Pharmacokinetics and Pharmacodynamics of Piperacillin/Tazobactam in Patients with Nosocomial Infections. Eur. J. Drug Metab. Pharmacokinet. 2015, 41, 363–372. [Google Scholar] [CrossRef]
- Dhaese, S.; Colin, P.; Willems, H.; Heffernan, A.; Gadeyne, B.; Van Vooren, S.; Depuydt, P.; Hoste, E.; Stove, V.; Verstraete, A.; et al. Saturable elimination of piperacillin in critically ill patients: Implications for continuous infusion. Int. J. Antimicrob. Agents 2019, 54, 741–749. [Google Scholar] [CrossRef]
- Kanji, S.; Hayes, M.; Ling, A.; Shamseer, L.; Chant, C.; Edwards, D.J.; Edwards, S.; Ensom, M.; Foster, D.R.; Hardy, B.; et al. Reporting Guidelines for Clinical Pharmacokinetic Studies: The ClinPK Statement. Clin. Pharmacokinet. 2015, 54, 783–795. [Google Scholar] [CrossRef] [PubMed]
- Da Silva, S.D.; Alves, G.C.D.S.; Chequer, F.M.D.; Farkas, A.; Daróczi, G.; Roberts, J.A.; Sanches, C. Linguistic and cultural adaptation to the Portuguese language of antimicrobial dose adjustment software. Einstein São Paulo 2020, 18, eAO5023. [Google Scholar] [CrossRef] [PubMed] [Green Version]
- McWhinney, B.C.; Wallis, S.; Hillister, T.; Roberts, J.; Lipman, J.; Ungerer, J. Analysis of 12 beta-lactam antibiotics in human plasma by HPLC with ultraviolet detection. J. Chromatogr. B Analyt. Technol. Biomed. Life Sci. 2010, 878, 2039–2043. [Google Scholar] [CrossRef]
- Sheiner, L.B.; Beal, S.L. Some suggestions for measuring predictive performance. J. Pharmacokinet. Biopharm. 1981, 9, 503–512. [Google Scholar] [CrossRef] [PubMed]
- Guo, T.; van Hest, R.M.; Roggeveen, L.F.; Fleuren, L.M.; Thoral, P.J.; Bosman, R.J.; van der Voort, P.H.J.; Girbes, A.R.J.; Mathot, R.A.A. External Evaluation of Population Pharmacokinetic Models of Vancomycin in Large Cohorts of Intensive Care Unit Patients. Antimicrob. Agents Chemother. 2019, 63, e02543-18. [Google Scholar] [CrossRef] [PubMed] [Green Version]
- Abdul-Aziz, M.-H.; Alffenaar, J.-W.C.; Bassetti, M.; Bracht, H.; Dimopoulos, G.; Marriott, D.; Neely, M.N.; Paiva, J.-A.; Pea, F.; Sjovall, F.; et al. Antimicrobial therapeutic drug monitoring in critically ill adult patients: A Position Paper. Intensive Care Med. 2020, 46, 1127–1153. [Google Scholar] [CrossRef] [PubMed]
- Wong, G.; Briscoe, S.; Adnan, S.; McWhinney, B.; Ungerer, J.; Lipman, J.; Roberts, J.A. Protein Binding of β-Lactam Antibiotics in Critically Ill Patients: Can We Successfully Predict Unbound Concentrations? Antimicrob. Agents Chemother. 2013, 57, 6165–6170. [Google Scholar] [CrossRef] [Green Version]






| Characteristic | Results (n = 24) |
|---|---|
| Age (y) | 72 (57–78) |
| Male | 9 (38%) |
| Weight (kg) | 69 (57–77) |
| BMI (kg/m2) | 22 (21–31) |
| Creatinine clearance (mL/min/1.73 m2) | 60 (47–83) |
| SAPS 3 score | 53 (45–63) |
| SOFA score | 5 (4–7) |
| MODS score | 3 (2–4) |
| Outcome Death | 8 (33%) |
| Vasoactive drugs | 7 (29%) |
| Sepsis | 12 (50%) |
| Microbiologically confirmed infection Isolated microorganism | 14 (58%) |
| Proteus mirabilis | 1 (7%) |
| Escherichia coli | 2 (14%) |
| Enterobacter aerogenes | 1 (7%) |
| Pseudomonas aeruginosa | 6 (43%) |
| Staphylococcus aureus | 2 (14%) |
| Staphylococcus coagulase negativo | 2 (14%) |
| Acinetobacter baumanni | 2 (14%) |
| Serratia | 1 (7%) |
| Parameter | Mean (SD) | Median | %CV |
|---|---|---|---|
| CL (L/h) | 3.33 (1.24) | 3.01 | 37 |
| V (L) | 10.69 (4.50) | 9.03 | 42 |
| KCP (h−1) | 1.15 (0.15) | 1.21 | 13 |
| KPC (h−1) | 0.08 (0.09) | 0.03 | 120 |
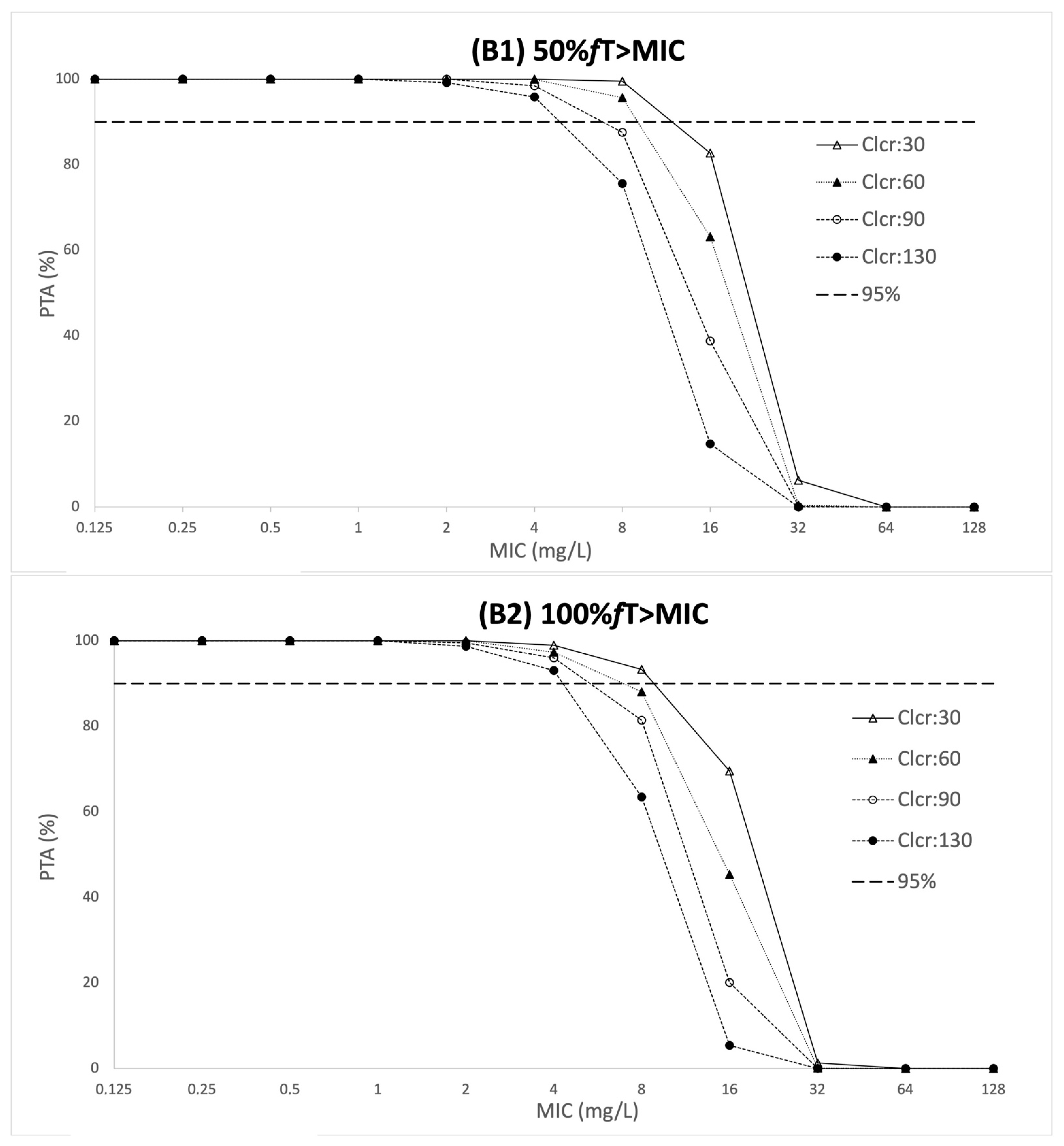
| Dosing Regimen | FTA (%) and creatinine clearance (mL/min/1.73 m2) | |||||||
| 4 g 6qh | 4g 8qh | |||||||
| 30 | 60 | 90 | 130 | 30 | 60 | 90 | 130 | |
| 50% fT > MIC | 97.8 | 94.5 | 89.2 | 82.5 | 97.6 | 93.9 | 88.9 | 81.9 |
| 100% fT > MIC | 94.4 | 89.6 | 84.5 | 77.5 | 94.1 | 89.3 | 83.9 | 76.9 |
| Dataset | MPE * | RMSPE * | |
|---|---|---|---|
| Full data | Udy et al. [16] | −3.3 (−11.9 to 5.3) | 43.2 (35.1 to 50.0) |
| Tsai et al. [17] | −6.5 (−12.4 to −0.6) | 38.5 (33.0 to 43.3) | |
| <100 mg/L | Udy et al. [16] | −4.4 (−11.1 to 2.2) | 24.6 (18.8 to 29.2) |
| Tsai et al. [17] | −3.0 (−7.8 to 1.8) | 24.6 (20.7 to 27.9) | |
Publisher’s Note: MDPI stays neutral with regard to jurisdictional claims in published maps and institutional affiliations. |
© 2022 by the authors. Licensee MDPI, Basel, Switzerland. This article is an open access article distributed under the terms and conditions of the Creative Commons Attribution (CC BY) license (https://creativecommons.org/licenses/by/4.0/).
Share and Cite
Sanches, C.; Alves, G.C.S.; Farkas, A.; da Silva, S.D.; de Castro, W.V.; Chequer, F.M.D.; Beraldi-Magalhães, F.; Magalhães, I.R.d.S.; Baldoni, A.d.O.; Chatfield, M.D.; et al. Population Pharmacokinetic Model of Piperacillin in Critically Ill Patients and Describing Interethnic Variation Using External Validation. Antibiotics 2022, 11, 434. https://doi.org/10.3390/antibiotics11040434
Sanches C, Alves GCS, Farkas A, da Silva SD, de Castro WV, Chequer FMD, Beraldi-Magalhães F, Magalhães IRdS, Baldoni AdO, Chatfield MD, et al. Population Pharmacokinetic Model of Piperacillin in Critically Ill Patients and Describing Interethnic Variation Using External Validation. Antibiotics. 2022; 11(4):434. https://doi.org/10.3390/antibiotics11040434
Chicago/Turabian StyleSanches, Cristina, Geisa C. S. Alves, Andras Farkas, Samuel Dutra da Silva, Whocely Victor de Castro, Farah Maria Drummond Chequer, Francisco Beraldi-Magalhães, Igor Rafael dos Santos Magalhães, André de Oliveira Baldoni, Mark D. Chatfield, and et al. 2022. "Population Pharmacokinetic Model of Piperacillin in Critically Ill Patients and Describing Interethnic Variation Using External Validation" Antibiotics 11, no. 4: 434. https://doi.org/10.3390/antibiotics11040434
APA StyleSanches, C., Alves, G. C. S., Farkas, A., da Silva, S. D., de Castro, W. V., Chequer, F. M. D., Beraldi-Magalhães, F., Magalhães, I. R. d. S., Baldoni, A. d. O., Chatfield, M. D., Lipman, J., Roberts, J. A., & Parker, S. L. (2022). Population Pharmacokinetic Model of Piperacillin in Critically Ill Patients and Describing Interethnic Variation Using External Validation. Antibiotics, 11(4), 434. https://doi.org/10.3390/antibiotics11040434

