Next Article in Journal
Ethyl Acetate Fraction of Punica granatum and Its Galloyl-HHDP-Glucose Compound, Alone or in Combination with Fluconazole, Have Antifungal and Antivirulence Properties against Candida spp.
Previous Article in Journal
Enteral Vancomycin to Eliminate MRSA Carriership of the Digestive Tract in Critically Ill Patients
Previous Article in Special Issue
Antibiotic Prescribing Trends in Belgian Out-of-Hours Primary Care during the COVID-19 Pandemic: Observational Study Using Routinely Collected Health Data
 
 
Font Type:
Arial Georgia Verdana
Font Size:
Aa Aa Aa
Line Spacing:
Column Width:
Background:
Article

Interrupted Time Series Analysis of Pediatric Infectious Diseases and the Consumption of Antibiotics in an Atlantic European Region during the SARS-CoV-2 Pandemic

by
Ana Clavería
1,2,
María Victoria Delgado-Martín
3,
Ana Goicoechea-Castaño
4,
José Manuel Iglesias-Moreno
5,
Clara García-Cendón
5,
María Victoria Martín-Miguel
2,6,*,
Rita Villarino-Moure
4,
Carolina Barreiro-Arceiz
7,
Isabel Rey-Gómez-Serranillos
8 and
Javier Roca
2,9,10
1
Galicia South Health Research Institute, Health Area of Vigo, Galician Health Service, 36201 Vigo, Spain
2
Network for Research on Chronicity, Primary Care, and Health Promotion (RICAPPS), 08007 Barcelona, Spain
3
Moaña Health Center, Health Area of Vigo, Galician Health Service, 36950 Vigo, Spain
4
Sárdoma Health Center, Health Area of Vigo, Galician Health Service, 36214 Vigo, Spain
5
Val Miñor Health Center, Health Area of Vigo, Galician Health Service, 36350 Vigo, Spain
6
Vigo Family and Community Medicine and Nursing Teaching Unit, Health Area of Vigo, Galician Health Service, 36201 Vigo, Spain
7
Baiona Health Center, Health Area of Vigo, Galician Health Service, 36201 Vigo, Spain
8
Pharmaceutical Services, Health Area of Vigo, Galician Health Service, 36201 Vigo, Spain
9
Centro de Investigación e Tecnoloxía Matemática de Galicia (CITMAGA), Campus Vida, 15782 Santiago de Compostela, Spain
10
Department of Statistics and Operational Research, University of Vigo, 36310 Vigo, Spain
*
Author to whom correspondence should be addressed.
Antibiotics 2022, 11(2), 264; https://doi.org/10.3390/antibiotics11020264
Submission received: 12 January 2022 / Revised: 14 February 2022 / Accepted: 15 February 2022 / Published: 18 February 2022

Abstract

The increasing concern about bacterial resistance has made the rational prescription of antibiotics even more urgent. The non-pharmacological measures established to reduce the impact of the SARS-CoV-2 pandemic have modified the epidemiology of pediatric infections and, consequently, the use of antibiotics. Interrupted time series (ITS) analyses are quasi-experimental studies that allow for the estimation of causal effects with observational data in “natural experiments”, such as changes in health policies or pandemics. The effect of the SARS-CoV-2 pandemic on the incidence of infectious diseases and the use of antibiotics between 2018 and 2020 in the Health Area of Vigo (Galicia, Spain) was quantified and analyzed. This paper outlines a real-world data study with administrative records from primary care services provided for the pediatric population. The records were related to episodes classified as infectious by the International Classification of Primary Care (ICPC-2) and oral medication in the therapeutic subgroup J01, corresponding to antibiotics for systemic use, according to the World Health Organization’s Anatomical Therapeutic Chemical (ATC) classification system. The records were classified according to incident episodes, age, dose per inhabitant, and year. Segmented regression models were applied using an algorithm that automatically identifies the number and position of the change points. During the SARS-CoV-2 pandemic, the number of infectious diseases being transmitted between individuals, through the air and through the fecal–oral route, significantly decreased, and a slight decrease in infections transmitted via other mechanisms (urinary tract infections) was also found. In parallel, during the months of the pandemic, there has been a marked and significant reduction in antibacterial agent utilization, mainly of penicillins, cephalosporins, and macrolides.

1. Introduction

Since their discovery by Fleming [1] until the present day, the use of antibiotics has undergone considerable changes. The excessive prescription over recent decades, including that of broad-spectrum antibiotics, has led to the appearance of antimicrobial resistance [2,3,4,5,6]. Therefore, in 2014, the Spanish government approved the National Plan Against Resistance to Antibiotics (PRAN) [7]. According to data from 2020, bacterial isolate resistance in Spain was 4.7% [8], higher than that of countries such as Sweden, France, or Germany, with rates of 0.3%, 0.5%, and 0.5%, respectively. Other countries such as Greece or Bulgaria were found to have the highest rates, at 66% and 28.1%, respectively. Fortunately, an increased awareness regarding the rational use of antibiotics has been promoted by healthcare workers, although we are far from achieving global awareness of this issue.
In the childhood population, following clinical protocols and guidelines has helped to ensure the appropriate use of antibiotics, reverting the trend in Spain and making antibiotic use in pediatric-aged patients comparable to that of the rest of Europe [9,10]. Childhood infections tend to be viral in nature (upper respiratory tract and gastrointestinal infections, etc.), with bacterial infections being less common (although they do exist, and some of them are extremely serious). Bacterial infections occurring in children include respiratory tract infections (pharyngoamygdalitis, acute otitis media, and pneumonia). Urinary tract infections also affect children, with a prevalence of 3 to 7% [11]. They occur in 8–10% of all girls and in 2–3% of boys prior to the age of 7, being most common in males during the first three months of life and becoming increasingly common in girls after one year of age [12].
The global pandemic caused by SARS-CoV-2 has been a major turning point in healthcare and the social organization of many countries, including Spain. The declaration of the country’s first “state of alarm” in response to SARS-CoV-2 on 14 March 2020 (Royal Decree 463/2020) [13] limited mobility and implemented a lockdown of the Spanish population, and also led to the reorganization of the healthcare system to adapt to the emergency health situation.
In Galicia, like the rest of Spain, extraordinary measures were implemented in primary care, with telephone consultations being prioritized, a differentiated circuit for patients susceptible to SARS-CoV-2 being implemented, and telemedicine being used to assist them at home [14]. In May of 2020, a de-escalation process was initiated in the country, which ended on 16 September 2021, promoted by the onset of vaccination [15] and the availability of rapid antigen tests [16].
In the school environment, “bubble classrooms” were created, where the distance between desks had to be as far as possible. In addition, any activity that entailed the removal of face masks, such as eating or drinking, was prohibited, and each student’s footwear had to be replaced at the entrance of the classroom. Frequent hand hygiene, as well as maintaining cleanliness in the classroom and continuous ventilation, constituted a fundamental pillar for the enforced measures. The entering and exiting of centers was conducted in a staggered manner, maintaining an interpersonal distance of 1.5 m and restricting access to third parties.
During the pandemic, as a result of the decline in secondary respiratory pathogens resulting from the measures applied to reduce the transmission of SARS-CoV-2 (hand hygiene, the use of face masks, and social distancing), a change in the epidemiology of these infections took place. The incidence of non-COVID-19 respiratory viruses, including influenza, declined. In 2020, for the WHO European Region, non-COVID-19 respiratory viruses remained at baseline from the beginning of the season. In Spain, influenza activity remained lower than expected [17] as well. Decreases were also seen in bacterial infections. Distinct studies carried out in the primary care of distinct countries revealed an initial increase in the use of antibiotics at the onset of the pandemic, followed by a major decline, coinciding with the implementation of mobility restriction measures in an attempt to control the virus [18,19,20,21,22,23].
Interrupted time series (ITS) analyses are quasi-experimental studies permitting the estimation of causal effects for observational data. For this, regression models are used to assess “natural experiments”, such as changes in healthcare policies, the implementation of clinical guidelines, etc. Furthermore, their graphical and numeric representation can be easily understood, even by those who are not experts in statistics or epidemiology. Of the public health interventions analyzed using this type of methodology, there are studies on the use of medications, the introduction of legislation related to alcohol or tobacco, as well as the health impacts of catastrophic events, such as the economic or SARS-CoV-2 crises, quality improvement initiatives, among others published in recent reviews [24,25].
This article attempts to demonstrate the effects of the SARS-CoV-2 pandemic on the incidence of infectious illnesses in pediatric-aged patients and on the use of antibiotics. To do so, segmented regression models were applied using an algorithm that automatically identifies the number and position of the change points, permitting comparisons to be made with the study hypothesis.

2. Results

The pediatric population declined progressively from 74,431 in 2018 to 73,353 in 2019, and then to 72,483 in 2020 [26].

2.1. Number of Episodes by ICPC-2 Chapter

As for the number of infections by age group, in 2018, 2019, and 2020, a higher number of episodes was observed when the age group was lower, and a decrease was seen in the last year. Therefore, in children aged 0 to 4, the incidence went from 22,487 in 2018 to 23,044 in 2019, and then to 11,286 in 2020. For children aged 5 to 9, the number of episodes went from 9867, to 8725, to 7140, respectively. For the 10 to 14 age group, the evolution was from 6683, to 6060, to 5791. The disaggregated information by ICPC chapter, age group, and year is presented in Table 1.
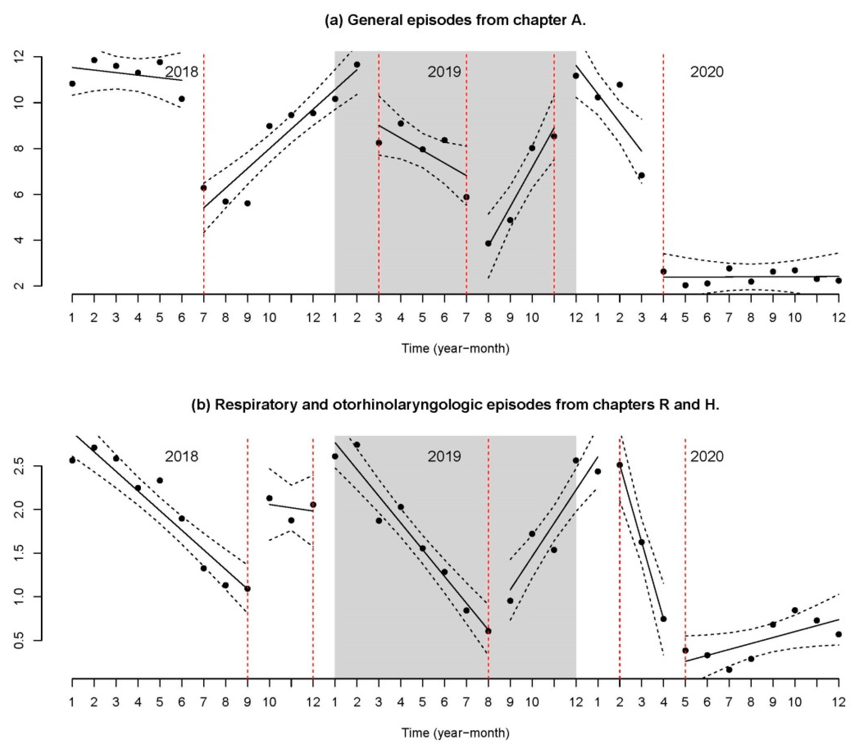
As for the time pattern, incidence was calculated by dividing the number of diagnoses by the pediatric population at the half-way point of the period. Figure 1 presents the monthly evolution, adding respiratory and otorhinolaryngologic diagnoses to the diagnoses of Chapter A (which include primarily exanthematous viral diseases and SARS-CoV-2).
All the time series were adjusted with a first-order autocorrelation. Next, the number of minimum change points that significantly differentiate the regression models from the other methodology was identified. The resulting models for episodes of Chapter A, for respiratory and otorhinolaryngologic episodes, as well as the other episodes, are presented in Appendix A, including the confidence interval for the constants, slopes, significance, and the fit of the model.
The fit of the models was very good, with an adjusted R-squared of 0.9351, 0.9507, and 0.9614, respectively.
In Figure 1, the change point is represented by a broken red line, as are the confidence intervals of the series’ diverse regression lines. The periodicity of each series is shown, although for distinct periods of the year. As for the illnesses of Chapter A, they decreased at the start of 2020. However, a major change takes place in the constant after the summer, most likely explained by the start of the school year and the availability of SARS-CoV-2 tests. In the case of respiratory and otorhinolaryngologic diagnoses, the constant had a greater value at the onset of 2020, followed by a sharp decrease, coinciding with the lockdown.

2.2. Number of DHD by Therapeutic Subgroup

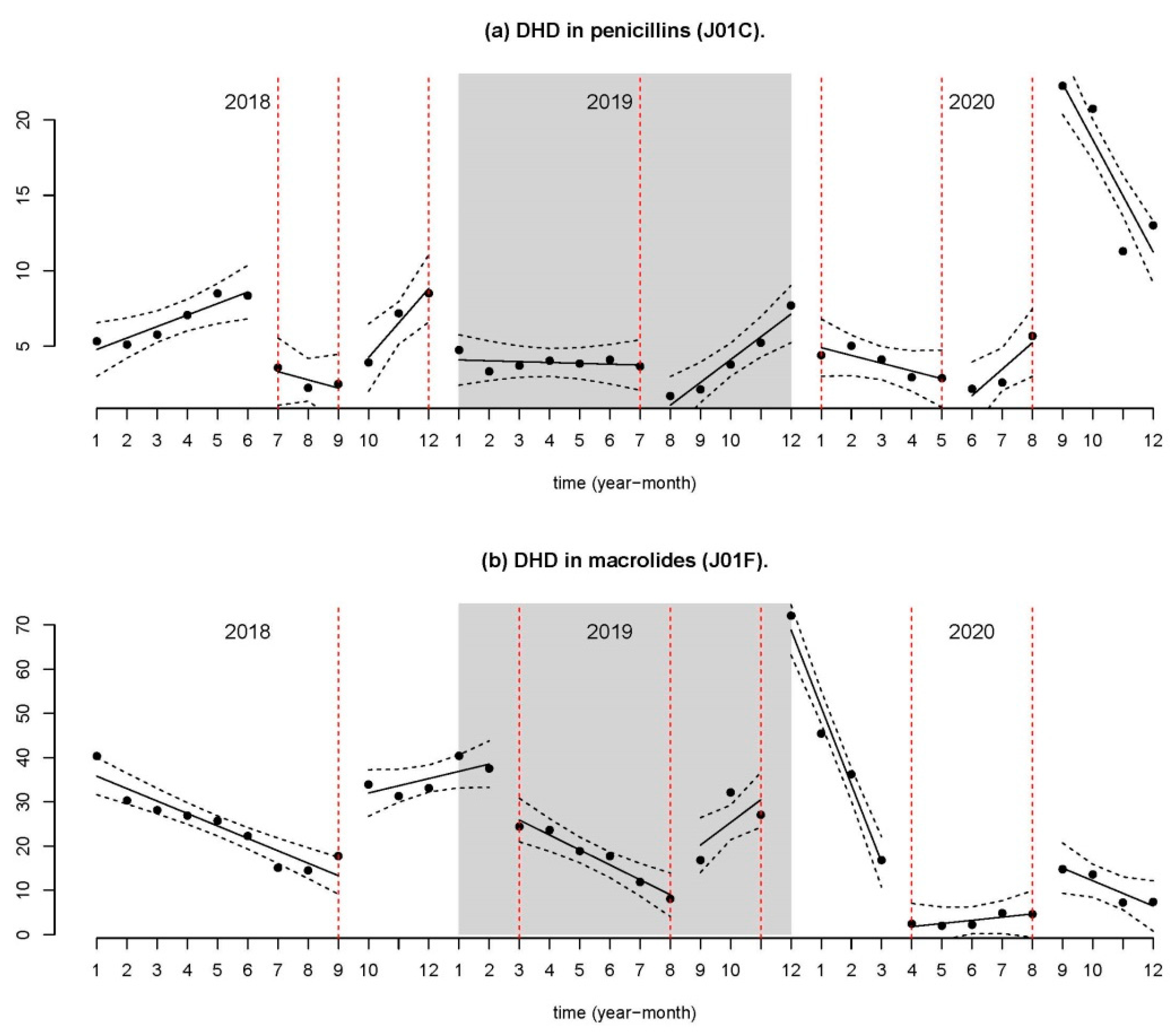
As for invoicing by therapeutic subgroup, Table 2 presents the annual evolution in 2018, 2019, and 2020. An annual decrease can be seen, which is more notable in the following groups: penicillins (J01C), cephalosporins (J01D), trimethoprim and derivatives (J01EA), and macrolides (J01F).
To perform the segmented regression, the monthly prescription filling value for the groups with the most invoicing (penicillins, cephalosporins, and macrolides (J01C, J01D, and J01F)) was used. The remaining active ingredients were added in the “Other antibiotics” category (J01A, J01E, J01M, J01X). The fitted models are presented in Appendix A (Table A1, Table A2, Table A3, Table A4, Table A5, Table A6 and Table A7).
Figure 2 shows the evolution of penicillins and macrolides, with five change points each. The changes were of a seasonal nature, with a large increase in the constant of the line after March 2020; a slight increase was seen in macrolides as compared to penicillins.
For the active ingredients added in the “Other antibiotics” category (J01A, J01E, J01M, J01X), the slopes are mostly horizontal (Figure 3).
The fit of the models was very good, with an adjusted R-squared of 0.946, 0.9284, and 0.9437, respectively.

3. Discussion

3.1. Main Results

The segmented regression methods revealed a significant effect of the SARS-CoV-2 pandemic on the infectious episodes registered in the primary care clinical histories of a pediatric population. In parallel, a significant decrease was evident in the prescription of antibiotics, especially penicillins, cephalosporins, and macrolides. As for the diseases of Chapter A, seven change points were observed, with a significant jump in September 2020 at the beginning of the school year when diagnostic tests for SARS-CoV-2 became available. Respiratory and otorhinolaryngologic episodes presented six change points, and the segmented regression corresponding with the period of confinement in the first months of 2020 shows a marked downward trend, followed by a more horizontal one.
Regarding the consumption of antibiotics (penicillins, cephalosporins, and macrolides), five significant change points were identified. The changes in constants and slopes for the identified segmented regressions followed a similar evolution to that observed in respiratory and otorhinolaryngologic diseases, with a very marked downward trend at the beginning of 2020, followed by a small change in the following months.

3.2. Impact on Infectious Diseases

In the pediatric population under study, a significant decrease was observed in respiratory infections starting in February of 2020 and reaching the largest decline between April and June of the same year (both included), coinciding with the implementation of harsher restriction measures to contain the SARS-CoV-2 pandemic (lockdown, school closing, and restricted mobility), and the resulting social isolation. In September of 2020, a slight increase was noted; this is likely to be related to the return to school activity. However, the levels remained considerably below those of 2018 and 2019.
Respiratory infections are the most common infections occurring during childhood, with children suffering from an average of three to eight upper respiratory infections per year, rates which may be twice as high in infants attending nursery school. Generally speaking, these infections tend to be caused by rhinoviruses, parainfluenza viruses, respiratory syncytial viruses, other coronaviruses, adenoviruses, enteroviruses, and influenza viruses [12]. The data collected here do not permit the analysis of the etiological agents in most of these infections. Therefore, we are unaware of the individual behavior of each of these viruses in our population. We can, however, infer that a global decline took place in these pathogens, given the major decrease observed in all types of respiratory infections, both upper (upper respiratory viruses, sinusitis, amygdalitis, laryngitis), as well as lower (bronchitis, pneumonia) for all age groups, as compared to the two prior years. One exception is influenza, which maintained a similar incidence as that of the two years prior to the period of study.
As for the other viral infections, the aggregate study of diagnoses from Chapter A of the ICPC (exanthematous viral diseases and SARS-CoV-2) reveals an increase in these illnesses in February of 2020, coinciding with the arrival and initial diagnoses of the SARS-CoV-2 virus in Spain. As of April 2020, this initial increase was followed by a progressive decline, which continued until June of the same year. As of this moment, a notable increase took place in these infections, which continued until the end of the studied period. This pattern is not normal for this group of illnesses, which tend to reveal two seasonal peaks, one in the spring and another in the fall, as observed in the data from 2018 and 2019.
As for the other infections examined, gastrointestinal and urinary tract infections are noteworthy. The former experienced a pronounced decrease as compared to the years prior to the pandemic, while the latter did not undergo any substantial changes, with only a minor decrease being noted in their incidence following the application of the restrictions.
These results are similar to those published by other authors, who have noted that the measures taken to contain the transmission of SARS-CoV-2 led to a global decline in the incidence of transmissible respiratory or contact infections, although they did not affect other infections that are unaffected by social contacts, such as urinary tract infections [27,28]. For these other infections, only a mild decline was observed, perhaps due to the lack of physician visits in response to mild and self-treatable symptoms.
The major decline in respiratory infections found in the study population has also been revealed by Haddadin [29], who noted intense drops in the incidence of acute respiratory infections, including those caused by the respiratory syncytial virus (RSV) and influenza. This latter infection has not been observed in our study. The incidence of influenza remained stable in 2020 as compared to the prior two seasons. This may be due to the fact that the pandemic in Spain took place in March of 2020, after the end of the annual flu epidemic, which took place during the months of January and February. WHO also notes that current influenza surveillance data should be interpreted with caution, as the ongoing SARS-CoV-2 pandemic has influenced the ability to seek medical assistance, affected staffing, and led to changes in priorities, as well as the ability to perform tests. This distortion continued at the beginning of the 2020–2021 flu season, forcing a rethinking and adaptation of influenza surveillance, following the international recommendations of the European Center for Disease Prevention and Control (ECDC) and the World Health Organization (WHO) [17].
Rius-Peris and Britton [30,31] reported a notable decline in admittance and assistance to urgent care due to bronchiolitis (caused by RSV) and a change in seasonality [29,30], which was also seen in other respiratory viruses [32]. Rhinovirus, however, which does not have a lipid coating, and therefore does not respond as well to hand hygiene for its prevention, continued to circulate atypically and was the agent responsible for most of the bronchiolitis cases in the 2020–2021 season [30].
Another factor influencing the decline in the registration of infections may be the significant decrease in demand for pediatric care. Numerous authors [28,33,34] have expressed their concern due to a noted hesitancy in the seeking of healthcare assistance by parents and caregivers, which was most likely due to a fear of exposure to coronavirus and limited access to primary care services, potentially delaying the diagnosis of other illnesses.
In addition to the reduced number of respiratory and other viral infections, this study demonstrated a major global decline in the prescription of antibiotics in primary care. This decrease continued throughout the study period and increased during the second quarter of 2020, coinciding with the at-home lockdown and stricter containment measures implemented during the pandemic. The most affected antibiotics are those typically used to treat respiratory infections, especially broad-spectrum penicillins, mainly amoxicillin, and combinations of penicillins and beta-lactamase inhibitors. It is interesting to note that the prescription of macrolides, especially azithromycin, despite being a treatment used in SARS-CoV-2 infections during the initial phase of the pandemic, revealed a significant reduction in use. Numerous studies have revealed that many COVID-19 patients received antibiotics, especially early on in the pandemic, and that these were mainly adults with comorbidities (75%). Children received lower rates (57%) [18,23,35,36].
Most bacterial infections occurring during pediatric ages can be treated in an outpatient manner through the prescription of oral antibiotics. These prescriptions tend to be written in primary and urgent care services, mainly for respiratory infections. This is the main cause of the inappropriate use of antibiotics [18,23,35,36,37]. In Spain, the age group that consumes the most antibiotics is that of 0 to 4 years, with an exposure rate of 58.8%, generally associated with inappropriate indication. The most commonly used antibiotics are amoxicillin and amoxicillin with clavulanic acid, with a tendency to increase the use of amoxicillin on its own. The second most commonly prescribed antibiotics are first- and second-generation macrolides and cephalosporins, with both of these experiencing a major decline in the rate of their prescription [32].

3.3. Impact on the Dispensing of Antibiotics

Data from this study on the consumption of antibiotics reveal that those from the J1C group (penicillins) are the most frequently used in all of the study years, followed by macrolides. This coincides with prior research [38].
A significant decline was not seen in the prescription of other antibiotics that are commonly used in non-respiratory infections (i.e., urinary tract infections), such as third-generation cotrimoxazole or cephalosporins, such as cefixime.
On the other hand, a minor increase was found in the use of tetracyclines, despite the fact that their use is quite limited in pediatrics, given their contraindication in children under the age of 8, their secondary effects, and the infrequency of the pathologies for which they are used.
Our data were compared with those published by the Spanish Agency of Medicines, on a national level (PRAN) [7], to verify whether or not there was support for the hypothesis regarding the declined use of antibiotics in 2020, secondary to the decrease in respiratory infections, as occurred in the Vigo health area. The data collected on a national level include adult and pediatric patients, as well as prescriptions from hospitals and private healthcare services. Therefore, the figures in our context are lower for all groups. The decrease in the use of antibiotics is clear for all groups, both on a national and local level, except for the J01E (trimethoprim and combinations) and J01X groups, which did not vary. This is consistent with the stability of the incidence of urinary infections and subsidiary pathologies treated with these therapeutic groups.
Divergence is evident in the use of antibiotics from group J01A (tetracyclines). The increased use of tetracyclines in the age group of 10 to 14 has been seen in our health area, but has not been observed on a national level. This may be related to the mandatory use of face masks by children over the age of 6, resulting in an increased number of cases of acne (the so-called maskne) [39]. The term maskne is used to refer to the acne resulting from the use of face masks by patients who did not previously suffer from this condition, since an area of heat, humidity, and friction is created, occluding the hair follicles and favoring the appearance of acne. This may have resulted in an increase in the prescription of tetracyclines for its treatment.
It is also necessary to consider the influence of telephone consultations in the prescription profiles, as compared to the face-to-face consultations. Studies comparing telephone care and in-person visits indicate that the former increases the number of follow-up consultations and the inappropriate prescription of antibiotics; however, additional studies are necessary in order to confirm the influence of telemedicine on this these types of prescriptions [40,41,42].
This decreased use of antibiotics has also been found in 25 other European countries [43], with the exception of Bulgaria, in which an increase took place in 2020. As noted in our study, the largest decrease took place in the use of penicillins and beta-lactams, drugs prescribed for respiratory infections, which is in line with the decline in the rate of these infections in the European Union (European Centre for Disease Prevention and Control) [44]. The theory of the ecological niche of viruses, according to which a dynamic variation of the ecosystem would be produced by being replaced by other viruses through the phenomena of competition or cooperation between them, would also have affected the circulation of SARS-CoV-2 in the year 2020, and would have caused the replacement of infections by other respiratory viruses [45].
In the infant and youth populations, there was a decreased circulation of viruses and bacteria as a result of the SARS-CoV-2 pandemic. There was also a decline in the consumption of antibiotics and a decrease in flare-ups of asthma in 2020 [27]. On the other hand, a significant increase was seen in psychosocial issues, such as anxiety, self-destructive behaviors, eating disorders, substance abuse, and new technology addictions. It should also be noted that restriction measures may cause increased susceptibility to other infective agents, which may result in more intense future or unexpected outbreaks [30]. Therefore, specific studies should assess which measures are more appropriate in a similar situation and which should be continued from the current practices (such as handwashing, staying at home when having symptoms of illness, and following clinical practice guidelines to ensure the rational use of antibiotics).

3.4. Limitations and Strengths

All of the primary care professionals used the same electronic clinical history and its use is universal in all visits. Furthermore, it may be considered representative of the infective episodes and the consumption of J01, given that 93.31% of the population has a digital clinical history on the National Healthcare System.
The main limitation of this study is the variability in the coding used by professionals and the lack of individual validation of the study events. However, we can assess its integrity and validity by comparing the rates obtained with those of the medical literature, or from their integration in the computerized system of primary care and public health. Thus, in the case of diseases of mandatory declaration (EDO, based on their initials in Spanish), in Galicia, the inclusion of episodes that have been recorded in the primary care clinical history of the epidemiological surveillance system of the EDO is standardized.
The data used in this study correspond to the outpatient use of J01 medications, not considering the consumption derived from hospital use, in admitted patients, or those dispensed to outpatients and in socio-healthcare establishments from hospital pharmacy services. It also excludes consumption via private prescriptions and mutual insurance agencies that is not invoiced through the SNS. It should also be noted that invoicing data do not correspond precisely with the data on the prescriptions, since said prescriptions may not be dispensed. Furthermore, not all medications dispensed by the pharmacies are actually taken by the patients.
ITS are increasingly recognized as designs that, when properly designed and analyzed, can provide reliable effect estimates on the impact of interventions in situations where randomization is not feasible [24]. Despite recent publications containing detailed guidance on how to conduct ITS studies [46], reporting on the design features and results of ITS studies is still lacking [47]. Among other noteworthy aspects, the specification of the time interval (months), the outcome (ratio or DHD), shape model (level change and slope change), autocorrelation application, and effect measures (level change and slope change, including p and confidence intervals) are specified. It was not possible to analyze a control group, as recommended in the literature. This was not available anywhere, on a global level.

4. Materials and Methods

4.1. Design and Study Population

This study was a real-world, observational, longitudinal, and retrospective data study on infectious episodes with ICPC-2 and oral medication in the J01 therapeutic subgroup, corresponding to anti-infective drugs for systemic use, according to the WHO’s ATC classification.
Administrative records from 2018 to 2020 for a primary care pediatric population in the Atlantic European health region were used. The region of Vigo (Galicia, Spain) was considered. It has a population of 569,534 inhabitants who are part of 43 basic health areas, with a healthcare center in each of these areas that has an average of 14,000 inhabitants per healthcare center, while the pediatric population comprises 13% of the total population.
In Spain, healthcare is based on a publicly financed system. Pediatric care is provided mainly by pediatricians, working with an assigned population in multi-professional healthcare centers.

4.2. Data Sources

For the episodes, the electronic clinical history from primary care was used. Clinical data were registered in the primary care system’s electronic health record (EHR) for at least the past ten years. Episodes were coded with ICPC-2. ICPC-2 contains 17 chapters, differentiated by one letter, corresponding to a mnemonic code in English. A list of codes identified as infectious and included in this project is presented in Supplementary File S1.
For the medication, electronic prescriptions from the Galician Health Service (Servizo Galego de Saúde) were used, noting the active ingredients prescribed in primary care and dispensed by pharmacies. Invoicing data provided by the Galician pharmacies to the National Healthcare System (SNS) were obtained from the Subdirección Xeral de Farmacia do Servizo Galego de Saúde. When filling each prescription, the Personal Identification Code of the patient receiving the prescription, as printed on the healthcare card, was collected using the computer and was associated with the National Code of the medication during the prescription filling procedure. In this way, a file was generated, including the following variables: pharmaceutical specialty, number of packages, retail price, reference price, contribution (active/pensioner), expense to the Galician Healthcare Service, year, and month.
For the study population, information from the Municipal Census of the National Statistics Institute was used [25].

4.3. Variables

For the episodes, the chapter and episode code, date of entry of the episode in the EHR (month and year), and five-year bracket age group, calculating the gross rate, were used.
For the medication, the regular daily dose (DHD) per active ingredient, month, and year was used. The DHD indicates the proportion of the population receiving standard treatment on a daily basis. It is calculated using the following formula:
DHD = UV × FF / E × C / FF × 1000 DDD × No . inhabitants × 365 days
UV = units consumed. FF/E = no. of pharmaceutical forms per package. C/FF = quantity of active ingredients in each pharmaceutical form [23].
For the denominators, data from the pediatric population of the municipalities of Pontevedra were used, included in the Vigo area at the mid-way point of the period.

4.4. Statistical Analysis

A descriptive analysis of the episodes was performed by age, group, and ICPC group, as well as DHD by therapeutic subgroup with 4 digits.
Regarding the analysis of the time series, denoting their value by X t at time t , we considered the regression model X t = m ( t ) + e t , where the function m ( t ) represents the trend of the series and e t is the corresponding temporary error. In particular, in this article, we used the ARIMA or Box–Jenkins methodology as a statistical technique, which allows for mathematical models that establish the time structure (trend, seasonality, etc.) of the series. This type of model is very useful for short-term prediction.
On the other hand, we considered that the trend m ( t ) could be adjusted linearly in each k consecutive time period, I 1 = ( t 0 , t 1 ] , I 2 = ( t 1 , t 2 ] , , I K = ( t K 1 , t K ] , with the function (K) and position ( t 0 , t 1 , , t K ) , and in such a way that the trend m ( t ) is linear in each of these intervals. That is, m ( t ) = a k + b k t if t I k for k = 1 , , K .
In this paper, a bootstrap resampling plan was used to determine the number of K change points. In addition, an algorithm was proposed that, once the value of K is established, allows for the estimation of t ^ 0 , , t ^ K of said points, and for the estimated coefficients a ^ k and b k , corresponding to each of the K time intervals, to be obtained. Bootstrap resampling techniques can involve a high computational cost, increased in our case by a very large amount of data. For this reason, we used binning-type computational acceleration techniques. In this way, the results of the models can be obtained in a relatively short period of time.
Statistical analysis was carried out using IBM SPSS Statistic 21 and R-4.1.2.

4.5. Ethical Considerations

The request and handling of aggregate data guarantee the confidentiality of the same, given that no references are made to personal data, only to aggregate data by health area. The information has been provided by the Vigo Health Area (Servizo Galego de Saúde).

5. Conclusions

In this study, a decrease was observed in infectious/contagious diseases transmitted between individuals through the air and through the fecal–oral route, and a slight decrease was observed in infections transmitted via other mechanisms (such as urinary tract infections). In parallel, during these months, a notable decline was found in the global prescription of antibiotics. The analysis performed using segmented regression demonstrated the significant effect of the pandemic on both time series, which was higher than the prior seasonal variations experienced.
Specific studies should attempt to determine which non-pharmacological measures are more successful at containing the transmission of infectious illnesses. This may prevent the inappropriate prescription of antibiotics, which is fundamental for preventing future resistance and essential to improving the sustainability of the healthcare system, as well as for reducing costs and iatrogenesis.

Supplementary Materials

The following are available online at https://www.mdpi.com/article/10.3390/antibiotics11020264/s1, File S1: International Classification of Primary Care—2nd edition (ICPC-2) [48].

Author Contributions

Contributions: Conceptualization, A.C., M.V.M.-M., and J.R.; formal analysis, J.R., A.C., and J.M.I.-M.; writing—original draft preparation, M.V.D.-M., A.G.-C., C.G.-C., R.V.-M., and C.B.-A.; writing—review and editing, A.C., M.V.M.-M., and I.R.-G.-S. All authors have read and agreed to the published version of the manuscript.

Funding

This research was funded by ISCIII Network for Research on Chronicity, Primary Care, and Health Promotion (grant number "RD21/0016/0022", co-funded by FEDER, "A way to make Europe”).

Institutional Review Board Statement

The study was conducted in accordance with the Declaration of Helsinki. Ethical review and approval were waived for this study because the provider used anonymous and aggregated data, in accordance with the procedures established internally in accordance with health data protection regulations.

Informed Consent Statement

This report does not contain patient identifiable data. Consent from individuals involved in this study was not required.

Data Availability Statement

Requests for any underlying data cannot be granted by the authors because the data were acquired according to a Galician Health Service internal procedure; therefore, conditions of use (and further use) apply.

Acknowledgments

We wish to thank: the Preventive Activity and Health Promotion Research Network (Red de Prevención y Promoción de la Salud en Atención Primaria/RedIAPP), and the Carlos III Institute of Health, Spain.

Conflicts of Interest

The authors declare no conflict of interest.

Abbreviations

ICPC-2International Classification of Primary Care
WHOWorld Health Organization
ATCAnatomical Therapeutic Chemical Classification System
ITSInterrupted Time Series Analyses
SARS-CoV-2Severe Acute Respiratory Syndrome Coronavirus 2
PRANNational Plan Against Resistance to Antibiotics
DHDDefined Daily Dose (DDD) per 1000 Inhabitants per Day
RSVRespiratory Syncytial Virus
ECDCEuropean Center for Disease Prevention and Control
COVIDCoronavirus Disease
EDODiseases of Mandatory Declaration (Enfermedades de Declaración Obligatoria)
SNSNational Healthcare System (Sistema Nacional de Salud)
EHRElectronic Health Record

Appendix A. Fitted Segmented Regression Models

All the models follow the formula lm (formula = y ~ f + f:x, where lm represents the lineal model, y is the outcome, f is the coefficient, f the categorized time, and f:time represents the interaction between time and the categorized time (in accordance with the estimated point cuts).
Table A1. General episodes from Chapter A.
Table A1. General episodes from Chapter A.
EstimateSDp-Value
Global Intercept4.01(1.09)0.002
(0–7]Intercept---
Slope0.76(0.28)0.013
(7–9]Intercept3.10(6.77)0.652
Slope−0.54(0.83)0.519
(9–12]Intercept−22.78(9.23)0.023
Slope2.30(0.83)0.012
(12–19]Intercept0.79(3.75)0.835
Slope−0.06(0.22)0.803
(19–25]Intercept−33.18(8.27)0.001
Slope1.51(0.37)0.001
(25–29]Intercept13.75(10.11)0.189
Slope−0.52(0.37)0.181
(29–32]Intercept−54.95(25.80)0.046
Slope1.76(0.83)0.048
(32–36]Intercept141.30(18.18)0.000
Slope−3.72(0.53)0.000
Adjusted R-squared: 0.9351.
Table A2. Respiratory and otorhinolaryngological episodes from Chapters R and H.
Table A2. Respiratory and otorhinolaryngological episodes from Chapters R and H.
EstimateSDp-Value
Global Intercept38.62(2.38)0.000
(0–9]Intercept---
Slope−2.81(0.42)0.000
(9–15]Intercept−22.93(12.75)0.086
Slope1.63(1.04)0.130
(15–20]Intercept37.90(13.99)0.013
Slope−3.38(0.78)0.000
(20–23]Intercept−126.01(51.10)0.022
Slope5.12(2.32)0.038
(23–28]Intercept450.20(37.51)0.000
Slope−17.50(1.47)0.000
(28–32]Intercept−56.99(31.23)0.082
Slope0.72(1.04)0.495
(32–36]Intercept70.53(50.68)0.178
Slope−2.85(1.47)0.065
Adjusted R-squared: 0.9507.
Table A3. All other chapters.
Table A3. All other chapters.
EstimateSDp-Value
Global Intercept0.39(0.04)0.000
(0–6]Intercept---
Slope−0.01(0.01)0.299
(6–14]Intercept−0.44(0.06)0.000
Slope0.03(0.01)0.000
(14–18]Intercept0.74(0.17)0.000
Slope−0.04(0.01)0.001
(18–23]Intercept−0.36(0.23)0.124
Slope0.01(0.01)0.333
(23–28]Intercept−1.19(0.39)0.005
Slope0.05(0.02)0.002
(28–31]Intercept0.28(0.44)0.539
Slope−0.01(0.02)0.415
(31–36]Intercept−3.43(0.36)0.000
Slope0.10(0.01)0.000
Adjusted R-squared: 0.9437.
Table A4. DHD in penicillins (J01C).
Table A4. DHD in penicillins (J01C).
EstimateSDp-Value
Global Intercept11.65(0.75)0.000
(0–7]Intercept---
Slope−0.11(0.19)0.571
(7–15]Intercept−12.27(1.54)0.000
Slope0.86(0.12)0.000
(15–19]Intercept5.57(4.42)0.220
Slope−0.55(0.26)0.043
(19–23]Intercept−42.24(7.81)0.000
Slope1.72(0.36)0.000
(23–28]Intercept29.96(9.25)0.004
Slope−1.25(0.36)0.002
(28–36]Intercept−9.37(3.43)0.012
Slope0.00(0.10)0.970
Adjusted R-squared: 0.9460.
Table A5. DHD in cephalosporins (J01D).
Table A5. DHD in cephalosporins (J01D).
EstimateSDp-Value
Global Intercept1.01(0.09)0.000
(0–7]Intercept---
Slope−0.04(0.02)0.160
(7–14]Intercept−1.02(0.22)0.000
Slope0.06(0.02)0.004
(14–20]Intercept1.11(0.34)0.003
Slope−0.08(0.02)0.000
(20–28]Intercept−1.80(0.47)0.001
Slope0.07(0.02)0.001
(28–36]Intercept−1.18(0.43)0.011
Slope0.01(0.01)0.290
Adjusted R-squared: 0.8595.
Table A6. DHD in macrolides (J01F).
Table A6. DHD in macrolides (J01F).
EstimateSDp-Value
Global Intercept3.11(0.16)0.000
(0–9]Intercept---
Slope−0.22(0.03)0.000
(9–12]Intercept−0.68(1.71)0.693
Slope−0.04(0.15)0.811
(12–20]Intercept3.64(0.58)0.000
Slope−0.31(0.03)0.000
(20–26]Intercept−10.03(1.59)0.000
Slope0.38(0.07)0.000
(26–29]Intercept22.37(4.16)0.000
Slope−0.88(0.15)0.000
(29–36]Intercept−4.83(1.11)0.000
Slope0.07(0.03)0.053
Adjusted R-squared: 0.9284.
Table A7. DHD in other J01.
Table A7. DHD in other J01.
EstimateSDp-Value
Global Intercept12.32(0.51)0.000
(0–7]Intercept---
Slope−0.06(0.13)0.651
(7–9]Intercept−3.37(3.17)0.299
Slope0.08(0.39)0.839
(9–17]Intercept−1.43(1.46)0.338
Slope0.09(0.10)0.413
(17–20]Intercept19.06(4.59)0.000
Slope−1.12(0.25)0.000
(20–23]Intercept1.98(8.58)0.819
Slope−0.14(0.39)0.713
(23–29]Intercept59.36(4.56)0.000
Slope−2.40(0.17)0.000
(29–36]Intercept1.65(2.81)0.563
Slope−0.25(0.08)0.008
Adjusted R-squared: 0.9614.

References

  1. Fleming, A. Penicillin: Nobel Lecture. 1945. Available online: https://www.nobelprize.org/uploads/2018/06/fleming-lecture.pdf (accessed on 20 November 2021).
  2. Williams, M.A.; Wyner, S.N. Antimicrobial Resistance: Facing the Rise of a Global Threat. Rev. Estadounidense Salud Pública 2019, 109, 521–522. [Google Scholar] [CrossRef]
  3. World Health Organization. WHO Publishes List of Bacteria for Which New Antibiotics Are Urgently Needed. 2017. Available online: http://www.who.int/mediacentre/news/releases/2017/bacteria-antibiotics-needed/en (accessed on 30 November 2021).
  4. Alós, J.I. Resistencia bacteriana a los antibióticos: Una crisis global. Enferm. Infecc. Microbiol. Clin. 2015, 33, 692–699. [Google Scholar] [CrossRef] [PubMed]
  5. Klevens, R.M.; Morrison, M.A.; Nadle, J.; Petit, S.; Gershman, K.; Ray, S.; Harrison, L.H.; Lynfield, R.; Dumyati, G.; Townes, J.M.; et al. Invasive Methicillin-Resistant Staphylococcus aureus Infections in the United States. JAMA 2007, 298, 1763–1771. [Google Scholar] [CrossRef] [PubMed]
  6. World Health Organization. Antibiotic Resistance: Synthesis of Recommendations by Expert Policy Groups/Alliance for the Prudent Use of Antibiotics. 2001. Available online: https://apps.who.int/iris/handle/10665/66895 (accessed on 25 November 2021).
  7. Ministerio de Sanidad, Consumo y Bienestar Social. Plan Nacional Frente a la Resistencia a Los Antibióticos 2019–2021. Madrid: Agencia Española de Medicamentos y Productos Sanitarios; 2019; NIPO 733-19-002-6. Available online: https://www.resistenciaantibioticos.es/es/system/files/field/files/pran_2019-2021_0.pdf?file=1&type=node&id=497&force=0 (accessed on 5 December 2021).
  8. European Center for Disease Prevention and Control. Data from the ECDC Surveillance Atlas-Antimicrobial Resistance. 2020. Available online: https://www.ecdc.europa.eu/en/antimicrobial-resistance/surveillance-and-disease-data/data-ecdc (accessed on 5 December 2021).
  9. Vilanova Juanola, J.M. Guía práctica de utilización de antimicrobianos para el tratamiento de las infecciones bacterianas más prevalentes. Pediatr. Integral. 2014, 18, 115–123. Available online: https://www.pediatriaintegral.es/numeros-anteriores/publicacion-2014-03/guia-practica-de-utilizacion-de-antimicrobianos-para-el-tratamiento-de-las-infecciones-bacterianas-mas-prevalentes/ (accessed on 6 December 2021).
  10. Ballesteros, M.R. Tratamiento Empírico de Infecciones Prevalentes en Atención Primaria. Introducción. En AEPap ed. Curso de Actualización Pediatría; Lúa Ediciones 3.0: Madrid, Spain, 2015; pp. 17–20. Available online: https://www.aepap.org/sites/default/files/cursoaepap2015p21-30.pdf (accessed on 3 December 2021).
  11. Pinzón-Fernández, M.V.; Zúñiga-Cerón, L.F.; Saavedra-Torres, J.S. Infección del tracto urinario en niños, una de las enfermedades infecciosas más prevalentes. Rev. Fac. Med. 2018, 66, 393–398. Available online: http://www.scielo.org.co/pdf/rfmun/v66n3/0120-0011-rfmun-66-03-393.pdf (accessed on 5 December 2021). [CrossRef]
  12. García Vera, C. Infecciones urinarias. Rev. Pediatr. Aten. Primaria 2013, 22, 71–80. Available online: https://pap.es/articulo/11816/infecciones-urinarias (accessed on 6 December 2021). [CrossRef][Green Version]
  13. Gobierno de España. Boletín Oficial del Estado. Real Decreto 463/2020, de 14 de Marzo, Por El que se Declara el Estado de Alarma Para la Gestión de la Situación de Crisis Sanitaria Ocasionada Por el COVID-19. «BOE» Núm. 67, de 14 de marzo de 2020, páginas 25390–25400 (11 Págs.), I. Disposiciones Generales. Available online: https://www.boe.es/eli/es/rd/2020/03/14/463 (accessed on 22 July 2020).
  14. Dirección Xeral de Asistencia Sanitaria, Servizo Galego de Saúde, Consellería de Sanidade. Plan de Reactivación Asistencial en Atención Primaria en Relación coa Infección Polo Virus SARS-CoV-2. Available online: https://coronavirus.sergas.gal/Contidos/Documents/329/Plan%20reactivación%20asistencial%20AP%20V40_7.pdf (accessed on 21 December 2020).
  15. Plan Galego de Vacinación Fronte ao SARS-CoV-2-Coronavirus. Available online: https://coronavirus.sergas.gal/Contidos/Plan-galego-vacinacion-COVID (accessed on 15 December 2021).
  16. Protocolo de Uso Das Probas Rápidas de Antíxenos nos Servizos de Urxencias Hospitalarios e nos Puntos de Atención Continuada de Atención Primaria do Servizo Galego de Saúde. Available online: https://coronavirus.sergas.gal/Contidos/Documents/718/Protocolo%20uso%20antixenos%20nos%20SUH%20e%20PACs%20DEF_final.pdf (accessed on 15 December 2021).
  17. Sistema de Vigilancia de la Gripe en España. Available online: https://vgripe.isciii.es/inicio.do;jsessionid=B4F634CEB004B8600CDDAB6C86E0FF42 (accessed on 15 December 2021).
  18. Katz, S.E.; Spencer, H.; Zhang, M.; Banerjee, R. Impact of the COVID-19 Pandemic on Infectious Diagnoses and Antibiotic Use in Pediatric Ambulatory Practices. J.Pediatric. Infect. Dis. Soc. 2021, 10, 62–64. [Google Scholar] [CrossRef]
  19. Andrews, A.; Budd, E.L.; Hendrick, A.; Ashiru-Oredope, D.; Beech, E.; Hopkins, S.; Gerver, S.; Muller-Pebody, B.; The Amu Covid-Stakeholder Group. Surveillance of Antibacterial Usage during the COVID-19 Pandemic in England, 2020. Antibiotics 2021, 10, 841. [Google Scholar] [CrossRef]
  20. Rossato, L.; Negrão, F.J.; Simionatto, S. Could the COVID-19 pandemic aggravate antimicrobial resistance? Am. J. Infect. Control 2020, 48, 1129–1130. [Google Scholar] [CrossRef]
  21. Rezel-Potts, E.; L’Esperance, V.; Gulliford, M.C. Antimicrobial stewardship in the UK during the COVID-19 pandemic: A population-based cohort study and interrupted time-series analysis. Br. J. Gen. Pract. 2021, 71, e331–e338. [Google Scholar] [CrossRef]
  22. Zhu, N.; Aylin, P.; Rawson, T.; Gilchrist, M.; Majeed, A.; Holmes, A. Investigating the impact of COVID-19 on primary care antibiotic prescribing in North West London across two epidemic waves. Clin. Microbiol. Infect. 2021, 27, 762–768. [Google Scholar] [CrossRef] [PubMed]
  23. Peñalva, G.; Benavente, R.S.; Pérez-Moreno, M.A.; Pérez-Pacheco, M.D.; Pérez-Milena, A.; Murcia, J.; Cisneros, J.M. Effect of the coronavirus disease 2019 pandemic on antibiotic use in primary care. Clin. Microbiol. Infect. 2021, 27, 1058–1060. [Google Scholar] [CrossRef]
  24. Polus, S.; Pieper, D.; Burns, J.; Fretheim, A.; Ramsay, C.; Higgins, J.P.; Mathes, T.; Pfadenhauer, L.M.; Rehfuess, E.A. Heterogeneity in application, design, and analysis characteristics was found for controlled before-after and interrupted time series studies included in Cochrane reviews. J. Clin. Epidemiol. 2017, 91, 56–69. [Google Scholar] [CrossRef] [PubMed]
  25. Hategeka, C.; Ruton, H.; Karamouzian, M.; Lynd, L.D.; Law, M.R. Use of interrupted time series methods in the evaluation of health system quality improvement interventions: A methodological systematic review. BMJ Glob. Health 2020, 5, e003567. [Google Scholar] [CrossRef]
  26. Instituto Nacional de Estadística. INEbase. Padrón Municipal. Available online: https://www.ine.es/dyngs/INEbase/listaoperaciones.htm (accessed on 10 December 2021).
  27. Yang, D.D.; Ouldali, N.; Gajdos, V.; Thomas-Sertillanges, R.; Vasante, L.; Skurnik, D.; Angoulvant, F. Common Pediatric Respiratory Infectious Diseases as Possible Early Predictor for New Wave of Severe Acute Respiratory Syndrome Coronavirus 2 Infections. Clin. Infect. Dis. 2021, 73, 358–359. [Google Scholar] [CrossRef] [PubMed]
  28. Molina Gutiérrez, M.Á.; Ruiz Domínguez, J.A.; Bueno Barriocanal, M.; de Miguel Lavisier, B.; López López, R.; Martín Sánchez, J.; de Ceano-Vivas la Calle, M. Impacto de la pandemia COVID-19 en urgencias: Primeros hallazgos en un hospital de Madrid [Impact of the COVID-19 pandemic on emergency department: Early findings from a hospital in Madrid]. An. Pediatría 2020, 93, 313–322. [Google Scholar] [CrossRef] [PubMed]
  29. Haddadin, Z.; Schuster, J.E.; Spieker, A.J.; Rahman, H.; Blozinski, A.; Stewart, L.; Campbell, A.P.; Lively, J.Y.; Michaels, M.G.; Williams, J.V.; et al. Acute Respiratory Illnesses in Children in the SARS-CoV-2 Pandemic: Prospective Multicenter Study. Pediatrics 2021, 148, 1462. [Google Scholar] [CrossRef]
  30. Rius-Peris, J.M.; Lucas-García, J.; García-Peris, M.; Escrivá Tomás, P.; Sequí-Canet, J.M.; González de Dios, J.; En Representación del Grupo Investigador Proyecto ECEALHBA. Pandemia por COVID-19 y su repercusión sobre las hospitalizaciones por bronquiolitis en el Centro y Este de España [Consequences of COVID-19 pandemic over acute bronchiolitis hospitalizations in the center and east of Spain]. An. Pediatr. 2021, 95, 345–353. [Google Scholar] [CrossRef]
  31. Britton, P.N.; Hu, N.; Saravanos, G.; Shrapnel, J.; Davis, J.; Snelling, T.; Dalby-Payne, J.; Kesson, A.M.; Wood, N.; Macartney, K.; et al. COVID-19 public health measures and respiratory syncytial virus. Lancet Child Adolesc. Health 2020, 4, e42–e43. [Google Scholar] [CrossRef]
  32. Jones, N. How COVID-19 is changing the cold and flu season. Nature 2020, 588, 388–390. [Google Scholar] [CrossRef]
  33. Hatoun, J.; Correa, E.T.; Donahue, S.M.A.; Vernacchio, L. Social Distancing for COVID-19 and Diagnoses of Other Infectious Diseases in Children. Pediatrics 2020, 146, 6460. [Google Scholar] [CrossRef] [PubMed]
  34. Lazzerini, M.; Barbi, E.; Apicella, A.; Marchetti, F.; Cardinale, F.; Trobia, G. Delayed access or provision of care in Italy resulting from fear of COVID-19. Lancet Child Adolesc. Health 2020, 4, e10–e11. [Google Scholar] [CrossRef]
  35. Al-Hadidi, S.H.; Alhussain; Abdel Hadi, H.; Johar, A.; Yassine, H.M.; Al Thani, A.A.; Eltai, N.O. The Spectrum of Antibiotic Prescribing During COVID-19 Pandemic: A Systematic Literature Review. Microb. Drug Resist. 2021, 27, 1705–1725. [Google Scholar] [CrossRef] [PubMed]
  36. Gonzalez-Zorn, B. Antibiotic use in the COVID-19 crisis in Spain. Clin. Microbiol. Infect. 2021, 27, 646–647. [Google Scholar] [CrossRef]
  37. Yaacoub, S.; Lanoy, E.; Hider-Mlynarz, K.; Saleh, N.; Maison, P. Trend of antibiotic consumption and its association with influenza-like illnesses in France between 2004 and 2018. Eur. J. Public Health 2021, 31, 1137–1143. [Google Scholar] [CrossRef]
  38. Calle-Miguel, L.; Modroño Riaño, G.; Iglesias Carbajo, A.I.; Alonso Álvarez, M.A.; Vicente Martínez, C.; Solís Sánchez, G. Variabilidad entre áreas sanitarias en el consumo extrahospitalario de antibióticos de uso sistémico en la población pediátrica del Principado de Asturias, España (2005–2018) [Variability between health areas in antibiotic consumption among pediatric outpatients of Principado de Asturias, Spain (2005–2018)]. Rev. Esp. Quimioter. 2021, 34, 107–114. (In Spanish) [Google Scholar] [CrossRef]
  39. García de Acevedo, C.B.; Adame, M.G.; Aguilar, M.R.; Arias, G.M.I.; Carbajosa, M.J.; Miranda, G.A.; Muñoz, H.K. Cutaneous manifestations secondary to the COVID-19 pandemic. Acta Med. Grupo Angeles 2021, 19, s27–s36. [Google Scholar] [CrossRef]
  40. Han, S.M.; Greenfield, G.; Majeed, A.; Hayhoe, B. Impact of Remote Consultations on Antibiotic Prescribing in Primary Health Care: Systematic Review. J. Med. Internet Res. 2020, 22, e23482. [Google Scholar] [CrossRef]
  41. Ray, K.N.; Shi, Z.; Gidengil, C.A.; Poon, S.J.; Uscher-Pines, L.; Mehrotra, A. Antibiotic Prescribing During Pediatric Direct-to-Consumer Telemedicine Visits. Pediatrics 2019, 143, e20182491. [Google Scholar] [CrossRef]
  42. Penza, K.S.; Murray, M.A.; Myers, J.F.; Maxson, J.; Furst, J.W.; Pecina, J.L. Treating pediatric conjunctivitis without an exam: An evaluation of outcomes and antibiotic usage. J. Telemed. Telecare. 2020, 26, 73–78. [Google Scholar] [CrossRef]
  43. Högberg, L.D.; Vlahović-Palčevski, V.; Pereira, C.; Weist, K.; Monnet, D.L. Decrease in Community Antibiotic Consumption during the COVID-19 Pandemic, EU/EEA, 2020. Eurosurveillance. Available online: https://www.eurosurveillance.org/content/10.2807/1560-7917.ES.2021.26.46.2101020 (accessed on 15 December 2021).
  44. European Centre for Disease Prevention and Control (ECDC). Seasonal Influenza. Annual Epidemiological Report for 2020–2021. Stockholm: ECDC. 2021. Available online: https://www.ecdc.europa.eu/en/publications-data/seasonal-influenza-annual-epidemiological-report-2020-2021 (accessed on 15 December 2021).
  45. Nickbakhsh, S.; Mair, C.; Matthews, L.; Reeve, R.; Johnson, P.C.D.; Thorburn, F.; Von Wissmanne, B.; Reynoldsf, A.; McMenaminf, J.; Gunsong, R.N. Virus-virus interactions impact the population dynamics of influenza and the common cold. Proc. Natl. Acad. Sci. USA 2019, 116, 27142–27150. [Google Scholar] [CrossRef] [PubMed]
  46. Bernal, J.L.; Soumerai, S.; Gasparrini, A. A methodological framework for model selection in interrupted time series studies. J. Clin. Epidemiol. 2018, 103, 82–91. [Google Scholar] [CrossRef] [PubMed]
  47. Turner, S.L.; Karahalios, A.; Forbes, A.B.; Taljaard, M.; Grimshaw, J.M.; Cheng, A.C.; Bero, L.; McKenzie, J.E. Design characteristics and statistical methods used in interrupted time series studies evaluating public health interventions: A review. J. Clin. Epidemiol. 2020, 122, 1–11. [Google Scholar] [CrossRef] [PubMed]
  48. World Organization of National Colleges, Academies, and Academic Associations of General Practitioners/Family Physicians. ICPC-2-R: International Classification of Primary Care; Oxford University Press: Oxford, UK, 2005. [Google Scholar]
Figure 1. Segmented regression of the number of aggregated episodes. (a) General episodes from Chapter A. (b) Respiratory and otorhinolaryngological episodes from Chapters R and H.
Figure 1. Segmented regression of the number of aggregated episodes. (a) General episodes from Chapter A. (b) Respiratory and otorhinolaryngological episodes from Chapters R and H.
Antibiotics 11 00264 g001
Figure 2. Segmented regression of the number of DHD. (a) DHD in penicillins (J01C). (b) DHD in macrolides (J01F).
Figure 2. Segmented regression of the number of DHD. (a) DHD in penicillins (J01C). (b) DHD in macrolides (J01F).
Antibiotics 11 00264 g002
Figure 3. Segmented regression of the number of DHD in other antibiotics.
Figure 3. Segmented regression of the number of DHD in other antibiotics.
Antibiotics 11 00264 g003
Table 1. Number of episodes by ICPC-2 chapter, five-year age group, and year.
Table 1. Number of episodes by ICPC-2 chapter, five-year age group, and year.
00–0405–0910–14
ICPC-2 Chapters201820192020201820192020201820192020
A General and Unspecified324321712793140790824284014251807
B Blood3 452122
D Digestive15011502476731712302639651297
F Eye20111874852677641398468409274
H Ear31963242122712651070608877681536
K Cardiovascular 1 1 111
L Musculoskeletal12113213
N Neurological82737732 1
R Respiratory11,33012,9274956409537302174302226221932
S Skin5276454551264128290410351061780
U Urological400338311280250206165137111
X Female genital262417734202416
Y Male genital241291195128114108514435
Total22,48723,04411,286986787257140668360605791
Table 2. Number of DHD by therapeutic subgroup and year.
Table 2. Number of DHD by therapeutic subgroup and year.
Year
N. DHD by Therapeutic Subgroup201820192020
J01AA Tetracyclines0.180.270.37
J01CA Penicillins with extended spectrum5.174.792.13
J01CE Beta-lactamase-sensitive penicillins0.130.110.05
J01CF Beta-lactamase-resistant penicillins0.010.000.00
J01CR Combinations of penicillins, including beta-lactamase inhibitors4.103.231.90
J01DB 1st-generation cephalosporins0.010.010.00
J01DC 2nd-generation cephalosporins0.560.550.31
J01DD 3rd-generation cephalosporins0.160.160.14
J01EA Trimethoprim and derivatives0.000.000.00
J01EE Combinations of sulfonamides and trimethoprim0.060.060.05
J01FA Macrolides1.991.680.93
J01FF Lincosamides0.010.000.00
J01MA Fluoroquinolones0.010.000.00
J01XC Steroid antibiotics0.000.000.00
J01XE Nitrofuran derivatives0.000.000.00
J01XX Other antibiotics0.030.030.03
Publisher’s Note: MDPI stays neutral with regard to jurisdictional claims in published maps and institutional affiliations.

Share and Cite

MDPI and ACS Style

Clavería, A.; Delgado-Martín, M.V.; Goicoechea-Castaño, A.; Iglesias-Moreno, J.M.; García-Cendón, C.; Martín-Miguel, M.V.; Villarino-Moure, R.; Barreiro-Arceiz, C.; Rey-Gómez-Serranillos, I.; Roca, J. Interrupted Time Series Analysis of Pediatric Infectious Diseases and the Consumption of Antibiotics in an Atlantic European Region during the SARS-CoV-2 Pandemic. Antibiotics 2022, 11, 264. https://doi.org/10.3390/antibiotics11020264

AMA Style

Clavería A, Delgado-Martín MV, Goicoechea-Castaño A, Iglesias-Moreno JM, García-Cendón C, Martín-Miguel MV, Villarino-Moure R, Barreiro-Arceiz C, Rey-Gómez-Serranillos I, Roca J. Interrupted Time Series Analysis of Pediatric Infectious Diseases and the Consumption of Antibiotics in an Atlantic European Region during the SARS-CoV-2 Pandemic. Antibiotics. 2022; 11(2):264. https://doi.org/10.3390/antibiotics11020264

Chicago/Turabian Style

Clavería, Ana, María Victoria Delgado-Martín, Ana Goicoechea-Castaño, José Manuel Iglesias-Moreno, Clara García-Cendón, María Victoria Martín-Miguel, Rita Villarino-Moure, Carolina Barreiro-Arceiz, Isabel Rey-Gómez-Serranillos, and Javier Roca. 2022. "Interrupted Time Series Analysis of Pediatric Infectious Diseases and the Consumption of Antibiotics in an Atlantic European Region during the SARS-CoV-2 Pandemic" Antibiotics 11, no. 2: 264. https://doi.org/10.3390/antibiotics11020264

APA Style

Clavería, A., Delgado-Martín, M. V., Goicoechea-Castaño, A., Iglesias-Moreno, J. M., García-Cendón, C., Martín-Miguel, M. V., Villarino-Moure, R., Barreiro-Arceiz, C., Rey-Gómez-Serranillos, I., & Roca, J. (2022). Interrupted Time Series Analysis of Pediatric Infectious Diseases and the Consumption of Antibiotics in an Atlantic European Region during the SARS-CoV-2 Pandemic. Antibiotics, 11(2), 264. https://doi.org/10.3390/antibiotics11020264

Note that from the first issue of 2016, this journal uses article numbers instead of page numbers. See further details here.

Article Metrics

Back to TopTop