Synthesis of Alkyne-Substituted Dihydropyrrolones as Bacterial Quorum-Sensing Inhibitors of Pseudomonas aeruginosa
Abstract
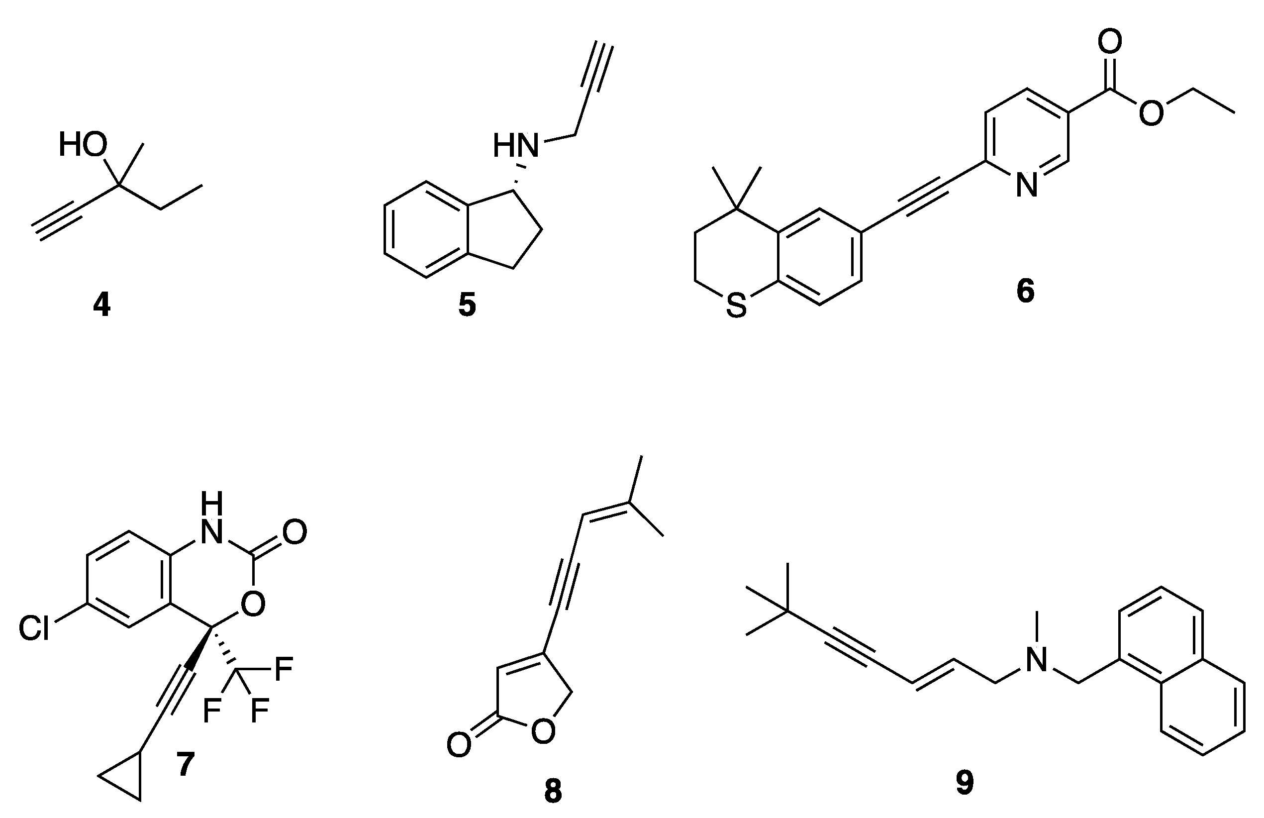
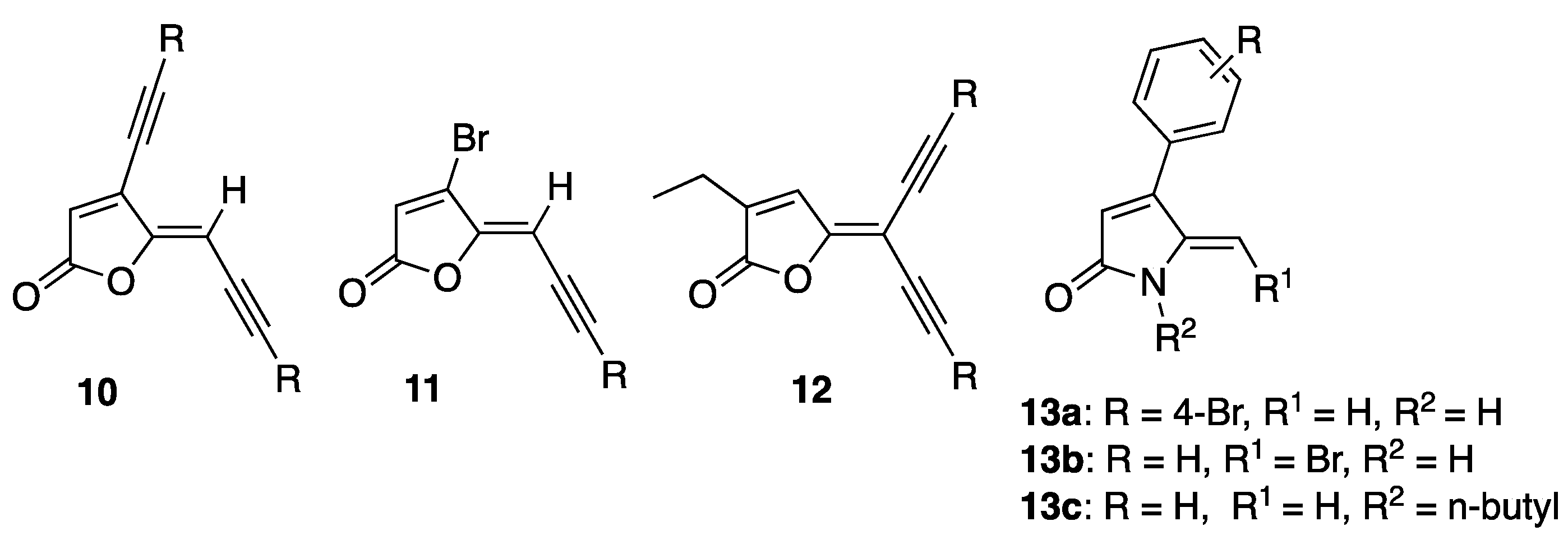
:1. Introduction
2. Results and Discussion
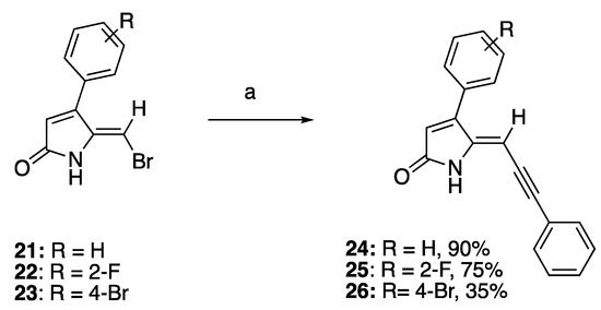
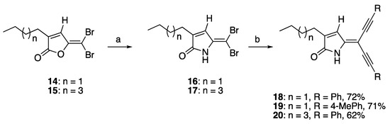
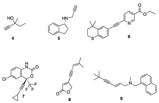
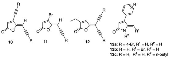
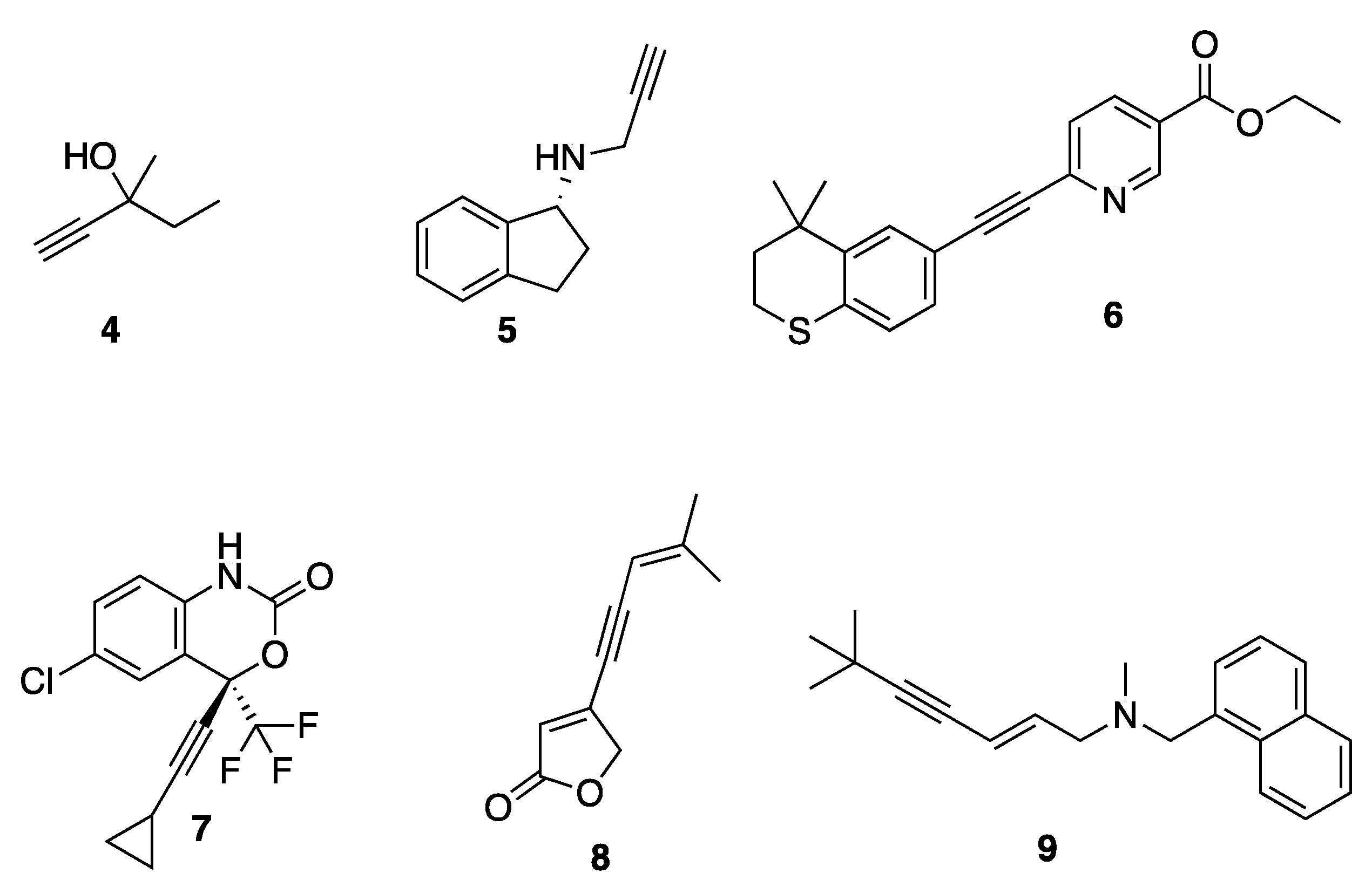
2.1. Synthesis
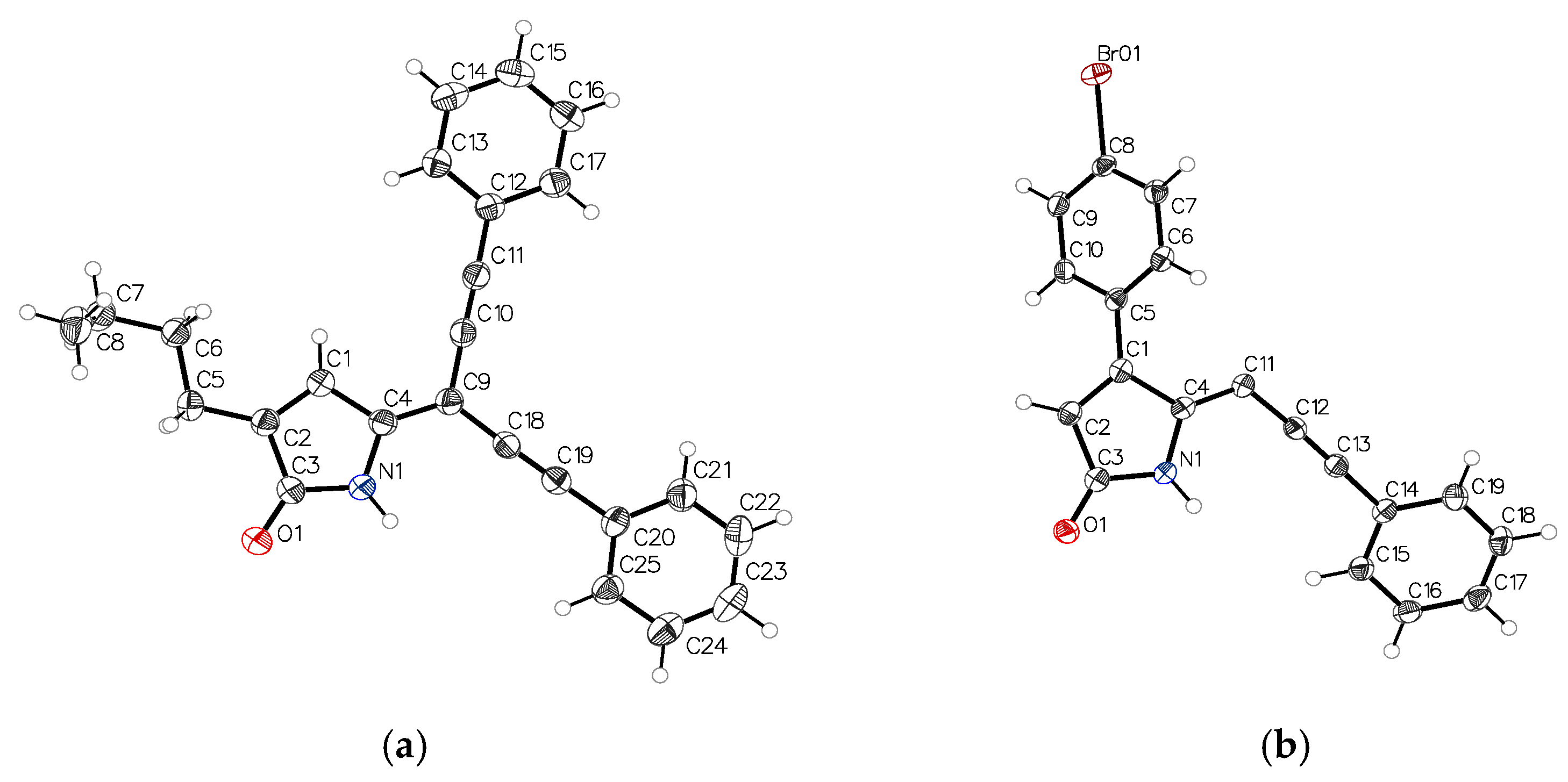
2.2. X-ray Analysis of Sonogashira DHP Compounds
2.3. QS Inhibition
3. Experimental
3.1. Quorum-Sensing Inhibition Assay for PAMH602
3.2. Methodology for X-ray Crystallography
3.3. Synthesis Procedures
3.3.1. General Information
3.3.2. Synthesis of Brominated DHPs’ Intermediates 30–35
3.3.3. Sonogashira Coupling Reaction Procedure
3.4. Compounds’ Full Characterizations
DHP Acetylene Analogues
4. Conclusions
Supplementary Materials
Author Contributions
Funding
Data Availability Statement
Acknowledgments
Conflicts of Interest
References
- Welsh, M.A.; Blackwell, H.E. Chemical probes of quorum sensing: From compound development to biological discovery. FEMS Microbiol. Rev. 2016, 40, 774–794. [Google Scholar] [CrossRef] [PubMed] [Green Version]
- Blair, J.M.; Webber, M.A.; Baylay, A.J.; Ogbolu, D.O.; Piddock, L.J. Molecular mechanisms of antibiotic resistance. Nat. Rev. Microbiol. 2015, 13, 42–51. [Google Scholar] [CrossRef] [PubMed]
- Fuqua, C.; Greenberg, E.P. Listening in on bacteria: Acyl-homoserine lactone signalling. Nat. Rev. Mol. Cell Biol. 2002, 3, 685–695. [Google Scholar] [CrossRef] [PubMed]
- Manny, A.J.; Kjelleberg, S.; Kumar, N.; de Nys, R.; Read, R.W.; Steinberg, P. Reinvestigation of the sulfuric acid-catalysed cyclisation of brominated 2-alkyllevulinic acids to 3-alkyl-5-methylene-2 (5H)-furanones. Tetrahedron 1997, 53, 15813–15826. [Google Scholar] [CrossRef]
- Hentzer, M.; Riedel, K.; Rasmussen, T.B.; Heydorn, A.; Andersen, J.B.; Parsek, M.R.; Rice, S.A.; Eberl, L.; Molin, S.; Høiby, N. Inhibition of quorum sensing in Pseudomonas aeruginosa biofilm bacteria by a halogenated furanone compound. Microbiology 2002, 148, 87–102. [Google Scholar] [CrossRef] [Green Version]
- Hentzer, M.; Wu, H.; Andersen, J.B.; Riedel, K.; Rasmussen, T.B.; Bagge, N.; Kumar, N.; Schembri, M.A.; Song, Z.; Kristoffersen, P. Attenuation of Pseudomonas aeruginosa virulence by quorum sensing inhibitors. EMBO J. 2003, 22, 3803–3815. [Google Scholar] [CrossRef]
- Kutty, S.K.; Barraud, N.; Pham, A.; Iskander, G.; Rice, S.A.; Black, D.S.; Kumar, N. Design, synthesis, and evaluation of fimbrolide–nitric oxide donor hybrids as antimicrobial agents. J. Med. Chem. 2013, 56, 9517–9529. [Google Scholar] [CrossRef]
- Wagner, S.; Sommer, R.; Hinsberger, S.; Lu, C.; Hartmann, R.W.; Empting, M.; Titz, A. Novel strategies for the treatment of Pseudomonas aeruginosa infections. J. Med. Chem. 2016, 59, 5929–5969. [Google Scholar] [CrossRef]
- Li, W.-R.; Lin, S.T.; Hsu, N.-M.; Chern, M.-S. Efficient total synthesis of pulchellalactam, a CD45 protein tyrosine phosphatase inhibitor. J. Org. Chem. 2002, 67, 4702–4706. [Google Scholar] [CrossRef]
- Mase, N.; Nishi, T.; Takamori, Y.; Yoda, H.; Takabe, K. First synthesis of (R)-(−)-5-hydroxy-3-methyl-3-pyrrolin-2-one (jatropham) by lipase-catalyzed kinetic resolution. Tetrahedron Asymmetry 1999, 10, 4469–4471. [Google Scholar] [CrossRef]
- Yates, E.A.; Philipp, B.; Buckley, C.; Atkinson, S.; Chhabra, S.R.; Sockett, R.E.; Goldner, M.; Dessaux, Y.; Cámara, M.; Smith, H. N-acylhomoserine lactones undergo lactonolysis in a pH-, temperature-, and acyl chain length-dependent manner during growth of Yersinia pseudotuberculosis and Pseudomonas aeruginosa. Infect. Immun. 2002, 70, 5635–5646. [Google Scholar] [CrossRef] [PubMed] [Green Version]
- Byers, J.T.; Lucas, C.; Salmond, G.P.; Welch, M. Nonenzymatic turnover of an Erwinia carotovora quorum-sensing signaling molecule. J. Bacteriol. 2002, 184, 1163–1171. [Google Scholar] [CrossRef] [PubMed] [Green Version]
- Lyons, T.; Gahan, C.G.; O’Sullivan, T.P. Structure–activity relationships of furanones, dihydropyrrolones and thiophenones as potential quorum sensing inhibitors. Future Med. Chem. 2020, 12, 1925–1943. [Google Scholar] [CrossRef] [PubMed]
- Almohaywi, B.; Taunk, A.; Wenholz, D.S.; Nizalapur, S.; Biswas, N.N.; Ho, K.K.; Rice, S.A.; Iskander, G.; Black, D.S.; Griffith, R. Design and synthesis of lactams derived from mucochloric and mucobromic acids as Pseudomonas aeruginosa quorum sensing inhibitors. Molecules 2018, 23, 1106. [Google Scholar] [CrossRef] [PubMed] [Green Version]
- Almohaywi, B.; Yu, T.T.; Iskander, G.; Chan, D.S.; Ho, K.K.; Rice, S.; Black, D.S.; Griffith, R.; Kumar, N. Dihydropyrrolones as bacterial quorum sensing inhibitors. Bioorg. Med. Chem. Lett. 2019, 29, 1054–1059. [Google Scholar] [CrossRef] [PubMed]
- Goh, W.-K.; Gardner, C.R.; Sekhar, K.V.C.; Biswas, N.N.; Nizalapur, S.; Rice, S.A.; Willcox, M.; Black, D.S.; Kumar, N. Synthesis, quorum sensing inhibition and docking studies of 1, 5-dihydropyrrol-2-ones. Bioorg. Med. Chem. 2015, 23, 7366–7377. [Google Scholar] [CrossRef]
- Sabir, S.; Suresh, D.; Subramoni, S.; Das, T.; Bhadbhade, M.; Black, D.S.; Rice, S.A.; Kumar, N. Thioether-linked dihydropyrrol-2-one analogues as PqsR antagonists against antibiotic resistant Pseudomonas aeruginosa. Bioorg. Med. Chem. 2021, 31, 115967. [Google Scholar] [CrossRef]
- Sabir, S.; Yu, T.T.; Kuppusamy, R.; Almohaywi, B.; Iskander, G.; Das, T.; Willcox, M.D.; Black, D.S.; Kumar, N. Novel Seleno-and Thio-urea-Containing Dihydropyrrol-2-one Analogues as Antibacterial Agents. Antibiotics 2021, 10, 321. [Google Scholar] [CrossRef]
- Ahmad, A.; Husain, A.; Khan, S.A.; Mujeeb, M.; Bhandari, A. Design, synthesis, molecular properties and antimicrobial activities of some novel 2 (3H) pyrrolone derivatives. J. Saudi Chem. Soc. 2015, 19, 340–346. [Google Scholar] [CrossRef] [Green Version]
- Husain, A.; Alam, M.M.; Shaharyar, M.; Lal, S. Antimicrobial activities of some synthetic butenolides and their pyrrolone derivatives. J. Enzym. Inhib. Med. Chem. 2010, 25, 54–61. [Google Scholar] [CrossRef] [Green Version]
- Abdelbaset, M.S.; Abdel-Aziz, M.; Abuo-Rahma, G.E.-D.A.; Ramadan, M.; Abdelrahman, M.H. Pyridazinones and pyrrolones as promising Scaffolds in Medicinal Chemistry. J. Adv. Biomed. Pharm. Sci. 2019, 2, 19–28. [Google Scholar] [CrossRef]
- Koz’minykh, V.; Igidov, N.; Zykova, S.; Kolla, V.; Shuklina, N.; Odegova, T. Synthesis and pharmacological activity of 3-hydroxy-1, 5-diaryl-4-pivaloyl-2, 5-dihydro-2-pyrrolones. Pharm. Chem. J. 2002, 36, 188–191. [Google Scholar] [CrossRef]
- Miranda, A.C.; Barbosa, L.C.; Masood, M.A.; Varejao, J.O.; Sordi, M.; Benfatti, C.S.A.; Pimenta, A.L. Inhibitory Effect on Biofilm Formation of Pathogenic Bacteria Induced by Rubrolide Lactam Analogues. ACS Omega 2018, 3, 18475–18480. [Google Scholar] [CrossRef]
- Pereira, U.; Moreira, T.; Barbosa, L.; Maltha, C.; Bomfim, I.; Maranhão, S.; Moraes, M.; Pessoa, C.; Barros-Nepomuceno, F. Rubrolide analogues and their derived lactams as potential anticancer agents. MedChemComm 2016, 7, 345–352. [Google Scholar] [CrossRef]
- Pereira, U.A.; Barbosa, L.C.; Demuner, A.J.; Silva, A.A.; Bertazzini, M.; Forlani, G. Rubrolides as model for the development of new lactones and their aza analogs as potential photosynthesis inhibitors. Chem. Biodivers. 2015, 12, 987–1006. [Google Scholar] [CrossRef]
- Liu, Z.; Zhang, P.; Qin, Y.; Zhang, N.; Teng, Y.; Venter, H.; Ma, S. Design and synthesis of aryl-substituted pyrrolidone derivatives as quorum sensing inhibitors. Bioorg. Chem. 2020, 105, 104376. [Google Scholar] [CrossRef]
- Maretina, I.A.; Trofimov, B.A. Enediyne antibiotics and their models: New potential of acetylene chemistry. Russ. Chem. Rev. 2006, 75, 825–845. [Google Scholar] [CrossRef]
- Minto, R.E.; Blacklock, B.J. Biosynthesis and function of polyacetylenes and allied natural products. Prog. Lipid Res. 2008, 47, 233–306. [Google Scholar] [CrossRef] [Green Version]
- Voronin, V.V.; Ledovskaya, M.S.; Bogachenkov, A.S.; Rodygin, K.S.; Ananikov, V.P. Acetylene in organic synthesis: Recent progress and new uses. Molecules 2018, 23, 2442. [Google Scholar] [CrossRef] [Green Version]
- Wermuth, C.G. The Practice of Medicinal Chemistry; Academic Press: Cambridge, MA, USA, 2015; pp. 319–357. [Google Scholar]
- Boukouvalas, J.; Côté, S.; Ndzi, B. Facile access to 4-(1-alkynyl)-2 (5H)-furanones by Sonogashira coupling of terminal acetylenes with β-tetronic acid bromide: Efficient synthesis of cleviolide. Tetrahedron Lett. 2007, 48, 105–107. [Google Scholar] [CrossRef]
- Sonogashira, K.; Tohda, Y.; Hagihara, N. A convenient synthesis of acetylenes: Catalytic substitutions of acetylenic hydrogen with bromoalkenes, iodoarenes and bromopyridines. Tetrahedron Lett. 1975, 16, 4467–4470. [Google Scholar] [CrossRef]
- Bellina, F.; Falchi, E.; Rossi, R. Regioselective synthesis of cytotoxic 4-(1-alkynyl)-substituted 2-(5H)-furanones. Tetrahedron 2003, 59, 9091–9100. [Google Scholar] [CrossRef]
- Bonacorso, H.G.; Rodrigues, M.B.; Feitosa, S.C.; Coelho, H.S.; Alves, S.H.; Keller, J.T.; Rosa, W.C.; Ketzer, A.; Frizzo, C.P.; Martins, M.A. Synthesis and antimicrobial screening of 2-alkyl (aryl)-7-chloro-6-fluoro-4-(trifluoromethyl)-quinolines and their phenylacetylene derivatives, promoted by Sonogashira cross-coupling reaction. J. Fluor. Chem. 2018, 205, 49–57. [Google Scholar] [CrossRef]
- Richards, J.J.; Melander, C. Synthesis of a 2-aminoimidazole library for antibiofilm screening utilizing the Sonogashira reaction. J. Org. Chem. 2008, 73, 5191–5193. [Google Scholar] [CrossRef]
- Wang, D.; Gao, S. Sonogashira coupling in natural product synthesis. Org. Chem. Front. 2014, 1, 556–566. [Google Scholar] [CrossRef]
- Biswas, N.N.; Iskander, G.M.; Mielczarek, M.; Yu, T.T.; Black, D.S.; Kumar, N. Alkyne-substituted fimbrolide analogues as novel bacterial quorum-sensing inhibitors. Aust. J. Chem. 2018, 71, 708–715. [Google Scholar] [CrossRef] [Green Version]
- Goh, W.K.; Iskander, G.; Black, D.S.; Kumar, N. An efficient lactamization of fimbrolides to novel 1, 5-dihydropyrrol-2-ones. Tetrahedron Lett. 2007, 48, 2287–2290. [Google Scholar] [CrossRef]
- Chinchilla, R.; Nájera, C. The Sonogashira reaction: A booming methodology in synthetic organic chemistry. Chem. Rev. 2007, 107, 874–922. [Google Scholar] [CrossRef]
- Almohaywi, B.; Iskander, G.; Black, D.; Kumar, N. Antimicrobial Discovery, Development, Stewardship and Susceptibility Testing. In Proceedings of the 1st International Electronic Conference on Antibiotics—The Equal Power of Antibiotics and Antimicrobial Resistance, Online, 8–17 May 2021; Volume 68. [Google Scholar]
- Almohaywi, B.; Iskander, G.; Yu, T.T.; Bhadbhade, M.; Black, D.S.; Kumar, N. Copper-mediated Chan-Evans-Lam N-arylation of 5-methylene-4-aryl-1, 5-dihydro-2H-pyrrol-2-one derivatives. Tetrahedron Lett. 2018, 59, 811–814. [Google Scholar] [CrossRef]
- Biswas, N.N.; Kutty, S.K.; Iskander, G.M.; Mielczarek, M.; Bhadbhade, M.M.; Gardner, C.R.; Black, D.S.; Kumar, N. Synthesis of brominated novel N-heterocycles: New scaffolds for antimicrobial discovery. Tetrahedron 2016, 72, 539–546. [Google Scholar] [CrossRef]
- Kutty, S.K. Novel Nitric Oxide Donors as Antimicrobial Agents. Ph.D. Thesis, University of New South Wales, Sydney, Australia, 2012. [Google Scholar]
- Bruker. APEX3, SAINT-Plus and SADABS; Bruker AXS Inc.: Madison, WI, USA, 2016. [Google Scholar]
- Sheldrick, G.M. SHELXT—Integrated space-group and crystal-structure determination. Acta Crystallogr. Sect. A 2015, 71, 3–8. [Google Scholar] [CrossRef] [PubMed] [Green Version]
- Sheldrick, G.M. Crystal structure refinement with SHELXL. Acta Crystallogr. Sect. C Struct. Chem. 2015, 71, 3–8. [Google Scholar] [CrossRef] [PubMed]
- Dolomanov, O.V.; Bourhis, L.J.; Gildea, R.J.; Howard, J.A.; Puschmann, H. OLEX2: A complete structure solution, refinement and analysis program. J. Appl. Crystallogr. 2009, 42, 339–341. [Google Scholar] [CrossRef]








| Compound | Concentration (µM) | ||
|---|---|---|---|
| 250 | 125 | 62.5 | |
| 16 | b 58.6 ± 2.1 | a 47.5 ± 6.5 | a 44.7 ± 4.6 |
| 17 | b 46.4 ± 1.1 | a 32.9 ± 1.4 | a 19.5 ± 1.9 |
| 18 | a 52.2 ± 8.7 | a 51.0 ± 1.8 | a 47.8 ± 0.8 |
| 19 | a 43.9 ± 2.9 | a 25.0 ± 2.7 | a 24.1 ± 9.3 |
| 20 | a 59.2 ± 0.4 | a 44.8 ± 3.4 | a 39.3 ± 3.6 |
| 24 | a 49.2 ± 3.8 | a 35.2 ± 4.5 | a 28.5 ± 0.7 |
| 25 | a 46.6 ± 4.8 | a 30.7 ± 4.5 | a 20.0 ± 7.2 |
| 26 | a 54.8 ± 5.6 | a 39.7 ± 1.5 | a 30.2 ± 6.7 |
| 36 | b 70.0 ± 3.6 | a 55.2 ± 1.1 | a 36.4 ± 8.3 |
| 37 | a 45.4 ± 1.3 | a 28.0 ± 1.5 | a 25.1 ± 2.8 |
| 38 | a 67.6 ± 0.6 | a 57.8 ± 5.9 | a 40.6 ± 3.3 |
| 39 | b 65.8 ± 4.6 | a 63.0 ± 4.5 | a 54.1 ± 4.4 |
| 40 | b 71.2 ± 8.1 | a 65.3 ± 1.6 | a 52.9 ± 6.7 |
| 41 | b 68.6 ± 3.1 | a 53.3 ± 8.1 | a 43.3 ± 6.1 |
| 42 | a 66.1 ± 6.4 | a 54.8 ± 6.2 | a 39.9 ± 8.9 |
| 43 | a 59.5 ± 0.3 | a 48.7 ± 3.2 | a 24.3 ± 1.9 |
| 44 | b 79.8 ± 0.8 | a 66.1 ± 6.2 | a 55.8 ± 4.6 |
| d1 | c 84.8 ± 2.9 | c 82.5 ± 2.5 | c 74.4 ± 3.6 |
Publisher’s Note: MDPI stays neutral with regard to jurisdictional claims in published maps and institutional affiliations. |
© 2022 by the authors. Licensee MDPI, Basel, Switzerland. This article is an open access article distributed under the terms and conditions of the Creative Commons Attribution (CC BY) license (https://creativecommons.org/licenses/by/4.0/).
Share and Cite
Almohaywi, B.; Yu, T.T.; Iskander, G.; Sabir, S.; Bhadbhade, M.; Black, D.S.; Kumar, N. Synthesis of Alkyne-Substituted Dihydropyrrolones as Bacterial Quorum-Sensing Inhibitors of Pseudomonas aeruginosa. Antibiotics 2022, 11, 151. https://doi.org/10.3390/antibiotics11020151
Almohaywi B, Yu TT, Iskander G, Sabir S, Bhadbhade M, Black DS, Kumar N. Synthesis of Alkyne-Substituted Dihydropyrrolones as Bacterial Quorum-Sensing Inhibitors of Pseudomonas aeruginosa. Antibiotics. 2022; 11(2):151. https://doi.org/10.3390/antibiotics11020151
Chicago/Turabian StyleAlmohaywi, Basmah, Tsz Tin Yu, George Iskander, Shekh Sabir, Mohan Bhadbhade, David StC. Black, and Naresh Kumar. 2022. "Synthesis of Alkyne-Substituted Dihydropyrrolones as Bacterial Quorum-Sensing Inhibitors of Pseudomonas aeruginosa" Antibiotics 11, no. 2: 151. https://doi.org/10.3390/antibiotics11020151
APA StyleAlmohaywi, B., Yu, T. T., Iskander, G., Sabir, S., Bhadbhade, M., Black, D. S., & Kumar, N. (2022). Synthesis of Alkyne-Substituted Dihydropyrrolones as Bacterial Quorum-Sensing Inhibitors of Pseudomonas aeruginosa. Antibiotics, 11(2), 151. https://doi.org/10.3390/antibiotics11020151

