Undesired Effect of Vancomycin Prolonged Treatment: Enhanced Biofilm Production of the Nosocomial Pathogen Candida auris
Abstract
1. Introduction
2. Results
2.1. Van Increases C. auris Biofilm on Polystyrene and Silicon Surfaces
2.2. Vancomycin Enhances C. auris Virulence In Vivo
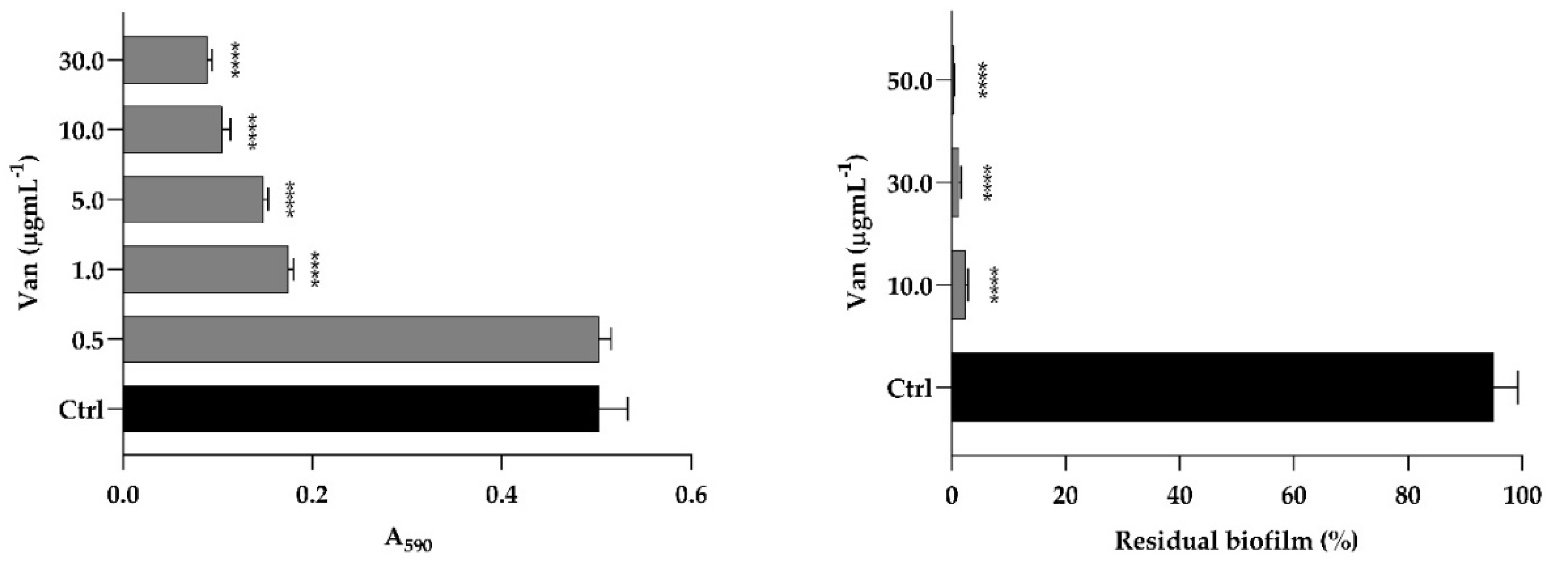
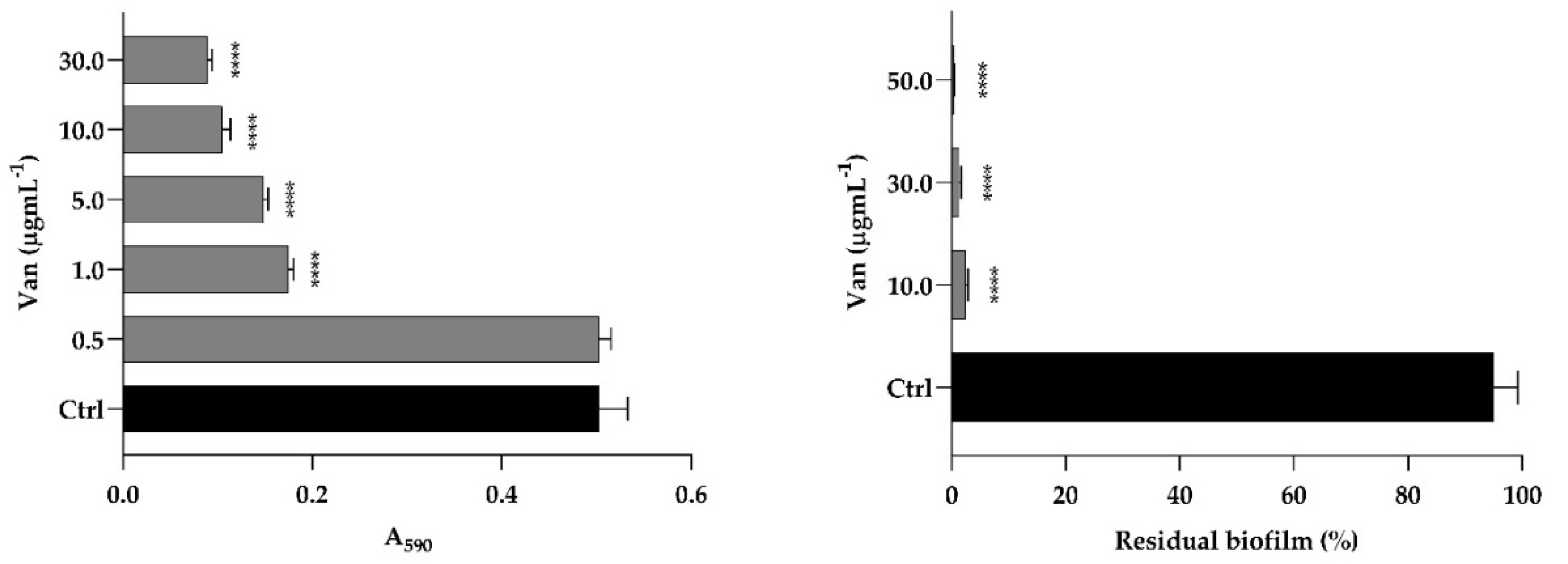
2.3. Van Favors C. auris Colonization on a Residual S. aureus Biofilm
2.4. Clues to the Possible Action Mechanism
3. Discussion
4. Materials and Methods
4.1. Drugs
4.2. Strains, Media, and Cultural Conditions
4.3. C. auris Biofilm Formation In Vitro
4.3.1. Effect of Van and Other Antibiotics on C. auris Biofilm Formation in Microwell Polystyrene Plate
4.3.2. Effect of Van on Different Phases of C. auris Biofilm Development
4.3.3. Susceptibility of C. auris Biofilm to Caspofungin
4.4. Determination of Biofilm Total Biomass
4.5. C. auris Biofilm Formation on Silicone Surface
4.6. S. aureus Biofilm Formation and Eradication with Van
4.6.1. Susceptibility of S. aureus towards Van
4.6.2. S. aureus Biofilm Formation
4.6.3. Eradication with Van of S. aureus Biofilm
4.7. Effect of Van on C. auris Growth on a Residual S. aureus Biofilm
4.8. In Vivo Effect of Van on G. mellonella Larvae
4.9. qRT-PCR
4.10. Ergosterol Extraction and Quantitation
4.11. Statistical Analysis
Author Contributions
Funding
Institutional Review Board Statement
Informed Consent Statement
Data Availability Statement
Conflicts of Interest
References
- Pappas, P.G.; Lionakis, M.S.; Arendrup, M.C.; Ostrosky-Zeichner, L.; Kullberg, B.J. Invasive candidiasis. Nat. Rev. Dis. Prim. 2018, 4, 18026. [Google Scholar] [CrossRef] [PubMed]
- Matarrese, A.N.; Ivulich, D.I.; Cesar, G.; Alaniz, F.; Ruiz, J.J.; Osatnik, J. Epidemiological analysis of catheter-related bloodstream infections in medical-surgical intensive care units. Medicina 2021, 81, 159–165. [Google Scholar] [PubMed]
- Sande, L.; Sanchez, M.; Montes, J.; Wolf, A.J.; Morgan, M.A.; Omri, A.; Liu, G.Y. Liposomal encapsulation of vancomycin improves killing of methicillin-resistant Staphylococcus aureus in a murine infection model. J. Antimicrob. Chemother. 2012, 67, 2191–2194. [Google Scholar] [CrossRef]
- Shi, J.; Mao, N.F.; Wang, L.; Zhang, H.B.; Chen, Q.; Liu, H.; Tang, X.; Jin, T.; Zhu, C.T.; Li, F.B.; et al. Efficacy of combined vancomycin and fosfomycin against methicillin-resistant Staphylococcus aureus in biofilms in vivo. PLoS ONE 2014, 9, e113133. [Google Scholar] [CrossRef]
- Holland, T.L.; Arnold, C.; Fowler, V.G. Clinical management of Staphylococcus aureus bacteremia: A review. JAMA—J. Am. Med. Assoc. 2014, 312, 1330–1341. [Google Scholar] [CrossRef] [PubMed]
- Gudiol, C.; Cuervo, G.; Shaw, E.; Pujol, M.; Carratalà, J. Pharmacotherapeutic options for treating Staphylococcus aureus bacteremia. Expert Opin. Pharmacother. 2017, 18, 1947–1963. [Google Scholar] [CrossRef] [PubMed]
- Butler, M.S.; Hansford, K.A.; Blaskovich, M.A.T.; Halai, R.; Cooper, M.A. Glycopeptide antibiotics: Back to the future. J. Antibiot. 2014, 67, 631–644. [Google Scholar] [CrossRef] [PubMed]
- Scriboni, A.B.; Couto, V.M.; De Morais Ribeiro, L.N.; Freires, I.A.; Groppo, F.C.; De Paula, E.; Franz-Montan, M.; Cogo-Müller, K. Fusogenic liposomes increase the antimicrobial activity of vancomycin against Staphylococcus aureus biofilm. Front. Pharmacol. 2019, 10, 1401. [Google Scholar] [CrossRef]
- Nagarajan, K.; Perumal, S.K.; Marimuthu, S.K.; Palanisamy, S.; Subbiah, L. Addressing antimicrobial resistance through nanoantibiotics: Challenges and novel strategies. In Handbook of Research on Nano-Strategies for Combatting Antimicrobial Resistance and Cancer; IGI Global: Hershey, PA, USA, 2021; pp. 56–86. ISBN 9781799850502. [Google Scholar]
- Suresh, M.K.; Biswas, R.; Biswas, L. An update on recent developments in the prevention and treatment of Staphylococcus aureus biofilms. Int. J. Med. Microbiol. 2019, 309, 1–12. [Google Scholar] [CrossRef]
- Vogel, M.; Köberle, M.; Schäffler, H.; Treiber, M.; Autenrieth, I.B.; Schumacher, U.K. Rifampicin induced virulence determinants increase Candida albicans biofilm formation. F1000Research 2013, 2, 106. [Google Scholar] [CrossRef]
- De Aguiar Cordeiro, R.; De Jesus Evangelista, A.J.; Serpa, R.; De Andrade, A.R.C.; Mendes, P.B.L.; De Oliveira, J.S.; De Alencar, L.P.; Pereira, V.S.; Lima-Neto, R.G.; Brilhante, R.N.; et al. Cefepime and amoxicillin increase metabolism and enhance caspofungin tolerance of Candida albicans biofilms. Front. Microbiol. 2019, 10, 1337. [Google Scholar] [CrossRef] [PubMed]
- de Aguiar Cordeiro, R.; Aguiar, A.L.R.; da Silva, B.N.; Pereira, L.M.G.; Portela, F.V.M.; de Camargo, Z.P.; de Lima-Neto, R.G.; Castelo-Branco, D.d.S.C.M.; Rocha, M.F.G.; Sidrim, J.J.C. Trichosporon asahii and Trichosporon inkin biofilms produce antifungal-tolerant persister cells. Front. Cell. Infect. Microbiol. 2021, 11, 645812. [Google Scholar] [CrossRef] [PubMed]
- Billamboz, M.; Fatima, Z.; Hameed, S.; Jawhara, S. Promising drug candidates and new strategies for fighting against the emerging superbug Candida auris. Microorganisms 2021, 9, 634. [Google Scholar] [CrossRef] [PubMed]
- Lee, W.G.; Shin, J.H.; Uh, Y.; Kang, M.G.; Kim, S.H.; Park, K.H.; Jang, H.C. First three reported cases of nosocomial fungemia caused by Candida auris. J. Clin. Microbiol. 2011, 49, 3139–3142. [Google Scholar] [CrossRef] [PubMed]
- Magobo, R.E.; Corcoran, C.; Seetharam, S.; Govender, N.P. Candida auris-associated candidemia, South Africa. Emerg. Infect. Dis. 2014, 20, 1250–1251. [Google Scholar] [CrossRef] [PubMed]
- Calvo, B.; Melo, A.S.A.; Perozo-Mena, A.; Hernandez, M.; Francisco, E.C.; Hagen, F.; Meis, J.F.; Colombo, A.L. First report of Candida auris in America: Clinical and microbiological aspects of 18 episodes of candidemia. J. Infect. 2016, 73, 369–374. [Google Scholar] [CrossRef]
- Taori, S.K.; Khonyongwa, K.; Hayden, I.; Athukorala, G.D.A.; Letters, A.; Fife, A.; Desai, N.; Borman, A.M. Candida auris outbreak: Mortality, interventions and cost of sustaining control. J. Infect. 2019, 79, 601–611. [Google Scholar] [CrossRef]
- Chatterjee, S.; Alampalli, S.V.; Nageshan, R.K.; Chettiar, S.T.; Joshi, S.; Tatu, U.S. Draft genome of a commonly misdiagnosed multidrug resistant pathogen Candida auris. BMC Genom. 2015, 16, 686. [Google Scholar] [CrossRef]
- Sharma, C.; Kumar, N.; Pandey, R.; Meis, J.F.; Chowdhary, A. Whole genome sequencing of emerging multidrug resistant Candida auris isolates in India demonstrates low genetic variation. New Microbes New Infect. 2016, 13, 77–82. [Google Scholar] [CrossRef]
- Sherry, L.; Ramage, G.; Kean, R.; Borman, A.; Johnson, E.M.; Richardson, M.D. Biofilm-forming capability of highly virulent, multidrug-resistant Candida auris. Emerg. Infect. Dis. 2017, 23, 328–331. [Google Scholar] [CrossRef]
- de Alteriis, E.; Maione, A.; Falanga, A.; Bellavita, R.; Galdiero, S.; Albarano, L.; Salvatore, M.M.; Galdiero, E.; Guida, M. Activity of free and liposome-encapsulated essential oil from Lavandula angustifolia against persister-derived biofilm of Candida auris. Antibiotics 2022, 11, 26. [Google Scholar] [CrossRef] [PubMed]
- Mellinghoff, S.C.; Cornely, O.A.; Jung, N. Essentials in Candida bloodstream infection. Infection 2018, 46, 897–899. [Google Scholar] [CrossRef] [PubMed]
- Pitiriga, V.; Kanellopoulos, P.; Bakalis, I.; Kampos, E.; Sagris, I.; Saroglou, G.; Tsakris, A. Central venous catheter-related bloodstream infection and colonization: The impact of insertion site and distribution of multidrug-resistant pathogens. Antimicrob. Resist. Infect. Control 2020, 9, 189. [Google Scholar] [CrossRef] [PubMed]
- Freire, M.P.; Pierrotti, L.C.; Zerati, A.E.; Benites, L.; Da Motta-Leal Filho, J.M.; Ibrahim, K.Y.; Araujo, P.H.; Abdala, E. Role of lock therapy for long-term catheter-related infections by multidrug-resistant bacteria. Antimicrob. Agents Chemother. 2018, 62, e00569-18. [Google Scholar] [CrossRef] [PubMed]
- Fernandes, L.; Ribeiro, R.; Costa, R.; Henriques, M.; Rodrigues, M.E. Essential oils as a good weapon against drug-resistant Candida auris. Antibiotics 2022, 11, 977. [Google Scholar] [CrossRef]
- Kuhn, D.M.; George, T.; Chandra, J.; Mukherjee, P.K.; Ghannoum, M.A. Antifungal susceptibility of Candida biofilms: Unique efficacy of amphotericin B lipid formulations and echinocandins. Antimicrob. Agents Chemother. 2002, 46, 1773–1780. [Google Scholar] [CrossRef]
- Dudiuk, C.; Berrio, I.; Leonardelli, F.; Morales-Lopez, S.; Theill, L.; Macedo, D.; Yesid-Rodriguez, J.; Salcedo, S.; Marin, A.; Gamarra, S.; et al. Antifungal activity and killing kinetics of anidulafungin, caspofungin and amphotericin B against Candida auris. J. Antimicrob. Chemother. 2019, 74, 2295–2302. [Google Scholar] [CrossRef]
- Campos-Silva, R.; Brust, F.R.; Trentin, D.S.; Macedo, A.J. Alternative method in Galleria mellonella larvae to study biofilm infection and treatment. Microb. Pathog. 2019, 137, 103756. [Google Scholar] [CrossRef]
- Vogel, M.; Hartmann, T.; Köberle, M.; Treiber, M.; Autenrieth, I.B.; Schumacher, U.K. Rifampicin induces MDR1 expression in Candida albicans. J. Antimicrob. Chemother. 2008, 61, 541–547. [Google Scholar] [CrossRef]
- Hu, Z.; He, B.; Ma, L.; Sun, Y.; Niu, Y.; Zeng, B. Recent advances in ergosterol biosynthesis and regulation mechanisms in Saccharomyces cerevisiae. Indian J. Microbiol. 2017, 57, 270–277. [Google Scholar] [CrossRef]
- Malik, P.; Chaudhry, N.; Kitawat, B.; Kumar, R.; Mukherjee, T. Relationship of azole resistance with the structural alteration of the target sites: Novel synthetic compounds for better antifungal activities. Nat. Prod. J. 2014, 4, 131–139. [Google Scholar] [CrossRef]
- Stepanović, S.; Vuković, D.; Dakić, I.; Savić, B.; Švabić-Vlahović, M. A modified microtiter-plate test for quantification of staphylococcal biofilm formation. J. Microbiol. Methods 2000, 40, 175–179. [Google Scholar] [CrossRef]
- Kuhn, D.M.; Chandra, J.; Mukherjee, P.K.; Ghannoum, M.A. Comparison of biofilms formed by Candida albicans and Candida parapsilosis on bioprosthetic surfaces. Infect. Immun. 2002, 70, 878–888. [Google Scholar] [CrossRef] [PubMed]
- CLSI Standard M07; Methods for Dilution Antimicrobial Susceptibility Tests for Bacteria that Grow Aerobically. Clinical and Laboratoty Standard Institute: Wayne, PA, USA, 2018.
- Pfaffl, M.W.; Horgan, G.W.; Dempfle, L. Relative expression software tool (REST ©) for group-wise comparison and statistical analysis of relative expression results in real-time PCR. Nucleic Acids Res. 2002, 30, e36. [Google Scholar] [CrossRef] [PubMed]
- Rahimi-Verki, N.; Shapoorzadeh, A.; Razzaghi-Abyaneh, M.; Atyabi, S.M.; Shams-Ghahfarokhi, M.; Jahanshiri, Z.; Gholami-Shabani, M. Cold atmospheric plasma inhibits the growth of Candida albicans by affecting ergosterol biosynthesis and suppresses the fungal virulence factors in vitro. Photodiagnosis Photodyn. Ther. 2016, 13, 66–72. [Google Scholar] [CrossRef] [PubMed]
- Breivik, O.N.; Owades, J.L. Spectrophotometric semimicrodeterminatio of ergosterol in yeast. Agric. Food Chem. 1956, 537, 360. [Google Scholar]








| Gene Name | Acronym | GenBank Accession | Primer Name | Sequence (5′->3′) |
|---|---|---|---|---|
| Actin | actin | NW_021640162 | C. auris_actin_F | GAAGGAGATCACTGCTTTAGCC |
| C. auris_actin_R | GAGCCACCAATCCACACAG | |||
| Hyphal-specific genes | ALS5 | XM_712981 | C. auris_ALS5_F | CCTTCTGGATCGGACACAGT |
| C. auris_ALS5_R | AGTTGTGGTGGAGGAACCAG | |||
| Ergosterol Biosynthesis | ERG11 | KY410388.1 | C. auris_ERG11_F | GTGCCCATCGTCTACAACCT |
| C. auris_ERG11_R | TCTCCCACTCGATTTCTGCT | |||
| 1,3-beta-glucan synthase | FSK1 | NW_021640162.1 | C. auris_FSK1_F | GCAAACTTTCATGTTGGTGTTA |
| C. auris_FSK1_R | TGTGAACAAGGAGTTTGAGTAA | |||
| High-osmolarity glycerol1 | HOG1 | NW_021640166 | C. auris_HOG1_F | GACTTGTGGTCTGTGGGTTG |
| C. auris_HOG1_R | ACATCAGCAGGAGGTGAGC |
Publisher’s Note: MDPI stays neutral with regard to jurisdictional claims in published maps and institutional affiliations. |
© 2022 by the authors. Licensee MDPI, Basel, Switzerland. This article is an open access article distributed under the terms and conditions of the Creative Commons Attribution (CC BY) license (https://creativecommons.org/licenses/by/4.0/).
Share and Cite
Maione, A.; Pietra, A.L.; Salvatore, M.M.; Guida, M.; Galdiero, E.; de Alteriis, E. Undesired Effect of Vancomycin Prolonged Treatment: Enhanced Biofilm Production of the Nosocomial Pathogen Candida auris. Antibiotics 2022, 11, 1771. https://doi.org/10.3390/antibiotics11121771
Maione A, Pietra AL, Salvatore MM, Guida M, Galdiero E, de Alteriis E. Undesired Effect of Vancomycin Prolonged Treatment: Enhanced Biofilm Production of the Nosocomial Pathogen Candida auris. Antibiotics. 2022; 11(12):1771. https://doi.org/10.3390/antibiotics11121771
Chicago/Turabian StyleMaione, Angela, Alessandra La Pietra, Maria Michela Salvatore, Marco Guida, Emilia Galdiero, and Elisabetta de Alteriis. 2022. "Undesired Effect of Vancomycin Prolonged Treatment: Enhanced Biofilm Production of the Nosocomial Pathogen Candida auris" Antibiotics 11, no. 12: 1771. https://doi.org/10.3390/antibiotics11121771
APA StyleMaione, A., Pietra, A. L., Salvatore, M. M., Guida, M., Galdiero, E., & de Alteriis, E. (2022). Undesired Effect of Vancomycin Prolonged Treatment: Enhanced Biofilm Production of the Nosocomial Pathogen Candida auris. Antibiotics, 11(12), 1771. https://doi.org/10.3390/antibiotics11121771

